Gait Deviations of the Uninvolved Limb and Their Significance in Unilateral Cerebral Palsy
Abstract
:1. Introduction
2. Materials and Methods
- Patients exclusively with unilateral spastic CP;
- Patients functioning in GMFCS level I–II;
- Patients with no previous surgery of the lower limbs;
- Patients with no Botulinumtoxin–A injections within the last six months.
2.1. Study Population
2.2. Gait Analysis
2.3. Data Analysis
- Kinematic parameters:
- ○
- Trunk tilt, trunk obliquity and trunk rotation;
- ○
- Pelvic tilt, pelvic obliquity and pelvic rotation;
- ○
- Hip flexion/extension, hip abduction/adduction and hip rotation;
- ○
- Knee flexion/extension, knee valgus/varus and knee rotation;
- ○
- Ankle flexion/extension, ankle valgus/varus and foot progression.
- Joint moments:
- ○
- Hip flexion/extension, hip abduction/adduction and hip rotation moments;
- ○
- Knee flexion/extension, knee valgus/varus and knee rotation moments;
- ○
- Ankle flexion/extension, valgus/varus and ankle rotation moments.
- Ground reaction forces:
- ○
- Mediolateral (ML) GRF;
- ○
- Anteroposterior (AP) GRF;
- ○
- Vertical (V) GRF.
- Spatiotemporal parameters:
- ○
- Stance phase (StP) duration;
- ○
- Single support (ss) duration;
- ○
- Double support (ds) duration;
- ○
- Swing phase (SwP) duration.
2.4. Statistical Analysis
3. Results
3.1. Demographics, Anthropometric Characteristics and Spatiotemporal Parameters
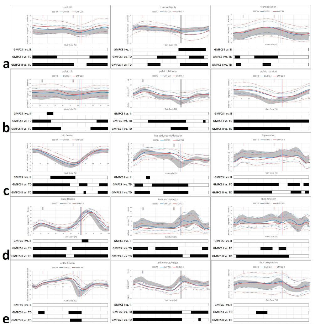
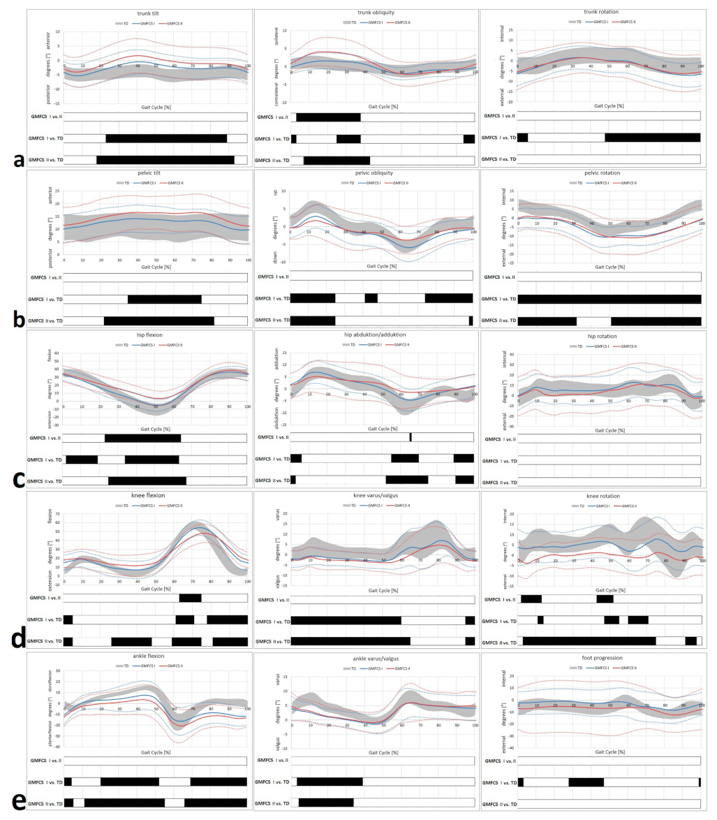
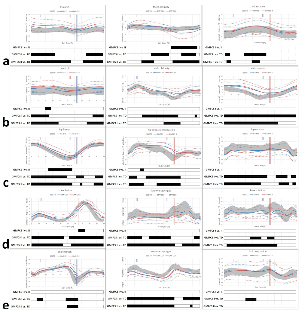
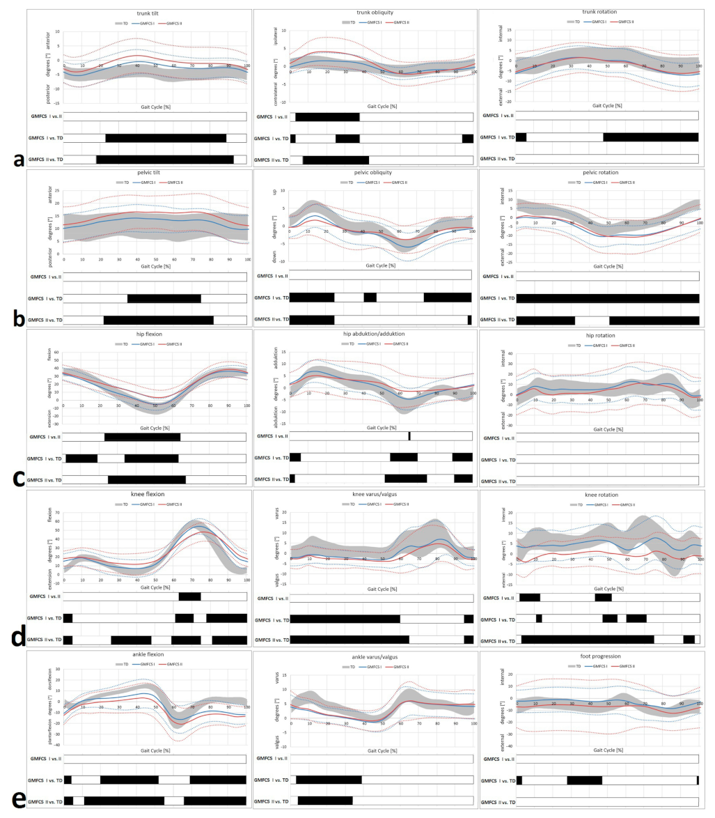
3.2. Kinematic Features and Joint Moments
3.3. Ground Reaction Forces
4. Discussion
5. Conclusions
Author Contributions
Funding
Institutional Review Board Statement
Informed Consent Statement
Data Availability Statement
Acknowledgments
Conflicts of Interest
References
- Colver, A.; Fairhurst, C.; Pharoah, P.O. Cerebral palsy. Lancet 2014, 383, 1240–1249. [Google Scholar] [CrossRef]
- Wren, T.A.; Rethlefsen, S.; Kay, R.M. Prevalence of specific gait abnormalities in children with cerebral palsy: Influence of cerebral palsy subtype, age, and previous surgery. J. Pediatr. Orthop. 2005, 25, 79–83. [Google Scholar]
- States, R.A.; Krzak, J.J.; Salem, Y.; Godwin, E.M.; Bodkin, A.W.; McMulkin, M.L. Instrumented gait analysis for management of gait disorders in children with cerebral palsy: A scoping review. Gait Posture 2021, 90, 1–8. [Google Scholar] [CrossRef]
- Armand, S.; Decoulon, G.; Bonnefoy-Mazure, A. Gait analysis in children with cerebral palsy. EFORT Open Rev. 2016, 1, 448–460. [Google Scholar] [CrossRef]
- Kitai, Y.; Haginoya, K.; Hirai, S.; Ohmura, K.; Ogura, K.; Inui, T.; Endo, W.; Okubo, Y.; Anzai, M.; Takezawa, Y.; et al. Outcome of hemiplegic cerebral palsy born at term depends on its etiology. Brain Dev. 2016, 38, 267–273. [Google Scholar] [CrossRef]
- Theologis, T.; Wright, J. Is 3-D gait analysis essential? By Professor James Wright: Introduction by Mr. Tim Theologis. Gait Posture 2015, 42, 227–229. [Google Scholar] [CrossRef] [PubMed]
- Corradin, M.; Schiavon, R.; Borgo, A.; Deslandes, J.; Cersosimo, A.; Canavese, F. The effects of uninvolved side epiphysiodesis for limb length equalization in children with unilateral cerebral palsy: Clinical evaluation with the Edinburgh visual gait score. Eur. J. Orthop. Surg. Traumatol. 2018, 28, 977–984. [Google Scholar] [CrossRef] [PubMed]
- Huang, H.P.; Kuo, C.C.; Lu, T.W.; Wu, K.W.; Kuo, K.N.; Wang, T.M. Bilateral symmetry in leg and joint stiffness in children with spastic hemiplegic cerebral palsy during gait. J. Orthop. Res. 2020, 38, 2006–2014. [Google Scholar] [CrossRef] [PubMed]
- Tretiakov, M.; Do, K.P.; Aiona, M. The Influence of the Unaffected Hip on Gait Kinematics in Patients with Hemiplegic Cerebral Palsy. J Pediatr. Orthop. 2017, 37, 217–221. [Google Scholar] [CrossRef]
- Papageorgiou, E.; Nieuwenhuys, A.; Vandekerckhove, I.; Van Campenhout, A.; Ortibus, E.; Desloovere, K. Systematic review on gait classifications in children with cerebral palsy: An update. Gait Posture 2019, 69, 209–223. [Google Scholar] [CrossRef]
- Ishihara, M.; Higuchi, Y.; Yonetsu, R.; Kitajima, H. Plantarflexor training affects propulsive force generation during gait in children with spastic hemiplegic cerebral palsy: A pilot study. J. Phys. Ther. Sci. 2015, 27, 1283–1286. [Google Scholar] [CrossRef]
- Thielen, M.; Wolf, S.I.; Klotz, M.C.M.; Geisbüsch, A.; Putz, C.; Krautwurst, B.; Dreher, T. Supracondylar femoral rotation osteotomy affects frontal hip kinetics in children with bilateral cerebral palsy. Dev. Med. Child. Neurol. 2019, 61, 322–328. [Google Scholar] [CrossRef]
- Brunner, R.; Taylor, W.R.; Visscher, R.M.S. Restoration of Heel-Toe Gait Patterns for the Prevention of Asymmetrical Hip Internal Rotation in Patients with Unilateral Spastic Cerebral Palsy. Children 2021, 8, 773. [Google Scholar] [CrossRef] [PubMed]
- Rehani Musagara, A.; Götze, M.; Wolf, S.I. Internally rotated gait induces increased plantarflexion moment without the presence of pes equinus. Gait Posture 2021, 90, 198–199. [Google Scholar] [CrossRef]
- Thielen, M.; Waible, D.; Krautwurst, B.K.; Wolf, S.I.; Dreher, T. Effects of artificially induced bilateral internal rotation gait on gait kinematics and kinetics. Gait Posture 2022, 95, 204–209. [Google Scholar] [CrossRef] [PubMed]
- Salazar-Torres, J.J.; McDowell, B.C.; Kerr, C.; Cosgrove, A.P. Pelvic kinematics and their relationship to gait type in hemiplegic cerebral palsy. Gait Posture 2011, 33, 620–624. [Google Scholar] [CrossRef] [PubMed]
- Palisano, R.; Rosenbaum, P.; Walter, S.; Russell, D.; Wood, E.; Galuppi, B. Development and reliability of a system to classify gross motor function in children with cerebral palsy. Dev. Med. Child Neurol. 1997, 39, 214–223. [Google Scholar] [CrossRef]
- Feng, J.; Pierce, R.; Do, K.P.; Aiona, M. Motion of the center of mass in children with spastic hemiplegia: Balance, energy transfer, and work performed by the affected leg vs. the unaffected leg. Gait Posture 2014, 39, 570–576. [Google Scholar] [CrossRef]
- Abdin, M.M.N.; Abdelazeim, F.; Elshennawy, S. Immediate effect of induced fatigue of the unaffected limb on standing balance, proprioception and vestibular symptoms in children with hemiplegia. J. Pediatr. Rehabil. Med. 2020, 13, 119–125. [Google Scholar] [CrossRef]
- Tsitlakidis, S.; Beckmann, N.A.; Wolf, S.I.; Hagmann, S.; Renkawitz, T.; Götze, M. GMFCS Level-Specific Differences in Kinematics and Joint Moments of the Involved Side in Unilateral Cerebral Palsy. J. Clin. Med. 2022, 11, 2556. [Google Scholar] [CrossRef]
- Cimolin, V.; Galli, M.; Tenore, N.; Albertini, G.; Crivellini, M. Gait strategy of uninvolved limb in children with spastic hemiplegia. Eura. Medicophys. 2007, 43, 303–310. [Google Scholar] [PubMed]
- Houx, L.; Lempereur, M.; Rémy-Néris, O.; Brochard, S. Threshold of equinus which alters biomechanical gait parameters in children. Gait Posture 2013, 38, 582–589. [Google Scholar] [CrossRef] [PubMed]
- Kadaba, M.P.; Ramakrishnan, H.K.; Wootten, M.E. Measurement of lower extremity kinematics during level walking. J. Orthop. Res. 1990, 8, 383–392. [Google Scholar] [CrossRef]
- Baker, R.; Leboeuf, F.; Reay, J.; Sangeux, M. The Conventional Gait Model-Success and Limitations. In Handbook of Human Motion; Springer International Publishing: Cham, Switzerland, 2018; pp. 489–508. [Google Scholar]
- Krautwurst, B.K.; Wolf, S.I.; Heitzmann, D.W.; Gantz, S.; Braatz, F.; Dreher, T. The influence of hip abductor weakness on frontal plane motion of the trunk and pelvis in patients with cerebral palsy. Res. Dev. Disabil. 2013, 34, 1198–1203. [Google Scholar] [CrossRef] [PubMed]
- Davis, R.B.; Õunpuu, S.; Tyburski, D.; Gage, J.R. A gait analysis data collection and reduction technique. Hum. Mov. Sci. 1991, 10, 575–587. [Google Scholar] [CrossRef]
- Perry, J.; Burnfield, J. Gait Analysis: Normal and Pathological Function. J. Sports Sci. Med. 2010, 9, 353. [Google Scholar] [CrossRef]
- Kratschmer, R.; Bohm, H.; Doderlein, L. Kinematic adaptation and changes in gait classification in running compared to walking in children with unilateral spastic cerebral palsy. Gait Posture 2019, 67, 104–111. [Google Scholar] [CrossRef]
- Riad, J.; Finnbogason, T.; Broström, E. Anatomical and dynamic rotational alignment in spastic unilateral cerebral palsy. Gait Posture 2020, 81, 153–158. [Google Scholar] [CrossRef]
- Agostini, V.; Nascimbeni, A.; Gaffuri, A.; Knaflitz, M. Multiple gait patterns within the same Winters class in children with hemiplegic cerebral palsy. Clin. Biomech. (Bristol Avon) 2015, 30, 908–914. [Google Scholar] [CrossRef]
- Skaaret, I.; Steen, H.; Niratisairak, S.; Swanson, D.; Holm, I. Postoperative changes in vertical ground reaction forces, walking barefoot and with ankle-foot orthoses in children with Cerebral Palsy. Clin. Biomech. 2021, 84, 105336. [Google Scholar] [CrossRef]
- Williams, S.E.; Gibbs, S.; Meadows, C.B.; Abboud, R.J. Classification of the reduced vertical component of the ground reaction force in late stance in cerebral palsy gait. Gait Posture 2011, 34, 370–373. [Google Scholar] [CrossRef] [PubMed]
- Kloeckner, J.; Visscher, R.M.S.; Taylor, W.R.; Viehweger, E.; De Pieri, E. Prediction of ground reaction forces and moments during walking in children with cerebral palsy. Front. Hum. Neurosci. 2023, 17, 1127613. [Google Scholar] [CrossRef]
- Liao, T.C.; Samaan, M.A.; Popovic, T.; Neumann, J.; Zhang, A.L.; Link, T.M.; Majumdar, S.; Souza, R.B. Abnormal Joint Loading During Gait in Persons with Hip Osteoarthritis Is Associated With Symptoms and Cartilage Lesions. J. Orthop. Sports Phys. Ther. 2019, 49, 917–924. [Google Scholar] [CrossRef]
- Meyer, C.A.G.; Wesseling, M.; Corten, K.; Nieuwenhuys, A.; Monari, D.; Simon, J.P.; Jonkers, I.; Desloovere, K. Hip movement pathomechanics of patients with hip osteoarthritis aim at reducing hip joint loading on the osteoarthritic side. Gait Posture 2018, 59, 11–17. [Google Scholar] [CrossRef] [PubMed]
- Stafford, G.H.; Villar, R.N. Ischiofemoral impingement. J. Bone Joint Surg. Br. 2011, 93, 1300–1302. [Google Scholar] [CrossRef] [PubMed]
- Tateuchi, H.; Akiyama, H.; Goto, K.; So, K.; Kuroda, Y.; Ichihashi, N. Gait kinematics of the hip, pelvis, and trunk associated with external hip adduction moment in patients with secondary hip osteoarthritis: Toward determination of the key point in gait modification. BMC Musculoskelet. Disord. 2020, 21, 8. [Google Scholar] [CrossRef]





| GMFCS Level I | GMFCS Level II | p-Values Level I vs. II | |
|---|---|---|---|
| demographic/anthropometric characteristics | |||
| n | 63 | 26 | |
| ratio f:m | 29:34 | 11:15 | |
| age (years) | 14.0 ± 7.3 | 18.3 ± 12.9 | 0.053 |
| BMI mean ± SD (kg/m2) | 19.0 ± 3.9 | 20.6 ± 5.3 | 0.104 |
| leg lengths (cm) | |||
| leg length involved mean ± SD | 76.5 ± 11.4 | 79.5 ± 12.9 | 0.286 |
| leg length uninvolved mean ± SD | 77.5 ± 11.5 | 80.6 ± 12.9 | 0.260 |
| p-value leg length involved vs. uninvolved | 0.647 | 0.753 | |
| leg-length discrepancy mean ± SD | 0.9 ± 0.9 | 1.1 ± 0.9 | 0.344 |
| spatiotemporal parameters (%GC) | |||
| StP-duration involved | 58.6 | 59.4 | 0.201 |
| StP-duration uninvolved | 63.2 | 65.8 | <0.001 |
| p-value StP involved vs. uninvolved | <0.001 | <0.001 | |
| ss-duration involved | 36.8 | 33.9 | <0.001 |
| ss-duration uninvolved | 41.3 | 40.5 | 0.205 |
| p-value ss-duration involved vs. uninvolved | <0.001 | <0.001 | |
| ds-duration involved | 21.8 | 25.5 | <0.001 |
| ds-duration uninvolved | 21.8 | 25.3 | <0.001 |
| p-value ds-duration involved vs. uninvolved | 0.962 | 0.919 | |
| SwP-duration involved | 41.4 | 40.6 | 0.201 |
| SwP-duration uninvolved | 36.8 | 34.2 | <0.001 |
| p-value SwP involved vs. uninvolved | <0.001 | <0.001 |
| Gait Features | GMFCS Level I | GMFCS Level II | Within-Subject Factor Un- vs. Involved | Asymmetry (Diff. Uninvolved-Involved) | Between-Subject Factor Asymmetry (GMFCS*Gender) | |||||||
|---|---|---|---|---|---|---|---|---|---|---|---|---|
| Uninvolved | Involved | Uninvolved | Involved | Mean | SD | |||||||
| Mean | SD | Mean | SD | Mean | SD | Mean | SD | |||||
| Kinematics (°) | ||||||||||||
| ankle flexion | ||||||||||||
| initial contact | 0.0 | 4.2 | −11.6 | 8.6 | −1.9 | 6.4 | −13.4 | 8.7 | <0.001 | −11.5 | 8.6 | 0.368 |
| StP max | 15.7 | 3.9 | 9.2 | 9.8 | 16.3 | 9.4 | 5.2 | 11.5 | <0.001 | −7.8 | 9.6 | 0.356 |
| SwP max | 5.5 | 4.6 | −7.1 | 9.2 | 7.8 | 10.1 | −9.3 | 10.5 | <0.001 | −13.9 | 10.3 | 0.658 |
| ankle valgus | ||||||||||||
| StP mean | 0.2 | 1.9 | 1.1 | 3.2 | −0.2 | 1.9 | 1.4 | 3.4 | 0.006 | 1.5 | 5.1 | 0.383 |
| SwP max | 6.1 | 4.1 | 6.5 | 5.2 | 6.1 | 5.3 | 6.9 | 5.9 | 0.428 | 0.5 | 5.8 | 0.430 |
| foot progression | ||||||||||||
| StP mean | −3.6 | 8.3 | −1.8 | 10.3 | −0.4 | 13.6 | −6.3 | 21.3 | 0.824 | −0.4 | 18.1 | 0.375 |
| knee flexion | ||||||||||||
| initial contact | 11.8 | 6.4 | 14.9 | 8.3 | 13.7 | 9.8 | 17.9 | 8.5 | 0.003 | 3.4 | 10.5 | 0.715 |
| StP min | 5.9 | 5.2 | 5.3 | 9.3 | 7.9 | 9.2 | 9.6 | 11.3 | 0.955 | 0.1 | 10.7 | 0.139 |
| SwP max | 59.5 | 6.8 | 55.6 | 8.1 | 56.2 | 7.9 | 49.3 | 9.8 | <0.001 | −4.7 | 11.7 | 0.611 |
| knee valgus | ||||||||||||
| StP mean | −1.0 | 4.1 | −1.9 | 3.6 | −3.0 | 4.4 | −2.8 | 4.1 | 0.179 | −0.6 | 3.9 | 0.339 |
| SwP max | 9.1 | 8.3 | 9.8 | 8.3 | 6.3 | 8.0 | 7.7 | 7.9 | 0.316 | 1.0 | 8.9 | 0.276 |
| knee rotation | ||||||||||||
| StP mean | 3.9 | 6.9 | 4.6 | 7.1 | 1.1 | 6.9 | −0.4 | 6.3 | 0.979 | 0.0 | 8.8 | 0.706 |
| hip flexion | ||||||||||||
| initial contact | 38.4 | 5.4 | 33.6 | 7.5 | 40.7 | 10.0 | 34.9 | 9.5 | <0.001 | −5.1 | 8.6 | 0.030 |
| StP min | −8.3 | 6.3 | −5.8 | 7.3 | −3.1 | 8.9 | 2.6 | 8.9 | <0.001 | 3.4 | 6.5 | 0.186 |
| SwP max | 39.7 | 5.8 | 37.3 | 6.9 | 42.4 | 9.9 | 39.4 | 9.4 | 0.006 | −2.6 | 8.5 | 0.135 |
| hip add/abd | ||||||||||||
| initial contact | 1.2 | 4.3 | 1.5 | 4.6 | 1.4 | 5.3 | 0.7 | 4.4 | 1.000 | 0.0 | 6.0 | 0.646 |
| StP mean | 4.4 | 3.9 | 2.9 | 4.2 | 2.8 | 4.0 | 2.9 | 6.5 | 0.197 | −1.0 | 7.5 | 0.031 |
| hip rotation | ||||||||||||
| StP mean | −1.0 | 10.4 | 5.7 | 13.1 | −3.5 | 10.9 | 2.8 | 18.6 | <0.001 | 6.5 | 16.2 | 0.966 |
| pelvic tilt | ||||||||||||
| StP mean | 12.2 | 4.7 | 12.8 | 5.1 | 14.9 | 6.8 | 14.9 | 6.7 | 0.009 | 0.4 | 1.5 | 0.599 |
| pelvic obliquity | ||||||||||||
| StP max | 6.3 | 3.7 | 3.1 | 3.2 | 5.2 | 4.0 | 2.8 | 3.8 | <0.001 | −2.9 | 6.3 | 0.009 |
| StP mean | 2.8 | 3.2 | −0.7 | 3.0 | 1.7 | 3.4 | −0.7 | 4.0 | <0.001 | −3.2 | 6.3 | 0.020 |
| toe off | −5.3 | 3.9 | −3.6 | 3.9 | <0.001 | −4.0 | 6.2 | 0.022 | ||||
| pelvic rotation | ||||||||||||
| StP min | −0.5 | 5.3 | −4.8 | 5.1 | −1.3 | 7.0 | −4.2 | 8.2 | <0.001 | −11.0 | 11.8 | 0.985 |
| StP mean | 6.6 | 5.0 | −11.6 | 5.4 | 7.3 | 8.1 | −11.9 | 9.6 | <0.001 | −11.4 | 12.0 | 0.903 |
| SwP max | 11.0 | 5.7 | −0.7 | 5.5 | 10.2 | 9.6 | −0.3 | 7.7 | <0.001 | −11.3 | 12.1 | 0.815 |
| trunk tilt | ||||||||||||
| StP mean | −2.6 | 3.5 | −2.6 | 3.9 | −0.7 | 5.1 | −0.8 | 5.4 | 0.994 | 0.0 | 1.4 | 0.361 |
| trunk obliquity | ||||||||||||
| StP mean | 1.1 | 1.6 | 0.4 | 1.7 | 1.0 | 2.7 | 2.0 | 3.2 | 0.732 | −0.1 | 4.0 | 0.741 |
| SwP min | −1.9 | 2.1 | −2.2 | 1.7 | −4.4 | 3.9 | −2.6 | 3.2 | 0.491 | 0.3 | 4.2 | 0.844 |
| trunk rotation | ||||||||||||
| StP mean | 4.0 | 5.7 | −0.7 | 5.4 | 4.0 | 8.5 | −0.7 | 7.4 | 0.001 | −4.7 | 12.4 | 0.960 |
| StP max | 7.9 | 5.9 | 2.6 | 5.8 | 7.5 | 9.1 | 2.7 | 7.3 | <0.001 | −5.1 | 12.6 | 0.943 |
| SwP min | −1.9 | 5.9 | −7.7 | 5.6 | −1.5 | 7.8 | −6.7 | 8.7 | <0.001 | −5.6 | 12.4 | 0.999 |
| Joint moments (Nm/kg) | ||||||||||||
| ankle flexion | ||||||||||||
| StP mean | 0.601 | 0.116 | 0.675 | 0.159 | 0.583 | 0.146 | 0.553 | 0.169 | 0.016 | 0.042 | 0.161 | 0.699 |
| StP max | 1.372 | 0.270 | 1.140 | 0.258 | 1.178 | 0.297 | 0.927 | 0.291 | <0.001 | −0.232 | 0.259 | 0.345 |
| ankle valgus | ||||||||||||
| StP mean | 0.005 | 0.041 | 0.010 | 0.048 | 0.002 | 0.032 | 0.028 | 0.052 | 0.048 | 0.011 | 0.053 | 0.191 |
| StP max | 0.085 | 0.066 | 0.066 | 0.060 | 0.075 | 0.056 | 0.088 | 0.060 | 0.257 | −0.009 | 0.074 | 0.023 |
| ankle/foot rotation | ||||||||||||
| StP min | −0.055 | 0.031 | −0.038 | 0.034 | −0.071 | 0.044 | −0.060 | 0.036 | 0.001 | 0.015 | 0.041 | 0.443 |
| StP mean | 0.035 | 0.027 | 0.033 | 0.032 | 0.010 | 0.041 | 0.006 | 0.042 | 0.570 | −0.003 | 0.049 | 0.920 |
| StP max | 0.139 | 0.084 | 0.093 | 0.047 | 0.097 | 0.072 | 0.060 | 0.041 | <0.001 | −0.042 | 0.090 | 0.366 |
| knee flexion | ||||||||||||
| StP min | −0.289 | 0.123 | −0.348 | 0.177 | −0.321 | 0.143 | −0.292 | 0.191 | 0.125 | −0.032 | 0.195 | 0.527 |
| StP mean | 0.044 | 0.108 | −0.073 | 0.174 | 0.075 | 0.183 | 0.050 | 0.230 | <0.001 | −0.088 | 0.220 | 0.025 |
| StP max | 0.464 | 0.278 | 0.234 | 0.190 | 0.527 | 0.293 | 0.341 | 0.273 | <0.001 | −0.212 | 0.314 | 0.799 |
| knee valgus | ||||||||||||
| StP mean | 0.166 | 0.083 | 0.149 | 0.082 | 0.106 | 0.102 | 0.098 | 0.116 | 0.244 | −0.014 | 0.114 | 0.481 |
| StP max | 0.381 | 0.174 | 0.344 | 0.124 | 0.269 | 0.132 | 0.267 | 0.126 | 0.142 | −0.026 | 0.165 | 0.274 |
| knee rotation | ||||||||||||
| StP min | −0.047 | 0.029 | −0.021 | 0.021 | −0.060 | 0.030 | −0.040 | 0.026 | <0.001 | 0.023 | 0.034 | 0.708 |
| StP max | 0.113 | 0.049 | 0.086 | 0.035 | 0.082 | 0.042 | 0.050 | 0.033 | <0.001 | −0.028 | 0.045 | 0.500 |
| hip flex/ex | ||||||||||||
| StP max | 0.883 | 0.275 | 0.722 | 0.281 | 0.827 | 0.311 | 0.708 | 0.305 | <0.001 | −0.144 | 0.336 | 0.756 |
| StP min | −0.684 | 0.209 | −0.553 | 0.196 | −0.599 | 0.214 | −0.435 | 0.164 | <0.001 | 0.138 | 0.213 | 0.837 |
| SwP max | 0.588 | 0.187 | 0.493 | 0.175 | 0.533 | 0.151 | 0.452 | 0.146 | <0.001 | −0.089 | 0.154 | 0.596 |
| hip add/abd | ||||||||||||
| StP min | −0.204 | 0.166 | −0.109 | 0.157 | −0.128 | 0.116 | −0.133 | 0.110 | 0.002 | 0.064 | 0.187 | 0.941 |
| StP max | 0.702 | 0.166 | 0.703 | 0.179 | 0.680 | 0.183 | 0.615 | 0.201 | 0.470 | −0.019 | 0.242 | 0.004 |
| StP mean | 0.401 | 0.105 | 0.385 | 0.120 | 0.381 | 0.140 | 0.330 | 0.129 | 0.119 | −0.025 | 0.153 | 0.054 |
| hip rotation | ||||||||||||
| StP min | −0.147 | 0.057 | −0.077 | 0.052 | −0.134 | 0.062 | −0.083 | 0.053 | <0.001 | 0.063 | 0.072 | 0.012 |
| StP max | 0.088 | 0.038 | 0.070 | 0.039 | 0.078 | 0.045 | 0.058 | 0.044 | 0.001 | −0.018 | 0.051 | 0.237 |
| StP mean | −0.008 | 0.020 | 0.007 | 0.036 | −0.017 | 0.033 | −0.014 | 0.039 | 0.010 | 0.011 | 0.041 | 0.001 |
| GRF (N/kg) | ||||||||||||
| mediolateral | ||||||||||||
| StP min | −0.400 | 0.221 | −0.288 | 0.199 | −0.292 | 0.231 | −0.283 | 0.207 | 0.005 | 0.083 | 0.261 | 0.052 |
| StP mean | 0.257 | 0.135 | 0.281 | 0.140 | 0.323 | 0.153 | 0.361 | 0.184 | <0.001 | 0.028 | 0.062 | 0.219 |
| anteroposterior | ||||||||||||
| StP min | −1.730 | 0.570 | −1.819 | 0.479 | −1.680 | 0.725 | −1.551 | 0.682 | 0.704 | −0.027 | 0.656 | 0.109 |
| StP max | 2.075 | 0.425 | 1.575 | 0.448 | 1.562 | 0.568 | 1.247 | 0.551 | <0.001 | −0.448 | 0.508 | 0.542 |
| vertical | ||||||||||||
| StP mean | 8.212 | 0.277 | 7.849 | 0.324 | 8.058 | 0.501 | 7.478 | 0.535 | <0.001 | −0.424 | 0.505 | 0.408 |
| StP max | 11.877 | 1.352 | 11.329 | 1.081 | 11.582 | 1.943 | 11.195 | 1.644 | 0.002 | −0.503 | 1.432 | 0.426 |
Disclaimer/Publisher’s Note: The statements, opinions and data contained in all publications are solely those of the individual author(s) and contributor(s) and not of MDPI and/or the editor(s). MDPI and/or the editor(s) disclaim responsibility for any injury to people or property resulting from any ideas, methods, instructions or products referred to in the content. |
© 2023 by the authors. Licensee MDPI, Basel, Switzerland. This article is an open access article distributed under the terms and conditions of the Creative Commons Attribution (CC BY) license (https://creativecommons.org/licenses/by/4.0/).
Share and Cite
Tsitlakidis, S.; Campos, S.; Mick, P.; Doll, J.; Hagmann, S.; Renkawitz, T.; Götze, M.; Hetto, P. Gait Deviations of the Uninvolved Limb and Their Significance in Unilateral Cerebral Palsy. Symmetry 2023, 15, 1922. https://doi.org/10.3390/sym15101922
Tsitlakidis S, Campos S, Mick P, Doll J, Hagmann S, Renkawitz T, Götze M, Hetto P. Gait Deviations of the Uninvolved Limb and Their Significance in Unilateral Cerebral Palsy. Symmetry. 2023; 15(10):1922. https://doi.org/10.3390/sym15101922
Chicago/Turabian StyleTsitlakidis, Stefanos, Sarah Campos, Paul Mick, Julian Doll, Sébastien Hagmann, Tobias Renkawitz, Marco Götze, and Pit Hetto. 2023. "Gait Deviations of the Uninvolved Limb and Their Significance in Unilateral Cerebral Palsy" Symmetry 15, no. 10: 1922. https://doi.org/10.3390/sym15101922
APA StyleTsitlakidis, S., Campos, S., Mick, P., Doll, J., Hagmann, S., Renkawitz, T., Götze, M., & Hetto, P. (2023). Gait Deviations of the Uninvolved Limb and Their Significance in Unilateral Cerebral Palsy. Symmetry, 15(10), 1922. https://doi.org/10.3390/sym15101922

