Next Article in Journal
Vacuum Brazing Effect on the Interlayer Failure Behaviors of Elastic-Porous Sandwich Structure with Entangled Metallic Wire Mesh
Next Article in Special Issue
A Time-Symmetric Resolution of the Einstein’s Boxes Paradox
Previous Article in Journal
Geometry of Developable Surfaces of Frenet Type Framed Base Curves from the Singularity Theory Viewpoint
Previous Article in Special Issue
Dynamical Symmetries of the 2D Newtonian Free Fall Problem Revisited
 
 
Font Type:
Arial Georgia Verdana
Font Size:
Aa Aa Aa
Line Spacing:
Column Width:
Background:
Article

Global Quantum Information-Theoretic Measures in the Presence of Magnetic and Aharanov-Bohm (AB) Fields

by
Collins Okon Edet
1,2,3,*,
Emmanuel Benjamin Ettah
1,
Syed Alwee Aljunid
3,
Rosdisham Endut
3,
Norshamsuri Ali
3,*,
Akpan Ndem Ikot
2 and
Muhammad Asjad
4
1
Department of Physics, Cross River University of Technology, Calabar PMB 1123, Nigeria
2
Theoretical Physics Group, Department of Physics, University of Port Harcourt, East/West Road, Choba PMB 5323, Nigeria
3
Faculty of Electronic Engineering Technology, Universiti Malaysia Perlis, Kangar 01000, Perlis, Malaysia
4
Department of Applied Mathematics and Sciences, Khalifa University, Abu Dhabi P.O. Box 127788, United Arab Emirates
*
Authors to whom correspondence should be addressed.
Symmetry 2022, 14(5), 976; https://doi.org/10.3390/sym14050976
Submission received: 18 March 2022 / Revised: 30 March 2022 / Accepted: 27 April 2022 / Published: 10 May 2022
(This article belongs to the Special Issue Quantum Mechanics: Concepts, Symmetries, and Recent Developments)

Abstract

:
The global quantum information-theoretical analysis of the class of Yukawa potential (CYP) in the presence of magnetic and Aharonov–Bohm (AB) fields has been examined both analytically and numerically in this research piece. The energy equation and wave function for the CYP are obtained by solving the Schrodinger equation in the presence of external magnetic and AB fields using the functional analysis technique. The probability density is used to calculate the Tsallis, Rényi, and Onicescu information energy entropies numerically. The influence of the screening parameter ( β ) , magnetic ( B ) , and AB ( ξ ) fields on the global information-theoretical measurements for the CYP is explored. Atomic and molecular physics, quantum chemistry, and physics are specific areas where these research findings will find application.

1. Introduction

Rényi, Tsallis, and Shannon information entropies, and Onicescu information energy, are all global quantum information-theoretic measures (GQITM). These measures are focused on quantifying the spread of the probability distribution that characterizes the permitted quantum mechanical states of a system [1,2,3,4,5]. The importance of these global measures is to study the uncertainty of the probability distribution [6,7,8,9,10,11,12,13].
These theoretical techniques have been widely used in atomic and molecular systems, and they provide excellent insight into density functionals and electron correlation, which assists in the study of atomic structure and dynamics [14,15,16,17,18]. Quantum information theory (QIT) has acquired a lot of traction recently and has piqued the interest of many scholars. It has also proven to be incredibly useful in a variety of domains ranging from physics, chemistry, biology, medicine, computer science, neural networks, image recognition, linguistics, and other social sciences [19,20,21,22].
This is because QIT has a connection to current quantum communications, computing, and density functional techniques, which are the underlying theories and building blocks for a number of technological advances [18,19,20]. The quantification of information is a sub-discipline of applied mathematics, physics, and engineering. Nonetheless, these metrics, as well as the uncertainty relations that go with them, are essential factors in identifying a variety of atomic and molecular processes [21,22]. In quantum physics, they are commonly utilized to study quantum entanglement [22,23], quantum revivals [23,24], and atomic ionization characteristics [25]. This study has been done by several scholars for various quantum mechanical systems [25,26,27,28,29,30,31,32,33,34,35,36,37,38].
Olendski [39] studied the Shannon quantum information entropies, Fisher informations, and Onicescu energies and complexities both in the position and momentum spaces for the azimuthally symmetric two-dimensional nano-ring that is placed in uniform magnetic and Aharonov–Bohm fields. Olendski [40] calculated the one-parameter functionals of the Rényi and Tsallis entropies both in the position and momentum spaces for the azimuthally symmetric 2D nano-ring that is placed into the combination of the transverse uniform magnetic field and the Aharonov–Bohm (AB) flux and whose potential profile is modeled by the superposition of the quadratic and inverse quadratic dependencies on the radius r.
We are interested in investigating information-theoretical measures for the CYP in the presence of magnetic and Aharonov–Bohm fields in the current work. Onate and Ojonubah were the first to propose this potential [41]. Since it is a generalization of the Yukawa, Hellmann, Coulomb, and inverse quadratic Yukawa potentials, this atomic model is important [41,42]. CYP has a wide range of applications in physics, including high-energy physics, atomic and solid-state physics, and many more [43,44]. The CYP is expressed as [41]:
V ( r ) = A ˜ e 2 β r r 2 B ˜ r + C ˜ e β r r
where r is the interparticle distance, A ˜ ,   B ˜ , and C ˜ are the potential parameters, and β is the screening parameter which characterizes the range of the interaction [41].
In this study, we are looking for answers to the following questions: what happens to information-entropies when magnetic and Aharonov–Bohm fields have an all-encompassing effect? What happens when a lone effect occurs? As a result, we are interested in using information-theoretical measurements to investigate this spreading in both position and momentum spaces.
GITM are measures of uncertainty and information of a probability distribution and are useful in identifying strong variations on the distribution over a small region in a system; thus, they identify the local changes in the probability density, giving a good description of the quantum system [9,45].
The Shannon entropy is extended by the Rényi entropy. It is a single-parameter entropy measure family that has some important link with Shannon entropy. In the position space, Rényi entropy is defined as [2,27,28,46]:
R p [ Ξ n ] = 1 1 p ln [ ( Ξ ( r ) ) p d r ] = 1 1 p ln ϒ p [ Ξ n ] , p > 0 , p 1 .
For the momentum space coordinate, the associated Rényi entropy is given as:
R q [ Χ n ] = 1 1 p ln [ ( Χ ( ρ ) ) p d ρ ] = 1 1 p ln ϒ p [ Χ n ] , p > 0 , p 1 .
where Χ n = Χ ( ρ ) = | Ψ ( ρ ) | 2 . The parameter’s permissible range of values is governed by the integral’s convergence condition in the definition, with the crucial condition p > 0 . In the limit p 0 , the Rényi entropy changes to the Shannon entropy [34].
As p approaches zero, the Rényi entropy increasingly weighs all events with nonzero probability more equally, regardless of their probabilities. In the limit for p 0 , the Rényi entropy is just the logarithm of the size of the support of Ξ n . The limit for p 1 is the Shannon entropy. As p approaches infinity, the Rényi entropy is increasingly determined by the events of highest probability [34].
Onicescu proposed a better measure of dispersion distribution in an attempt to establish a generalization to the Shannon entropy [5]. Onicescu information energy is described as [5]:
E [ Ξ n ] = Ξ 2 ( r ) d r = ( Ξ ( r ) ) p d r = ϒ p [ Ξ n ] , p = 2
For the momentum space coordinate, the equivalent Onicescu energy is given as:
E [ Χ n ] = Χ 2 ( ρ ) d ρ = ( Χ ( ρ ) ) p d ρ = ϒ q [ Χ n ] , p = 2
The probability distribution is more concentrated and the information content is smaller as the Onicescu information energy increases. The energy product of Onicescu can thus be calculated as E ρ γ = E ρ E γ .
In the position and momentum space coordinates, the Tsallis entropy is defined as [4]:
T p [ Ξ n ] = 1 p 1 ( 1 [ ( Ξ ( r ) ) p d r ] ) = 1 p 1 ( 1 ϒ p [ Ξ n ] ) , p > 0 , p 1
and:
T p [ Χ n ] = 1 p 1 ( 1 [ ( Χ ( ρ ) ) p d ρ ] ) = 1 p 1 ( 1 ϒ p [ γ n ] ) , p > 0 , p 1
where Χ p [ Ξ n ] is the entropic moments. In the limit p 1 , the Tsallis entropy also changes to the Shannon entropy. In Equations (2)–(7): p is a non-negative dimensionless coefficient, which can be construed as a factor describing the reaction of the system to its deviation from the equilibrium; Ξ ( r ) is the position space probability density; and Χ ( ρ ) is the momentum space probability density.
The following is how this article is structured: the normalized wave function and probability density for the CYP in the presence of magnetic and Aharonov–Bohm fields are presented in the next section. The numerical findings and explanations of the Rényi entropy, Tsallis entropy, and Onicescu information energy, as well as their respective uncertainty relations, are presented in Section 3. A final remark is made in Section 4.

2. The Model Formulation

In cylindrical coordinates, the Hamiltonian operator of a charged particle moving in the class of Yukawa potential (CYP) under the combined influence of AB and external magnetic fields may be expressed [47,48,49] as:
[ 1 2 μ ( i e c A ) 2 A ˜ e 2 β r r 2 B ˜ r + C ˜ e β r r ] ψ ( r , φ ) = E n m ψ ( r , φ ) ,
where E n m denotes the energy level, μ is the effective mass of the system, and the vector potential which is denoted by “ A ” is given as: A = ( 0 , B e β r ( 1 e β r ) + ϕ A B 2 π r , 0 ) [47,48].
Equation (8) cannot be solved analytically, so Greene and Aldrich approximation scheme have to be employed in order to obtain the eigen solutions [46]. The energy is obtained as follows using the functional analysis approach (FAA):
E n m = 2 β 2 η m 2 μ B ˜ β 2 β 2 8 μ [ 2 μ B ˜ 2 β 2 μ C ˜ 2 β 2 μ A ˜ 2 + ( μ ω c β ) 2 η m ( n + σ m ) 2 ( n + σ m ) ] 2
where m is the magnetic quantum number:
σ m = 1 2 + ( m + ξ ) 2 2 μ A ˜ 2 + ( μ ω c β ) 2 + 2 μ ω c β ( m + ξ )
and:
η m = ( m + ξ ) 2 1 4
The normalized wave function χ n m ( s ) that corresponds to the two lowest lying states n = 0 , 1 are presented as follows:
χ 0 ( s ) = β Γ ( 1 + 2 λ + 2 σ m ) Γ ( 2 λ ) Γ ( 1 + 2 σ m ) ( e β r ) λ ( 1 e β r ) σ m
and:
χ 1 ( s ) = 1 1 + 2 λ β λ ( 1 + 2 λ ) Γ ( 3 + 2 λ + 2 σ m ) ( 1 + σ m ) ( 1 + 2 λ + 2 σ m ) Γ ( 1 + 2 λ ) Γ ( 1 + 2 σ m ) ( e β r ) 1 + λ × ( 1 e β r ) σ m ( e β r ( 1 + 2 λ ) 2 σ m ( 1 + 2 λ ) )
where λ = 2 μ E n m 2 β 2 2 μ C ˜ 2 β + η m .
The normalized momentum-space χ n m ( ρ ) wave function for the two lowest lying states n = 0 , 1 , are obtained as [39,40]:
χ 0 ( ρ ) = 1 2 π 0 χ 0 ( r ) e i ρ r d r
χ 0 ( ρ ) = β Γ ( 1 + 2 λ + 2 σ m ) Γ ( 2 λ ) Γ ( 1 + 2 σ m ) Γ ( i ρ β + λ ) Γ ( 1 + σ m ) 2 π β Γ ( 1 + i ρ β + λ + σ m )
χ 1 ( ρ ) = 1 2 π 0 χ 1 ( r ) e i ρ r d r
χ 1 ( ρ ) = β ( 1 + 2 λ ) Γ ( 3 + 2 λ + 2 σ m ) 2 ( 1 + σ m ) ( 1 + 2 λ + 2 σ m ) Γ ( 2 λ ) Γ ( 1 + 2 σ m ) ( ( 2 i ρ σ m + α ( 1 + 2 λ + σ m ) ) Γ ( 1 + σ m ) Γ ( i ρ β + λ ) 2 π β 2 ( 1 + 2 λ ) Γ ( 2 + i ρ β + λ + σ m ) )
Full details of the solutions can be found in ref. [50]. We point out here that Edet and Ikot [50] have recently treated one of these global information entropies known as the Shannon entropy. In a bid to broaden the scope of our application, we will in the next section consider other global entropies.
In the absence of magnetic and AB fields, if we set m = + 1 2 ,   A ˜ = A ˜ ,   C ˜ = C ˜ ,   B ˜ = 0 , and β = 0 , we recover the Kratzer–Feus potential:
V ( r ) = A ˜ r 2 C ˜ r
with energy:
E n = μ 2 2 C ˜ 2 ( n + 1 2 + + 1 4 + 2 μ A ˜ 2 ) 2
The above expressions (16) and (17) are in agreement with Ref. [51].

3. Global Information-Theoretic Measures for the CYP

In general, the derivation of these information entropies is difficult and time-consuming, particularly the analytical formulation for the Tsallis and Rényi entropies and Onicescu information energy in momentum space. This is due to the Fourier transform’s intricate computation; as a result, we find the numerical result.
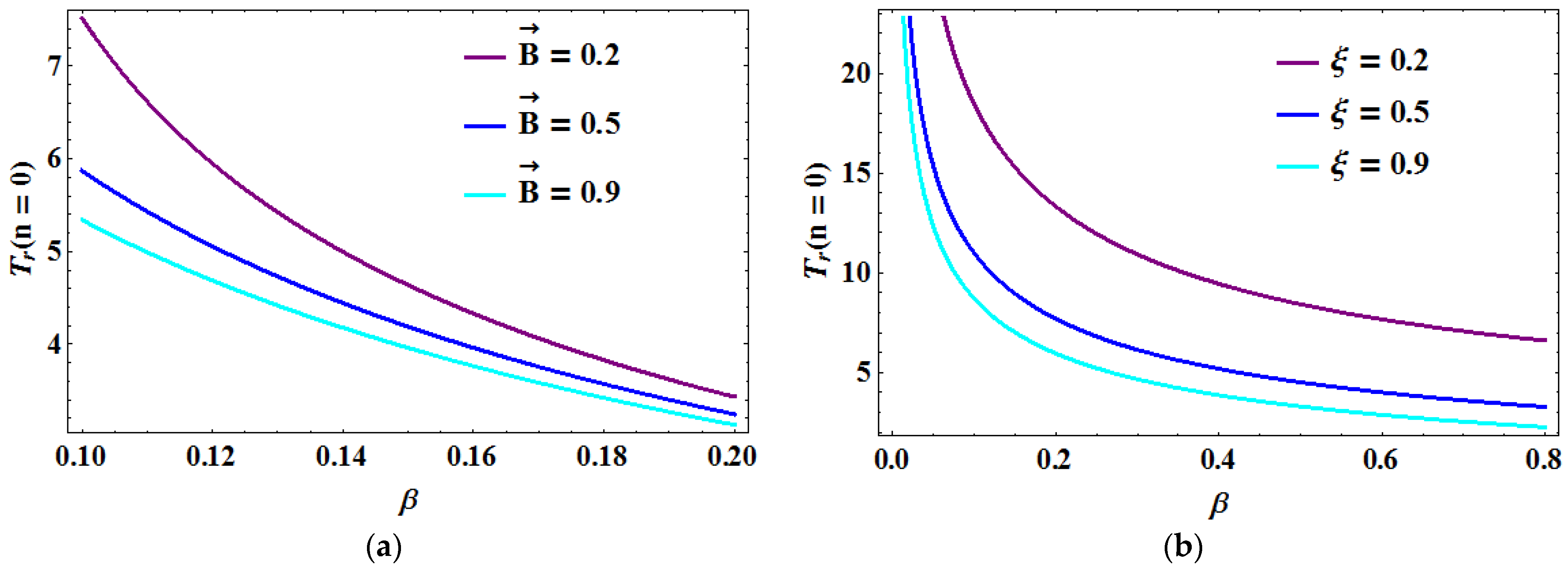
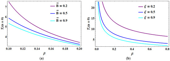
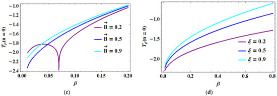
Figure 1a–d displays the plot of Tsallis entropies in position and momentum space, which reveals that the CYP’s position Tsallis entropies diminish as the potential parameter increases, whereas the momentum space expands when the potential parameter β is amplified. In the position space with rising magnetic and AB fields, Tsallis entropy is likewise shown to decrease. In the momentum space, the opposite is the case.
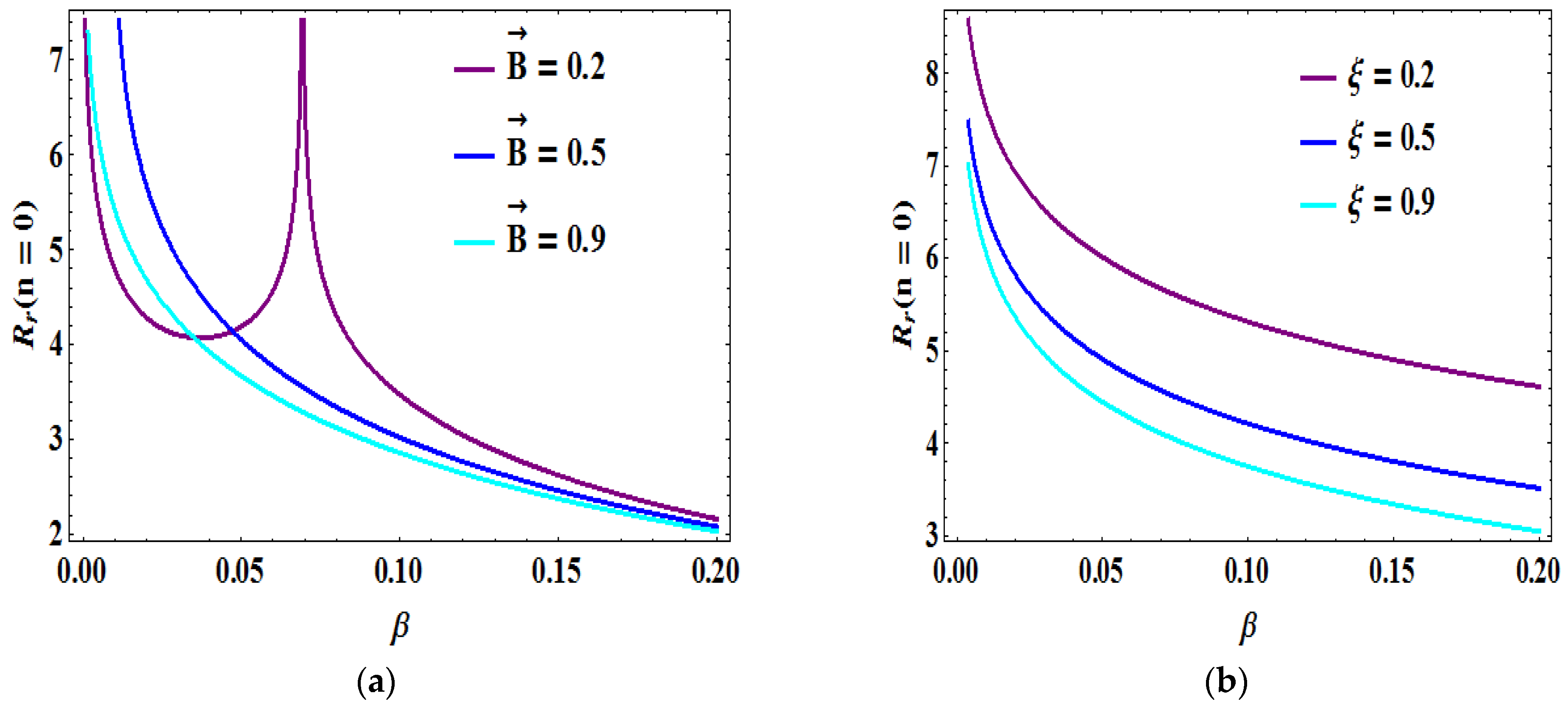
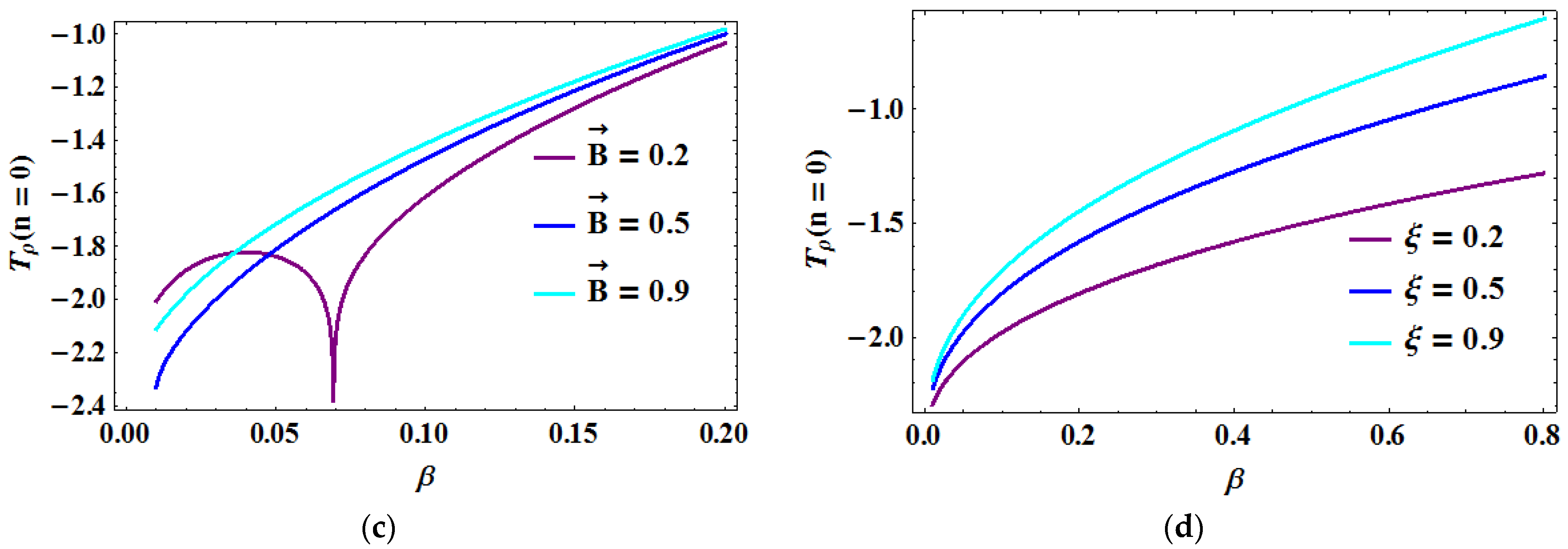
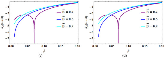
The Rényi entropies (RE) in position and momentum space are shown in Figure 2a–d. RE increases with rising potential parameter β and decreases with the increasing magnetic and AB fields in position space. RE gets larger with the screening parameter β and is inversely proportional to magnetic and AB fields in momentum space. This behaves similarly to the Shannon entropies in position space seen in Figure 1a–d in Ref. [51].
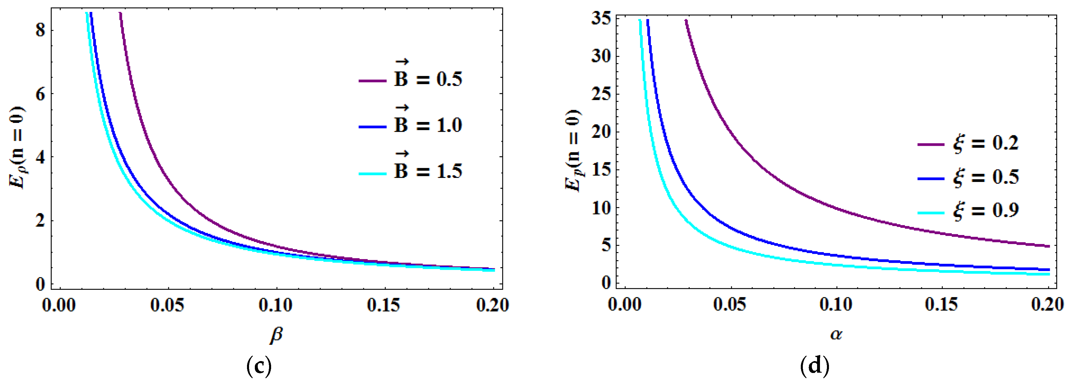
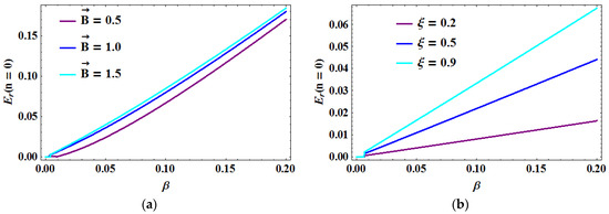
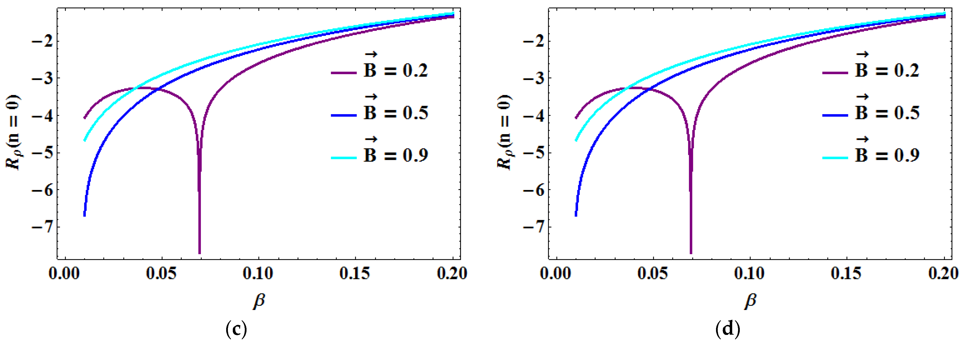
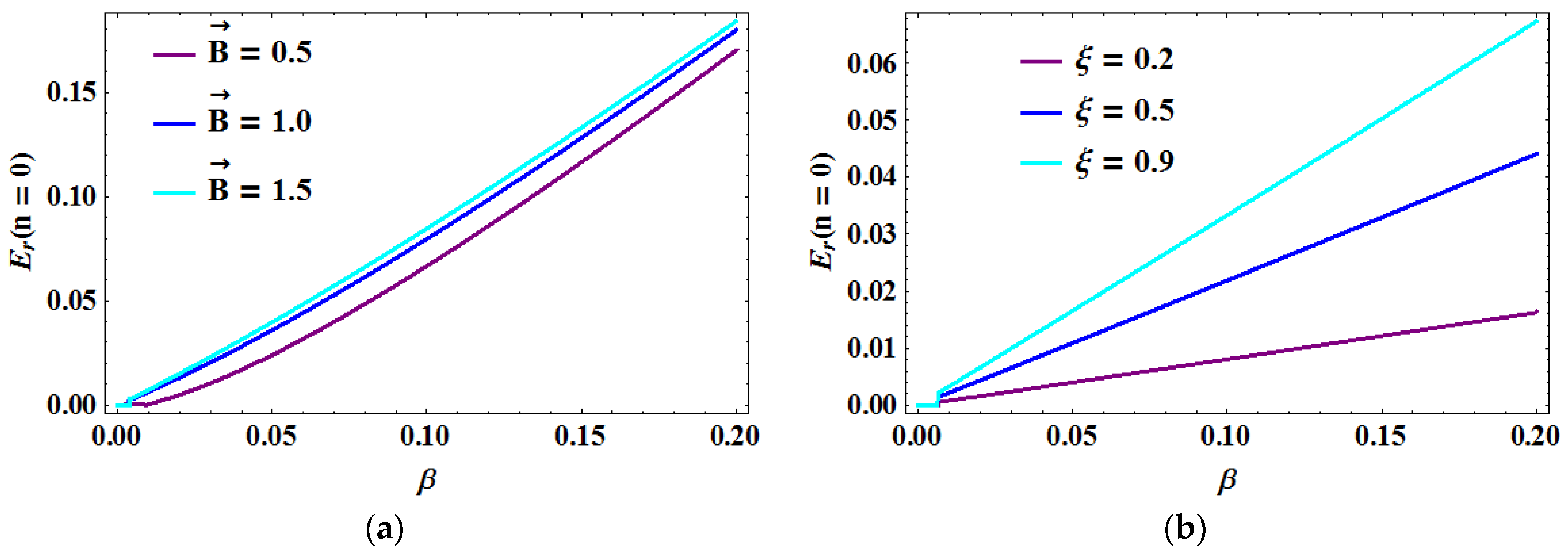
The Onicescu information energy (OIE) in position and momentum space is shown in Figure 3a–d. The OIE in position space increases as the screening parameter β upsurges and declines as the magnetic and AB fields rise. The OIE reduces as the screening parameter rises and upsurges as the magnetic and AB fields grow in momentum space. This highlights the fact that the greater the system’s OIE, the more concentrated the probability distribution is and the smaller the information content. According to the definition of the Shannon entropy, more localized distributions and position space probability density correspond to the smaller value of the RE, which means that the delocalization of the probability density increases with increasing quantum number.
The numerical findings in Table 1 and Table 2 demonstrate that the position-space Tsallis entropy reduces as the potential parameter, magnetic, and AB fields rise, whereas the momentum-space Tsallis information entropy grows as the potential parameter β , magnetic, and AB fields increase. This is consistent with what we observed in Figure 1. The single influence of these fields is examined in Table 3. The Tsallis entropy in the position space grows as the potential parameter β increases when just the magnetic field is present, and a similar condition is observed in the momentum space. This contradicts our findings for the all-inclusive impact in momentum space. This finding is also confirmed when only the AB field is functioning.
The numerical results in Table 4 and Table 5 demonstrate that the position-space Rényi entropy decreases as the potential parameter, magnetic, and AB fields increase, but the momentum-space Rényi information entropy increases as the potential parameter β , magnetic, and AB fields increase. This is consistent with what we saw in Figure 2.
When we looked at the lone influence of these fields on the Rényi entropy in Table 6, we saw something intriguing. When just the magnetic field is active, we find that the Rényi entropy in the position space grows as the potential parameter rises, but the opposite is true in the momentum space.
This is in contrast to what we saw in the overall impact. The Rényi entropy in the position space reduces as the potential parameter β grows when just the AB field is active, but the opposite is true in the momentum space. This supports our observation of the all-encompassing influence. However, we may deduce that the magnetic is necessary to produce a rising Rényi entropy with regard to the potential parameter β . This finding is comparable to what the Shannon entropy shows [50]. It is important to realize that the conjugates of position and momentum space information entropies have an inverse relationship with each other. A strongly localized distribution in the position space corresponds to widely delocalized distribution in the momentum space.
The numerical results in Table 7 and Table 8 demonstrate that the position-space Onicescu information energy surges as the potential parameter β , magnetic, and AB fields rise, whereas the momentum space Onicescu information energy information entropy reduces as the potential parameter β , magnetic, and AB fields rise. When we looked at the single influence of these fields on the Onicescu information energy in Table 9, we discovered something interesting. When just the magnetic field remains operational, the Onicescu information energy in the position space drops as the potential parameter β rises, although in the momentum space the opposite is the case.
This contrasts our findings in the case of the comprehensive impact. When just the AB field is present, we notice that the Onicescu information energy in the position space grows as the potential parameter β increases, but the opposite is true in the momentum space. This is consistent with our findings in the case of the all-inclusive effect. However, we could deduce that the AB field is necessary to acquire a rising Onicescu information energy in position space with regard to the potential parameter.

4. Conclusions

The GQITM was investigated in both the position and momentum spaces for the CYP in the ground and first excited states in this research. The wave function and energy equations are obtained by solving the Schrodinger equation with the CYP in the presence of magnetic and AB fields using the functional analytical method [50]. The probability density is evaluated by squaring the CYP’s wave function given in terms of hypergeometric functions. Numerical results at p = 2 for the Rényi entropy, Tsallis entropy, and Onicescu information energy have also been produced. The effects of magnetic and AB fields on these entropies have been well investigated. Our results show that these fields and potential parameters are relevant for the manipulation of the behavior of the quantum system. The findings obtained in this study will find possible applications in quantum information processing, quantum chemistry, etc. The present study can be extended to the investigation of the information entropies of heavy mesons such as charmonium and bottomonium in the presence of magnetic and AB fields [52,53,54,55].

Author Contributions

C.O.E. and S.A.A.: Conceived and designed the study, acquired, analyzed and interpreted the data, and handled the review. R.E. and N.A. handled the computational analysis. A.N.I., M.A. and E.B.E.: revised the manuscript for important intellectual content, and contributed in general recommendations and data interpretation. All authors have read and agreed to the published version of the manuscript.

Funding

The research was carried out under Long Term Research Grant Scheme project LRGS/1/2020/UM/01/5/2 provided by Ministry of Higher Education of Malaysia (MOHE).

Institutional Review Board Statement

Not applicable.

Informed Consent Statement

Not applicable.

Data Availability Statement

The datasets used and/or analyzed during the current study are available from the corresponding authors on reasonable request.

Acknowledgment

C.O.E. acknowledges eJDS (ICTP).

Conflicts of Interest

The authors declare no conflict of interest.

References

  1. Shannon, C.E. A mathematical theory of communication. Bell Syst. Tech. J. 1948, 27, 379. [Google Scholar] [CrossRef] [Green Version]
  2. Renyi, A. Measures of Information and Entropy. In Proceedings of the 4th Symptom on Mathematics, Statistics and Probability, Berkeley University Press, Berkeley, CA, USA, 30 July 1960. [Google Scholar]
  3. Kullberg, S.; Leibler, R.A. On information and sufficiency. Ann. Math Stat. 1951, 22, 79. [Google Scholar]
  4. Tsallis, C.J. Possible generalization of Boltzmann-Gibbs statistics. Stat. Phys. 1988, 54, 479. [Google Scholar] [CrossRef]
  5. Onicescu, C.R.O. Theorie de l’information energie informationelle. Acad. Sci. Paris. A 1966, 263, 25. [Google Scholar]
  6. Sun, G.H.; Aoki, M.A.; Dong, S.H. Quantum information entropies of the eigenstates for the Pöschl—Teller-like potential. Chin. Phys. B 2013, 22, 050302. [Google Scholar] [CrossRef]
  7. Sun, G.H.; Dong, S.H.; Saad, N. Quantum information entropies for an asymmetric trigonometric Rosen–Morse potential. Ann. Phys. 2013, 525, 934. [Google Scholar] [CrossRef]
  8. Dong, S.; Sun, G.H.; Dong, S.H.; Draayer, J.P. Quantum information entropies for a squared tangent potential well. Phys. Lett. A 2014, 378, 124. [Google Scholar] [CrossRef]
  9. Navarro, G.Y.; Sun, G.H.; Dytrych, T.; Launey, K.D.; Dong, S.H.; Draayer, J.P. Quantum information entropies for position-dependent mass Schrödinger problem. Ann. Phys. 2014, 348, 153. [Google Scholar] [CrossRef]
  10. Torres, R.V.; Sun, G.H.; Dong, S.H. Quantum information entropy for a hyperbolical potential function. Phys. Scr. 2015, 90, 035205. [Google Scholar] [CrossRef]
  11. Song, X.D.; Sun, G.H.; Dong, S.H. Shannon information entropy for an infinite circular well. Phys. Lett. A 2015, 379, 1402. [Google Scholar] [CrossRef]
  12. Sun, G.H.; Dong, S.H.; Launey, K.D.; Dytrych, T.; Draayer, J.P. Shannon information entropy for a hyperbolic double-well potential. Int. J. Quantum Chem. 2015, 115, 891. [Google Scholar] [CrossRef]
  13. Sun, G.H.; Dusan, P.; Oscar, C.N.; Dong, S.H. Shannon information entropies for position-dependent mass Schrödinger problem with a hyperbolic well. Chin. Phys. B 2015, 24, 100303. [Google Scholar]
  14. Omugbe, E.; Osafile, O.E.; Okon, I.B.; Eyube, E.S.; Inyang, E.P.; Okorie, U.S.; Jahanshir, A.; Onate, C.A. Non-relativistic bound state solutions with α-deformed Kratzer-type potential using the super-symmetric WKB method: Application to theoretic-information measures. Eur. Phys. J. D 2022, 76, 72. [Google Scholar] [CrossRef]
  15. Song, X.D.; Dong, S.H.; Zhang, Y. Quantum information entropy for one-dimensional system undergoing quantum phase transition. Chin. Phys. B 2016, 25, 050302. [Google Scholar] [CrossRef]
  16. Shi, Y.J.; Sun, G.H.; Jing, J.; Dong, S.H. Shannon and Fisher entropy measures for a parity-restricted harmonic oscillator. Laser Phys. 2017, 27, 125201. [Google Scholar] [CrossRef]
  17. Solaimani, M.; Sun, G.H.; Dong, S.H. Shannon information entropies for rectangular multiple quantum well systems with constant total lengths. Chin. Phys. B 2018, 27, 040301. [Google Scholar] [CrossRef]
  18. Najafizade, S.A.; Hassanabadi, H.; Zarrinkamar, S. Nonrelativistic Shannon information entropy for Killingbeck potential. Can. J. Phys. 2016, 94, 1085. [Google Scholar] [CrossRef]
  19. Najafizade, S.A.; Hassanabadi, H.; Zarrinkamar, S. Information Theoretic Global Measures of Dirac Equation With Morse and Trigonometric Rosen–Morse Potentials. Few-Body Syst. 2017, 58, 149. [Google Scholar] [CrossRef]
  20. Panahi, H.; Najafizade, A.; Hassanabadi, H. Study of the Shannon Entropy in the Quantum Model Obtained from SO (2, 2). J. Korean Phys. Soc. 2019, 75, 87. [Google Scholar] [CrossRef]
  21. Najafizade, A.; Panahi, H.; Hassanabadi, H. Study of information entropy for involved quantum models in complex Cayley-Klein space. Phys. Scr. 2020, 95, 085207. [Google Scholar] [CrossRef]
  22. Zare, S.; Hassanabadi, H. Properties of Quasi-Oscillator in Position-Dependent Mass Formalism. Adv. High Energy Phys. 2016, 2016, 4717012. [Google Scholar] [CrossRef] [Green Version]
  23. Romera, E.; de los Santos, F. Fractional revivals through Rényi uncertainty relations. Phys. Rev. A 2008, 78, 013837. [Google Scholar] [CrossRef] [Green Version]
  24. Romera, E.; Nagy, A. Rényi information of atoms. Phys. Lett. A 2008, 372, 4918. [Google Scholar] [CrossRef]
  25. Najafizade, S.A.; Hassanabadi, H.; Zarrinkamar, S. Nonrelativistic Shannon information entropy for Kratzer potential. Chin. Phys. B 2016, 25, 040301. [Google Scholar] [CrossRef]
  26. Ghafourian, M.; Hassanabadi, H. Shannon information entropies for the three-dimensional Klein-Gordon problem with the Poschl-Teller potential. J. Korean Phys. Soc. 2016, 68, 1267. [Google Scholar] [CrossRef]
  27. Amadi, P.O.; Ikot, A.N.; Ngiangia, A.T.; Okorie, U.S.; Rampho, G.J.; Abdullah, H.Y. Shannon entropy and Fisher information for screened Kratzer potential. Int. J. Quantum Chem. 2020, 120, e26246. [Google Scholar] [CrossRef]
  28. Ikot, A.N.; Rampho, G.J.; Amadi, P.O.; Sithole, M.J.; Okorie, U.S.; Lekala, M.I. Shannon entropy and Fisher information-theoretic measures for Mobius square potential. Eur. Phys. J. Plus 2020, 135, 6. [Google Scholar] [CrossRef]
  29. Yahya, W.A.; Oyewumi, K.J.; Sen, K.D. Information and complexity measures for the ring-shaped modified Kratzer potential. Indian J. Chem. 2014, 53A, 1307. [Google Scholar]
  30. Yahya, W.A.; Oyewumi, K.J.; Sen, K.D. Position and momentum information-theoretic measures of the pseudoharmonic potential. Int. J. Quantum Chem. 2014, 115, 1543. [Google Scholar] [CrossRef] [Green Version]
  31. Hassanabadi, H.; Zare, S.; Alimohammadi, M. Investigation of the information entropy for the X (3) model. Eur. Phys. J. Plus 2017, 132, 498. [Google Scholar] [CrossRef]
  32. Sun, G.H.; Dong, S.H. Quantum information entropies of the eigenstates for a symmetrically trigonometric Rosen–Morse potential. Phys. Scr. 2013, 87, 045003. [Google Scholar] [CrossRef]
  33. Isonguyo, C.N.; Oyewumi, K.J.; Oyun, O.S. Quantum information-theoretic measures for the static screened Coulomb potential. Int. J. Quantum Chem. 2018, 118, e25620. [Google Scholar] [CrossRef]
  34. Patil, S.H.; Sen, K.D. Net information measures for modified Yukawa and Hulthén potentials. Int. J. Quantum Chem. 2007, 107, 1864. [Google Scholar] [CrossRef]
  35. Falaye, B.J.; Serrano, F.A.; Dong, S.H. Fisher information for the position-dependent mass Schrödinger system. Phys. Lett. A 2016, 380, 267. [Google Scholar] [CrossRef] [Green Version]
  36. Serrano, F.A.; Falaye, B.J.; Dong, S.H. Information-theoretic measures for a solitonic profile mass Schrödinger equation with a squared hyperbolic cosecant potential. Phys. A 2016, 446, 152. [Google Scholar] [CrossRef]
  37. Jiao, L.G.; Zan, L.R.; Zhang, Y.Z.; Ho, Y.K. Benchmark values of S hannon entropy for spherically confined hydrogen atom. Int. J. Quantum Chem. 2017, 117, e25375. [Google Scholar] [CrossRef]
  38. Pooja; Sharma, A.; Gupta, R.; Kumar, A. Quantum information entropy of modified Hylleraas plus exponential Rosen Morse potential and squeezed states. Int. J. Quantum Chem. 2017, 117, 25368. [Google Scholar] [CrossRef]
  39. Olendski, O. Quantum information measures of the Aharonov–Bohm ring in uniform magnetic fields. Phys. Lett. A 2019, 383, 1110. [Google Scholar] [CrossRef] [Green Version]
  40. Olendski, O. Rényi and tsallis entropies of the aharonov–bohm ring in uniform magnetic fields. Entropy 2019, 21, 1060. [Google Scholar] [CrossRef] [Green Version]
  41. Hamzavi, M.; Thylwe, K.E.; Rajabi, A.A. Approximate bound states solution of the Hellmann potential. Commun. Theor. Phys. 2013, 60, 1. [Google Scholar] [CrossRef]
  42. Ahmadov, A.I.; Demirci, M.; Aslanova, S.M.; Mustamin, M.F. Arbitrary ℓ-state solutions of the Klein-Gordon equation with the Manning-Rosen plus a Class of Yukawa potentials. Phys. Lett. A 2020, 384, 126372. [Google Scholar] [CrossRef] [Green Version]
  43. Purohit, K.R.; Rai, A.K.; Parmar, R.H. Rotational vibrational partition function using attractive radial potential plus class of Yukawa potential. AIP Conf. Proc. 2020, 2220, 120004. [Google Scholar]
  44. Bialynicki-Birula, I.; Mycielski, J. Uncertainty relations for information entropy in wave mechanics. Commun. Math. Phys. 1975, 44, 129. [Google Scholar] [CrossRef]
  45. Guerrero, A.; Sanchez-Moreno, J.; Dehesa, J.S. Information-theoretic lengths of Jacobi polynomials. J. Phys. A Math. Theor. 2010, 43, 305203. [Google Scholar] [CrossRef]
  46. Greene, R.L.; Aldrich, C. Variational wave functions for a screened Coulomb potential. Phys. Rev. A 1976, 14, 2363. [Google Scholar] [CrossRef]
  47. Edet, C.O.; Amadi, P.O.; Ettah, E.B.; Ali, N.; Asjad, M.; Ikot, A.N. The magnetocaloric effect, thermo-magnetic and transport properties of LiH diatomic molecule. Mol. Phys. 2022, e2059025. [Google Scholar] [CrossRef]
  48. Edet, C.O.; Ikot, A.N. Analysis of the impact of external fields on the energy spectra and thermo-magnetic properties of N2, I2, CO, NO and HCl diatomic molecules. Mol. Phys. 2021, 119, 23. [Google Scholar] [CrossRef]
  49. Edet, C.O.; Ikot, A.N. Effects of Topological Defect on the Energy Spectra and Thermo-magnetic Properties of $$ CO $$ CO Diatomic Molecule. J. Low Temp. Phys. 2021, 203, 84. [Google Scholar] [CrossRef]
  50. Edet, C.O.; Ikot, A.N. Shannon information entropy in the presence of magnetic and Aharanov–Bohm (AB) fields. Eur. Phys. J. Plus 2021, 136, 432. [Google Scholar] [CrossRef]
  51. Bayrak, O.; Boztosun, I.; Ciftci, H. Exact analytical solutions to the Kratzer potential by the asymptotic iteration method. Int. J. Quantum Chem. 2007, 107, 540. [Google Scholar] [CrossRef]
  52. Inyang, E.P.; Inyang, E.P.; Ntibi, J.E.; Ibekwe, E.E.; William, E.S. Approximate solutions of D-dimensional Klein–Gordon equation with Yukawa potential via Nikiforov–Uvarov method. Indian J. Phys. 2021, 95, 2733–2739. [Google Scholar] [CrossRef]
  53. Akpan, I.O.; Inyang, E.P.; William, E.S. Approximate solutions of the Schrödinger equation with Hulthén-Hellmann Potentials for a Quarkonium system. Rev. Mex. Fís. 2021, 67, 482–490. [Google Scholar]
  54. Ibekwe, E.E.; Okorie, U.S.; Emah, J.B.; Inyang, E.P.; Ekong, S.A. Mass spectrum of heavy quarkonium for screened Kratzer potential (SKP) using series expansion method. Eur. Phys. J. Plus 2021, 136, 1–11. [Google Scholar] [CrossRef]
  55. Abu-Shady, M.; Edet, C.O.; Ikot, A.N. Non-relativistic quark model under external magnetic and Aharanov–Bohm (AB) fields in the presence of temperature-dependent confined Cornell potential. Can. J. Phys. 2021, 99, 1024–1031. [Google Scholar] [CrossRef]
Figure 1. Position space Tsallis entropies T r ( r ) versus: (a) screening parameter ( β ) with varying magnetic field; (b) screening parameter ( β ) with varying AB field. Momentum space Tsallis entropies T ρ ( ρ ) versus (c) screening parameter ( β ) with varying magnetic field; (d) screening parameter ( β ) with varying AB field.
Figure 1. Position space Tsallis entropies T r ( r ) versus: (a) screening parameter ( β ) with varying magnetic field; (b) screening parameter ( β ) with varying AB field. Momentum space Tsallis entropies T ρ ( ρ ) versus (c) screening parameter ( β ) with varying magnetic field; (d) screening parameter ( β ) with varying AB field.
Symmetry 14 00976 g001aSymmetry 14 00976 g001b
Figure 2. Position space Rényi entropies R r ( r ) versus: (a) screening parameter ( β ) with varying magnetic field; (b) screening parameter ( β ) with varying AB field. Momentum space Rényi entropies R ρ ( ρ ) versus (c) screening parameter ( β ) with varying magnetic field; (d) screening parameter ( β ) with varying AB field.
Figure 2. Position space Rényi entropies R r ( r ) versus: (a) screening parameter ( β ) with varying magnetic field; (b) screening parameter ( β ) with varying AB field. Momentum space Rényi entropies R ρ ( ρ ) versus (c) screening parameter ( β ) with varying magnetic field; (d) screening parameter ( β ) with varying AB field.
Symmetry 14 00976 g002aSymmetry 14 00976 g002b
Figure 3. Position space Onicescu information energy E r ( r ) versus: (a) screening parameter ( α ) with varying magnetic field; (b) screening parameter ( β ) with varying AB field. Momentum space Onicescu information energy E ρ ( ρ ) versus (c) screening parameter ( β ) with varying magnetic field; (d) screening parameter ( β ) with varying AB field.
Figure 3. Position space Onicescu information energy E r ( r ) versus: (a) screening parameter ( α ) with varying magnetic field; (b) screening parameter ( β ) with varying AB field. Momentum space Onicescu information energy E ρ ( ρ ) versus (c) screening parameter ( β ) with varying magnetic field; (d) screening parameter ( β ) with varying AB field.
Symmetry 14 00976 g003aSymmetry 14 00976 g003b
Table 1. Numerical results of the Tsallis entropy for CYP of A ˜ = 1 , B ˜ = 2 and C ˜ = 1 for m = 0 in the presence of AB and magnetic fields with varying β and B .
Table 1. Numerical results of the Tsallis entropy for CYP of A ˜ = 1 , B ˜ = 2 and C ˜ = 1 for m = 0 in the presence of AB and magnetic fields with varying β and B .
n = 0 β T r T ρ T r T ρ B T r T ρ T r T ρ
0.14.85597−1.36078−6.607890.110.3199−1.76531−18.2178
0.23.00089−0.97275−2.91910.27.51722−1.6137−12.1305
0.32.12788−0.68065−1.448340.36.62342−1.54307−10.2204
0.41.58914−0.437−0.694460.46.15692−1.5002−9.23659
0.51.21291−0.22413−0.271850.55.86766−1.47134−8.63333
0.60.930544−0.03313−0.030830.65.67091−1.45071−8.22686
0.70.7083130.1412310.1000360.75.52895−1.43534−7.93591
0.80.5273990.302380.1594750.85.42214−1.42353−7.71857
0.90.3763390.4526940.1703670.95.33924−1.41423−7.55093
n = 1 0.10.331132−1.13946−0.377310.14.20379−1.38461−5.8206
0.2−0.22603−0.669850.1514060.23.13651−1.302−4.08373
0.3−0.4842−0.315680.1528490.32.56567−1.25414−3.21771
0.4−0.64587−0.02060.0133040.42.19632−1.22327−2.68669
0.5−0.761840.236612−0.180260.51.93233−1.2021−2.32285
0.6−0.851650.466783−0.397530.61.73169−1.18699−2.05549
0.7−0.924620.676366−0.625380.71.57271−1.17587−1.84931
0.8−0.985890.869596−0.857330.81.44287−1.16752−1.68457
0.9−1.038571.04943−1.089910.91.33436−1.16112−1.54936
Table 2. Numerical results of the Tsallis entropy for CYP of A ˜ = 1 , B ˜ = 2 and C ˜ = 1 for m = 0 in the presence of AB and magnetic fields with varying ξ .
Table 2. Numerical results of the Tsallis entropy for CYP of A ˜ = 1 , B ˜ = 2 and C ˜ = 1 for m = 0 in the presence of AB and magnetic fields with varying ξ .
n = 0 ξ T r T ρ T r T ρ
0.175.1126−2.36279−177.476
0.218.4411−1.97689−36.4561
0.314.1096−1.8945−26.7308
0.412.1546−1.84339−22.4055
0.510.9773−1.80543−19.8188
0.610.1662−1.77482−18.0432
0.79.56125−1.74892−16.7219
0.89.08577−1.72634−15.6851
0.98.69795−1.70622−14.8406
n = 1 0.14.34999−1.49708−6.51228
0.24.03499−1.48134−5.97721
0.33.75866−1.46679−5.51319
0.43.51378−1.45323−5.10635
0.53.29489−1.44051−4.74632
0.63.09776−1.42851−4.42517
0.72.91908−1.41713−4.13671
0.82.75619−1.4063−3.87602
0.92.60694−1.39595−3.63916
Table 3. Numerical results of the Tsallis entropy for CYP of A ˜ = 1 , B ˜ = 2 and C ˜ = 1 for m = 0 in the absence of AB and magnetic fields.
Table 3. Numerical results of the Tsallis entropy for CYP of A ˜ = 1 , B ˜ = 2 and C ˜ = 1 for m = 0 in the absence of AB and magnetic fields.
B = 0 , n = 0 β T r T ρ T r T ρ n = 0 , ξ = 0 β T r T ρ T r T ρ
0.110.0506−0.77122−7.75125 0.118.5869−0.34567−6.425
0.23.68752−1.26202−4.65372 0.213.49−0.62472−8.42742
0.32.28039−1.41008−3.21553 0.311.0811−0.77215−8.55619
0.41.59787−1.49039−2.38145 0.49.57162−0.87116−8.33842
0.51.1687−1.5445−1.80506 0.58.49297−0.9456−8.03094
0.60.864823−1.5848−1.37057 0.67.65982−1.00545−7.70155
0.70.634176−1.61665−1.02524 0.76.9822−1.05578−7.37164
0.80.450886−1.64281−0.74072 0.86.41051−1.09948−7.04822
0.90.300389−1.66492−0.50012 0.95.91497−1.13834−6.73327
B = 0 , n = 1 0.17.63677−0.94899−7.24723 n = 0 , ξ = 0 0.14.71345−1.03892−4.89688
0.21.34222−1.40999−1.89252 0.23.07693−1.2298−3.78402
0.30.489068−1.52626−0.74644 0.32.32993−1.32995−3.09868
0.40.067563−1.59329−0.10765 0.41.87899−1.39616−2.62338
0.5−0.19899−1.639560.326249 0.51.56944−1.44481−2.26753
0.6−0.38826−1.674490.650143 0.61.34038−1.48278−1.9875
0.7−0.53219−1.702320.905953 0.71.16234−1.51362−1.75935
0.8−0.6467−1.725331.11577 0.81.01907−1.53937−1.56873
0.9−0.74081−1.744851.2926 0.90.90080−1.5613−1.40643
Table 4. Numerical results of the Rényi entropy for CYP of A ˜ = 1 , B ˜ = 2 and C ˜ = 1 for m = 0 in the presence of AB and magnetic fields with varying β and B .
Table 4. Numerical results of the Rényi entropy for CYP of A ˜ = 1 , B ˜ = 2 and C ˜ = 1 for m = 0 in the presence of AB and magnetic fields with varying β and B .
n = 0 β R r R ρ R r + R ρ B R r R ρ R r + R ρ
0.015.03916−4.312420.7267330.14.08677−3.061491.02528
0.024.34122−3.613730.7274890.23.47004−2.592470.877566
0.033.9311−3.202870.7282350.33.23639−2.400780.835604
0.043.63891−2.909940.7289710.43.10517−2.291220.813953
0.053.41138−2.681680.7296990.53.02021−2.220090.800121
0.063.2248−2.494380.7304160.62.96073−2.170440.790281
0.073.0665−2.335380.7311250.72.91691−2.134090.78282
0.082.92894−2.197120.7318230.82.88343−2.10650.776922
0.092.80723−2.074720.7325130.92.85713−2.085010.772117
n = 1 0.012.86638−3.88188−0.915920.12.50324−2.017711.03444
0.022.18509−3.18133−0.899020.22.0905−1.839090.507536
0.031.79113−2.76872−0.882640.31.84131−1.741170.27248
0.041.51464−2.47415−0.866740.41.66793−1.679970.123167
0.051.30236−2.24434−0.851320.51.53782−1.638860.014201
0.061.1306−2.05558−0.836350.61.43544−1.60992−0.07122
0.070.986711−1.89521−0.821820.71.35222−1.58885−0.1411
0.080.863154−1.75565−0.807770.81.28293−1.57312−0.1999
0.090.755069−1.63204−0.794450.91.22415−1.56115−0.25036
Table 5. Numerical results of the Rényi entropy for CYP of A ˜ = 1 , B ˜ = 2 and C ˜ = 1 for m = 0 in the presence of AB and magnetic fields with varying ξ .
Table 5. Numerical results of the Rényi entropy for CYP of A ˜ = 1 , B ˜ = 2 and C ˜ = 1 for m = 0 in the presence of AB and magnetic fields with varying ξ .
n = 0 ξ R r R ρ R r + R ρ
0.18.46512−7.256421.2087
0.25.31356−3.910641.40292
0.34.73423−3.5451.18924
0.44.42115−3.342371.07878
0.54.2118−3.201891.00991
0.64.05662−3.094060.962565
0.73.93427−3.006350.927922
0.83.83372−2.932280.901435
0.93.7486−2.868090.880507
n = 1 0.12.57713−2.283440.293695
0.22.46699−2.244520.222474
0.32.36656−2.209060.157495
0.42.27435−2.176460.097891
0.52.18922−2.146260.042958
0.62.11021−2.11809−0.00788
0.72.03658−2.09168−0.0551
0.81.96769−2.0668−0.09911
0.91.90302−2.04327−0.14025
Table 6. Numerical results of the Rényi entropy for CYP of A ˜ = 1 , B ˜ = 2 and C ˜ = 1 for m = 0 in the absence of AB and magnetic fields.
Table 6. Numerical results of the Rényi entropy for CYP of A ˜ = 1 , B ˜ = 2 and C ˜ = 1 for m = 0 in the absence of AB and magnetic fields.
B = 0 , n = 0 β R r R ρ R r + R ρ ξ = 0 , n = 0 β R r R ρ R r + R ρ
0.012.68063−1.878870.801764 0.017.62858−6.225411.40317
0.022.73321−1.93050.802702 0.026.93615−5.532221.40392
0.032.79274−1.988190.804547 0.036.53136−5.12671.40466
0.042.86121−2.053530.807671 0.046.2443−4.838931.40538
0.052.94157−2.128880.812688 0.056.02175−4.615671.40608
0.063.03855−2.217880.820669 0.065.83997−4.433211.40676
0.073.16036−2.326660.833696 0.075.68632−4.27891.40743
0.083.32321−2.466820.856396 0.085.55325−4.145171.40808
0.093.56648−2.664860.901613 0.095.43589−4.027171.40871
B = 0 , n = 1 0.011.7365−1.707080.029415 ξ = 0 , n = 1 0.014.95852−4.642680.315837
0.021.80368−1.761180.042503 0.024.2703−3.947980.322324
0.031.89214−1.823830.068313 0.033.86973−3.540970.328754
0.042.01026−1.897980.112277 0.043.5869−3.251770.335129
0.052.17217−1.988610.183554 0.053.36856−3.027110.341448
0.062.40431−2.105260.299049 0.063.19101−2.84330.347714
0.072.76485−2.270250.494601 0.073.04159−2.687670.353926
0.083.42965−2.561250.868406 0.082.91276−2.552670.360085
0.096.79656−4.582512.21405 0.092.79963−2.433440.366193
Table 7. Numerical results of the Onicescu information energy for CYP of A ˜ = 1 , B ˜ = 2 and C ˜ = 1 for m = 0 in the presence of AB and magnetic fields with varying β and B .
Table 7. Numerical results of the Onicescu information energy for CYP of A ˜ = 1 , B ˜ = 2 and C ˜ = 1 for m = 0 in the presence of AB and magnetic fields with varying β and B .
n = 0 β E r E ρ E r E ρ B E r E ρ E r E ρ
0.010.0087629.079710.0795590.10.0245943.197230.078632
0.020.0176094.517120.0795410.20.0434391.808120.078544
0.030.0265362.996770.0795230.30.0542131.450010.07861
0.040.0355422.236960.0795050.40.0614761.279960.078687
0.050.0446231.781350.0794880.50.0667161.180480.078757
0.060.0537761.477820.0794720.60.0706591.115490.078819
0.070.0631.26120.0794550.70.0737161.069960.078873
0.080.0722911.098880.0794390.80.0761431.036480.078921
0.090.0816480.9727610.0794240.90.0781051.010970.078962
n = 1 0.010.0074225.590890.0414950.10.0408270.9128060.037267
0.020.0149282.774090.0414120.20.0501520.7378490.037004
0.030.0225141.835750.0413310.30.0562630.6605560.037165
0.040.0301771.367010.0412520.40.0605630.6176270.037405
0.050.0379121.086070.0411750.50.0637240.5909050.037655
0.060.0457160.8990330.0411010.60.066120.5730830.037893
0.070.0535870.7656340.0410280.70.0679820.5606320.038113
0.080.0615210.6657510.0409580.80.0694560.5516390.038314
0.090.0695160.5882030.040890.90.0706420.5449830.038499
Table 8. Numerical results of the Onicescu information energy for CYP of A ˜ = 1 , B ˜ = 2 and C ˜ = 1 for m = 0 in the presence of AB and magnetic fields with varying ξ .
Table 8. Numerical results of the Onicescu information energy for CYP of A ˜ = 1 , B ˜ = 2 and C ˜ = 1 for m = 0 in the presence of AB and magnetic fields with varying ξ .
n = 0 ξ E r E ρ E r E ρ
0.10.0000933806.9060.075303
0.20.0080649.861890.079521
0.30.0136895.8070.079491
0.40.0181434.380370.079472
0.50.0218983.628570.079458
0.60.0251893.154150.079449
0.70.0281472.822410.079441
0.80.0308542.574610.079436
0.90.0333632.380790.079431
n = 1 0.10.0315951.141820.036076
0.20.0331391.091230.036162
0.30.0346081.048450.036285
0.40.0360141.011570.036431
0.50.0373640.9792670.03659
0.60.0386660.9505870.036756
0.70.0399250.9248390.036924
0.80.0411450.9015020.037092
0.90.042330.880180.037258
Table 9. Numerical results of the Onicescu information energy for CYP of A ˜ = 1 , B ˜ = 2 and C ˜ = 1 for m = 0 in the absence of AB and magnetic fields.
Table 9. Numerical results of the Onicescu information energy for CYP of A ˜ = 1 , B ˜ = 2 and C ˜ = 1 for m = 0 in the absence of AB and magnetic fields.
B = 0 , n = 0 β E r E ρ E r E ρ ξ = 0 , n = 0 β E r E ρ E r E ρ
0.010.0926040.8418590.07796 0.010.00079799.83090.079572
0.020.0878880.8870620.077962 0.020.00159349.94460.079566
0.030.0828580.9409660.077966 0.030.00238833.31450.079561
0.040.0774531.006720.077974 0.040.00318224.99860.079555
0.050.0715891.089340.077985 0.050.00397620.00820.079549
0.060.0651441.197420.078004 0.060.00476916.68060.079544
0.070.0579251.347180.078035 0.070.00556114.30320.079538
0.080.0496011.574290.078087 0.080.00635312.51970.079533
0.090.0395071.979110.078189 0.090.00714411.13210.079527
B = 0 , n = 1 0.010.0589280.6421160.037839 ξ = 0 , n = 1 0.010.00296912.09650.035914
0.020.0557380.6781740.0378 0.020.0059446.043930.035927
0.030.0521930.7228530.037728 0.030.0089264.026540.035941
0.040.048210.7802590.037616 0.040.0119143.017930.035954
0.050.0436610.8582180.037471 0.050.0149072.412820.035969
0.060.0383240.9744240.037344 0.060.0179072.009470.035984
0.070.0317391.182040.037517 0.070.0209131.721410.035999
0.080.0226071.761840.03983 0.080.0239241.505410.036015
0.090.0018739.54020.073944 0.090.0269411.337440.036031
Publisher’s Note: MDPI stays neutral with regard to jurisdictional claims in published maps and institutional affiliations.

Share and Cite

MDPI and ACS Style

Edet, C.O.; Ettah, E.B.; Aljunid, S.A.; Endut, R.; Ali, N.; Ikot, A.N.; Asjad, M. Global Quantum Information-Theoretic Measures in the Presence of Magnetic and Aharanov-Bohm (AB) Fields. Symmetry 2022, 14, 976. https://doi.org/10.3390/sym14050976

AMA Style

Edet CO, Ettah EB, Aljunid SA, Endut R, Ali N, Ikot AN, Asjad M. Global Quantum Information-Theoretic Measures in the Presence of Magnetic and Aharanov-Bohm (AB) Fields. Symmetry. 2022; 14(5):976. https://doi.org/10.3390/sym14050976

Chicago/Turabian Style

Edet, Collins Okon, Emmanuel Benjamin Ettah, Syed Alwee Aljunid, Rosdisham Endut, Norshamsuri Ali, Akpan Ndem Ikot, and Muhammad Asjad. 2022. "Global Quantum Information-Theoretic Measures in the Presence of Magnetic and Aharanov-Bohm (AB) Fields" Symmetry 14, no. 5: 976. https://doi.org/10.3390/sym14050976

APA Style

Edet, C. O., Ettah, E. B., Aljunid, S. A., Endut, R., Ali, N., Ikot, A. N., & Asjad, M. (2022). Global Quantum Information-Theoretic Measures in the Presence of Magnetic and Aharanov-Bohm (AB) Fields. Symmetry, 14(5), 976. https://doi.org/10.3390/sym14050976

Note that from the first issue of 2016, this journal uses article numbers instead of page numbers. See further details here.

Article Metrics

Back to TopTop