Abstract
Due to information asymmetry, finance, transportation and warehouse financing gives rise to the issue of repeated pledge, which amplifies the risk of the loan business of financial institutions. In tandem with advancements in fintech, blockchain technology plays a significant role in the supply chain finance realm, primarily because of its core characteristics of being difficult to tamper with and decentralized. Therefore, this study constructed an evolutionary game model involving financial institutions, small- and medium-sized enterprises, and third-party logistics enterprises under a blockchain-enabled model and scrutinized the repeated pledge of financing entities in the finance, transportation and warehouse financing sector from the perspective of blockchain empowerment. The results show that the platform access fee being lower than the cost of conducting a financing business and the immutable characteristics of blockchain are important reasons to promote financial institutions to choose access to blockchain. The permanent retention of performance records owing to immutable performance under the blockchain model intensifies the consequences of dishonest behavior of small- and medium-sized enterprises and third-party logistics enterprises, thus encouraging the adoption of positive financing strategies. Additionally, the additional income obtained by third-party logistics enterprises’ covering behavior surpasses the additional income obtained by the repeated pledge behavior of small- and medium-sized enterprises, which will dismantle collusion between them. This study serves as a valuable reference for decision makers in the development of supply chain finance empowered by fintech.
1. Introduction
In recent years, in order to solve the financing difficulties of small- and medium-sized enterprises (SMEs), the supply chain finance (SCF) business has been vigorously developed. Among them, the finance, transportation and warehouse (FTW) financing model, which takes enterprise inventory as collateral, is favored due to its strong availability of collateral and its ability to bring more business to third-party logistics enterprises (3PLs) [1]. Although the intervention of 3PLs has built a bridge between financial institutions (FIs) and SMEs, reducing information asymmetry between each other and providing convenience for financing businesses [2], there are still many problems in the implementation process of FTW financing, such as repeated pledge, insufficient supervision, market value fluctuations, etc., and the implementation process is lengthy and cumbersome [3,4]. When SMEs have relative information advantages with 3PLs, they may also collude and conduct fraud [5]. Among them, repeated pledge causes the greatest degree of risk loss to FIs, which is the most unfavorable aspect for the benign development of financing businesses. For example, in the famous “Shanghai Steel Trade Case”, Shanghai Shensai Materials Co., Ltd. used the same collateral to obtain loans from Huaxia Bank and Industrial and Commercial Bank of China, impacting the rights and interests of Industrial and Commercial Bank of China, which later executed the rights and interests. The reason for this is due to information asymmetry.
With the development of blockchain technology (BT), there have been innovations in the traditional financing model, and the construction of online service platforms can directly provide convenient query methods for those demanding information [6]. At present, BT is widely applied in the supply chain field. The supply chain accounts receivable service platform launched by Pingan Bank provides accounts receivable management, trading, and other services for CEs and their upstream SMEs participating in the SCF business [7]. The microenterprise chain platform jointly built by Tencent and Linklogis truthfully and completely records the entire process of asset listing, circulation, splitting, and redemption based on accounts payable of CEs through blockchain [8]. They are all based on the accounts receivable financing model in SCF, with less involvement in the FTW model. BT has the characteristics of immutability, decentralization, and traceability [9], which can increase information transparency, simplify information flow, and reduce credit and operational risks in the financing process [10]. Collaborating with partners in different fields can generate higher business efficiency and benefits [11]. Shi et al. [12] proposed that FIs should increase cooperation with online platforms such as blockchain in order to facilitate the development of their business. Some scholars believed that the application of BT in the SCF field can bring huge benefits to FIs and financing enterprises [13,14].
Evolutionary game (EG) theory originated from the biological evolution theory [15]. It holds that participants are bounded rational and have limited information ownership, and they choose strategies through a certain transmission mechanism [16]. Supply chain financing generally has information asymmetry and is a financing activity involving multiple entities. Scholars often use the EG method to study their strategic interaction process. In the field of SCF, this includes accounts receivable pledge financing [17] and factoring financing [18], with less involvement in the field of FTW financing. Recently, scholars have begun to study SCF by combining BT, but this has also focused on accounts receivable pledge financing and factoring financing [19,20]. The strong availability of collateral in FTW, a type of SCF financing model, means that we should not overlook the importance of studying it. Therefore, the motivation of this study was based on the empowerment capability of BT. The aim is to construct a strategic evolution model of FTW financing and to solve the problem of repeated pledge in the financing process of FTW so as to reduce the risk of losses to FIs participating in the financing business and promote the benign development of the FTW business.
The main contributions of this paper are as follows: (1) We have paid attention to the significant risks of repeated pledge in FTW. Through the perspective of blockchain empowerment, this study investigated the dynamic evolution of repeated pledge in FTW to contribute to the resolution of risks. (2) Based on the perspective of blockchain empowerment, a tripartite EG model involving FIs, SMEs, and 3PLs was constructed to address the issue of repeated pledges, which fully and comprehensively considers the dynamic behavior strategies of major players in the system. (3) Through stability analysis and simulation of the game results, the driving factors for FIs to access the blockchain platform and the influencing factors for SMEs and 3PLs to choose the active financing strategy of FTW were identified. (4) According to the research results, policy recommendations are proposed to promote the conscientious development of the FTW financing business.
The rest of this paper are arranged as follows. Section 2 is the literature review. Section 3 outlines the construction of the tripartite EG model. Section 4 explains the stability analysis. Section 5 provides details of the numerical simulation. The results, suggestions, and future work are described in Section 6.
2. Literature Review
2.1. Risk of Traditional FTW
FTW, also known as inventory financing, is jointly completed by FIs, SMEs, and 3PLs [21]. The first risk in the process of developing the FTW financing business is the market risk. This is mainly caused by fluctuation in the value of the collateral, which leads to the possibility that proceeds from the disposal of inventory of FIs may not fully offset the principal and interest of the loan when the customer defaults [22]. There are also agency risks from 3PLs, including inventory inspection and valuation and all the processes related to inventory management [23,24]. Another risk is credit risk. SMEs may obtain additional earnings by concealing fraudulent activities, or they may be unwilling to redeem inventory for some reason [25]. Although the involvement of 3PLs can reduce the degree of information asymmetry and make up for the deficiencies of FIs in inventory assessment, supervision, and transportation, there may also be problems relating to their collusion in carrying out fraud [5,26]. In the loan process, FIs set the pledge loan rate lower than the total value according to the inventory evaluation value of 3PLs to prevent the risk of fluctuations in the value of the pledge market [27]. He et al. [28] pointed out that the construction of a safety education system and staff training can reduce the regulatory risks brought by 3PLs. In addition, some scholars have developed models to assess the credit risk of FTW financing. Yan et al. [29] established a pre-loan risk evaluation index system of inventory pledge financing and built a risk evaluation model based on the D–S evidence theory, which can help FIs quickly and accurately measure the risk level of their financing business. Abbasi et al. [30] established a credit risk assessment model for inventory financing based on the Internet of Things using a support vector machine and logistic regression methods considering subject rating and debt rating.
2.2. Blockchain and FTW
Regarding research on blockchain and FTW, some scholars have carried out qualitative analysis on the application of BT in the FTW financing business, which can be divided into two categories. The first type is risk prevention in the FTW financing business based on BT. For example, blockchain “smart assets” can verify the authenticity of inventories and manage their transfer [31,32]. Li [33] proposed that credit mechanisms and information technology enabled by blockchain have led to innovations in the FTW financing model, which can ensure supervision and traceability of data and reduce the cost of risk control. Feng et al. [34] proposed that the blockchain platform can monitor the value fluctuation of pledges in real time and supervise transactions. The other type is the design of the FTW financing model based on BT. For example, Qi et al. [35] designed a warehouse receipt management system based on blockchain, providing a reliable basis for the authenticity and accuracy of warehouse receipt objects. Qiao et al. [3] proposed an inventory financing model based on BT under which the authenticity of transactions can be guaranteed and property right disputes can be resolved. Chen [36] built a blockchain warehouse receipt pledge platform that included a physical layer, a platform layer, and an application layer. All these have laid a theoretical foundation for this study. Some scholars have carried out studies on the application of BT in FTW financing from a quantitative perspective. For example, Gao et al. [37] established a mathematical income model and concluded that the real-time stare in market strategy based on BT could prevent the price risk of pledges. Ma et al. [38] established the Stackelberg game model to compare and analyze the traditional FTW model and the leading model of fourth-party logistics of cold chain processing enterprises. Wang et al. [39] built an EG model between banks and SMEs and analyzed the influence of information sharing factors and BT on evolution.
In the existing literature, there are more qualitative studies on the application of blockchain in the FTW financing business, but quantitative studies are lacking. A few quantitative studies have also ignored the willingness of participants in FTW to use BT or have built models based on rational assumptions that are limited to FIs and SMEs. Therefore, this study focuses on the problem of repeated pledge colluding between SMEs and 3PLs. Starting from the strategy of whether FIs choose to access blockchain and taking bounded rationality as the premise, a tripartite EG model was constructed involving FIs, SMEs, and 3PLs. The driving factors for FIs accessing blockchain and the influencing factors for SMEs and 3PLs choosing active financing strategies were studied.
3. Construction of the EG Model
3.1. Problem Description
FTW, also known as inventory financing, is jointly completed by FIs, SMEs, and 3PLs. In the process of financing, SMEs will hand over the pledged inventory to 3PLs designated by FIs for value evaluation, storage, and supervision, and FIs will provide loan services for SMEs according to the warehouse receipts issued by 3PLs and other credit information related to SMEs [40]. Among them, the relationship between FIs and 3PLs is that of principal–agent. Due to the professional division of labor, FIs hardly participate in services such as evaluation and storage. When SMEs conspire with 3PLs to conduct fraud, FIs will bear the loan risk. This study focuses on repeated pledge collusion by SMEs and 3PLs. SMEs can choose a good-faith pledge to obtain loans or choose a repeated pledge, and 3PLs can choose whether to cover the repeated pledge behavior of SMEs. In the traditional model, if 3PLs choose not to cover it, the repeated pledge behavior of SMEs will not succeed; if 3PLs choose to cover it, it will lead to unclear ownership for FIs and other dispute losses. However, in the blockchain model, the blockchain can effectively prevent repeated pledge behavior of SMEs due to its immutable and transparent transaction information and other characteristics. Therefore, whether FIs access the blockchain platform is worth thinking about. According to the above description, a logical relationship of the tripartite game is formed, as shown in Figure 1.
Figure 1.
Logical relationship of the tripartite game of FTW with blockchain.
3.2. Research Hypothesis
Based on the EG method, this study analyzed the conflict of interest and optimal choice among participants of the FTW business and proposed the following hypotheses:
Hypothesis 1:
The players of the game are FIs, SMEs, and 3PLs, which are bounded rational.
Hypothesis 2:
Each player has only two strategies. The strategy set of FIs is “access blockchain” and “do not access blockchain”; the probability of choosing the former is , and the probability of choosing the latter is . If FIs choose to access the blockchain platform, it is called the blockchain FTW model. If FIs choose not to access the blockchain platform, it is called the traditional FTW model. The strategy set of SMEs is “good-faith pledge” and “ repeated pledge”; the probability of choosing the former is , and the probability of choosing the latter is . Good-faith pledge refers to SMEs only using the pledged property for one loan during the loan period, while repeated pledge refers to SMEs using the pledged property for a secondary loan during the loan period, which will cause the risk of unclear inventory ownership. The strategy set of 3PLs is “not cover” and “cover”; the probability of choosing the former is , and the probability of choosing the latter is .
Hypothesis 3:
FIs can obtain the income of when there is a good-faith pledge by SMEs. A repeated pledge by SMEs will cause loss to FIs. In the traditional FTW model, the business cost paid by FIs is , while in the blockchain FTW model, it is replaced by the blockchain linking cost [41]. SMEs cannot undertake repeated pledge under the blockchain FTW model [39].
Hypothesis 4:
The business income from a good-faith pledge by SMEs is , and the good-faith reward given by FIs is [42]. Repeated pledge by SMEs can lead to additional income but punishment . The cost of SMEs’ traditional FTW financing business is , and the cost of accessing blockchain is .
Hypothesis 5:
3PLs that do not cover the repeated pledge behavior of SMEs will obtain business income and the credit reward from FIs. If they cover the repeated pledge, they can obtain additional income but pay the cover cost and accept the penalty [43]. The cost of traditional FTW financing business of 3PLs is , and the cost of accessing blockchain is . The parameters are summarized as shown in Table 1.
Table 1.
The model variables and explanations.
3.3. Model Construction
Based on the above assumptions and parameter definitions, the payment matrix of the game was constructed, as shown in Table 2.
Table 2.
Payment matrix.
According to Table 1, the expected income and of FIs choosing “access blockchain” and “do not access blockchain“ and the average expected income are as follows:
Therefore, the replication dynamic equation of FIs is as follows:
By the same token, the expected income and of SMEs choosing “good-faith pledge” and “repeated pledge” and the average expected income are as follows:
Therefore, the replication dynamic equation of SMEs is as follows:
By the same token, the expected income and of 3PLs choosing “not cover” and “cover” and the average expected income are as follows:
Therefore, the replication dynamic equation of 3PLs is as follows:
Equations (4), (8), and (12) form a replicated dynamic system of the tripartite EG. As shown in Equation (13), they aim to maximize their own interests to form the ultimate evolutionary stability strategy (ESS).
4. Analysis of the EG Model
4.1. Evolution Stability Analysis
4.1.1. Evolution Stability of FIs
Taking the derivative of in the system (13), Equation (14) is obtained:
Let us take
Taking the derivative of , Equation (16) is obtained:
Let , is obtained. Taking ,, then .
Theorem 1.
The conditions , , and are satisfied. When , is the ESS of FIs; when , is the ESS of FIs. The conditions , , and are satisfied. When , is the ESS of FIs; when , is the ESS of FIs.
Proof of Theorem 1.
The ESS of FIs must meet and . Due to , . (1) When , , and , is obtained. Two situations are discussed: when , is obtained and satisfies , so is ESS; when , is obtained and satisfies , so is ESS. The phase diagram of FIs’ strategy selection is shown in Figure 2a. (2) When , , and , is obtained. Two situations are discussed: when , is obtained and satisfies , so is ESS; when , is obtained and satisfies , so is ESS. The phase diagram of FIs’ strategy selection is shown in Figure 2b. □
Figure 2.
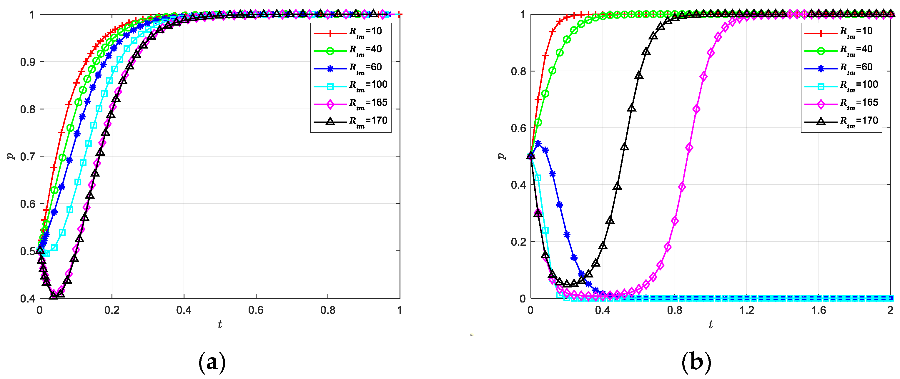
The phase diagram of FIs’ strategy selection: (a) , , and ; (b) , , and .
Theorem 1 indicates that there are various reasons that affect the strategic choice of FIs, including the cost of conducting business and accessing blockchain, whether the fines for repeated pledge by SMEs are sufficient to compensate for losses, and the relative benefits brought by this strategic choice. Specifically, when the cost of conducting business is less than the cost of accessing blockchain, the penalty income from a repeated pledge by SMEs is not enough to compensate for the resulting losses and the income from accessing blockchain is less than not accessing blockchain. When the probability of SMEs pledging in good faith is lower than , FIs will choose not to access blockchain; when the probability of SMEs pledging in good faith is greater than , FIs will choose to access blockchain. When the cost of conducting business exceeds the cost of accessing blockchain, the penalty income from a repeated pledge by SMEs is sufficient to compensate for the resulting losses and the income from accessing blockchain is greater than not accessing blockchain. When the probability of SMEs pledging in good faith is lower than , FIs will choose to access blockchain; when the probability of SMEs pledging in good faith is greater than , FIs will choose not to access blockchain.
4.1.2. Evolution Stability of SMEs
Taking the derivative of in the system (13), Equation (17) is obtained:
Let us take
Taking the derivative of , Equation (19) is obtained:
Let , is obtained. Taking ,, then .
Theorem 2.
The conditions and are satisfied. When , is the ESS of SMEs; when , is the ESS of SMEs.
Proof of Theorem 2.
The ESS of SMEs must meet and . Because , and must be satisfied. At this time, . When , is obtained and satisfies , so is ESS; when , is obtained and satisfies , so is ESS. The phase diagram of SMEs’ strategy selection is shown in Figure 3. □
Figure 3.
The phase diagram of SMEs’ strategy selection.
Theorem 2 indicates that when the probability of 3PLs not covering is lower than , SMEs will choose repeated pledge; when the probability of 3PLs not covering is higher than , SMEs will choose to pledge in good faith. The reason is that 3PLs have a high probability of not covering, which means that SMEs need to pay more additional costs to buy, which undoubtedly increases the cost of repeated pledge for SMEs, thereby reducing the additional benefits obtained from the repeated pledge. Therefore, SMEs are unwilling to take the risk of choosing a repeated pledge and choosing a conservative pledge of good faith. On the contrary, SMEs will take the risk of choosing a repeated pledge.
4.1.3. Evolution Stability of 3PLs
Taking the derivative of in the system (13), Equation (20) is obtained:
Let us take
Taking the derivative of , Equation (22) is obtained:
Let , is obtained. Taking ,, then .
Theorem 3.
The conditions and are satisfied. When , is the ESS of 3PLs; when , is the ESS of 3PLs.
Proof of Theorem 3.
The ESS of 3PLs must meet and . Because , and must be satisfied. At this time, . When , is obtained and satisfies , so is ESS; when , is obtained and satisfies , so is ESS. The phase diagram of 3PLs’ strategy selection is shown in Figure 4. □
Figure 4.
The phase diagram of 3PLs’ strategy selection.
Theorem 3 indicates that when the probability of FIs accessing blockchain is lower than , 3PLs will choose to cover; when the probability of FIs accessing blockchain is higher than , 3PLs will choose not to cover. Although 3PLs can obtain additional benefits through covering, when FIs choose the blockchain model, the difficulty of covering for 3PLs is greater and dishonest behavior will be permanently recorded, which will have serious consequences. Therefore, they will choose not to cover. On the contrary, 3PLs will choose to cover.
4.2. Equilibrium Analysis of the EG System
Using the replication dynamic equations , , , the equilibrium point of the EG system can be obtained. Because the ESS must be a strict Nash equilibrium strategy and the pure strategy is the Nash equilibrium strategy, we will only discuss eight pure strategy equilibrium points obtained by the replication dynamic equation:, , , , , , , and [44]. According to the Lyapunov stability theorem, the stability of the equilibrium point occurs when all the eigenvalues of the Jacobian matrix corresponding to the equilibrium point are negative [45]. The Jacobian matrix of the replication dynamic system of tripartite EG can be written as follows:
Among them,
The eight pure strategy equilibrium points were inserted into the above Jacobian matrix, and the obtained eigenvalues of the corresponding Jacobian matrix for each equilibrium point are shown in Table 3.
Table 3.
The equilibrium points correspond to the eigenvalues of the Jacobian matrix.
Theorem 4.
When the conditions , and are satisfied, is the ESS of the EG system; when the condition is satisfied, is the ESS of the EG system; when the condition is satisfied, is the ESS of the EG system.
Proof of Theorem 4.
According to the Lyapunov stability discrimination method, when all eigenvalues are negative, the pure strategy equilibrium point is ESS. According to Table 2, equilibrium points , , , , and all have positive eigenvalues, so they are unstable points. The positive and negative situation of all eigenvalues at equilibrium point is uncertain, so when all eigenvalues meet , , and , ESS may be reached. Equilibrium point has two negative eigenvalues, and , which may also be ESS when is satisfied. Equilibrium point has two negative eigenvalues, and , which may also be ESS when is satisfied. □
Theorem 4 indicates that when certain conditions are satisfied, the equilibrium point , , and may be the ESS of the EG system. The conditions that must be met is summarized in Table 4. The remaining equilibrium points are not ESS in any case.
Table 4.
Conditions that must be met when the equilibrium point is ESS.
We have divided ESS into two cases for discussion as follows.
4.2.1. Do Not Access Blockchain
When FIs decide not to access blockchain, the tripartite game is in the traditional FTW model. If conditions , , , and are met, the system evolution process is shown in Figure 5a, where equilibrium points and are both ESS. At the equilibrium point , when blockchain is not accessed, due to the repeated pledge by SMEs and the protection of 3PLs, the benefits gained by FIs through the ordinary punishment mechanism are greater than those gained after accessing blockchain, so FIs evolve into adopting the “do not access blockchain” strategy. For SMEs, the benefits obtained from a good-faith pledge are smaller than those obtained from a repeated pledge, so SMEs evolve into adopting the “repeated pledge” strategy. The main reason is that the additional benefits obtained from a repeated pledge are large enough to cover the penalties suffered by repeated pledge, the cover costs given to 3PL, and the rewards obtained from a good-faith pledge. For 3PL, as the benefits obtained by not covering are smaller than those obtained by covering, 3PLs evolve into adopting the “cover” strategy. The main reason is that the additional benefits obtained from covering the repeated pledge behavior of SMEs can cover the costs of covering, the penalties suffered when covering, and the rewards obtained when not covering. At the equilibrium point , it is necessary to ensure that the cost of accessing the blockchain platform paid for by FIs is greater than the cost of traditional FTW financing business development. Although SMEs and 3PLs may collude to pledge repeatedly under the traditional FTW model, the blockchain FTW model can avoid such situations and reduce the difficulty of information investigation. However, the use of BT requires payment of blockchain platform usage fees, and when BT is not used, FIs can also use traditional reward and punishment mechanisms to constrain the collusion between SMEs and 3PLs. Therefore, if the cost is greater than the operating cost of the FTW business of FIs, they will choose the strategy of “do not access blockchain”.
Figure 5.
Evolution trajectory of tripartite game players: (a) FIs do not access blockchain; (b) FIs access blockchain.
4.2.2. Accessing Blockchain
When FIs access blockchain, the tripartite game is in the blockchain FTW model. When the condition is met, the system evolution process is shown in Figure 5b, where the equilibrium point is the ESS. To achieve this stable strategy, it is necessary to ensure that the cost of FIs accessing the blockchain platform is less than the cost of the business conduct. For FIs, conducting financing business for SMEs with poor credit requires high information investigation costs and bearing significant default risks of SMEs. If there is a technology that can reduce the cost of information investigation and default risk and the usage fee of this technology is also small, it will definitely be favored by FIs. The use of BT can save information investigation costs for FIs to carry out FTW financing business and can avoid the risks brought onto FIs by repeated pledge by SMEs under the immutable feature of blockchain. Therefore, when the access cost of the blockchain platform is less than the cost of conducting FTW financing business, FIs will choose the strategy of “access blockchain”, while SMEs and 3PLs will naturally choose the strategy of “good-faith pledge” and “not cover”, respectively.
Through the discussion of the above two categories of ESS, it can be seen that when FIs choose not to access blockchain, the system may be stable in two states: (1) “do not access blockchain”, “repeated pledge”, and “cover” and (2) “do not access blockchain”, “good-faith pledge”, and “not cover”. The former is not conducive to the development of the FTW business, while the latter is more ideal but heavily relies on the reward and punishment mechanism set by FIs. However, when FIs choose to access blockchain, the system will only be stable in the state “access blockchain”, “good-faith pledge”, and “not cover”, provided that the cost of accessing the blockchain platform of FIs is less than the cost of operating the FTW financing business. Therefore, it can be said that the driving force for FIs to choose to access blockchain is smaller blockchain platform access cost, and the driving force for SMEs and 3PLs to pledge in good faith and not cover is the reward and punishment mechanism developed by FIs under the traditional FTW model and the root measures to stop their default behaviors under the blockchain FTW model.
5. Simulations
In order to observe the sensitivity of FIs, SMEs, and 3PLs to the key parameter changes more intuitively, this study used MATLAB R2022a software for numerical simulation to explore the key influencing factors of each player’s strategy selection. The parameters were assigned as follows: , , , , , , , , , , , , , , , , and . Without losing generality, the probability of selecting strategies for each subject in the initial condition setting of the simulation process is 0.5. The sensitivity of one variable was simulated while keeping the values of other variables unchanged.
5.1. The Influence of Initial Probability
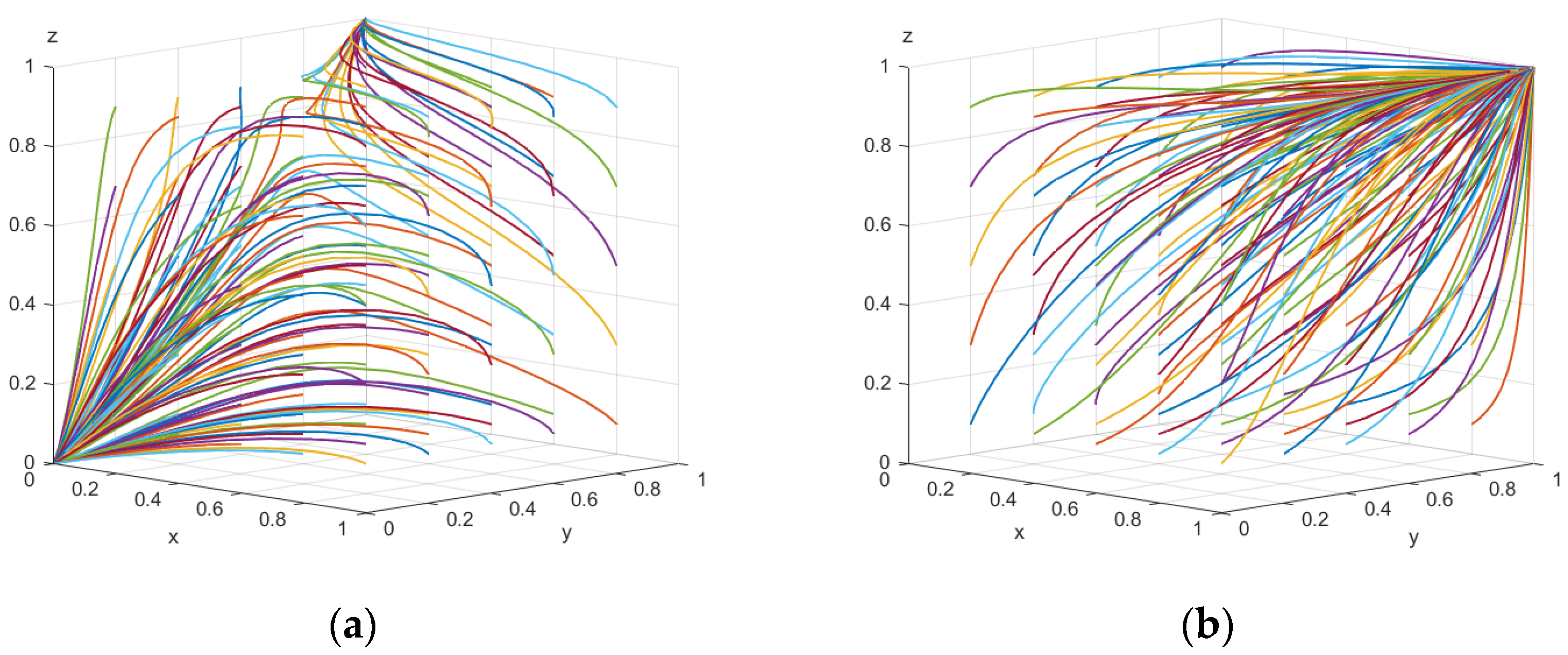
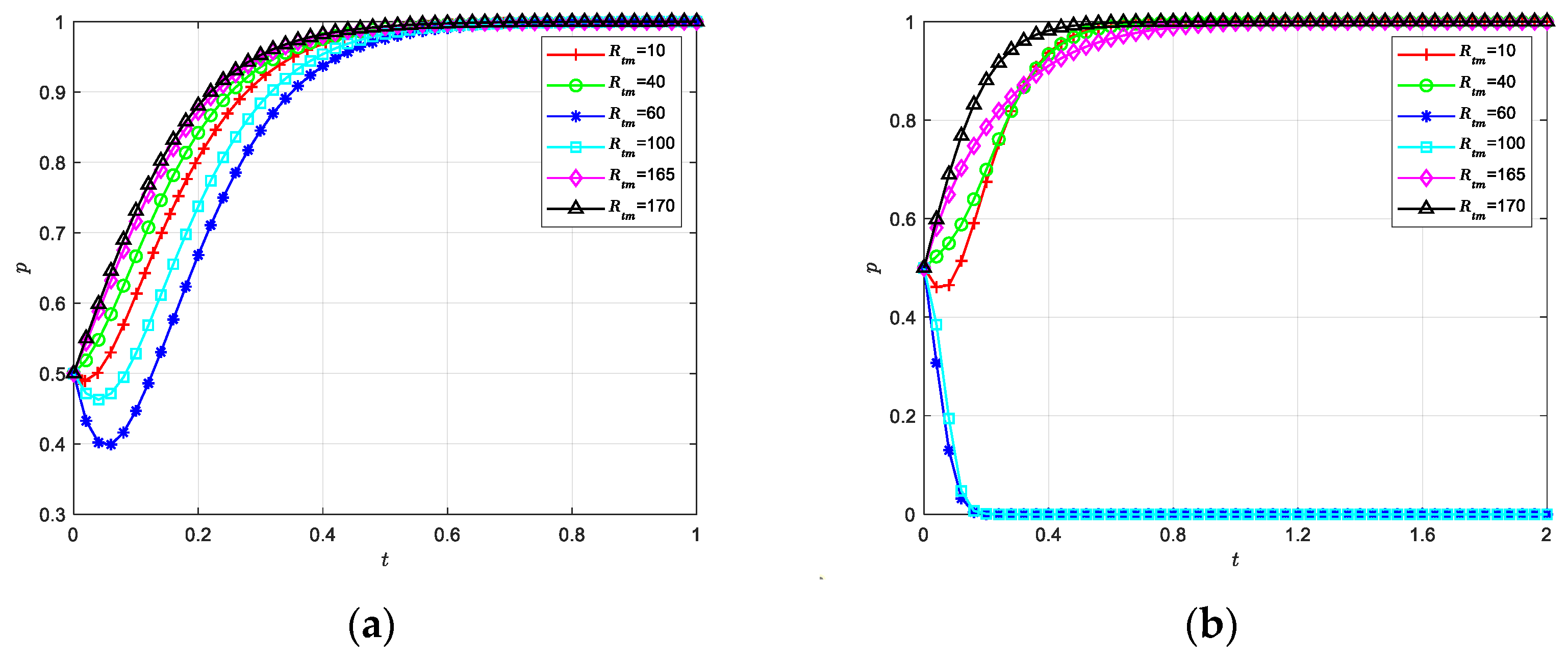
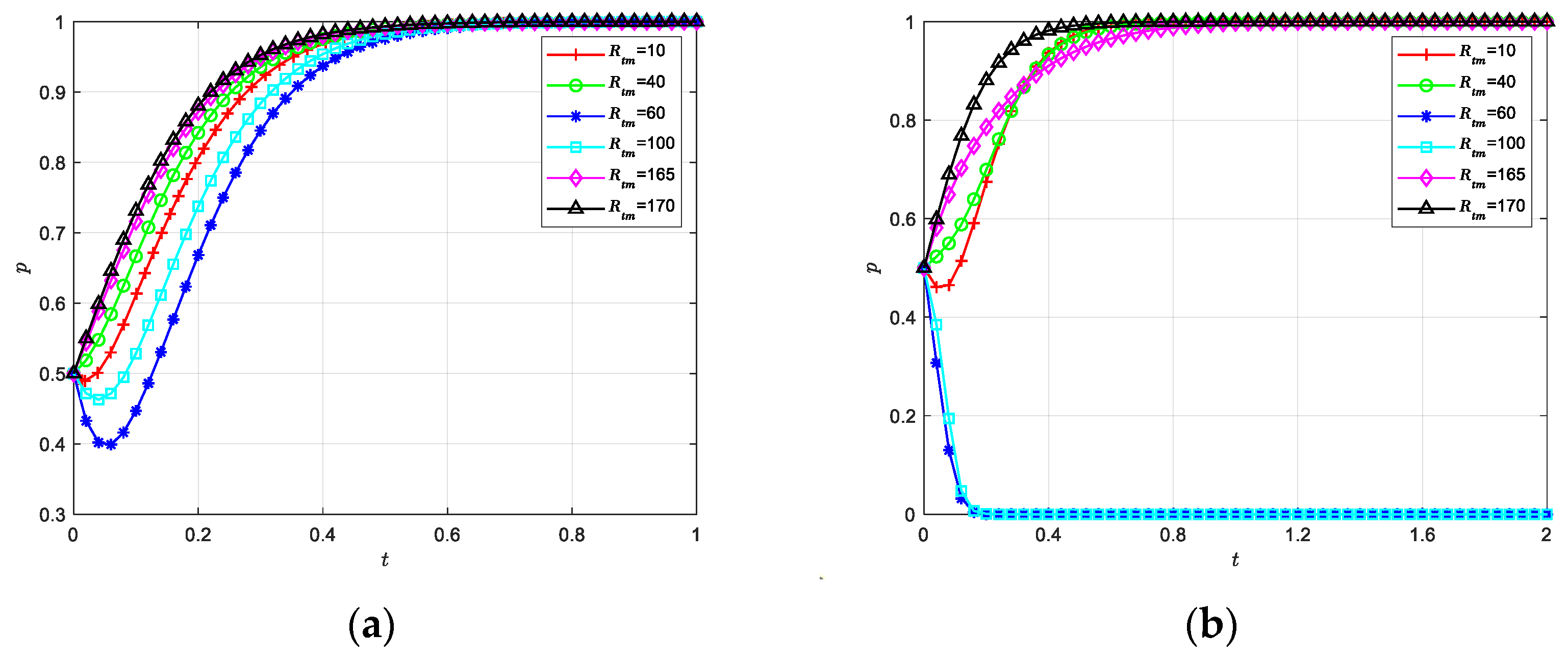
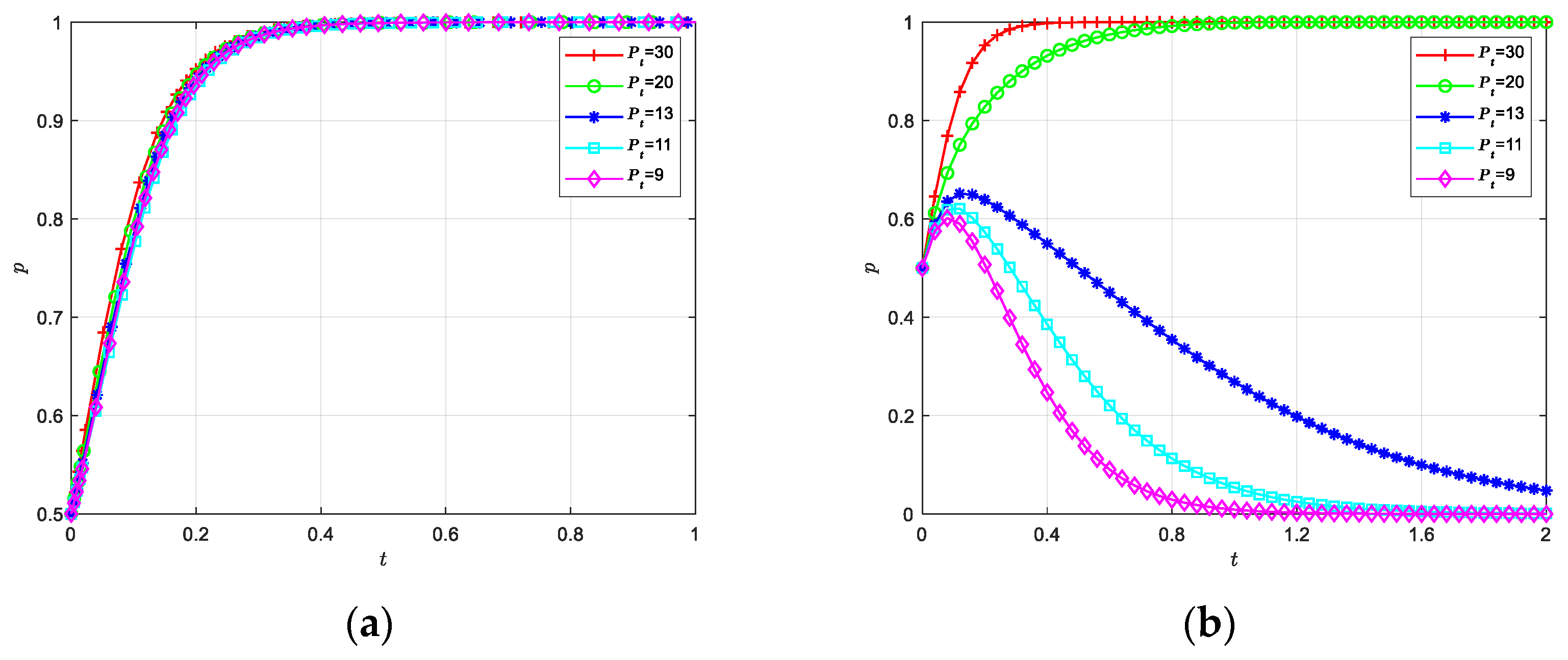
In order to study the influence of initial strategy selection probabilities of each participant on other participants, we assigned values of 0.1, 0.3, 0.5, 0.7, and 0.9 to each initial probability. To ensure the consistency of the result output, when exploring the influence of changes in the initial strategy selection probability of one player, the probability of other players was kept at 0.5. The simulation results are shown in Figure 6. It can be seen that the greater the probability of FIs accessing the platform, the more likely SMEs are to make a good-faith pledge and the more inclined 3PLs will be to not cover. The higher the probability of a good-faith pledge by SMEs, the slower the speed at which FIs choose to access the platform and the faster the speed of 3PLs choosing not to cover when it is unprofitable. The higher the probability that 3PLs choose not to cover, the slower the speed of FIs choosing to access the platform and the faster the speed at which SMEs choose to pledge with integrity. It can be inferred that FIs accessing blockchain platform is effective in facilitating SMEs and 3PLs to choose positive financing strategies. From the simulation results, it can also be seen that the time for SMEs to evolve into a good-faith pledge is always longer than the time for 3PLs to evolve into not cover. From this, it can be inferred that the choice of the pledge strategy of SMEs depends to a certain extent on the strategy choice of 3PLs, manifested as a state that is followed closely behind. Therefore, enhancing the enthusiasm of 3PLs to not cover can effectively avoid repeated pledge behavior of SMEs, thereby reducing financing risks.
Figure 6.
The influence of initial selection probability: (a) the influence of on ; (b) the influence of on ; (c) the influence of on ; (d) the influence of on ; (e) the influence of on ; (f) the influence of on .
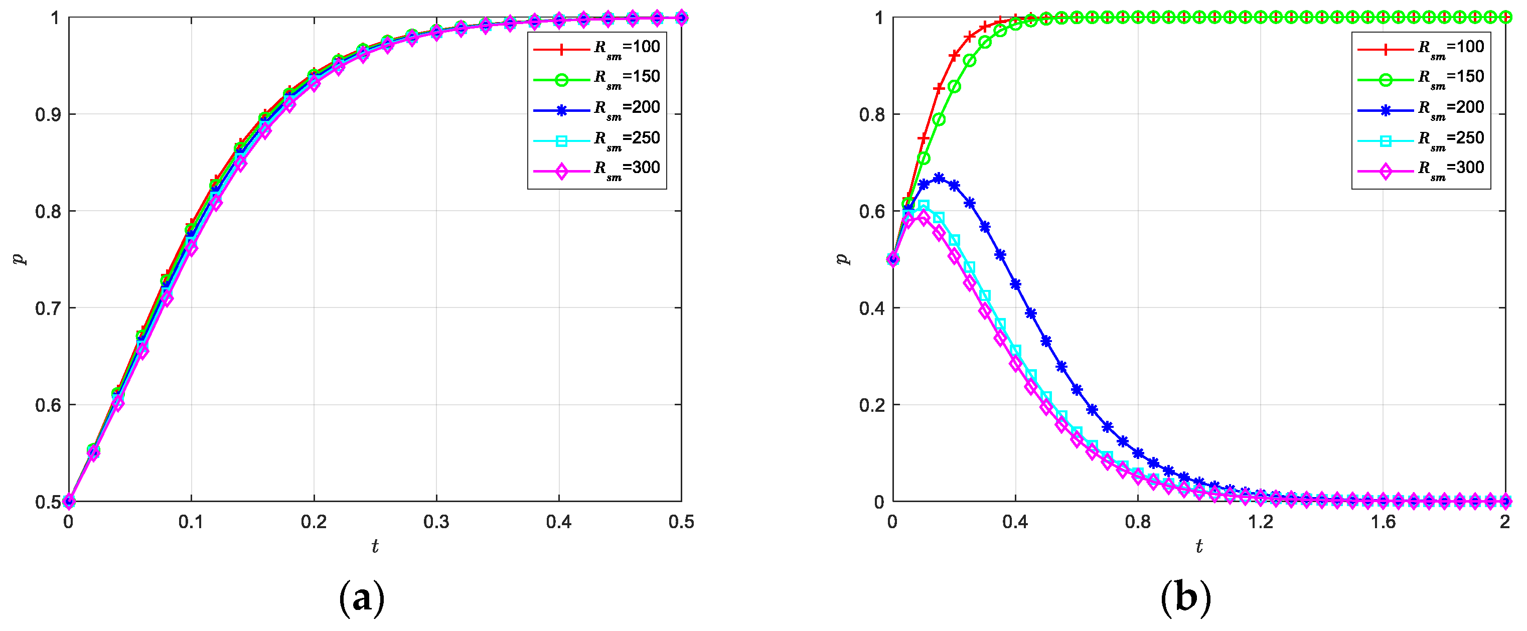
5.2. The Influence of Blockchain Access Cost
The evolution trajectory of FIs is shown in Figure 7. We can see that if the cost of accessing blockchain is lower than the cost of conducting FTW financing business, FIs will eventually tend to access blockchain, and the lower the cost, the faster FIs will tend to access blockchain. When the cost of accessing blockchain is greater than the cost of conducting FTW financing business, FIs will eventually tend to not access blockchain, and the higher the cost, the faster FIs will tend to not access blockchain. It can be seen that when the cost of accessing blockchain is lower than the threshold (FTW business development cost), FIs eventually tend to adopt the strategy of “access blockchain”.
Figure 7.
Sensitivity of FIs to the cost of accessing blockchain.
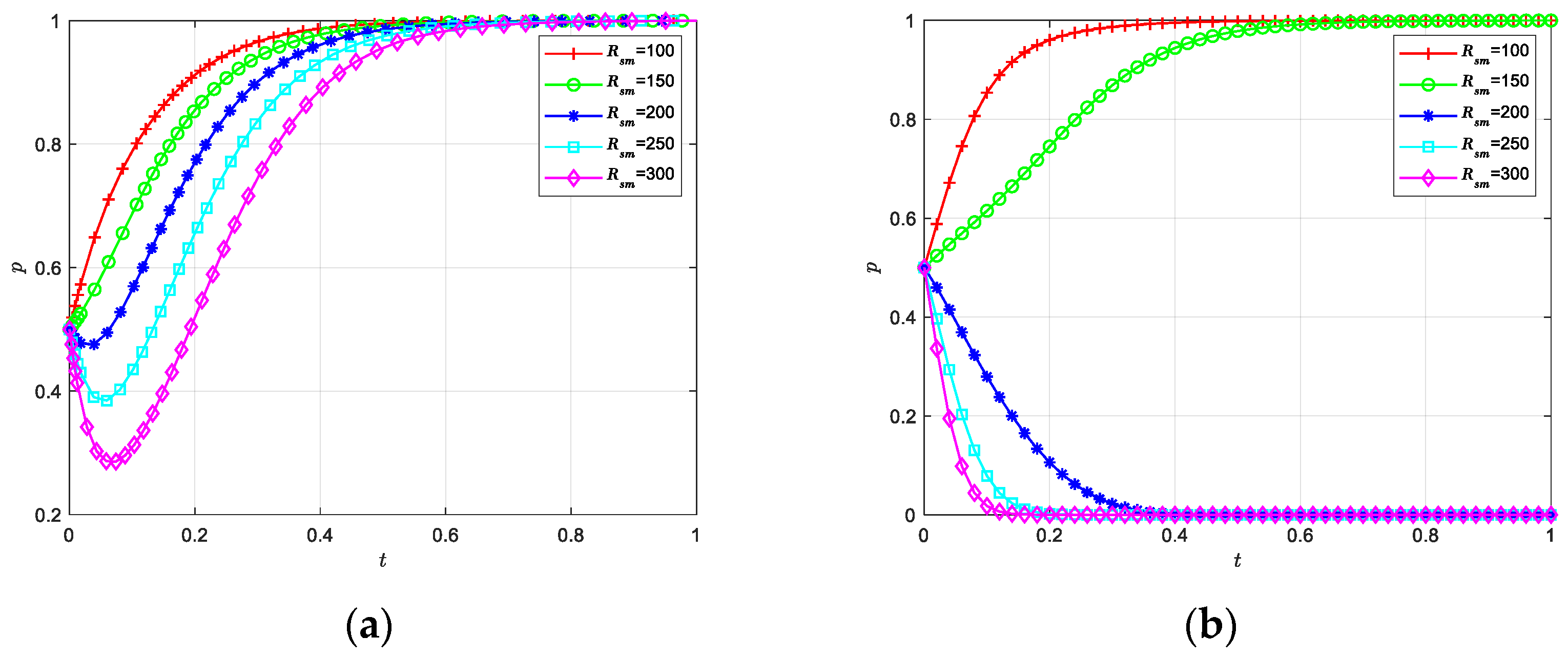
From the above sensitivity analysis, we can conclude that the blockchain accessing cost significantly affects the choice of strategy of FIs and whether FIs accessing blockchain will have a direct impact on the repeated pledge behavior of SMEs and 3PLs. Therefore, the sensitivity of the change in key parameters of the simulation of SMEs’ and 3PLs’ strategy selection can be distinguished by whether FIs access blockchain or not. When FIs choose to access blockchain, the value of is 10, and when they do not access blockchain, the value of is 50. The sensitivity of additional income by repeated pledge and reward by honest pledge was simulated as was the sensitivity of additional income by covering and reward by not covering.
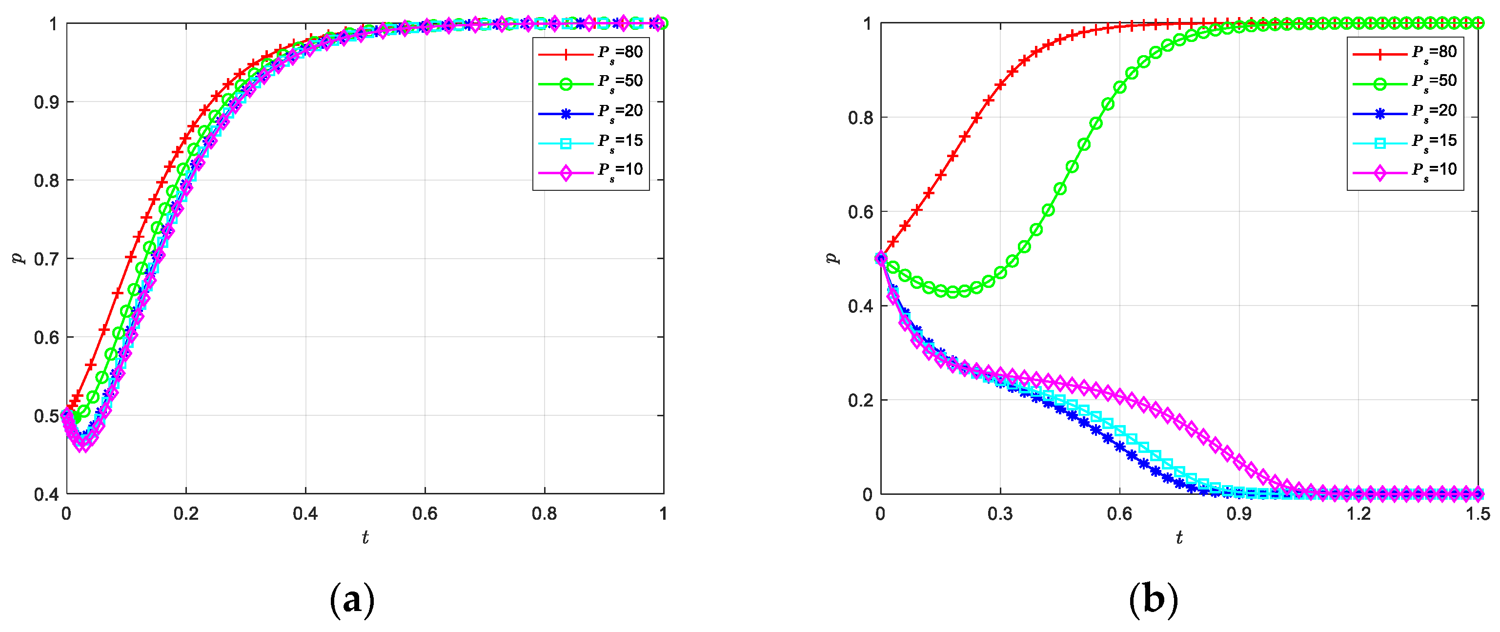
5.3. The Influence of Additional Income of Repeated Pledge
The evolution trajectory of SMEs and 3PLs are shown in Figure 8 and Figure 9 when the additional income of repeated pledge changes. It can be seen that the additional income of repeated pledge is sensitive to the influence of SMEs’ strategy selection. As shown in Figure 8a, with the increase in additional income from a repeated pledge, the speed at which SMEs tend to adopt good-faith pledge slows down. When the additional income from a repeated pledge exceeds a certain threshold, SMEs’ strategy selection shows a trend of repeated pledge, and the larger the additional income, the more obvious the trend. However, ultimately, it stabilizes to good-faith pledge due to FIs choosing to access blockchain. As shown in Figure 9a, as FIs choose to access blockchain, the impact of additional income of repeated pledge on 3PLs is not obvious. As shown in Figure 8b, with the increase in additional income from a repeated pledge, the speed at which SMEs tend to adopt good-faith pledge slows down. When the additional income from a repeated pledge exceeds a certain threshold, SMEs finally choose repeated pledge, and the larger the value, the faster they tend to choose repeated pledge. As shown in Figure 9b, 3PLs seem to be followers of SMEs. If SMEs pledge in good faith, 3PLs will not cover; if SMEs pledge repeatedly, 3PLs will cover. Therefore, in the blockchain model, as the additional income of repeated pledge increases, the model eventually stabilizes to “access blockchain”, “good-faith pledge”, and “no cover”. In the traditional model, when the additional income of repeated pledge increases but falls below a certain threshold, the model eventually stabilizes to “do not access blockchain”, “good-faith pledge”, and “not cover”. If it exceeds a certain threshold, the model eventually stabilizes to “do not access blockchain”, “repeated pledge”, and “cover”.
Figure 8.
SMEs’ sensitivity to additional income from a repeated pledge: (a) FIs access blockchain; (b) FIs do not access blockchain.
Figure 9.
3PLs’ sensitivity to additional income from a repeated pledge: (a) FIs access blockchain; (b) FIs do not access blockchain.
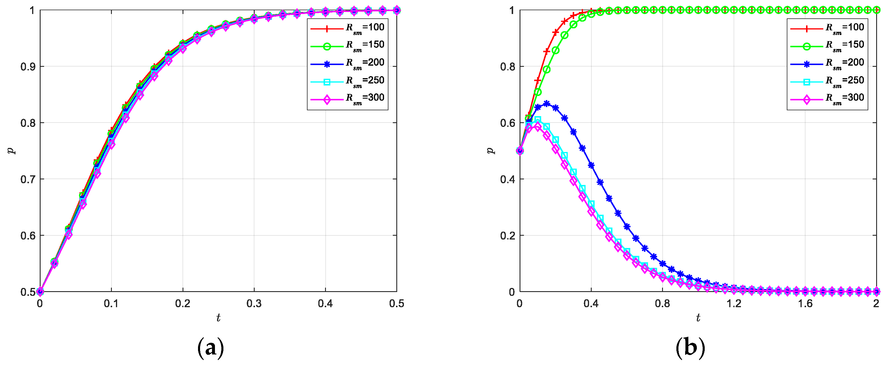
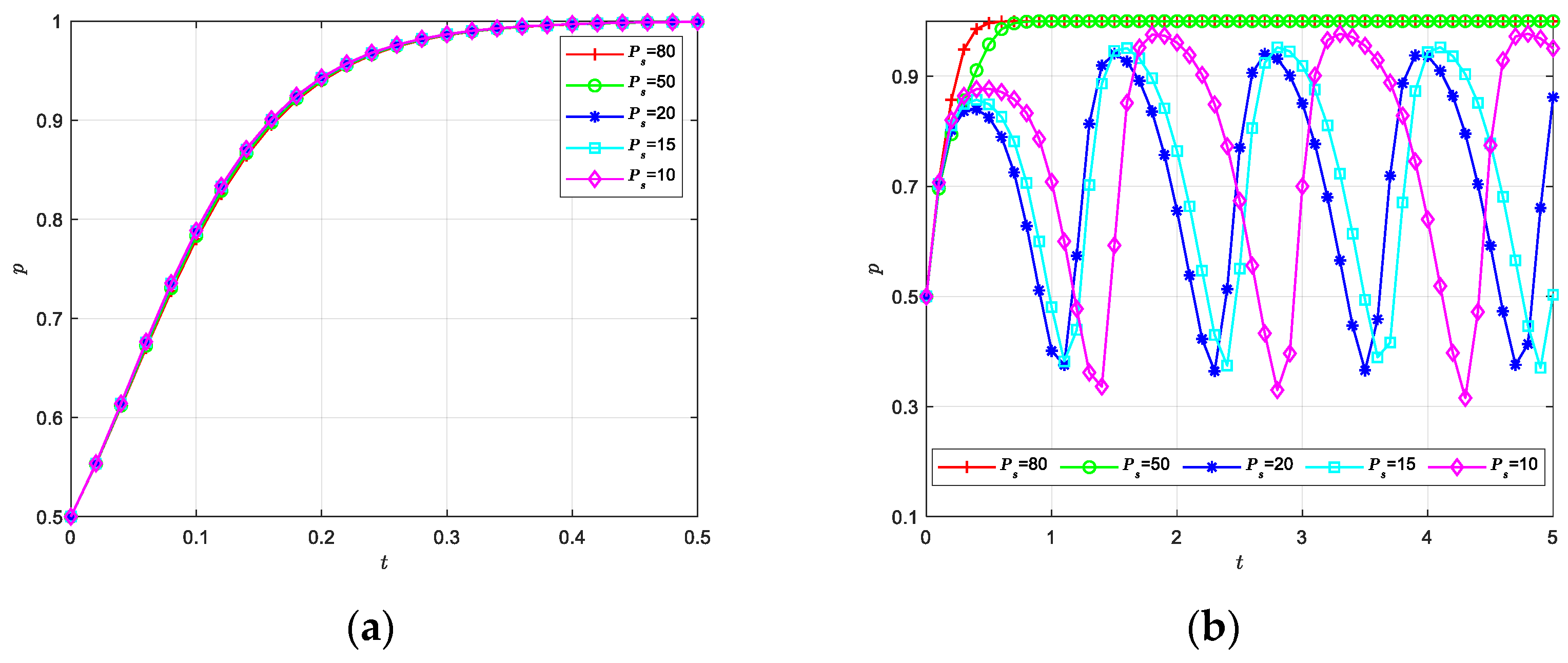
5.4. The Influence of Additional Income of Covering
Figure 10 and Figure 11 show the evolution trajectory of 3PLs and SMEs. When FIs access blockchain, the smaller the additional income from covering, the faster 3PLs tend to not cover. They eventually stabilize to the “not cover” strategy due to FIs choosing to access blockchain (Figure 10a). When the additional income obtained for covering gradually increases below a certain threshold, SMEs tend to slow down the speed of the good-faith pledge. When they gradually increase above a certain threshold, SMEs tend to accelerate the speed of the good-faith pledge (Figure 11a). When FIs do not access blockchain, the smaller the additional income from covering, the faster 3PLs tend to not cover. When the additional income from covering exceeds a certain threshold, 3PLs will stabilize to the “cover” strategy. However, when the additional income from covering is large, exceeding the additional income from SMEs’ repeated pledge, 3PLs will eventually stabilize to the “not cover” strategy (Figure 10b). For SMEs, when the additional income of covering exceeds the additional income of repeated pledge by SMEs, SMEs will quickly stabilize to the “good-faith pledge” strategy (Figure 11b). Because the benefit of covering obtained by 3PLs comes from SMEs, when the covering cost paid by SMEs is high, the net benefit of repeated pledge that SMEs can obtain will decrease. The repeated pledge collusion behavior of SMEs and 3PLs cannot reach an agreement, and 3PLs will quickly stabilize to the “not cover” strategy. Therefore, in the blockchain model, no matter how much additional income is obtained by 3PLs from covering change, the model eventually stabilizes to “access blockchain”, “good-faith pledge”, and “not cover”. In the traditional model, the model eventually stabilizes to “do not access blockchain”, “good-faith pledge”, and “not cover” when the additional income obtained by 3PLs from covering are small or too large, and at an appropriate intermediate value, the model eventually stabilizes to “do not access blockchain”, “repeated pledge”, and “cover”.
Figure 10.
3PLs’ sensitivity to additional income from covering: (a) FIs access blockchain; (b) FIs do not access blockchain.
Figure 11.
SMEs’ sensitivity to additional income from covering: (a) FIs access blockchain; (b) FIs do not access blockchain.
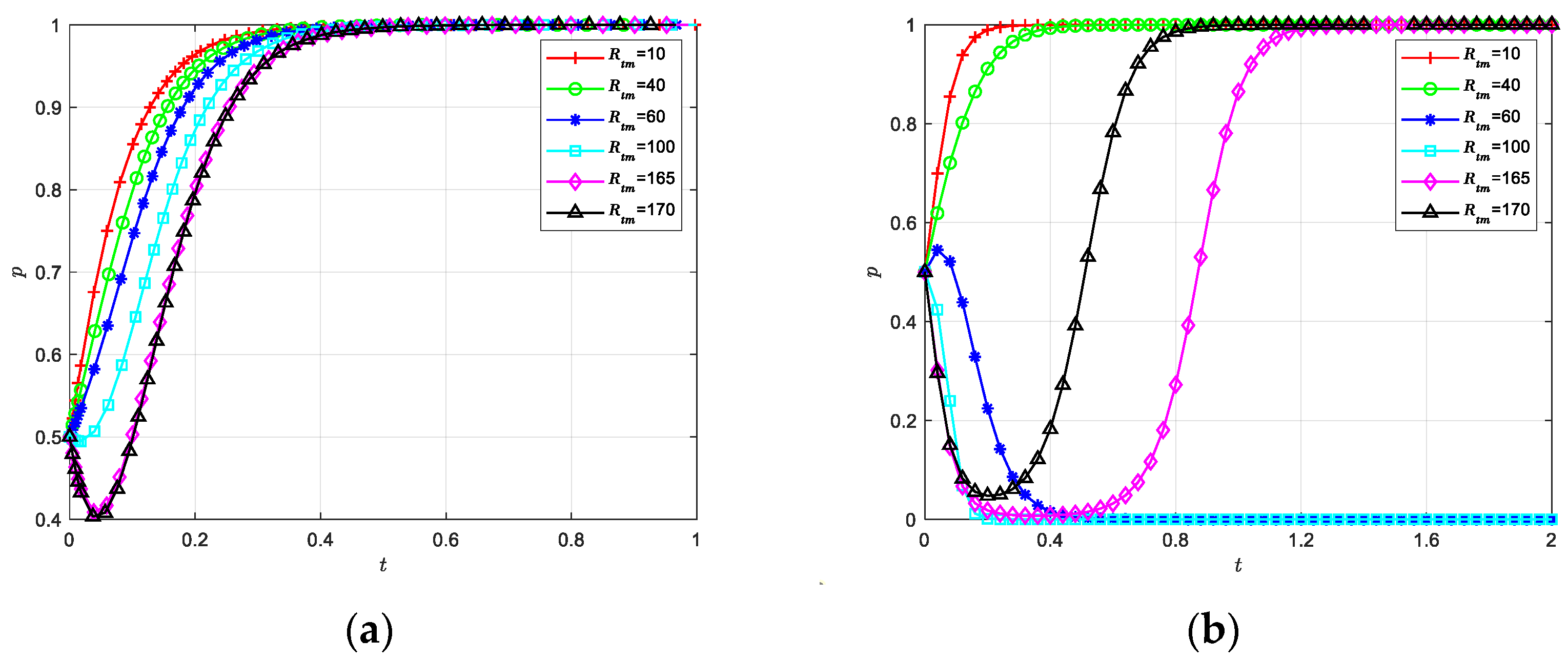
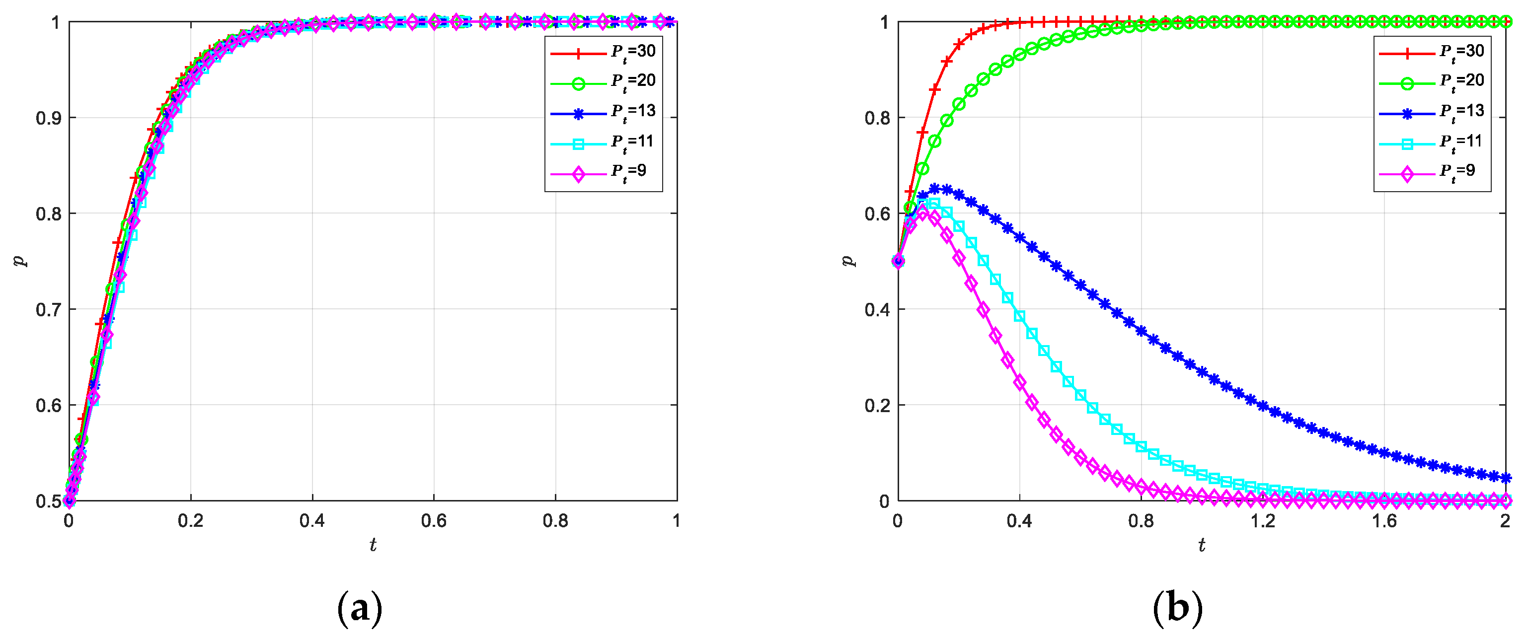
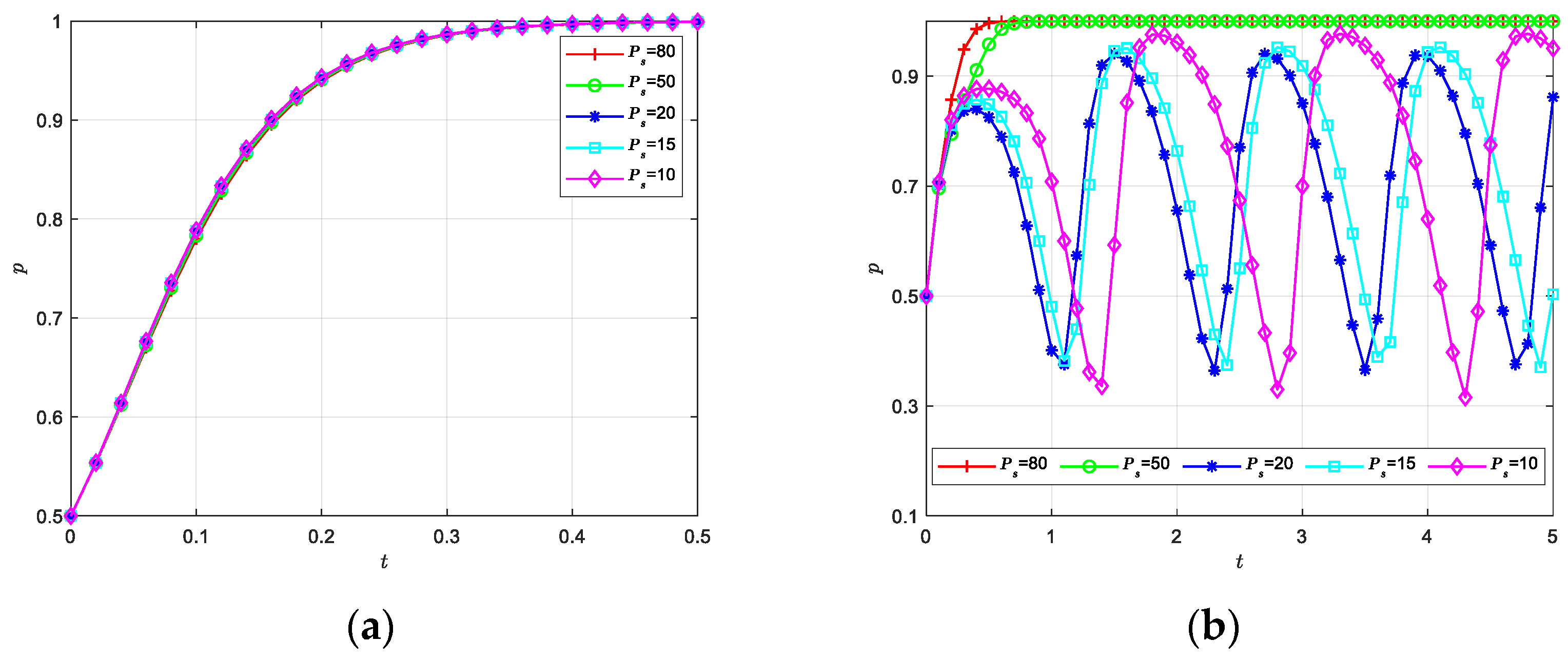
5.5. The Influence of Penalty of Repeated Pledge
The evolution trajectory of SMEs and 3PLs under repeated pledge penalty changes are shown in Figure 12 and Figure 13. As can be seen from Figure 12a, when accessing blockchain, the greater the penalty for repeated pledge, the faster SMEs will achieve good-faith pledge. When the penalty for repeated pledge is very small, SMEs tend to exhibit a trend of repeated pledge but eventually stabilize to good-faith pledge because of the blockchain model. As shown in Figure 13a, the repeated pledge penalty has little impact on 3PLs. As can be seen from Figure 12b, in the traditional FTW financing model, the greater the penalty for repeated pledge, the faster SMEs tend to make a good-faith pledge. When the penalty for repeated pledge is lower than a certain threshold, SMEs will eventually tend to make a repeated pledge. However, for 3PLs (as shown in Figure 13b), when the repeated pledge penalty is higher than a certain threshold, it eventually stabilizes to the “not cover” strategy. When the repeated pledge penalty is lower than a certain threshold, it eventually presents a fluctuating and unstable state. Therefore, in the blockchain model, regardless of how SMEs’ repeated pledge penalty changes, the model eventually stabilizes to “access blockchain”, “good-faith pledge”, and “not cover”. In the traditional model, when SMEs’ repeated pledge penalty exceeds a certain threshold, the model eventually stabilizes to “do not access blockchain”, “good-faith pledge”, and “not cover”, and if it is below a certain threshold, the model has a fluctuating, unstable state.
Figure 12.
SMEs’ sensitivity to repeated pledge penalty: (a) FIs access blockchain; (b) FIs do not access blockchain.
Figure 13.
3PLs’ sensitivity to repeated pledge penalty: (a) FIs access blockchain; (b) FIs do not access blockchain.
5.6. The Influence of Penalty of Covering
The evolution trajectories of 3PLs and SMEs when covering penalty changes are shown in Figure 14 and Figure 15. As shown in Figure 14a, the greater the covering penalty, the faster 3PLs will tend to not cover, but this effect is not obvious in the blockchain model. Similarly, the sensitivity of SMEs to cover penalties is not significant (as shown in Figure 15a). As can be seen from Figure 14b, under the traditional FTW model, the greater the covering penalty, the faster 3PLs will tend to not cover, but the effect is particularly obvious. When the covering penalty is below a certain threshold, 3PLs tend to the “cover” strategy, and the speed of this trend increases as the penalty decreases. For SMEs, the willingness of 3PLs to cover means that they have an opportunity to take advantage of it. Therefore, when the cost of covering is below a certain threshold, SMEs will definitely choose the strategy of “repeated pledge”. When the cost of covering exceeds a certain threshold, SMEs will try to make a repeated pledge. However, because 3PLs are stable in the strategy of “not cover”, they finally choose the “good-faith pledge” strategy, which can be seen from Figure 15b, and the time for SMEs to reach stability is longer than that for 3PLs. Therefore, in the blockchain model, no matter how the covering penalty changes, the model eventually stabilizes to “access blockchain”, “good-faith pledge”, and “not cover”. In the traditional model, when the covering penalty exceeds a certain threshold, the model eventually stabilizes to “do not access blockchain”, “good-faith pledge”, and “not cover”, and if it is below a certain threshold, the model eventually stabilizes to “do not access blockchain”, “repeated pledge”, and “cover”.
Figure 14.
3PLs’ sensitivity to cover penalty: (a) FIs access blockchain; (b) FIs do not access blockchain.
Figure 15.
SMEs’ sensitivity to cover penalty: (a) FIs access blockchain; (b) FIs do not access blockchain.
5.7. Discussion of Simulation Results
Through the above simulation analysis, it can be seen that the blockchain access cost is the main factor affecting the choice of FI strategy. When the blockchain access cost is lower than the cost of developing the FTW financing business, FIs will choose to access blockchain. When FIs choose to access blockchain, SMEs and 3PLs cannot collude to repeated pledges, which can reduce risk to FIs. At this point, no matter how much additional income is obtained from a repeated pledge and covering the pledge, they will eventually stabilize to the ideal stability strategy of “good-faith pledge” and “not cover”. The EG model will finally stabilize to “access blockchain”, ”good-faith pledge”, and “not cover”. When FIs do not choose to access blockchain, the EG model may eventually stabilize to two states: (1) “do not access blockchain”, “good-faith pledge”, and “not cover” and (2) “do not access blockchain”, “repeated pledge”, and “cover”. At this point, enhancing the enthusiasm of 3PLs to not cover can effectively avoid repeated pledge behavior of SMEs. When both SMEs’ repeated pledge and 3PLs’ decision to cover can obtain great additional income, they will eventually choose repeated pledge and cover, but the additional income of 3PLs’ decision to cover cannot exceed the income of SMEs’ repeated pledge. Without accessing blockchain, FIs can increase the punishment for dishonest behavior by SMEs and 3PLs, which can play a positive incentive role.
6. Conclusions
6.1. Results
To solve the problem of repeated pledge in the process of FTW financing, this study built an EG model based on BT involving FIs, SMEs, and 3PLs. Through theoretical deduction and simulation results, some conclusions were made as follows.
First, the factors that drive FIs to access the blockchain platform are the blockchain access cost being lower than the financing business development cost of FTW financing and the measures in the blockchain FTW financing model that prevent collusion and defaults by SMEs and 3PLs. According to the results of evolutionary equilibrium and the sensitivity of the change of the blockchain platform access cost, the strategy selection of FIs can be obtained. This is consistent with the research conclusion of Wang et al. [39]. However, by establishing an EG model with the participation of 3PLs, this study considered the key participants involved in the default behavior. Although this finding came from constructing a tripartite EG of FTW, it is also applicable to any field that needs to combine BT to resolve information asymmetry because cost is an important issue that no industry can avoid.
Second, the driving force of a good-faith pledge by SMEs and decision not to cover by 3PLs is the punishment mechanism formulated by FIs under the traditional FTW model. This is similar to the research conclusion of Zhao et al. [46]. From the equilibrium stability analysis and parameter sensitivity simulation, it can be seen that under the traditional model, FIs giving a larger penalty for breach of contract can reduce the probability of defaults by SMEs and 3PLs, and both of them stabilize to the ideal state of “good-faith pledge” and “not cover”, respectively. The difference of this study is that we conducted not only theoretical analysis of the equilibrium results but also the numerical simulation. This is a general rule that can be applied to any field. Because the function of the punishment mechanism is to form a restraining effect on the subject’s breach of contract, when this degree of restraint is reached, the subject will naturally choose to keep the agreement.
Third, under the blockchain FTW financing model, SMEs will stabilize to the “good-faith pledge” strategy, while 3PLs will stabilize to the “not cover” strategy. This is consistent with the idea that blockchain can form a strict regulatory environment to prevent the occurrence of defaults, as was obtained by Sun et al. [19]. Theoretical analysis shows that under the traditional FTW financing model, SMEs and 3PLs may choose the nonideal financing strategy of repeated pledge and cover or the ideal financing strategy of honest pledge and not cover due to differences in additional income, penalties, and incentives for breach of contract. And the blockchain FTW model will only stabilize at the ideal strategy. The results of sensitivity analysis were also consistent.
Fourth, under the traditional FTW financing model, increasing the additional income of 3PLs to cover the repeated pledge behavior of SMEs can destroy their cooperation in collusion behavior. The results of sensitivity analysis show that when the additional income obtained by 3PLs’ cover behavior exceeds the additional income obtained by the repeated pledge behavior of SMEs, 3PLs will quickly change from covering to not covering strategy. This is because the additional income of 3PLs’ cover comes from the additional income obtained from the repeated pledge behavior of SMEs. In the real world, any participant in the cooperation will carry out benefit distribution. When the benefit distribution is uneven or unreasonable, cooperation will naturally collapse, which is applicable to any cooperation business.
6.2. Suggestions
Based on the above research results, this paper puts forward the following policy suggestions to promote the sound development of the FTW financing business.
First, there should be preferential access fees for FIs to the blockchain platform. Although the blockchain platform has advantages in the supervision of default behaviors in the FTW financing business, FIs will only choose to access the blockchain platform when the cost of access is lower than the cost of developing the FTW financing business. Therefore, measures such as reducing the average cost of use through trial offers, publicity, and promotion of BT to increase the number of users can motivate FIs to use BT.
Second, FIs should increase rewards for 3PLs for honest behavior of not providing cover. The reason 3PLs cover the repeated pledge behavior of SMEs is to obtain more additional income. When 3PLs require a large amount of earnings, the additional income from the repeated pledge behavior of SMEs will decrease and the two parties cannot reach an agreement. Therefore, an increase in FIs’ reward for not covering can indirectly increase the additional income expectation of 3PLs for the cover behavior and destroy the collusion between 3PLs and SMEs. In order to reduce the cost to FIs, the reward can be a long-term principal–agent agreement signed between FIs and 3PLs.
Third, information transparency and authenticity of the blockchain platform must be constantly enhanced. Although BT is immutable and decentralized, it can supervise the default behaviors of SMEs and 3PLs. However, when the coverage of blockchain platform users is narrow and the uploaded information is not true, the supervision effect will be greatly reduced. Therefore, information transparency and authenticity should be enhanced through integration with the internet, Internet of Things, and intelligent terminals and the establishment of a strict information uploading system.
6.3. Limitation of the Research
Firstly, although the tripartite EG model established in this paper obtained the factors that drive FIs to access the blockchain platform and the key factors that influence SMEs and 3PLs to choose the active FTW financing strategy, only the repeated pledge by SMEs and 3PLs covering it were considered in the construction of the model. In the process of FTW financing, the default behaviors of SMEs also include nonrepayment, false pledges, etc., and the default behaviors of 3PLs also include goods damage caused by lax supervision and wrong evaluation of the pledged inventory value. Secondly, in the model assumptions, referring to [39], this study assumed that SMEs cannot carry out repeated pledge behavior under the blockchain FTW model. Although the immutable characteristics of BT can effectively prevent some dishonest behaviors, the correct degree of source information and the degree of information sharing of various subjects are worth thinking about. In addition, in the simulation experiment, the initial parameter assignment of the variable was carried out based on the evolutionary stability condition combined with the real situation, and the validity of the model was only verified theoretically. Finally, in the process of model construction, the influence of uncertain factors, such as group sentiment changes, social interests, and policy changes, on the model was not considered.
6.4. Potential Directions for Further Research
Based on the limitations of the research, several possible future research directions are proposed. Firstly, the EG model can be further improved based on the default behavior of the participants in the FTW financing business. Secondly, by describing information variables such as information authenticity and information sharing amount, combining them into the construction process of the payment matrix, and considering the disturbance of stochastic perturbation to EG, Gaussian white noise can be introduced into the deterministic EG replication dynamic model and a stochastic EG replication dynamic model can be constructed. Finally, by researching relevant practice case data, parameters can be assigned to the model, the simulation experiment can be completed, and a combination of theory and practice can be realized.
Author Contributions
Funding acquisition, Y.H.; methodology, C.Q. and Y.H.; software, C.Q. and Y.H.; writing—original draft, C.Q.; writing—review and editing, Y.H. All authors have read and agreed to the published version of the manuscript.
Funding
This research was funded by the Social Science Foundation of Fujian Province, grant number FJ2023B061; Fujian Province Innovation Strategy (Soft Science) Research Project, grant number 2023R0108; Xiamen Social Science Research Project (Key Project) funded by Xiamen Federation of Social Sciences and Xiamen Academy of Social Sciences, grant number Xiamen Social Science Research [2023]B12; and “I Offer Good Ideas for Building a New Fujian” (United Front Special Project) in 2022, grant number JAT22106.
Data Availability Statement
Data are contained within the article.
Conflicts of Interest
The authors declare no conflict of interest.
References
- Buzacott, J.A.; Zhang, R.Q. Inventory management with asset-based financing. Manag. Sci. 2004, 50, 1274–1292. [Google Scholar] [CrossRef]
- Wang, Y.; Deng, Z.; Xu, P. Operational Models of FTW Based on the Relationship among Participants. East China Econ. Manag. 2010, 24, 128–132. [Google Scholar]
- Qiao, Y.; Ma, C.; Lan, Q.; Zhou, Z. Inventory Financing Model Based on Blockchain Technology. In Proceedings of the Fourth International Conference on Economic and Business Management (FEBM 2019), Sanya, China, 19–21 October 2019; pp. 32–37. [Google Scholar]
- Chen, X.H.; Wang, X.D.; Wu, D.D. Credit risk measurement and early warning of SMEs: An empirical study of listed SMEs in China. Decis. Support Syst. 2010, 49, 301–310. [Google Scholar] [CrossRef]
- Lin, Q.; Peng, Y. Incentive mechanism to prevent moral hazard in online supply chain finance. Electron. Commer. Res. 2019, 48, 571–598. [Google Scholar] [CrossRef]
- Liu, L.; Zhang, J.Z.; He, W.; Li, W. Mitigating information asymmetry in inventory pledge financing through the Internet of things and blockchain. J. Enterp. Inf. Manag. 2021, 34, 1429–1451. [Google Scholar] [CrossRef]
- Li, J.J.; Wang, Z.W. Application Model, Risk Challenges and Policy Suggestions of Supply Chain Finance Based on Blockchain Technology. New Financ. 2021, 48–55. Available online: https://xjro.cbpt.cnki.net/WKC/WebPublication/paperDigest.aspx?paperID=1508fe14-c72b-42bd-9974-c46c873e8c76 (accessed on 9 October 2023).
- Jiang, Y. Research on Operating Mode of Supply Chain Finance Technology Platform. Master’s Thesis, South China University of Technology, Guangzhou, China, 2021. [Google Scholar]
- Li, J.Y.; Maiti, A.; Springer, M.; Gray, T. Blockchain for supply chain quality management: Challenges and opportunities in context of open manufacturing and industrial internet of things. Int. J. Comput. Integr. Manuf. 2020, 33, 1321–1355. [Google Scholar] [CrossRef]
- Wamba, S.F.; Queiroz, M.M. Industry 4.0 and the supply chain digitalization: A blockchain diffusion perspective. Prod. Plan. Control 2020, 33, 193–210. [Google Scholar] [CrossRef]
- Karmakar, R.; Mazumder, S.K.; Hossain, M.B.; Illes, C.B.; Garai, A. Sustainable Green Economy for a Supply Chain with Remanufacturing by Both the Supplier and Manufacturer in a Varying Market. Logistics 2023, 7, 37. [Google Scholar] [CrossRef]
- Shi, J.; Guo, J.; Wang, S.; Wang, Z. Credit Risk Evaluation of Online Supply Chain Finance Based on Third-party B2B E-commerce Platform: An Exploratory Research Based on China’s Practice. Int. J. u-e-Serv. Sci. Technol. 2015, 8, 93–104. [Google Scholar] [CrossRef]
- Iansiti, M.; Lakhani, K.R. The Truth About Blockchain. Harv. Bus. Rev. 2017, 95, 118–127. [Google Scholar]
- Kristoffer, F.; David, S. The Supply Chain Has No Clothes: Technology Adoption of Blockchain for Supply Chain Transparency. Logistics 2018, 2, 2. [Google Scholar]
- Lewontin, R.C. Evolution and the Theory of Games. J. Theor. Biol. 1961, 1, 382–403. [Google Scholar] [CrossRef] [PubMed]
- Gokhale, C.S.; Traulsen, A. Evolutionary Multiplayer Games. Dyn. Games Appl. 2014, 4, 468–488. [Google Scholar] [CrossRef]
- Xia, Y.Y. A Study on Evolution Game of Accounts Receivable Pledge Financing in Supply Chain Finance Model. Int. Bus. Res. 2022, 15, 39–46. [Google Scholar] [CrossRef]
- Gao, G.J.; Feng, Y.Y. Game Analysis of Factoring Financing of Accounts Receivable from the Perspective of Limited Rationality. Manuf. Autom. 2020, 42, 33–38. [Google Scholar]
- Sun, R.; He, D.; Su, H. Evolutionary Game Analysis of Blockchain Technology Preventing Supply Chain Financial Risks. J. Theor. Appl. Electron. Commer. 2021, 16, 2824–2842. [Google Scholar] [CrossRef]
- Su, L.M.; Cao, Y.C.; Li, H.M.; Tan, J. Blockchain-Driven Optimal Strategies for Supply Chain Finance Based on a Tripartite Game Model. J. Theor. Appl. Electron. Commer. 2022, 17, 1320–1335. [Google Scholar] [CrossRef]
- Zheng, S. Financing Warehouse—A bridge between the banks and enterprises. Theory Pract. Financ. Econ. 2004, 25, 43–45. [Google Scholar]
- Sheng, Q.; Wu, Y. Fuzzy Comprehensive Evaluation of Supply Chain Inventory Pledge Financing Risk Based on AHP. Sci. Technol. Manag. Res. 2012, 32, 52–57. [Google Scholar]
- Guo, Q. Research on Supply Chain Finance Model and its Risk Management. Explor. Financ. Theory 2010, 2–5. [Google Scholar] [CrossRef]
- Mondal, B.; Garai, A.; Mukhopadhyay, A.; Majumder, S.K. Inventory policies for seasonal items with logistic-growth demand rate under fully permissible delay in payment: A neutrosophic optimization approach. Soft Comput. 2021, 25, 3725–3750. [Google Scholar] [CrossRef]
- Tian, H.Y.; Huang, Y.X.; Wu, T.; Deng, L.A. Research on Risk Control of Inventory Financing Considering the Income of SMEs. China Bus. Mark. 2018, 32, 43–53. [Google Scholar]
- Garai, A. Fractile criterion iterative-interactive optimisation process for multi-objective stochastic linear programming problems in fuzzy environment. Int. J. Math. Oper. Res. 2021, 18, 289–309. [Google Scholar] [CrossRef]
- Li, T.; Fang, W.; Wu, D.D.; Zhang, B. Inventory financing a risk-averse newsvendor with strategic default. Ind. Manag. Data Syst. 2020, 120, 1003–1038. [Google Scholar] [CrossRef]
- He, J.; Shen, Y.; He, Y. The Establishment of Risk Evaluation Index System of Financing Warehouse. Enterp. Econ. 2008, 127–129. [Google Scholar] [CrossRef]
- Yan, Y.; Yuan, M.; He, X.L.; Suo, B. Risk evaluation for inventory financing before loans based on D-S evidence theory. Comput. Eng. Appl. 2015, 51, 239–244. [Google Scholar]
- Abbasi, W.A.; Wang, Z.; Zhou, Y.; Hassan, S. Research on measurement of supply chain finance credit risk based on Internet of Things. Int. J. Distrib. Sens. Netw. 2019, 15, 1550147719874002. [Google Scholar] [CrossRef]
- Zhou, L.; Li, Z. Application of Blockchain in Supply Chain Finance. China CIO News. 2016, 49–51. [Google Scholar] [CrossRef]
- Gong, Q.; Ban, M.; Zhang, Y. Blockchain, Enterprise Digitalization and Supply Chain Finance Innovation. Manag. World 2021, 37, 22–34. [Google Scholar]
- Li, B. Research on the innovation and development of supply chain finance of “blockchain+inventory pledge”. Friends Account. 2022, 155–160. [Google Scholar] [CrossRef]
- Feng, S.; Li, Y. Research on the Application of Blockchain Technology in Credit Risk Management of Supply Chain Finance. Credit. Ref. 2022, 40, 59–65. [Google Scholar]
- Qi, X.; Zhu, Y.; Shao, Q.; Zhang, Z.; Jin, C. A Warehouse Receipt Management System Based on Blockchain Technology. J. East China Norm. Univ. 2018, 144–153. [Google Scholar] [CrossRef]
- Chen, Q. Construction and Application of Warehouse Receipt Pledge Financing Platform Based on Blockchain. Commun. Financ. Account. 2023, 145–149. [Google Scholar] [CrossRef]
- Gao, B.; Zhou, Q.; Li, S.; Liu, X. A Real Time Stare in Market Strategy for Supply Chain Financing Pledge Risk Management. In Proceedings of the 2018 IEEE International Conference on Industrial Engineering and Engineering Management (IEEM), Bangkok, Thailand, 16–19 December 2018; pp. 1116–1119. [Google Scholar]
- Ma, S.; Dong, Q.; Cheng, X. Research on 4PL-led Financing Mode of Cold Chain Logistics Financing Warehouse Based on Stackelberg Game. Math. Pract. Theory 2021, 51, 55–67. [Google Scholar]
- Wang, X.; Zhou, Q. Evolutionary Game Analysis of Bank-Enterprise in Warehouse Receipt Pledge Based on Blockchain. Comput. Eng. Appl. 2022, 58, 307–316. [Google Scholar]
- Song, Y.; Li, W.J. Logistics Finance: Motives of Emergence, Development Pattern and Risk Prevention. South China Financ. 2009, 41–46. [Google Scholar] [CrossRef]
- Jiao, Y.; Yan, X.; Du, J.; Li, J. Tripartite Evolutionary Game Research of Factoring Financing under the Integration of Blockchain. Chin. J. Manag. 2023, 20, 598–609. [Google Scholar]
- Mondal, B.; Garai, A.; Roy, T.K. Operational strategies of fuzzy inventory models for costly metallic items with conditional trade-credit policy linked to purchasing cost. Eur. J. Ind. Eng. 2023, 17, 696–739. [Google Scholar] [CrossRef]
- Xu, P.; Wang, Y.; Yang, J. Study of Incentive and Supervision Mechanism of Banks Based on FTW of Principal-agent Mode towards TPL. J. Manag. Sci. 2008, 21, 108–114. [Google Scholar]
- Selten, R. A note on evolutionarily stable strategies in asymmetric animal conflicts. J. Theor. Biol. 1980, 84, 93–101. [Google Scholar] [CrossRef] [PubMed]
- Wang, X.J.; Gu, C.L.; He, Q.L.; Zhao, J.L. Evolutionary Game Analysis on Credit Market of Supply Chain Finance. Oper. Res. Manag. Sci. 2022, 31, 30–37. [Google Scholar]
- Zhao, J.; Li, Y. Research on Stock Pledge Financing Strategy Based on Evolutionary Game Theory. J. Xidian Univ. 2017, 27, 14–20. [Google Scholar]
Disclaimer/Publisher’s Note: The statements, opinions and data contained in all publications are solely those of the individual author(s) and contributor(s) and not of MDPI and/or the editor(s). MDPI and/or the editor(s) disclaim responsibility for any injury to people or property resulting from any ideas, methods, instructions or products referred to in the content. |
© 2023 by the authors. Licensee MDPI, Basel, Switzerland. This article is an open access article distributed under the terms and conditions of the Creative Commons Attribution (CC BY) license (https://creativecommons.org/licenses/by/4.0/).














