Reconstructing the Unknown Source Function of a Fractional Parabolic Equation from the Final Data with the Conformable Derivative
Abstract
:1. Introduction
- Let us assume that , if f is a real function and , then f has a conformable fractional derivative of order , and
- If B is not , for example B are Sobolev spaces. There are not many conformable related results in Banach spaces, see [25].
- In case , with Caputo derivative model, we find the following documents, see [4]. Luc and co-authors studied the existence and uniqueness of a class of mild solutions of these equations. In [29], the authors considered the non-local Problem (1) for a pseudo-parabolic equation with fractional time and space. In [30], Tuan and his group considered a class of pseudoparabolic equations with the nonlocal condition in two cases: the nonlinear source function ad linear source function. For the first case, by using the Sobolev embeddings, they established the existence, the uniqueness, and some regularity results for the mild solution of Problem (1). For the second case, using the Banach fixed-point theorem, they proved the existence and the uniqueness of the mild solution for (1). In [31], the authors considered two problems. For the first problem with the source term satisfying the globally Lipschitz condition, we establish the local well-posedness theory, and the further local existence theory related to the finite time blow-up are also obtained for the problem with logarithmic nonlinearity. For the second problem, they proved the global existence theorem.
- We have not seen any findings for this kind in case with the conformable derivative model, and the source function survey problem is much more sparse, thus our study concentrates on this topic.
- We give the ill-posedness of Problem (1);
- Showing the regularization of Problem (1), with the two subsections;
- Using the modified fractional Landweber method to solve the Problem (1). We obtain the convergence rate as follows:
- -
- In Section 4.1, under a priori parameter choice rule;
- -
- In Section 4.2, under a posteriori parameter choice rule.
- It gives the error estimate in space, with .
2. Preliminary Results
3. Regularization of Inverse Source Problem
3.1. Uncertainty of Source Problem
3.2. The Conditional Stability
4. A Modified Fractional Landweber Method and Convergent Rate
4.1. A Priori Parameter Choice Rule
4.2. A Posteriori Parameter Choice Rule
- a.
- is a continuous function.
- b.
- as .
- c.
- as .
- d.
- is a strictly increasing function, for any .
5. Regularization of Inverse Source in Space
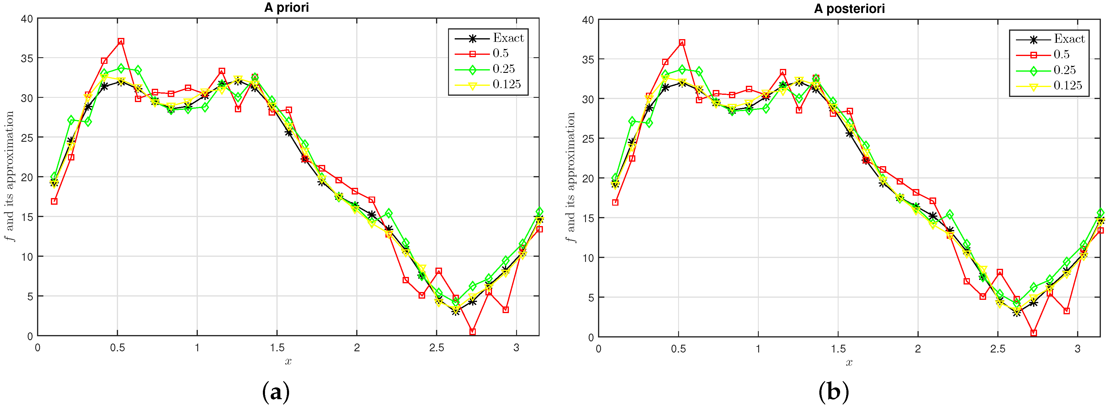
6. Simulation
Author Contributions
Funding
Institutional Review Board Statement
Informed Consent Statement
Data Availability Statement
Conflicts of Interest
References
- Alharbia, F.M.; Baleanu, D.; Abdelhalim, E. Physical properties of the projectile motion using the conformable derivative. Chin. J. Phys. 2019, 58, 18–28. [Google Scholar] [CrossRef]
- Kilbas, A.A.; Marichev, O.I.; Samko, S.G. Fractional Integrals and Derivatives (Theory and Applications), 1st ed.; CRC Press: Boca Raton, FL, USA, 1993. [Google Scholar]
- Tuan, N.H.; Aghdam, Y.E.; Jafari, H.; Mesgarani, H. A novel numerical manner for two-dimensional space fractional diffusion equation arising in transport phenomena. Numer. Methods Part. Differ. Equ. 2021, 37, 1397–1406. [Google Scholar] [CrossRef]
- Luc, N.H.; Jafari, H.; Kumam, P.; Tuan, N.H. On an initial value problem for time fractional pseudo-parabolic equation with Caputo derivarive. Math. Methods Appl. Sci. 2022, 1–23. [Google Scholar] [CrossRef]
- Au, V.V.; Jafari, H.; Hammouch, Z.; Tuan, N.H. On a final value problem for a nonlinear fractional pseudo-parabolic equation. Electron. Res. Arch. 2021, 29, 1709–1734. [Google Scholar]
- Can, N.H.; Jafari, H.; Ncube, M.N. Fractional calculus in data fitting. Alex. Eng. J. 2020, 59, 3269–3274. [Google Scholar] [CrossRef]
- Tuan, N.H.; Nemati, S.; Ganji, R.M.; Jafari, H. Numerical solution of multi-variable order fractional integro-differential equations using the Bernstein polynomials. Eng. Comput. 2022, 38, 139–147. [Google Scholar] [CrossRef]
- Han, Y.; Xiong, X.; Xue, X. A fractional Landweber method for solving backward timefractional diffusion problem. Comput. Math. Appl. 2019, 78, 81–91. [Google Scholar] [CrossRef]
- Yang, S.; Xiong, X.; Han, Y. A modified fractional Landweber method for a backward problem for the inhomogeneous time-fractional diffusion equation in a cylinder. Int. J. Comput. Math. 2020, 97, 2375–2393. [Google Scholar] [CrossRef]
- Huynh, L.H.; Zhou, Y.; O’Regan, D.; Tuan, N.H. Fractional Landweber method for an initial inverse problem for time-fractional wave equations. Appl. Anal. 2021, 100, 860–878. [Google Scholar] [CrossRef]
- Chung, W.S. Fractional Newton mechanics with conformable fractional derivative. J. Comput. Appl. Math. 2015, 290, 150–158. [Google Scholar] [CrossRef]
- Morales-Delgado, V.F.; Gómez-Aguilar, J.F.; Escobar-Jiménez, R.F.; Taneco-Hernández, M.A. Fractional conformable derivatives of Liouville-Caputo type with low-fractionality. Phys. A Stat. Mech. Appl. 2018, 503, 424–438. [Google Scholar] [CrossRef]
- He, S.; Sun, K.; Mei, X.; Yan, B.; Xu, S. Numerical analysis of a fractional-order chaotic system based on conformable fractional-order derivative. Eur. Phys. J. Plus 2017, 132, 36. [Google Scholar] [CrossRef]
- Hama, M.F.; Rasul, R.R.Q.; Hammouch, Z.; Rasul, K.A.H.; Danane, J. Analysis of a stochastic SEIS epidemic model with the standard Brownian motion and Lévy jump. Results Phys. 2022, 37, 105477. [Google Scholar] [CrossRef]
- Hammouch, Z.; Rasul, R.Q.R.; Ouakka, A.; Elazzouzi, A. Mathematical analysis and numerical simulation of the Ebola epidemic disease in the sense of conformable derivative. Chaos Solitons Fractals 2022, 158, 112006. [Google Scholar] [CrossRef]
- Karthikeyan, K.; Murugapandian, G.S.; Hammouch, Z. On mild solutions of fractional impulsive differential systems of Sobolev type with fractional nonlocal conditions. Math. Sci. 2022, 36, 37. [Google Scholar] [CrossRef]
- Hamou, A.A.; Azroul, E.H.; Hammouch, Z.; Alaoui, A.L. A monotone iterative technique combined to finite element method for solving reaction-diffusion problems pertaining to non-integer derivative. Eng. Comput. 2022, 36, 105. [Google Scholar] [CrossRef]
- Gürbüz, M.; Akdemir, A.O.; Dokuyucu, M.A. Novel Approaches for Differentiable Convex Functions via the Proportional Caputo-Hybrid Operators. Fractal Fract. 2022, 6, 258. [Google Scholar] [CrossRef]
- Avcı, A.M.; Akdemir, A.O.; Set, E. On New Integral Inequalities via Geometric-Arithmetic Convex Functions with Applications. Sahand Commun. Math. Anal. 2022. [Google Scholar] [CrossRef]
- Butt, S.I.; Akdemir, A.O.; Agarwal, P.; Baleanu, D. Non-conformable integral inequalities of chebyshev-polya-szeg o type. J. Math. Inequalities 2021, 4, 1391–1400. [Google Scholar] [CrossRef]
- Kavurmacı Önalan, H.; Akdemir, A.O.; Avcı Ardıç, M.; Baleanu, D. On new general versions of Hermite–Hadamard type integral inequalities via fractional integral operators with Mittag-Leffler kernel. J. Inequalities Appl. 2021, 1, 186. [Google Scholar] [CrossRef]
- Khalil, R.; Al Horani, M.; Yousef, A.; Sababheh, M. A new definition of fractional derivative. J. Comput. Appl. Math. 2014, 264, 65–70. [Google Scholar] [CrossRef]
- Abdelhakim, A.A.; Machado, J.A.T. A critical analysis of the conformable derivative. Nonlinear Dyn. 2019, 95, 3063–3073. [Google Scholar] [CrossRef]
- Abdeljawad, T. On conformable fractional calculus. J. Comput. Appl. Math. 2015, 279, 57–66. [Google Scholar] [CrossRef]
- Tuan, N.H.; Huynh, L.N.; Ngoc, T.B.; Zhou, Y. On a backward problem for nonlinear fractional diffusion equations. Appl. Math. Lett. 2019, 92, 76–84. [Google Scholar] [CrossRef]
- Ikehata, R.; Suzuki, T. Stable and unstable sets for evolution equations of parabolic and hyperbolic type. Hiroshima Math. J. 1996, 26, 475–491. [Google Scholar] [CrossRef]
- Quittner, P.; Souplet, P. Superlinear Parabolic Problems, Blow-Up, Global Existence and Steady States; Birkhäuser Advanced Texts; Birkhäuser Basel: Basel, Switzerland, 2007. [Google Scholar]
- Liu, Y.; Xu, R.; Yu, T. Global existence, nonexistence and asymptotic behavior of solutions for the Cauchy problem of semilinear heat equations. Nonlinear Anal. 2008, 68, 3332–3348. [Google Scholar] [CrossRef]
- Can, N.H.; Kumar, D.; Vo Viet, T.; Nguyen, A.T. On time fractional pseudo-parabolic equations with non-local in time condition. Math. Methods Appl. Sci. 2021. [Google Scholar] [CrossRef]
- Nguyen, A.T.; Hammouch, Z.; Karapinar, E.; Tuan, N.H. On a nonlocal problem for a Caputo time-fractional pseudoparabolic equation. Math. Methods Appl. Sci. 2021, 44, 14791–14806. [Google Scholar] [CrossRef]
- Nguyen, H.T.; Vo, V.A.; Runzhang, X. Semilinear Caputo time-fractional pseudo-parabolic equations. Commun. Pure Appl. Anal. 2021, 20, 583–621. [Google Scholar] [CrossRef]
- Nguyen, H.T.; Le, D.L.; Nguyen, V.T. Regularized solution of an inverse source problem for a time fractional diffusion equation. Appl. Math. Model. 2016, 40, 8244–8264. [Google Scholar] [CrossRef]
- Tuan, N.H.; Zhou, Y.; Long, L.D.; Can, N.H. Identifying inverse source for fractional diffusion equation with Reimann-Liouville derivetive. Comput. Appl. Math. 2020, 39, 75. [Google Scholar] [CrossRef]
- Long, L.D.; Luc, N.H.; Zhou, Y.; Nguyen, A.C. Identification of Source term for the time-fractional duffusion-wave equation by Fractional Tikhonov method. Mathematics 2019, 7, 934. [Google Scholar] [CrossRef] [Green Version]
- Long, L.D.; Zhou, Y.; Thanh Binh, T.; Can, N. A Mollification Regularization Method for the Inverse Source Problem for a Time Fractional Diffusion Equation. Mathematics 2019, 7, 1048. [Google Scholar] [CrossRef] [Green Version]
- Wei, T.; Li, X.L.; Li, Y.S. An inverse time-dependent source problem for a time-fractional diffusion equation. Inverse Probl. 2016, 32, 8. [Google Scholar] [CrossRef]
- Wang, J.G.; Zhou, Y.B.; Wei, T. Two regularization methods to identify a space-dependent source for the time-fractional diffusion equation. Appl. Numer. Math. 2013, 68, 39–57. [Google Scholar] [CrossRef]
- Tuan, N.H. On some inverse problem for bi-parabolic equation with observed data in Lp spaces. Opuscula Math. 2022, 42, 305–335. [Google Scholar] [CrossRef]
- Can, N.H.; Luc, N.H.; Baleanu, D.; Yong, Z.; Long, L.D. Inverse source problem for time fractional diffusion equation with Mittag-Leffler kernel. Adv. Differ. Equ. 2020, 2020, 210. [Google Scholar] [CrossRef]
- Tuan, N.H.; Caraballo, T. On initial and terminal value problems for fractional nonclassical diffusion equations. Proc. Am. Math. Soc. 2021, 149, 143–161. [Google Scholar] [CrossRef]
- Jaiswal, A.; Bahuguna, D. Semilinear Conformable Fractional Differential Equations in Banach Spaces. Differ. Equ. Dyn. Syst. 2019, 27, 313–325. [Google Scholar] [CrossRef]
- Li, M.; Wang, J.R.; O’Regan, D. Existence and Ulam’s stability for conformable fractional differential equations with constant coefficients. Bull. Malays. Math. Sci. Soc. 2019, 42, 1791–1812. [Google Scholar] [CrossRef]


Publisher’s Note: MDPI stays neutral with regard to jurisdictional claims in published maps and institutional affiliations. |
© 2022 by the authors. Licensee MDPI, Basel, Switzerland. This article is an open access article distributed under the terms and conditions of the Creative Commons Attribution (CC BY) license (https://creativecommons.org/licenses/by/4.0/).
Share and Cite
Nikan, O.; Binh, H.D.; Avazzadeh, Z.; Long, L.D. Reconstructing the Unknown Source Function of a Fractional Parabolic Equation from the Final Data with the Conformable Derivative. Symmetry 2022, 14, 1490. https://doi.org/10.3390/sym14071490
Nikan O, Binh HD, Avazzadeh Z, Long LD. Reconstructing the Unknown Source Function of a Fractional Parabolic Equation from the Final Data with the Conformable Derivative. Symmetry. 2022; 14(7):1490. https://doi.org/10.3390/sym14071490
Chicago/Turabian StyleNikan, Omid, Ho Duy Binh, Zakieh Avazzadeh, and Le Dinh Long. 2022. "Reconstructing the Unknown Source Function of a Fractional Parabolic Equation from the Final Data with the Conformable Derivative" Symmetry 14, no. 7: 1490. https://doi.org/10.3390/sym14071490
APA StyleNikan, O., Binh, H. D., Avazzadeh, Z., & Long, L. D. (2022). Reconstructing the Unknown Source Function of a Fractional Parabolic Equation from the Final Data with the Conformable Derivative. Symmetry, 14(7), 1490. https://doi.org/10.3390/sym14071490

