Analytical Analyses for a Fractional Low-Pass Electrical Transmission Line Model with Dynamic Transition
Abstract
:1. Introduction
2. Mathematical Configuration
3. Implementation of the Extended Direct Algebraic Method
Sufficient Conditions for the Stability of the Results
- for
- for
- for .
4. Graphical Interface Structure for the Results









4.1. The Sensitivity Assessment
4.2. Quasiperiodic Behaviors
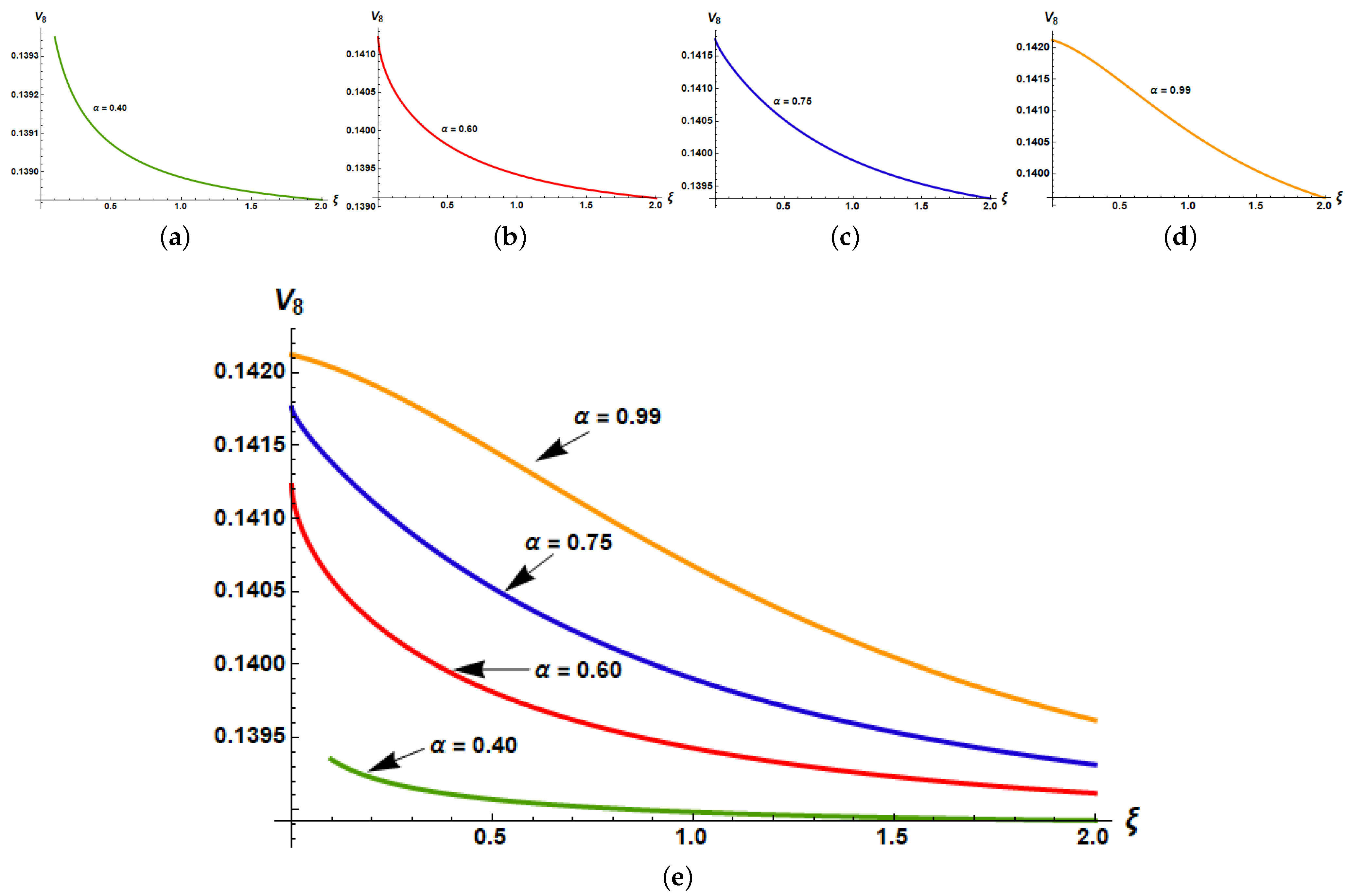
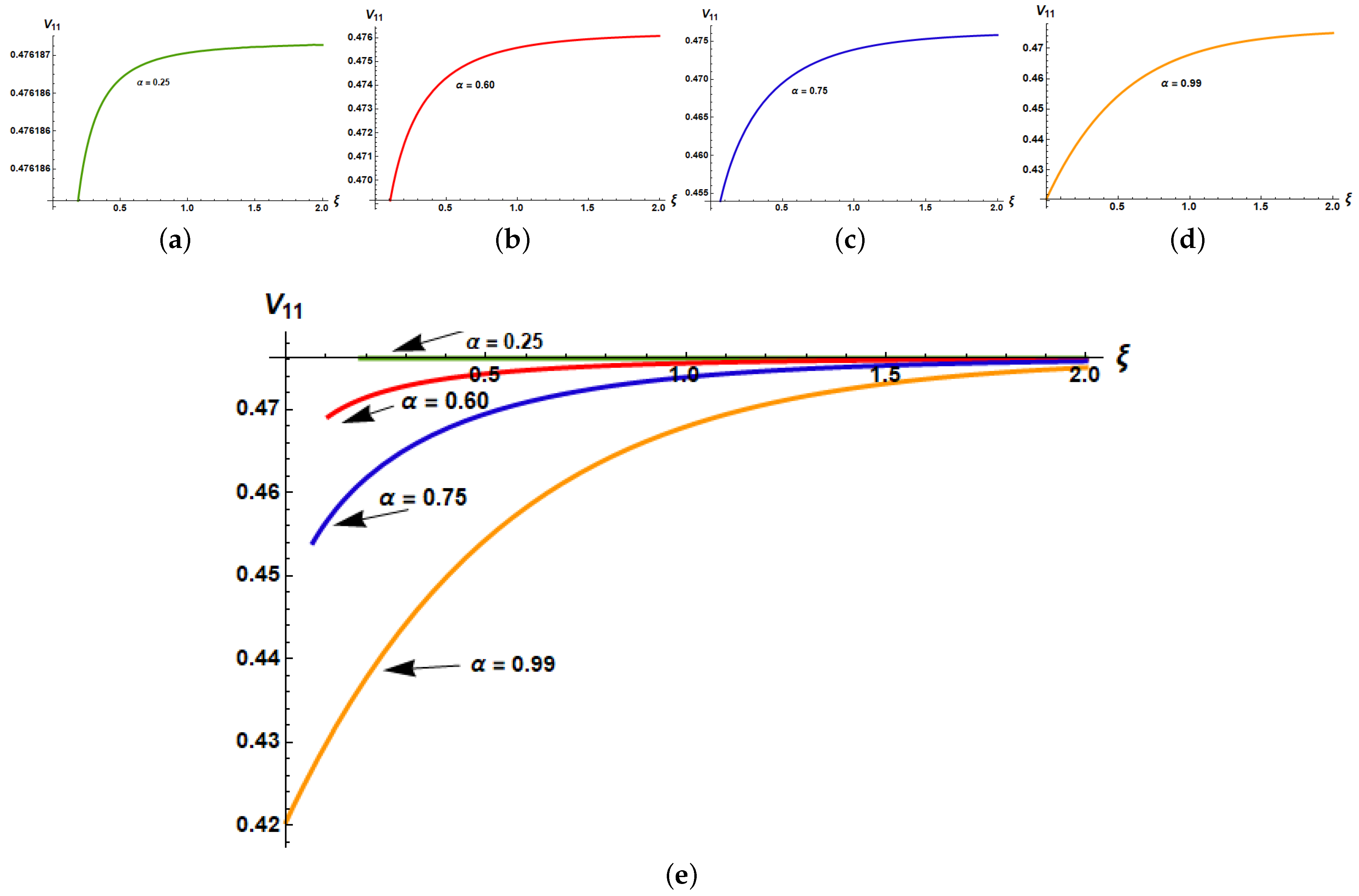
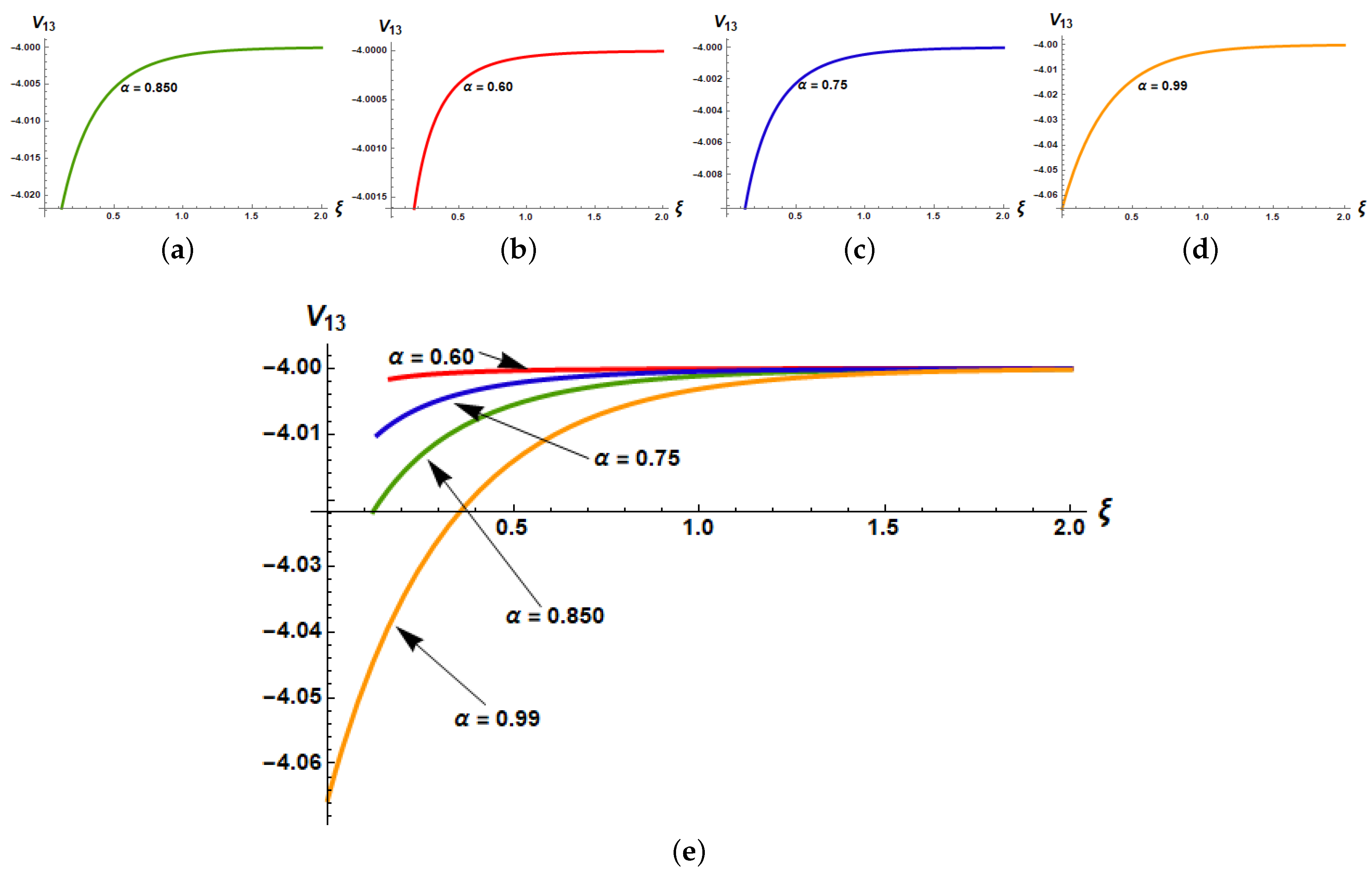
5. Discussions and Results Analysis
6. Comparative Analysis via Different FDs
7. Conclusions
Author Contributions
Funding
Conflicts of Interest
References
- Atangana, A.; Secer, A. A note on fractional order derivatives and table of fractional derivatives of some special functions. Abstr. Appl. Anal. 2013, 2013, 279681. [Google Scholar] [CrossRef] [Green Version]
- Yang, X.J.; Machado, J.T.; Hristov, J. Nonlinear dynamics for local fractional Burgers’ equation arising in fractal flow. Nonlinear Dyn. 2016, 84, 3–7. [Google Scholar] [CrossRef] [Green Version]
- Park, C.; Khater, M.M.; Attia, R.A.; Alharbi, W.; Alodhaibi, S.S. An explicit plethora of solution for the fractional nonlinear model of the low–pass electrical transmission lines via Atangana–Baleanu derivative operator. Alex. Eng. J. 2020, 59, 1205–1214. [Google Scholar] [CrossRef]
- El-Wakil, S.A.; Abulwafa, E.M. Formulation and solution of space–time fractional Boussinesq equation. Nonlinear Dyn. 2015, 80, 167–175. [Google Scholar] [CrossRef]
- Teodoro, G.S.; Machado, J.T.; De Oliveira, E.C. A review of definitions of fractional derivatives and other operators. J. Comput. Phys. 2019, 388, 195–208. [Google Scholar] [CrossRef]
- Yepez-Martinez, H.; Gómez-Aguilar, J.F. Optical solitons solution of resonance nonlinear Schrödinger type equation with Atangana’s-conformable derivative using sub-equation method. Waves Random Complex Media 2021, 31, 573–596. [Google Scholar] [CrossRef]
- Uchaikin, V.V. Fractional Derivatives for Physicists and Engineers; Springer: Berlin, Germany, 2013; Volume 2. [Google Scholar]
- Zhao, D.; Luo, M. General conformable fractional derivative and its physical interpretation. Calcolo 2017, 54, 903–917. [Google Scholar] [CrossRef]
- Khalil, R.; Al Horani, M.; Yousef, A.; Sababheh, M. A new definition of fractional derivative. J. Comput. Appl. Math. 2014, 264, 65–70. [Google Scholar] [CrossRef]
- Osman, M.S.; Rezazadeh, H.; Eslami, M. Traveling wave solutions for (3 + 1) dimensional conformable fractional Zakharov-Kuznetsov equation with power law nonlinearity. Nonlinear Eng. 2019, 8, 559–567. [Google Scholar] [CrossRef]
- Kumar, D.; Paul, G.C.; Mondal, J.; Islam, A.S. On the propagation of alphabetic-shaped solitons to the (2 + 1)-dimensional fractional electrical transmission line model with wave obliqueness. Results Phys. 2020, 19, 103641. [Google Scholar] [CrossRef]
- Qu, H.; She, Z.; Liu, X. Homotopy analysis method for three types of fractional partial differential equations. Complexity 2020, 2020, 7232907. [Google Scholar] [CrossRef]
- Liu, J.G.; Yang, X.J.; Feng, Y.Y.; Cui, P. On the (N + 1)-dimensional local fractional reduced differential transform method and its applications. Math. Methods Appl. Sci. 2020, 43, 8856–8866. [Google Scholar] [CrossRef]
- Javeed, S.; Baleanu, D.; Waheed, A.; Shaukat Khan, M.; Affan, H. Analysis of homotopy perturbation method for solving fractional order differential equations. Mathematics 2019, 7, 40. [Google Scholar] [CrossRef] [Green Version]
- Prakash, A.; Goyal, M.; Gupta, S. Fractional variational iteration method for solving time-fractional Newell-Whitehead-Segel equation. Nonlinear Eng. 2019, 8, 164–171. [Google Scholar] [CrossRef]
- Li, W.; Pang, Y. Application of Adomian decomposition method to nonlinear systems. Adv. Differ. Equ. 2020, 2020, 67. [Google Scholar] [CrossRef]
- Mirzazadeh, M.; Eslami, M.; Biswas, A. Soliton solutions of the generalized Klein–Gordon equation by using G′G-expansion method. Comput. Appl. Math. 2014, 33, 831–839. [Google Scholar] [CrossRef]
- Ayub, K.; Khan, M.Y.; Hassan, Q.M.U.; Yasmeen, F.; Saleem, M.; Mansoor, M. On an efficient technique to solve nonlinear fractional order partial differential equations. J. Sci. Arts 2018, 18, 565–572. [Google Scholar]
- Kaplan, M.; Akbulut, A.; Bekir, A. Solving space-time fractional differential equations by using modified simple equation method. Commun. Theor. Phys. 2016, 65, 563. [Google Scholar] [CrossRef]
- Savaissou, N.; Gambo, B.; Rezazadeh, H.; Bekir, A.; Doka, S.Y. Exact optical solitons to the perturbed nonlinear Schrödinger equation with dual-power law of non-linearity. Opt. Quantum Electron. 2020, 52, 318. [Google Scholar] [CrossRef]
- Kumar, D.; Seadawy, A.R.; Haque, M.R. Multiple soliton solutions of the nonlinear partial differential equations describing the wave propagation in nonlinear low–pass electrical transmission lines. Chaos Solitons Fractals 2018, 115, 62–76. [Google Scholar] [CrossRef]
- Kumar, D.; Seadawy, A.R.; Chowdhury, R. On new complex soliton structures of the nonlinear partial differential equation describing the pulse narrowing nonlinear transmission lines. Opt. Quantum Electron. 2018, 50, 108. [Google Scholar] [CrossRef]
- Akbulut, A.; Kaplan, M. Auxiliary equation method for time-fractional differential equations with conformable derivative. Comput. Math. Appl. 2018, 75, 876–882. [Google Scholar] [CrossRef]
- Kumar, D.; Paul, G.C.; Biswas, T.; Seadawy, A.R.; Baowali, R.; Kamal, M.; Rezazadeh, H. Optical solutions to the Kundu-Mukherjee-Naskar equation: Mathematical and graphical analysis with oblique wave propagation. Phys. Scr. 2020, 96, 025218. [Google Scholar] [CrossRef]
- Mohyud-Din, S.T.; Bibi, S. Exact solutions for nonlinear fractional differential equations using G′G2-expansion method. Alex. Eng. J. 2018, 57, 1003–1008. [Google Scholar] [CrossRef]
- Arqub, O.A.; Al-Smadi, M.; Almusawa, H.; Baleanu, D.; Hayat, T.; Alhodaly, M.; Osman, M.S. A novel analytical algorithm for generalized fifth-order time-fractional nonlinear evolution equations with conformable time derivative arising in shallow water waves. Alex. Eng. J. 2022, 61, 5753–5769. [Google Scholar] [CrossRef]
- Ali, F.; Jhangeer, A.; Muddassar, M.; Almusawa, H. Solitonic, quasi-periodic, super nonlinear and chaotic behaviors of a dispersive extended nonlinear Schrödinger equation in an optical fiber. Results Phys. 2021, 31, 104921. [Google Scholar] [CrossRef]
- Sabir, Z.; Munawar, M.; Abdelkawy, M.A.; Raja, M.A.Z.; Ünlü, C.; Jeelani, M.B.; Alnahdi, A.S. Numerical Investigations of the Fractional-Order Mathematical Model Underlying Immune-Chemotherapeutic Treatment for Breast Cancer Using the Neural Networks. Fractal Fract. 2022, 6, 184. [Google Scholar] [CrossRef]
- Almusawa, H.; Nur Alam, M.; Fayz-Al-Asad, M.; Osman, M.S. New soliton configurations for two different models related to the nonlinear Schrödinger equation through a graded-index waveguide. AIP Adv. 2021, 11, 065320. [Google Scholar] [CrossRef]
- Malik, S.; Almusawa, H.; Kumar, S.; Wazwaz, A.M.; Osman, M.S. A (2 + 1)-dimensional Kadomtsev–Petviashvili equation with competing dispersion effect: Painlevé analysis, dynamical behavior and invariant solutions. Results Phys. 2021, 23, 104043. [Google Scholar] [CrossRef]
- Kundu, P.R.; Almusawa, H.; Fahim, M.R.A.; Islam, M.E.; Akbar, M.A.; Osman, M.S. Linear and nonlinear effects analysis on wave profiles in optics and quantum physics. Results Phys. 2021, 23, 103995. [Google Scholar] [CrossRef]
- Jhangeer, A.; Munawar, M.; Riaz, M.B.; Baleanu, D. Construction of traveling waves patterns of (1+n)-dimensional modified Zakharov-Kuznetsov equation in plasma physics. Results Phys. 2020, 19, 103330. [Google Scholar] [CrossRef]
- Munawar, M.; Jhangeer, A.; Pervaiz, A.; Ibraheem, F. New general extended direct algebraic approach for optical solitons of Biswas-Arshed equation through birefringent fibers. Optik 2021, 228, 165790. [Google Scholar] [CrossRef]
- Jhangeer, A.; Munawar, M.; Atangana, A.; Riaz, M.B. Analysis of electron acoustic waves interaction in the presence of homogeneous unmagnetized collision-free plasma. Phys. Scr. 2021, 96, 075603. [Google Scholar] [CrossRef]
- Abdou, M.A.; Soliman, A.A. New exact travelling wave solutions for space-time fractional nonlinear equations describing nonlinear transmission lines. Results Phys. 2018, 9, 1497–1501. [Google Scholar] [CrossRef]
- Jhangeer, A.; Hussain, A.; Tahir, S.; Sharif, S. Solitonic, super nonlinear, periodic, quasiperiodic, chaotic waves and conservation laws of modified Zakharov-Kuznetsov equation in transmission line. Commun. Nonlinear Sci. Numer. Simul. 2020, 86, 105254. [Google Scholar] [CrossRef]
- Nuruzzaman, M.; Kumar, D.; Paul, G.C. Fractional low-pass electrical transmission line model: Dynamic behaviors of exact solutions with the impact of fractionality and free parameters. Results Phys. 2021, 27, 104457. [Google Scholar] [CrossRef]
- Hussain, A.; Jhangeer, A.; Abbas, N.; Khan, I.; Sherif, E.S.M. Optical solitons of fractional complex Ginzburg–Landau equation with conformable, beta, and M-truncated derivatives: A comparative study. Adv. Differ. Equ. 2020, 2020, 612. [Google Scholar] [CrossRef]
- Estévez, P.G.; Kuru, Ş.; Negro, J.; Nieto, L.M. Solutions of a class of Duffing oscillators with variable coefficients. Int. J. Theor. Phys. 2011, 50, 2046–2056. [Google Scholar] [CrossRef]










Publisher’s Note: MDPI stays neutral with regard to jurisdictional claims in published maps and institutional affiliations. |
© 2022 by the authors. Licensee MDPI, Basel, Switzerland. This article is an open access article distributed under the terms and conditions of the Creative Commons Attribution (CC BY) license (https://creativecommons.org/licenses/by/4.0/).
Share and Cite
Almusawa, H.; Jhangeer, A.; Munawar, M. Analytical Analyses for a Fractional Low-Pass Electrical Transmission Line Model with Dynamic Transition. Symmetry 2022, 14, 1377. https://doi.org/10.3390/sym14071377
Almusawa H, Jhangeer A, Munawar M. Analytical Analyses for a Fractional Low-Pass Electrical Transmission Line Model with Dynamic Transition. Symmetry. 2022; 14(7):1377. https://doi.org/10.3390/sym14071377
Chicago/Turabian StyleAlmusawa, Hassan, Adil Jhangeer, and Maham Munawar. 2022. "Analytical Analyses for a Fractional Low-Pass Electrical Transmission Line Model with Dynamic Transition" Symmetry 14, no. 7: 1377. https://doi.org/10.3390/sym14071377
APA StyleAlmusawa, H., Jhangeer, A., & Munawar, M. (2022). Analytical Analyses for a Fractional Low-Pass Electrical Transmission Line Model with Dynamic Transition. Symmetry, 14(7), 1377. https://doi.org/10.3390/sym14071377

