Quantifying Complementarity via Robustness of Asymmetry
Abstract
:1. Introduction
2. Robustness of Asymmetry
- (R1)
- is bounded, i.e., for any ;
- (R2)
- is faithful, i.e., ;
- (R3)
- is strongly monotone, i.e., for any measurement such that , with and ;
- (R4)
- is convex, i.e., , for any collection of states and probability distribution .
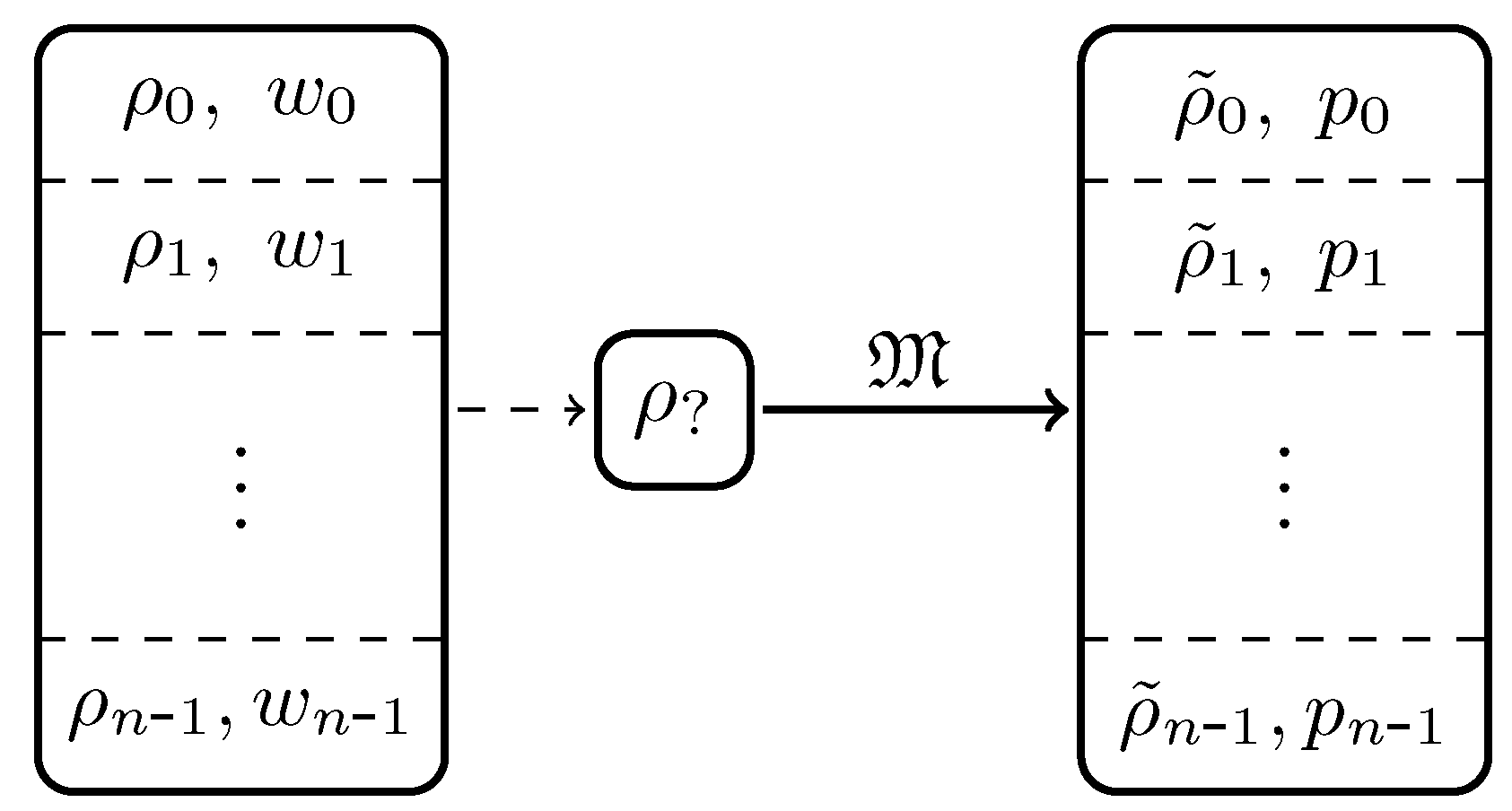
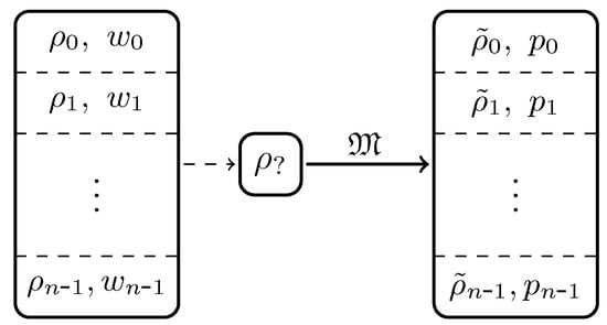
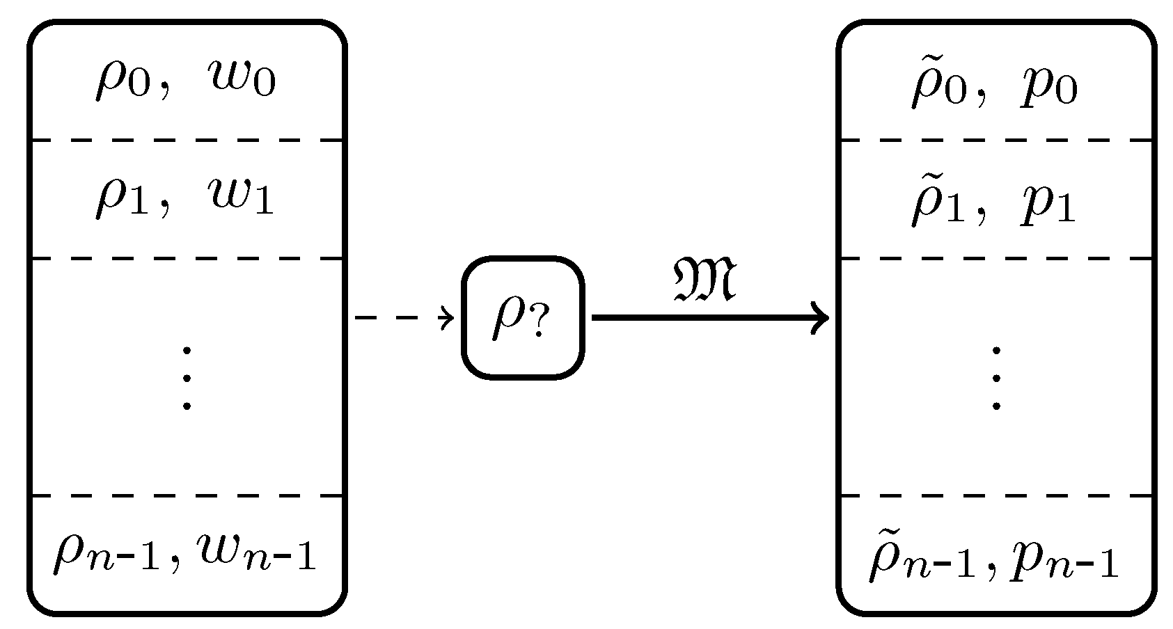
3. Minimum-Error Discrimination
4. Quantifying Complementarity
- (V1)
- V is normalized, and ;
- (V2)
- V is faithful, i.e., ;
- (V3)
- V is invariant under relabeling of the paths;
- (V4)
- V is convex.
- (P1)
- P is normalized, and for one j;
- (P2)
- P is faithful, i.e., ;
- (P3)
- P is invariant under relabeling of the paths;
- (P4)
- P is convex.
5. Conclusions
Funding
Institutional Review Board Statement
Informed Consent Statement
Data Availability Statement
Conflicts of Interest
References
- Einstein, A. Über einen die Erzeugung und Verwandlung des Lichtes betreffenden heuristischen Gesichtspunkt. Ann. Physik 1905, 17, 132. [Google Scholar] [CrossRef]
- Bohr, N. The quantum postulate the the recent development of atomic theory. Nature 1928, 121, 580. [Google Scholar] [CrossRef] [Green Version]
- Wootters, W.K.; Zurek, W.H. Complementarity in the double-slit experiment: Quantum nonseparability and a quantitative statement of Bohr’s principle. Phys. Rev. D 1979, 19, 473. [Google Scholar] [CrossRef]
- Greenberger, D.M.; Yasin, A. Simultaneous wave and particle knowledge in a neutron interferometer. Phys. Lett. A 1988, 128, 391. [Google Scholar] [CrossRef]
- Jaeger, G.; Shimony, A.; Vaidman, L. Two interferometric complementarities. Phys. Rev. A 1995, 51, 54. [Google Scholar] [CrossRef]
- Englert, B.-G. Fringe Visibility and Which-Way Information: An Inequality. Phys. Rev. Lett. 1996, 77, 2154. [Google Scholar] [CrossRef]
- Englert, B.-G.; Bergou, J.A. Quantitative quantum erasure. Opt. Commun. 2000, 179, 337. [Google Scholar] [CrossRef]
- Dürr, S. Quantitative wave-particle duality in multibeam interferometers. Phys. Rev. A 2001, 64, 042113. [Google Scholar] [CrossRef]
- Jakob, M.; Bergou, J.A. Complementarity and entanglement in bipartite qudit systems. Phys. Rev. A 2007, 76, 052107. [Google Scholar] [CrossRef]
- Englert, B.-G.; Kaszlikowski, D.; Kwek, L.C.; Chee, W.H. Wave-particle duality in multi-path interferometers: General concepts and three-path interferometers. Int. J. Quantum Inf. 2008, 6, 129. [Google Scholar] [CrossRef] [Green Version]
- Jakob, M.; Bergou, J.A. Quantitative complementarity relations in bipartite systems: Entanglement as a physical reality. Opt. Commun. 2010, 283, 827. [Google Scholar] [CrossRef]
- Bera, M.N.; Qureshi, T.; Siddiqui, M. A; Pati, A.K. Duality of quantum coherence and path distinguishability. Phys. Rev. A 2015, 92, 012118. [Google Scholar] [CrossRef] [Green Version]
- Bagan, E.; Bergou, J.A.; Cottrell, S.S.; Hillery, M. Relations between coherence and path information. Phys. Rev. Lett. 2016, 116, 160406. [Google Scholar] [CrossRef] [PubMed] [Green Version]
- Bagan, E.; Calsamiglia, J.; Bergou, J.A.; Hillery, M. Duality Games and Operational Duality Relations. Phys. Rev. Lett. 2018, 120, 050402. [Google Scholar] [CrossRef] [PubMed] [Green Version]
- Lü, X. Quantitative wave-particle duality as quantum state discrimination. Phys. Rev. A 2020, 102, 022201. [Google Scholar] [CrossRef]
- Lü, X. Coherence and path information. Acta Phys. Sin. 2020, 69, 070301. [Google Scholar] [CrossRef]
- Lü, X. Minimum-error state discrimination and quantitative wave particle duality. Phys. Lett. A 2020, 384, 126538. [Google Scholar] [CrossRef]
- Basso, M.L.W.; Maziero, J.J. Complete complementarity relations for multipartite pure states. Phys. A Math. Theor. 2020, 53, 465301. [Google Scholar] [CrossRef]
- Lü, X. Duality of path distinguishability and quantum coherence. Phys. Lett. A 2021, 397, 127259. [Google Scholar] [CrossRef]
- Qureshi, T. Predictability, Distinguishability and Entanglement. Opt. Lett. 2021, 46, 492. [Google Scholar] [CrossRef]
- Basso, M.L.W.; Maziero, J. Entanglement monotones connect distinguishability and predictability. Phys. Lett. A 2022, 425, 127875. [Google Scholar] [CrossRef]
- Qian, X.-F.; Vamivakas, A.N.; Eberly, J.H. Entanglement limits duality and vice versa. Optica 2018, 5, 942. [Google Scholar] [CrossRef] [Green Version]
- Piani, M.; Cianciaruso, M.; Bromley, T.R.; Napoli, C.; Johnston, N.; Adesso, G. Robustness of asymmetry and coherence of quantum states. Phys. Rev. A 2016, 93, 042107. [Google Scholar] [CrossRef] [Green Version]
- Napoli, C.; Bromley, T.R.; Cianciaruso, M.; Piani, M.; Johnston, N.; Adesso, G. Robustness of coherence: An operational and observable measure of quantum coherence. Phys. Rev. Lett. 2016, 116, 150502. [Google Scholar] [CrossRef] [Green Version]
- Chitambar, E.; Gour, G. Quantum resource theories. Rev. Mod. Phys. 2019, 91, 025001. [Google Scholar] [CrossRef] [Green Version]
- Vidal, G.; Tarrach, R. Robustness of entanglement. Phys. Rev. A 1999, 59, 141. [Google Scholar] [CrossRef] [Green Version]
- Steiner, M. Generalized robustness of entanglement. Phys. Rev. A 2003, 67, 054305. [Google Scholar] [CrossRef] [Green Version]
- Barnett, S.M.; Riis, E. Experimental demonstration of polarization discrimination at the Helstrom bound. J. Mod. Opt. 1997, 44, 1061. [Google Scholar]
- Clarke, R.B.M.; Kendon, V.M.; Chefles, A.; Barnett, S.M.; Riis, E.; Sasaki, M. Experimental realization of optimal detection strategies for overcomplete states. Phys. Rev. A 2001, 64, 012303. [Google Scholar] [CrossRef] [Green Version]
- Cook, R.L.; Martin, P.J.; Geremia, J.M. Optical coherent state discrimination using a closed-loop quantum measurement. Nature 2007, 446, 774. [Google Scholar] [CrossRef]
- Waldherr, G.; Dada, A.C.; Neumann, P.; Jelezko, F.; Andersson, E.; Wrachtrup, J. Distinguishing between Nonorthogonal Quantum States of a Single Nuclear Spin. Phys. Rev. Lett. 2012, 109, 180501. [Google Scholar] [CrossRef] [PubMed] [Green Version]
- Alizadeh, F. Combinatorial Optimization with Interior Point Methods and Semi-Definite Matrices. Ph.D. Thesis, University of Minnesota, Minneapolis, MN, USA, 1991. [Google Scholar]
- Nesterov, Y.; Nemirovski, A. Interior-Point Polynomial Algorithms in Convex Programming; SIAM: Philadelphia, PE, USA, 1994. [Google Scholar]
- Vandenberghe, L.; Boyd, S. Semidefinite programming. SIAM Rev. 1996, 38, 40. [Google Scholar] [CrossRef] [Green Version]
- Brandão, F.G.S.L. Quantifying Entanglement with Witness Operators. Phys. Rev. A 2005, 72, 022310. [Google Scholar] [CrossRef] [Green Version]
- Eisert, J.; Brandão, F.G.; Audenaert, K.M. Quantitative entanglement witnesses. New J. Phys. 2007, 9, 46. [Google Scholar] [CrossRef]
- Gühne, O.; Reimpell, M.; Werner, R.F. Estimating Entanglement Measures in Experiments. Phys. Rev. Lett. 2007, 98, 110502. [Google Scholar] [CrossRef] [PubMed] [Green Version]
- Gühne, O.; Reimpell, M.; Werner, R.F. Lower bounds on entanglement measures from incomplete information. Phys. Rev. A 2008, 77, 052317. [Google Scholar] [CrossRef]
- Gühne, O.; Tóth, G. Entanglement Detection. Phys. Rep. 2009, 474, 1–75. [Google Scholar] [CrossRef] [Green Version]
- Baumgratz, T.; Cramer, M.; Plenio, M.B. Quantifying Coherence. Phys. Rev. Lett. 2014, 113, 140401. [Google Scholar] [CrossRef] [Green Version]
- Holevo, A. Statistical decision theory for quantum systems. J. Multivar. Anal. 1973, 3, 337. [Google Scholar] [CrossRef] [Green Version]
- Yuen, H.P.; Kennedy, R.S.; Lax, M. Optimum Testing of Multiple Hypotheses in Quantum Detection Theory. IEEE Trans. Inf. Theory 1975, 21, 125. [Google Scholar] [CrossRef]
- Helstrom, C.W. Quantum Detection and Estimation Theory; Academic Press: New York, NY, USA, 1976. [Google Scholar]
- Helstrom, C. Bayes-cost reduction algorithm in quantum hypothesis testing. IEEE Trans. Inf. Theory 1982, 28, 359. [Google Scholar] [CrossRef]
- Ban, M.; Kurokawa, K.; Momose, R.; Hirota, O. Optimum measurements for discrimination among symmetric quantum states and parameter estimation. Int. J. Theor. Phys. 1997, 36, 1269. [Google Scholar] [CrossRef]
- Sasaki, M.; Kato, K.; Izutsu, M.; Hirota, O. Quantum channels showing superadditivity in classical capacity. Phys. Rev. A 1998, 58, 146. [Google Scholar] [CrossRef] [Green Version]
- Barnett, S.M. Minimum-error discrimination between multiply symmetric states. Phys. Rev. A 2001, 64, 030303(R). [Google Scholar] [CrossRef]
- Andersson, E.; Barnett, S.M.; Gilson, C.R.; Hunter, K. Minimum-error discrimination between three mirror-symmetric states. Phys. Rev. A 2002, 65, 052308. [Google Scholar] [CrossRef] [Green Version]
- Chou, C.-L.; Hsu, L.Y. Minimum-error discrimination between symmetric mixed quantum states. Phys. Rev. A 2003, 68, 042305. [Google Scholar] [CrossRef] [Green Version]
- Eldar, Y.C.; Megretski, A.; Verghese, G.C. Optimal Detection of Symmetric Mixed Quantum States. IEEE Trans. Inf. Theory 2004, 50, 1198. [Google Scholar] [CrossRef] [Green Version]
- Pozza, N.D.; Pierobon, G. Optimality of square-root measurements in quantum state discrimination. Phys. Rev. A 2015, 91, 042334. [Google Scholar] [CrossRef] [Green Version]
- Hausladen, P.; Wootters, W.K. A ‘pretty good’ measurement for distinguishing quantum states. J. Mod. Opt. 1994, 41, 2385. [Google Scholar] [CrossRef]
- Hausladen, P.; Josza, R.; Schumacher, B.; Westmoreland, M.; Wootters, W.K. Classical information capacity of a quantum channel. Phys. Rev. A 1996, 54, 1869. [Google Scholar] [CrossRef] [Green Version]
- Eldar, Y.C.; Forney, G.D., Jr. On quantum detection and the square-root measurement. IEEE Trans. Inf. Theory 2001, 47, 858. [Google Scholar] [CrossRef] [Green Version]
- Gour, G.; Marvian, I.; Spekkens, R.W. Measuring the quality of a quantum reference frame: The relative entropy of frameness. Phys. Rev. A 2009, 80, 012307. [Google Scholar] [CrossRef] [Green Version]
- Marvian, I.; Spekkens, R.W. Extending Noether’s theorem by quantifying the asymmetry of quantum states. Nat. Commun. 2014, 5, 3821. [Google Scholar] [CrossRef] [PubMed] [Green Version]
- Bu, K.; Anand, N.; Singh, U. Asymmetry and coherence weight of quantum states. Phys. Rev. A 2018, 97, 032342. [Google Scholar] [CrossRef] [Green Version]
- Davis, P.J. Circulant Matrices; AMS Chelsea Publishing, Wiley: New York, NY, USA, 1979. [Google Scholar]

Publisher’s Note: MDPI stays neutral with regard to jurisdictional claims in published maps and institutional affiliations. |
© 2022 by the author. Licensee MDPI, Basel, Switzerland. This article is an open access article distributed under the terms and conditions of the Creative Commons Attribution (CC BY) license (https://creativecommons.org/licenses/by/4.0/).
Share and Cite
Lü, X. Quantifying Complementarity via Robustness of Asymmetry. Symmetry 2022, 14, 1738. https://doi.org/10.3390/sym14081738
Lü X. Quantifying Complementarity via Robustness of Asymmetry. Symmetry. 2022; 14(8):1738. https://doi.org/10.3390/sym14081738
Chicago/Turabian StyleLü, Xin. 2022. "Quantifying Complementarity via Robustness of Asymmetry" Symmetry 14, no. 8: 1738. https://doi.org/10.3390/sym14081738
APA StyleLü, X. (2022). Quantifying Complementarity via Robustness of Asymmetry. Symmetry, 14(8), 1738. https://doi.org/10.3390/sym14081738

