Evaluation of the Dynamic Impact of a Passing Vehicle on a Bridge Deck Due to a Damaged Expansion Joint
Abstract
:1. Introduction
2. Model-Based Impact Identification
- (1)
- Set up an initial point and two initial conjugate vectors , , which are selected as unit vectors in this study.
- (2)
- Search for the point to obtain the minimum value of along the first conjugate direction , then search for the point to obtain the minimum value of along the second conjugate direction .
- (3)
- Search for the next iteration point to obtain the minimum value of along the direction .
- (4)
- Set the two new conjugate vectors as: , .
- (5)
- Repeat Steps (2)–(4).
3. Numerical Simulation
3.1. Comparison of Results Using Acceleration and Displacement
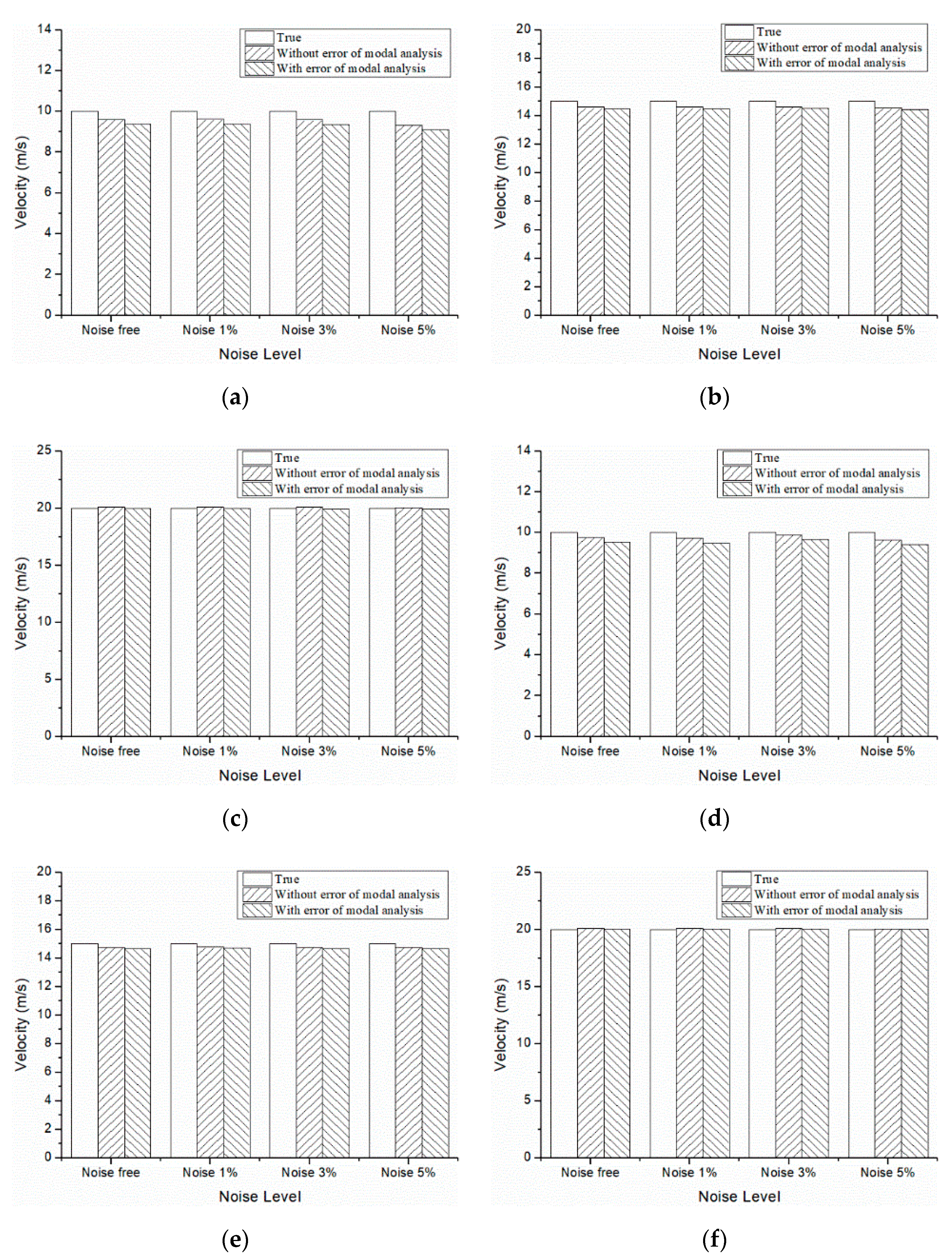
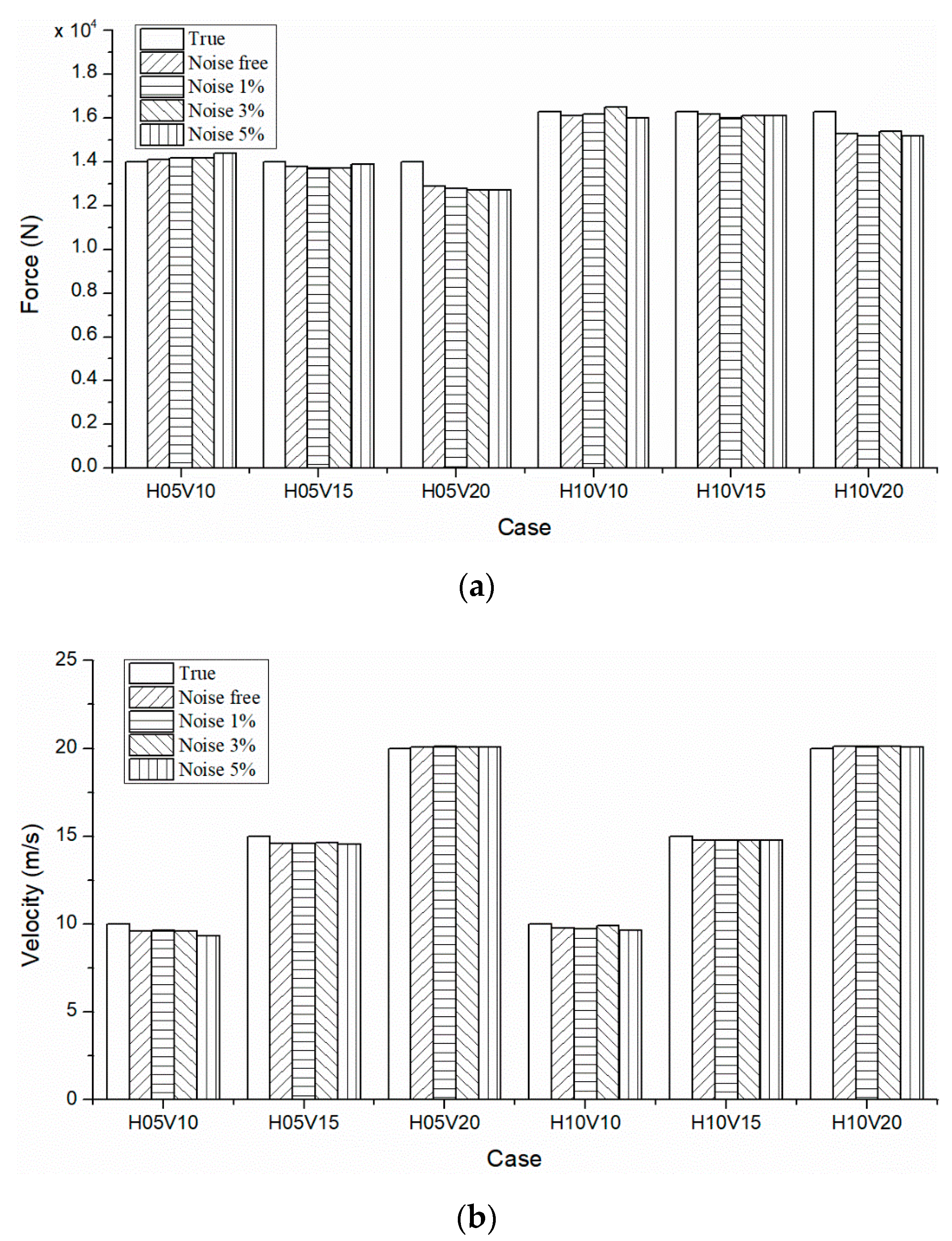
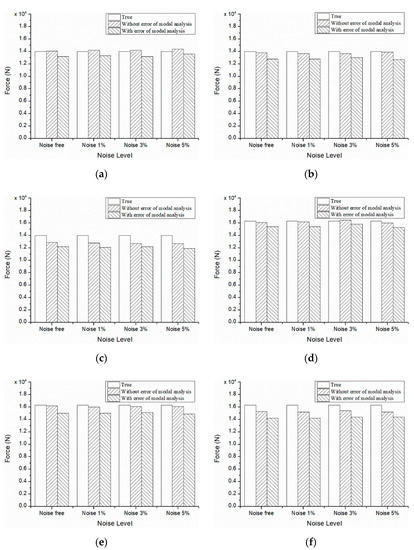
3.2. Effect of Measurement Noise
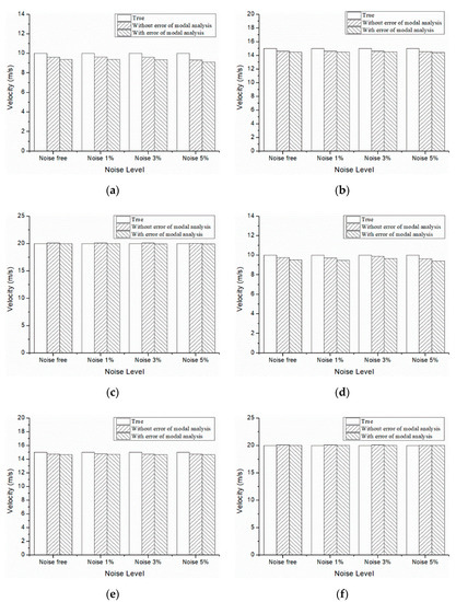
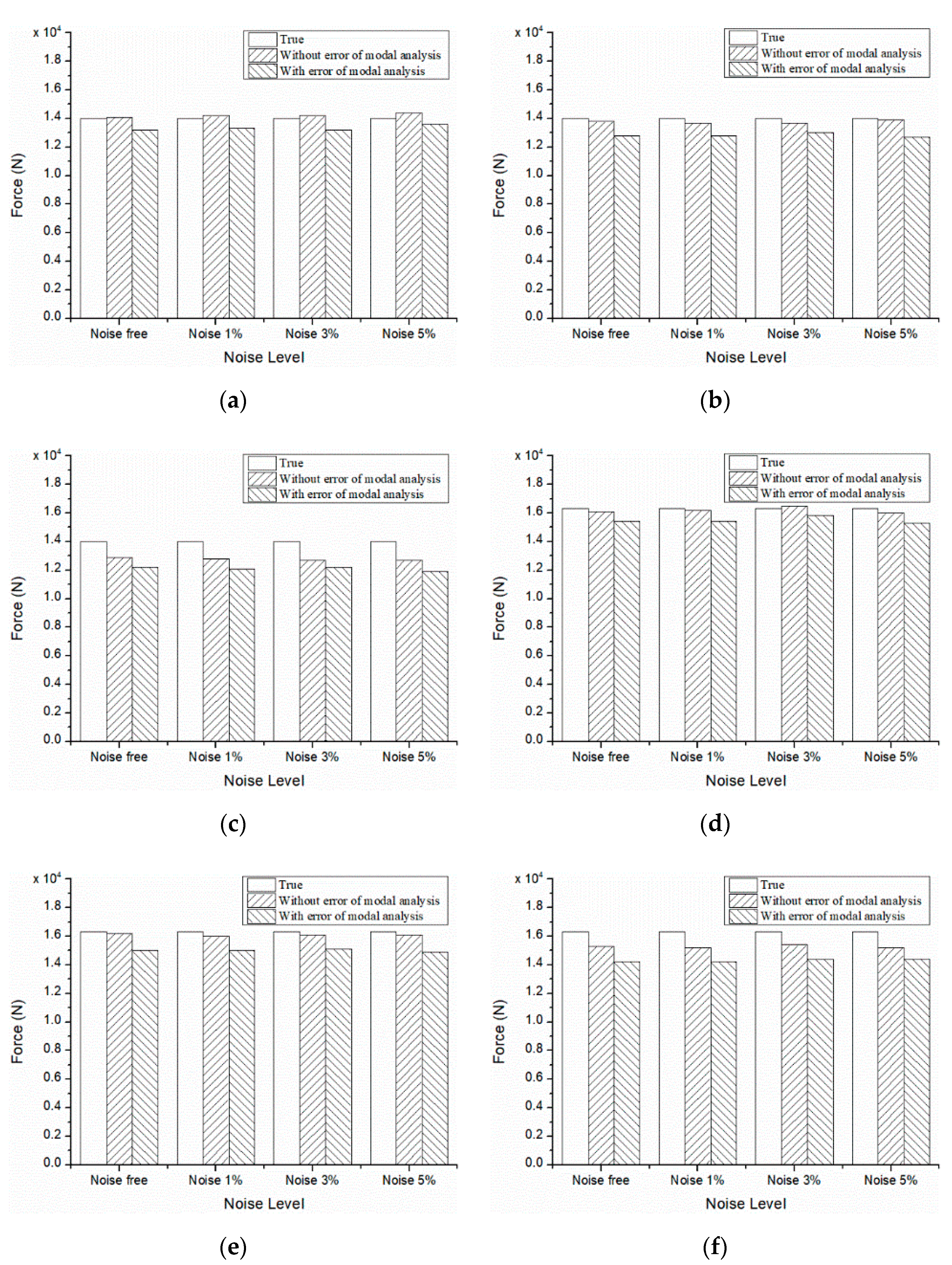
3.3. Effect of Errors of Modal Analysis
4. Conclusions
- (1)
- The proposed method can identify the dynamic impact accurately when the displacement of the bridge midspan is obtained by integrating the acceleration twice, even if it has inevitable numerical errors.
- (2)
- When the noise level is in the range of 1% to 5%, the proposed method can still perform well, although the identification results are slightly less accurate with the increase in measurement noise level.
- (3)
- The error of modal analysis greatly affects the proposed method, especially for identification of maximum force, and therefore, the mode shapes of the bridge should be measured accurately to ensure the performance of the proposed method.
Author Contributions
Funding
Institutional Review Board Statement
Informed Consent Statement
Data Availability Statement
Acknowledgments
Conflicts of Interest
References
- AASHTO. LRFD Bridge Design Specifications; AASHTO: Washington, DC, USA, 2010. [Google Scholar]
- Deng, L.; Yu, Y.; Zou, Q.; Cai, C.S. State-of-the-Art Review of Dynamic Impact Factors of Highway Bridges. J. Bridg. Eng. 2015, 20, 04014080. [Google Scholar] [CrossRef]
- Yang, Y.; Zhang, Y.; Tan, X. Review on Vibration-Based Structural Health Monitoring Techniques and Technical Codes. Symmetry 2021, 13, 1998. [Google Scholar] [CrossRef]
- Cai, C.; Shi, X.; Araujo, M.; Chen, S. Effect of approach span condition on vehicle-induced dynamic response of slab-on-girder road bridges. Eng. Struct. 2007, 29, 3210–3226. [Google Scholar] [CrossRef]
- Shi, X.; Cai, C.S.; Chen, S. Vehicle Induced Dynamic Behavior of Short-Span Slab Bridges Considering Effect of Approach Slab Condition. J. Bridg. Eng. 2008, 13, 83–92. [Google Scholar] [CrossRef]
- Deng, L.; Yan, W.; Zhu, Q. Vehicle Impact on the Deck Slab of Concrete Box-Girder Bridges due to Damaged Expansion Joints. J. Bridg. Eng. 2015, 21, 06015006. [Google Scholar] [CrossRef]
- Ding, Y.; Zhuge, P.; Xie, X.; Li, H.; Huang, J.Y. Numerical analysis of dynamic load in bridge-head bumping considering the contact length between tire and road. J. Vib. Shock 2013, 32, 28–34. [Google Scholar] [CrossRef]
- Ding, Y.; Zhang, W.; Au, F.T.K. Effect of dynamic impact at modular bridge expansion joints on bridge design. Eng. Struct. 2016, 127, 645–662. [Google Scholar] [CrossRef]
- Xie, X.; Wu, D.Y.; Wang, J.F.; Zhang, S.Q.; Zhou, Y.J. Dynamical behavior of steel box girder bridges due to vehicle-induced vibration at expansion joint. J. Zhejiang Univ. (Eng. Sci.) 2009, 10, 029. [Google Scholar] [CrossRef]
- Do, T.V.; Pham, T.M.; Hao, H. Impact force profile and failure classification of reinforced concrete bridge columns against vehicle impact. Eng. Struct. 2019, 183, 443–458. [Google Scholar] [CrossRef]
- Ma, H.; Cao, Z.; Shi, X.; Zhou, J. Dynamic Amplification Factor of Shear Force on Bridge Columns under Impact Load. Shock Vib. 2019, 2019, 1–14. [Google Scholar] [CrossRef]
- Wu, M.; Jin, L.; Du, X. Dynamic response analysis of bridge precast segment piers under vehicle collision. Eng. Fail. Anal. 2021, 124, 105363. [Google Scholar] [CrossRef]
- Zhu, X.Q.; Law, S.S. Orthogonal function in moving loads identification on a multi-span bridge. J. Sound Vib. 2001, 245, 329–345. [Google Scholar] [CrossRef]
- Wu, S.; Law, S. Vehicle axle load identification on bridge deck with irregular road surface profile. Eng. Struct. 2011, 33, 591–601. [Google Scholar] [CrossRef]
- Law, S.S.; Chan, T.H.T.; Zhu, Q.X.; Zeng, Q.H.; Zhu, X. Regularization in Moving Force Identification. J. Eng. Mech. 2001, 127, 136–148. [Google Scholar] [CrossRef]
- Au, F.; Jiang, R.; Cheung, Y. Parameter identification of vehicles moving on continuous bridges. J. Sound Vib. 2004, 269, 91–111. [Google Scholar] [CrossRef]
- Deng, L.; Cai, C.S. Identification of parameters of vehicles moving on bridges. Eng. Struct. 2009, 31, 2474–2485. [Google Scholar] [CrossRef]
- Vosoughi, A.R.; Anjabin, N. Dynamic moving load identification of laminated composite beams using a hybrid FE-TMDQ-GAs method. Inverse Probl. Sci. Eng. 2017, 25, 1639–1652. [Google Scholar] [CrossRef]
- Gunawan, F.E. Impact force reconstruction using the regularized Wiener filter method. Inverse Probl. Sci. Eng. 2016, 24, 1107–1132. [Google Scholar] [CrossRef]
- Li, Q.; Lu, Q. Impact localization and identification under a constrained optimization scheme. J. Sound Vib. 2016, 366, 133–148. [Google Scholar] [CrossRef]
- Gupta, D.K.; Dhingra, A.K. A reduced modal parameter based algorithm to estimate excitation forces from optimally placed accelerometers. Inverse Probl. Sci. Eng. 2017, 25, 397–417. [Google Scholar] [CrossRef]
- Liu, Y.; Shepard, W.S. An improved method for the reconstruction of a distributed force acting on a vibrating structure. J. Sound Vib. 2006, 291, 369–387. [Google Scholar] [CrossRef]
- Gunawan, F.E.; Homma, H. A solution of the ill-posed impact-force inverse problems by the weighted least squares method. J. Solid Mech. Mater. Eng. 2008, 2, 188–198. [Google Scholar] [CrossRef] [Green Version]
- Gunawan, F.E.; Homma, H. Impact-force estimation by quadratic spline approximation. J. Solid Mech. Mater. Eng. 2008, 2, 1092–1103. [Google Scholar] [CrossRef]
- Gunawan, F.E.; Homma, H.; Kanto, Y. Two-step B-splines regularization method for solving an ill-posed problem of impact-force reconstruction. J. Sound Vib. 2006, 297, 200–214. [Google Scholar] [CrossRef]
- Qiao, B.; Zhang, X.; Luo, X.; Chen, X. A force identification method using cubic B-spline scaling functions. J. Sound Vib. 2015, 337, 28–44. [Google Scholar] [CrossRef]
- Li, Z.; Feng, Z.; Chu, F. A load identification method based on wavelet multi-resolution analysis. J. Sound Vib. 2014, 333, 381–391. [Google Scholar] [CrossRef]
- Xu, X.; Ou, J. Force identification of dynamic systems using virtual work principle. J. Sound Vib. 2015, 337, 71–94. [Google Scholar] [CrossRef]
- Pourzeynali, S.; Zhu, X.; Zadeh, A.G.; Rashidi, M.; Samali, B. Comprehensive Study of Moving Load Identification on Bridge Structures Using the Explicit Form of Newmark-β Method: Numerical and Experimental Studies. Remote Sens. 2021, 13, 2291. [Google Scholar] [CrossRef]
- Wang, H.; Nagayama, T.; Su, D. Static and dynamic vehicle load identification with lane detection from measured bridge acceleration and inclination responses. Struct. Control Health Monit. 2021, 28, e2823. [Google Scholar] [CrossRef]
- Zhang, Y.; Xie, J.; Peng, J.; Li, H.; Huang, Y. A deep neural network-based vehicle re-identification method for bridge load monitoring. Adv. Struct. Eng. 2021, 24, 3691–3706. [Google Scholar] [CrossRef]
- Xia, Y.; Lei, X.; Wang, P.; Sun, L. Artificial Intelligence Based Structural Assessment for Regional Short- and Medium-Span Concrete Beam Bridges with Inspection Information. Remote Sens. 2021, 13, 3687. [Google Scholar] [CrossRef]
- Yang, Y.; Cheng, Q.; Zhu, Y.; Wang, L.; Jin, R. Feasibility Study of Tractor-Test Vehicle Technique for Practical Structural Condition Assessment of Beam-Like Bridge Deck. Remote Sens. 2020, 12, 114. [Google Scholar] [CrossRef] [Green Version]
- Yang, Y.; Lu, H.; Tan, X.; Chai, H.K.; Wang, R.; Zhang, Y. Fundamental mode shape estimation and element stiffness evaluation of girder bridges by using passing tractor-trailers. Mech. Syst. Signal Process. 2021, 169, 108746. [Google Scholar] [CrossRef]
- Andrei, N. Standard conjugate gradient methods, Nonlinear conjugate gradient methods for unconstrained optimization. In Springer Optimization and Its Application; Springer: Berlin/Heidelberg, Germany, 2020; pp. 125–160. [Google Scholar] [CrossRef]










| Case | Noise Level | G (N) × 104 | A (N) × 104 | ω (Hz) | ξ % | v (m/s) | Identified Maximum Force (N) × 104 | True Maximum Force (N) × 104 |
|---|---|---|---|---|---|---|---|---|
| H05V10 | Noise Free | 1.22 | 0.21 | 3.22 | 1.57 | 9.61 | 1.41 | 1.40 |
| Noise 1% | 1.22 | 0.22 | 3.22 | 1.58 | 9.62 | 1.42 | 1.40 | |
| Noise 3% | 1.21 | 0.23 | 3.22 | 1.52 | 9.59 | 1.42 | 1.40 | |
| Noise 5% | 1.24 | 0.22 | 3.22 | 1.67 | 9.33 | 1.44 | 1.40 | |
| H05V15 | Noise Free | 1.19 | 0.20 | 3.23 | 1.42 | 14.59 | 1.38 | 1.40 |
| Noise 1% | 1.19 | 0.19 | 3.23 | 1.41 | 14.59 | 1.37 | 1.40 | |
| Noise 3% | 1.19 | 0.19 | 3.23 | 1.45 | 14.61 | 1.37 | 1.40 | |
| Noise 5% | 1.18 | 0.22 | 3.23 | 1.39 | 14.55 | 1.39 | 1.40 | |
| H05V20 | Noise Free | 1.12 | 0.18 | 3.23 | 0.47 | 20.08 | 1.29 | 1.40 |
| Noise 1% | 1.12 | 0.17 | 3.23 | 0.46 | 20.09 | 1.28 | 1.40 | |
| Noise 3% | 1.12 | 0.16 | 3.23 | 0.42 | 20.08 | 1.27 | 1.40 | |
| Noise 5% | 1.11 | 0.17 | 3.23 | 0.50 | 20.06 | 1.27 | 1.40 | |
| H10V10 | Noise Free | 1.19 | 0.43 | 3.23 | 2.63 | 9.77 | 1.61 | 1.63 |
| Noise 1% | 1.19 | 0.44 | 3.23 | 2.64 | 9.72 | 1.62 | 1.63 | |
| Noise 3% | 1.21 | 0.45 | 3.23 | 2.65 | 9.88 | 1.65 | 1.63 | |
| Noise 5% | 1.17 | 0.45 | 3.23 | 2.64 | 9.63 | 1.60 | 1.63 | |
| H10V15 | Noise Free | 1.17 | 0.45 | 3.24 | 2.82 | 14.75 | 1.62 | 1.63 |
| Noise 1% | 1.17 | 0.43 | 3.25 | 2.81 | 14.77 | 1.60 | 1.63 | |
| Noise 3% | 1.17 | 0.45 | 3.25 | 2.90 | 14.76 | 1.61 | 1.63 | |
| Noise 5% | 1.17 | 0.44 | 3.25 | 2.80 | 14.76 | 1.61 | 1.63 | |
| H10V20 | Noise Free | 1.12 | 0.42 | 3.25 | 2.49 | 20.09 | 1.53 | 1.63 |
| Noise 1% | 1.12 | 0.41 | 3.25 | 2.50 | 20.09 | 1.52 | 1.63 | |
| Noise 3% | 1.13 | 0.42 | 3.25 | 2.51 | 20.09 | 1.54 | 1.63 | |
| Noise 5% | 1.12 | 0.41 | 3.25 | 2.54 | 20.05 | 1.52 | 1.63 |
| Case | Noise Level | G (N) × 104 | A (N) × 104 | ω (Hz) | ξ % | v (m/s) | Identified Maximum Force (N) × 104 | True Maximum Force (N) × 104 |
|---|---|---|---|---|---|---|---|---|
| H05V10 | Noise Free | 1.18 | 0.15 | 3.19 | 1.23 | 9.37 | 1.32 | 1.40 |
| Noise 1% | 1.19 | 0.15 | 3.19 | 1.21 | 9.39 | 1.33 | 1.40 | |
| Noise 3% | 1.18 | 0.14 | 3.19 | 1.22 | 9.35 | 1.32 | 1.40 | |
| Noise 5% | 1.21 | 0.15 | 3.19 | 1.22 | 9.10 | 1.36 | 1.40 | |
| H05V15 | Noise Free | 1.14 | 0.14 | 3.21 | 0.87 | 14.48 | 1.28 | 1.40 |
| Noise 1% | 1.14 | 0.14 | 3.21 | 0.87 | 14.48 | 1.28 | 1.40 | |
| Noise 3% | 1.14 | 0.16 | 3.21 | 0.86 | 14.51 | 1.30 | 1.40 | |
| Noise 5% | 1.13 | 0.14 | 3.21 | 0.85 | 14.44 | 1.27 | 1.40 | |
| H05V20 | Noise Free | 1.07 | 0.15 | 3.23 | 0.18 | 19.97 | 1.22 | 1.40 |
| Noise 1% | 1.07 | 0.14 | 3.23 | 0.18 | 19.96 | 1.21 | 1.40 | |
| Noise 3% | 1.07 | 0.14 | 3.23 | 0.17 | 19.95 | 1.22 | 1.40 | |
| Noise 5% | 1.06 | 0.13 | 3.23 | 0.18 | 19.94 | 1.19 | 1.40 | |
| H10V10 | Noise Free | 1.16 | 0.38 | 3.22 | 2.12 | 9.55 | 1.54 | 1.63 |
| Noise 1% | 1.16 | 0.39 | 3.23 | 2.13 | 9.49 | 1.54 | 1.63 | |
| Noise 3% | 1.18 | 0.41 | 3.22 | 2.13 | 9.66 | 1.58 | 1.63 | |
| Noise 5% | 1.13 | 0.40 | 3.22 | 2.14 | 9.40 | 1.53 | 1.63 | |
| H10V15 | Noise Free | 1.12 | 0.38 | 3.24 | 2.31 | 14.66 | 1.50 | 1.63 |
| Noise 1% | 1.12 | 0.38 | 3.24 | 2.30 | 14.69 | 1.50 | 1.63 | |
| Noise 3% | 1.12 | 0.39 | 3.24 | 2.39 | 14.67 | 1.51 | 1.63 | |
| Noise 5% | 1.12 | 0.37 | 3.24 | 2.30 | 14.67 | 1.49 | 1.63 | |
| H10V20 | Noise Free | 1.07 | 0.36 | 3.24 | 1.91 | 20.05 | 1.42 | 1.63 |
| Noise 1% | 1.07 | 0.35 | 3.24 | 1.92 | 20.05 | 1.42 | 1.63 | |
| Noise 3% | 1.08 | 0.37 | 3.24 | 1.92 | 20.05 | 1.44 | 1.63 | |
| Noise 5% | 1.07 | 0.37 | 3.24 | 1.97 | 20.01 | 1.44 | 1.63 |
Publisher’s Note: MDPI stays neutral with regard to jurisdictional claims in published maps and institutional affiliations. |
© 2022 by the authors. Licensee MDPI, Basel, Switzerland. This article is an open access article distributed under the terms and conditions of the Creative Commons Attribution (CC BY) license (https://creativecommons.org/licenses/by/4.0/).
Share and Cite
Gao, J.; Zhang, X.; Lei, J. Evaluation of the Dynamic Impact of a Passing Vehicle on a Bridge Deck Due to a Damaged Expansion Joint. Symmetry 2022, 14, 813. https://doi.org/10.3390/sym14040813
Gao J, Zhang X, Lei J. Evaluation of the Dynamic Impact of a Passing Vehicle on a Bridge Deck Due to a Damaged Expansion Joint. Symmetry. 2022; 14(4):813. https://doi.org/10.3390/sym14040813
Chicago/Turabian StyleGao, Jing, Xintao Zhang, and Jiayan Lei. 2022. "Evaluation of the Dynamic Impact of a Passing Vehicle on a Bridge Deck Due to a Damaged Expansion Joint" Symmetry 14, no. 4: 813. https://doi.org/10.3390/sym14040813
APA StyleGao, J., Zhang, X., & Lei, J. (2022). Evaluation of the Dynamic Impact of a Passing Vehicle on a Bridge Deck Due to a Damaged Expansion Joint. Symmetry, 14(4), 813. https://doi.org/10.3390/sym14040813
