Numerical and Theoretical Analysis of Sessile Droplet Evaporation in a Pure Vapor Environment
Abstract
:1. Introduction
2. Mathematical Model
2.1. Physical Model
2.2. Theoretical Analysis
2.3. Numerical Simulation
- (1)
- (2)
2.3.1. Numerical Model
2.3.2. Boundary Conditions
2.3.3. Grid Independence Study
3. Result and Discussion
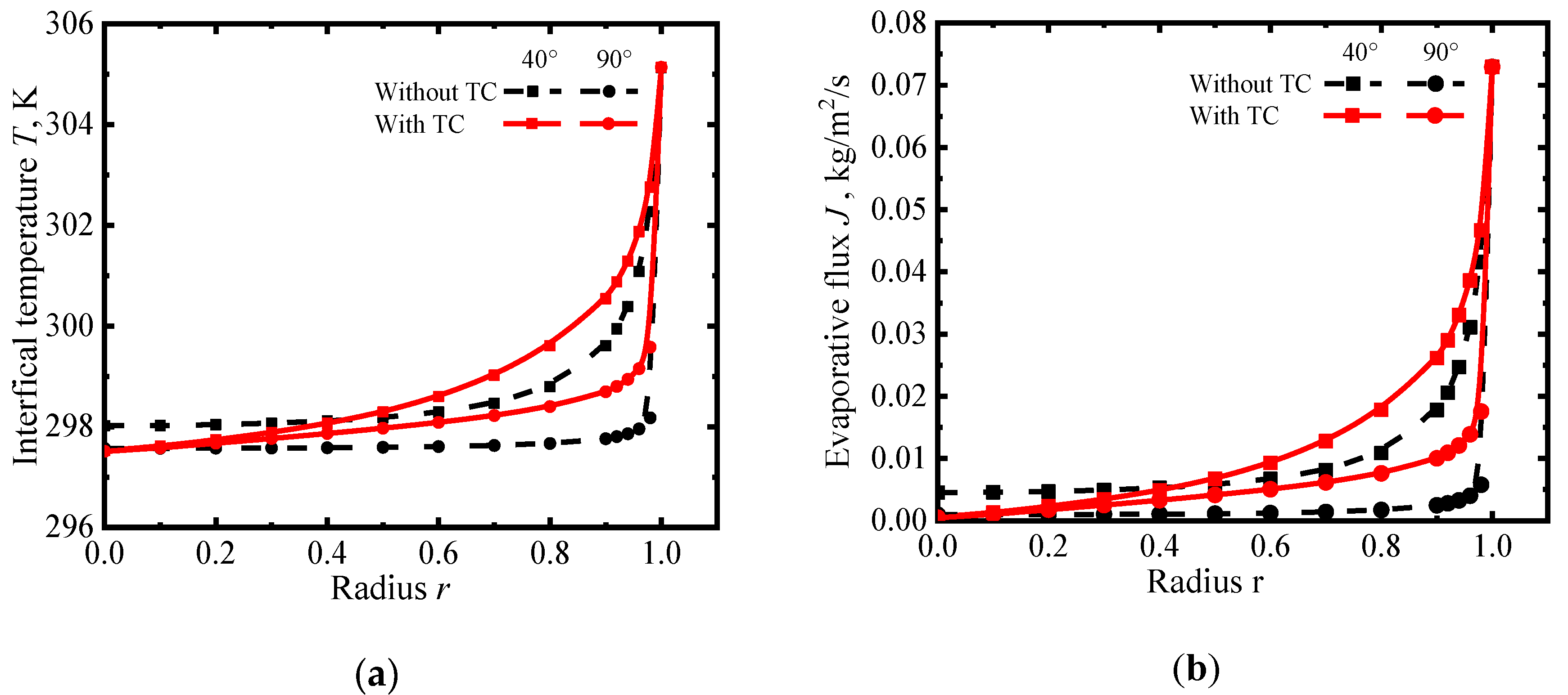
3.1. Model Validation
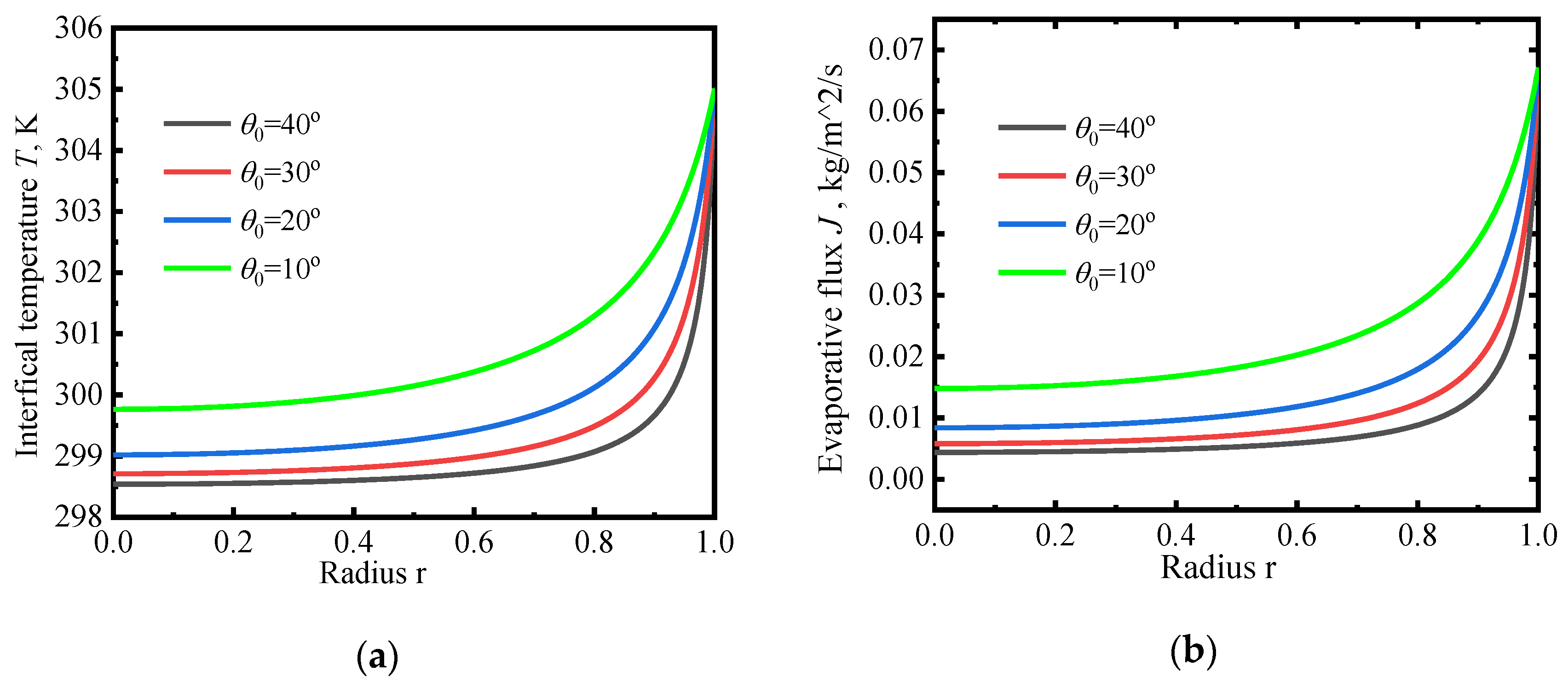
3.2. Theoretical Results
3.3. Numerical Results
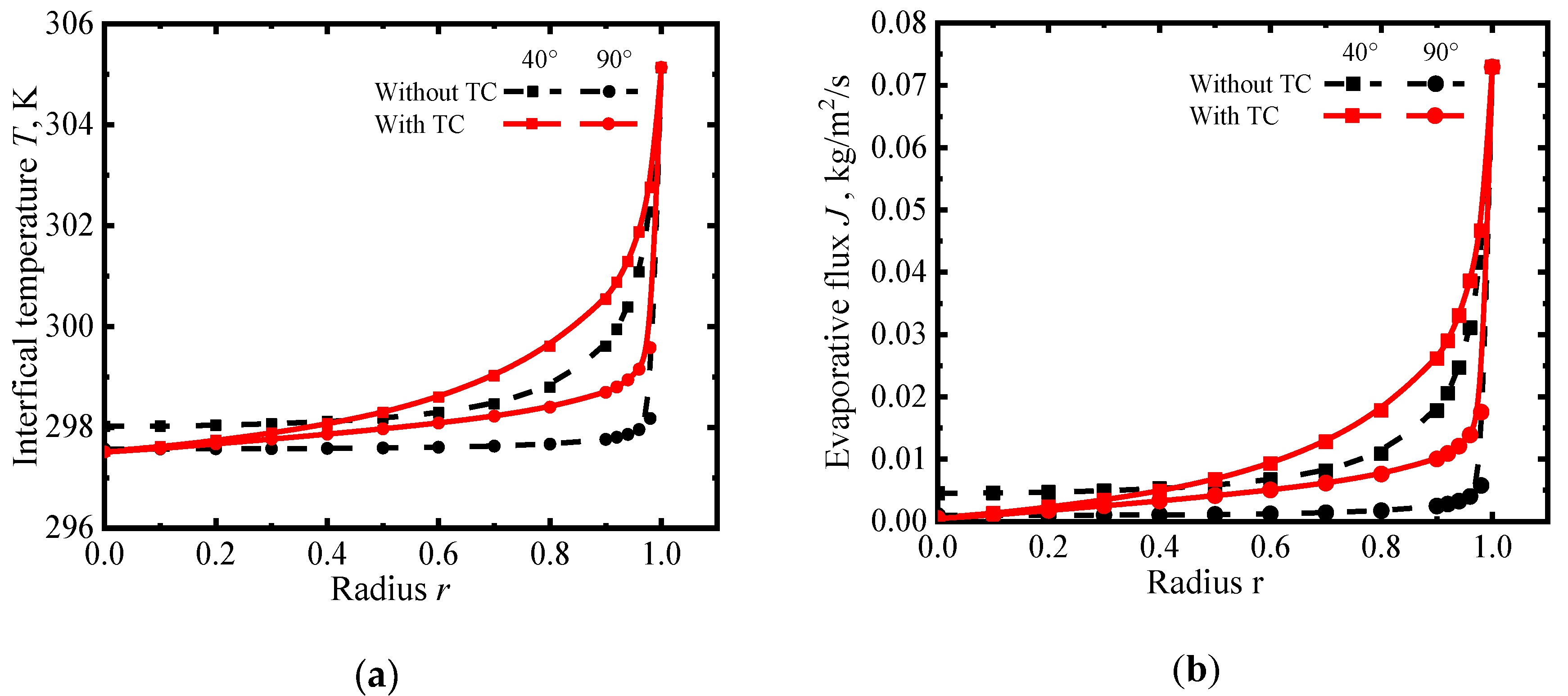
3.3.1. Temperature and Velocity Fields
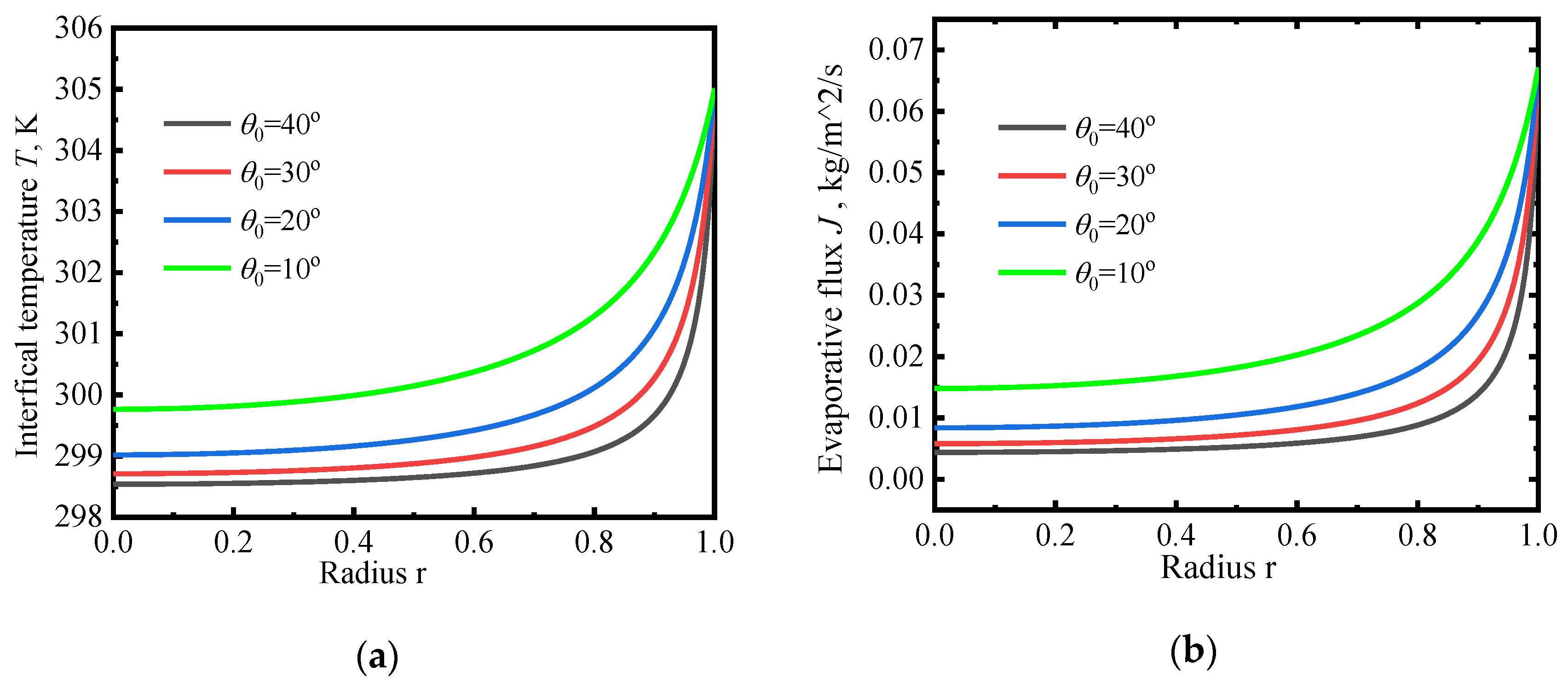
3.3.2. Evaporative Rate
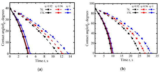
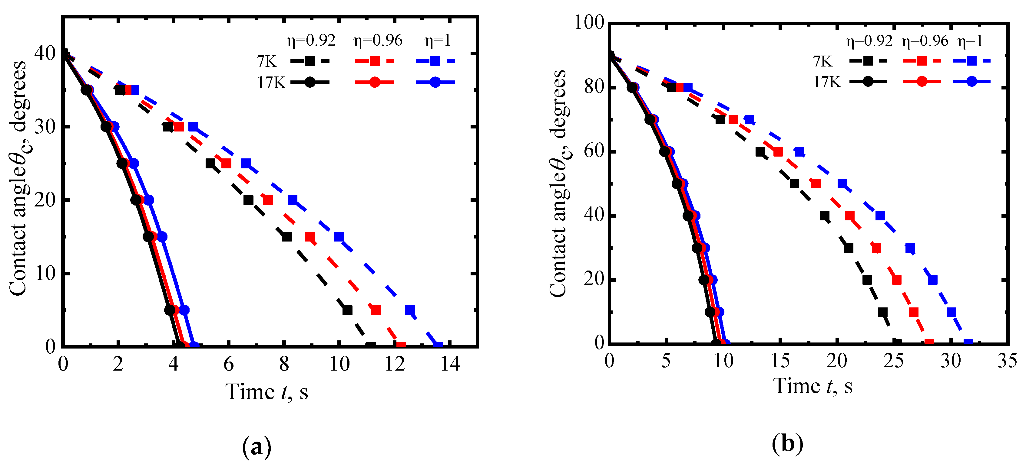
3.3.3. Lifetime of Droplet Evaporation
4. Conclusions
- There is a critical contact angle ; when the contact angle , the evaporation rate was inversely proportional to the contact angle; conversely, the evaporation rate was proportional to the angle.
- High substrate superheat or low-pressure ratio enhanced thermocapillary convection inside the droplet, resulting in an increased evaporation rate, and it shortened the evaporative lifetime in both the CCA and CCR modes.
- Substrate superheat affected the evaporation rate and evaporation lifetime more than ambient pressure ratio, especially when the superheat was low.
Author Contributions
Funding
Institutional Review Board Statement
Informed Consent Statement
Data Availability Statement
Conflicts of Interest
Nomenclature
| Vapor concentration | |
| Cp | Specific heat of the droplet |
| I | Identity tensor |
| J | Evaporation flux |
| Thermal conductivity | |
| L | Latent heat of evaporation |
| m | Overall evaporation rate |
| M | Molecular mass |
| Unit normal vector | |
| Pressure | |
| r, z | Cylindrical coordinates |
| R | Universal gas constant |
| Rc | Contact radius |
| Tangential vector | |
| Temperature | |
| Velocity | |
| Greek symbols | |
| Dynamic viscosity | |
| Contact angle | |
| Density | |
| Temperature coefficient of surface tension | |
| Integration dummy | |
| Stress tensor | |
| Subscript | |
| l | Liquid |
| sat | Saturation |
| s | Substrate |
| v | Vapor |
References
- Li, J.; Chen, L.; Jin, F.; Zhang, Y.; Wang, Q.; Xian, H.; Lin, J. Active regulation schemes to enhance the performance of thin film boiling using nanoporous membranes. Int. J. Heat Mass Transfer 2022, 182, 122013. [Google Scholar] [CrossRef]
- Venditti, G.; Murali, V.; Darhuber, A.A. Inkjet printing of surfactant solutions onto thin moving porous media. Colloid Surface A 2022, 634, 127832. [Google Scholar] [CrossRef]
- Barakat, E.; Jin, T.; Wang, H.; Hu, K.; Wang, G. Experimental and numerical study of fogging cooling performance through a cylindrical duct for a micro gas turbine. Appl. Therm. Eng. 2022, 207, 118115. [Google Scholar] [CrossRef]
- Kim, M.; Shin, D.H.; Lee, B.J.; Lee, J. Flow characterization of microscale effusion and transpiration air cooling on single blade. Case Stud. Therm. Eng. 2022, 31, 101863. [Google Scholar] [CrossRef]
- Lv, Y.; Chong, P.L.; Liu, S. The wettability of molten aluminum droplets on the 3C–SiC surface: Molecular dynamics study. Mater. Sci. Semicond. Proc. 2022, 142, 106452. [Google Scholar] [CrossRef]
- Jiang, Z.; Shu, J.; Ge, Z.; Jiang, Z.; Wang, M.; Ge, X. Preparation and performance of magnetic phase change microcapsules with organic-inorganic double shell. Sol. Energy Mater. Sol. Cells 2022, 240, 111716. [Google Scholar] [CrossRef]
- Li, J.; Lin, W.; Du, P.; Liu, W.; Liu, X.; Yang, C.; Jia, R.; Wang, Y.; Chen, Y.; Jia, L. Comparison of reverse-transcription qPCR and droplet digital PCR for the detection of SARS-CoV-2 in clinical specimens of hospitalized patients. Diagn Microbiol. Infect. Dis. 2022, 103, 115677. [Google Scholar] [CrossRef]
- Kang, F.; Shen, Y.; Cheng, Y.; Li, N. Lifetime Prediction of Sessile Droplet Evaporation with Coupled Fields. Ind. Eng. Chem. Res. 2021, 60, 15782–15792. [Google Scholar] [CrossRef]
- Shen, Y.; Cheng, Y.; Xu, J.; Zhang, K.; Sui, Y. Theoretical Analysis of a Sessile Evaporating Droplet on a Curved Substrate with an Interfacial Cooling Effect. Langmuir 2020, 36, 5618–5625. [Google Scholar] [CrossRef]
- Shen, Y.; Kang, F.; Cheng, Y.; Zhang, K.; Sui, Y. Numerical and theoretical analysis of fast evaporating sessile droplets with coupled fields. Int. J. Therm. Sci. 2022, 172, 107284. [Google Scholar] [CrossRef]
- Picknett, R.G.; Bexon, R. The evaporation of sessile or pendant drops in still air. J. Colloid Interface Sci. 1977, 61, 336–350. [Google Scholar] [CrossRef]
- Lu, Z.; Kinefuchi, I.; Wilke, K.L.; Vaartstra, G.; Wang, E.N. A unified relationship for evaporation kinetics at low Mach numbers. Nat. Commun. 2019, 10, 2368. [Google Scholar] [CrossRef] [PubMed] [Green Version]
- Wang, C.; Xu, R.; Song, Y.; Jiang, P. Study on water droplet flash evaporation in vacuum spray cooling. Int. J. Heat Mass Transfer 2017, 112, 279–288. [Google Scholar] [CrossRef]
- Sazhin, S.; Shishkova, I.; Al Qubeissi, M. A self-consistent kinetic model for droplet heating and evaporation. Int. J. Heat Mass Transfer 2016, 93, 1206–1217. [Google Scholar] [CrossRef] [Green Version]
- Davoodabadi, A.; Ghasemi, H. Evaporation in nano/molecular materials. Adv. Colloid Interface Sci. 2021, 290, 102385. [Google Scholar] [CrossRef]
- Hertz, H. Ueber die Verdunstung der Flüssigkeiten, insbesondere des Quecksilbers, im luftleeren Raume. Ann. Phys.-Berlin 1882, 253, 177–193. [Google Scholar] [CrossRef] [Green Version]
- Knudsen, M. Die maximale verdampfungsgeschwindigkeit des quecksilbers. Ann. Phys.-Berlin 1915, 352, 697–708. [Google Scholar] [CrossRef] [Green Version]
- Bond, M.; Struchtrup, H. Mean evaporation and condensation coefficients based on energy dependent condensation probability. Phys. Rev. E 2004, 70, 061605. [Google Scholar] [CrossRef] [Green Version]
- Kryukov, A.; Levashov, V.Y.; Sazhin, S. Evaporation of diesel fuel droplets: Kinetic versus hydrodynamic models. Int. J. Heat Mass Transfer 2004, 47, 2541–2549. [Google Scholar] [CrossRef]
- Pati, S.; Chakraborty, S.; Som, S. Influence of ambient vapor concentration on droplet evaporation in a perspective of comparison between diffusion controlled model and kinetic model. Int. J. Heat Mass Transfer 2011, 54, 4580–4584. [Google Scholar] [CrossRef]
- Zhang, Y.; Li, Y.-R.; Yu, J.-J.; Liu, Q.-S. Three-dimensional numerical simulation on marangoni convection in a sessile water droplet evaporating in its vapor at low pressure. Microgravity Sci. Technol. 2019, 31, 231–240. [Google Scholar] [CrossRef] [Green Version]
- Liu, L.; Xu, C.; Zhao, L.; Mi, M.; Li, C. Experimental and theoretical study of evaporation of a volatile liquid lens on an immiscible liquid surface. Langmuir 2019, 35, 12979–12985. [Google Scholar] [CrossRef] [PubMed]
- Hu, H.; Larson, R.G. Analysis of the microfluid flow in an evaporating sessile droplet. Langmuir 2005, 21, 3963–3971. [Google Scholar] [CrossRef] [PubMed]
- Hu, D.H.; Wu, H.Y. Numerical study and predictions of evolution behaviors of evaporating pinned droplets based on a comprehensive model. Int. J. Therm. Sci. 2015, 96, 149–159. [Google Scholar] [CrossRef]













| Grid Quantity | Evaporative Rate (kg/s) | Deviation (%) |
|---|---|---|
| 5706 | 7.15 × 10−8 | |
| 9796 | 7.05 × 10−8 | 1.3529 |
| 14,570 | 6.97 × 10−8 | 1.2196 |
| 28,293 | 6.95 × 10−8 | 0.2214 |
| 56,924 | 6.94 × 10−8 | 0.0993 |
Publisher’s Note: MDPI stays neutral with regard to jurisdictional claims in published maps and institutional affiliations. |
© 2022 by the authors. Licensee MDPI, Basel, Switzerland. This article is an open access article distributed under the terms and conditions of the Creative Commons Attribution (CC BY) license (https://creativecommons.org/licenses/by/4.0/).
Share and Cite
Shen, Y.; Kang, F.; Cheng, Y.; Liu, P.; Wang, X.; Zhang, K. Numerical and Theoretical Analysis of Sessile Droplet Evaporation in a Pure Vapor Environment. Symmetry 2022, 14, 886. https://doi.org/10.3390/sym14050886
Shen Y, Kang F, Cheng Y, Liu P, Wang X, Zhang K. Numerical and Theoretical Analysis of Sessile Droplet Evaporation in a Pure Vapor Environment. Symmetry. 2022; 14(5):886. https://doi.org/10.3390/sym14050886
Chicago/Turabian StyleShen, Yang, Feng Kang, Yongpan Cheng, Pengxiang Liu, Xiao Wang, and Kai Zhang. 2022. "Numerical and Theoretical Analysis of Sessile Droplet Evaporation in a Pure Vapor Environment" Symmetry 14, no. 5: 886. https://doi.org/10.3390/sym14050886
APA StyleShen, Y., Kang, F., Cheng, Y., Liu, P., Wang, X., & Zhang, K. (2022). Numerical and Theoretical Analysis of Sessile Droplet Evaporation in a Pure Vapor Environment. Symmetry, 14(5), 886. https://doi.org/10.3390/sym14050886

