Abstract
Non-Newtonian nanofluids flow due to the augmented thermal performances of nanoparticles, and their importance in various sectors plays a vital role in medicine, cosmetics, manufacturing, and engineering processes. In this regard, the present theoretical investigation explores the magneto-flow of Casson hybrid nanofluid through a continuous moving/fixed surface with significant suction. The nature of spherical copper and alumina dispersed in water was assessed as the conventional heat transfer in Casson fluid with impacts of viscous dissipation and Ohmic heating. Two states are addressed regarding symmetry, one corresponding to a surface moving in parallel with a free stream and the other a surface moving in the opposite direction to the free stream. In the momentum equation, the Casson model with magnetic field effect is exploited. The governing equations are transformed into the necessary equations using transformations invoking symmetric property of the independent variables. The numerical outputs of the nonlinear governing equations are collected using an efficient improved shooting method with fast convergence and low computational cost. Graphical demonstrations of the influence of relevant parameters on symmetrical behavior for velocity, skin friction, Nusselt number, and temperature are shown.
1. Introduction
Nanofluids are turned out by immersing minute particles in the base fluid; hence, depletion is noted in the thermal resistance, which causes enhancement in the heat transfer features. Heat transfer is a prime activity in physics and engineering. Lately, nanofluid has gained more attention because of a wide range of utilities in industries due to heat transfer improvement. Coolants, lubricants, and heat exchangers are some examples of nanofluids in industries. Nanofluids are not limited to industrial applications only, but are promoted in engineering and modern technological developments [1,2,3]. Choi [4] was the first who coined this idea. His experiment proved excellent augmentation in the thermal conductivity due to nanofluids. In order to achieve how thermal conductivity is promoted, he supplied several experimental and numerical investigations. Khanafer et al. [5] have explored the action of nanomaterials on convective, finding that driving nanomaterials considered a quick thermal conductivity. Sun et al. [6] analyzed the impact of nanomaterial volume and investigated whether promoting nanoparticle volume enhances heat capacity.
Hybrid nanofluids are a relatively new type of nanofluid, and their industrial applications are still in the early stages of research and development. It is anticipated that hybrid nanofluids will be utilized for analogous applications with developed performance. However, hybrid nanofluids application-oriented investigation ion is limited to a few applications. It is observed that the effective density, heat capacity, and viscosity of hybridized nanofluid will be analogous to those of mono nanofluid. Meanwhile, the thermal conductivity of a hybrid nanofluid may be significantly greater than that of a mono fluid due to the synergistic impact. Lately, considerable studies on several hybrid nanofluid applications have been performed. Generator cooling, electronic cooling, thermal storage, welding, lubrication, transformer cooling, biomedical, drug reduction, heat pipe, cooling and heating in buildings, refrigeration, and solar heating are just a few instances of application areas. Among the many kinds of nanofluids, magnetic nanofluids can enhance heat transport performance through the influence of a magnetic field and have been examined for various applications. Generally, magnetic nanofluids can improve the efficiency of heat exchange devices, such as as thermal siphons, heat pipes, and heat exchangers, by employing an external magnetic field. Devi and Devi [7] studied the magneto-hybridized nanofluid flow past a stretchable sheet with suction. The problem of hybrid nanoliquid flow over a stretching cylinder is addressed by Maskeen et al. [8]. EL-Zahar et al. [9] addressed the magneto-combined convective flow of hybrid nanofluid past a radiative circular cylinder. Mabood et al. [10] examined the behavior of magneto-stagnancy flow of hybrid nanoliquid. Tlili et al. [11] outlined the magneto-hybridized nanoliquid flow beyond an irregular surface. Taghreed et al. [12] reported the effectiveness of chemical reactions on the hybridized nanofluid flow along a radiative cylinder with Joule heating.
Lately, various researchers have analyzed the non-Newtonian fluid’s attitude. Most non-Newtonian fluids are applied in the industry, such as paper manufacture, petroleum crude oil production, foodstuff processing, and fiber coating. These types of liquids explain shear thinning characteristics, yielding a great shear stress rate and weak viscosity. With the intention of the investigation, the features of the non-Newtonian fluid, Casson [13] has constructed mathematical modeling to cater to elastic fluid based on shear stress, called Casson fluid model. A few examples of Casson fluids are liquid cosmetics, syrup, honey, blood, etc. Since then, several researchers have worked on this fluid. As the non-Newtonian base fluid contains nanoparticles, the behavior of fluid is commonly transferred to a non-Newtonian nanofluid. Still, this is reliant on various factors, such as the amount of particles added in the regular fluid, shape, size, and interface of particles. The contribution of fluid models depends on non-Newtonian fluids, which are also good in crucial aspects of fluidity and thermal transport. With such confidence, the present work has been engaged with Casson fluid, a special type of those fluids. Shear-weakening ability of these types of fluids unwraps additional feasible applicability, such as in active fluid in rotational drilling processes and synthetic lubricants. Triggered by these practicalities, investigators studied the non-Newtonian liquid types under several thermophysical environments to distinguish its thermal performance. Ahmad and Nadeem [14] analyzed the Casson hybrid nanoliquid flow through a lubricated surface with entropy generation. Kumar et al. [15] reported the Casson hybrid nanoliquid flow on a moving disk in a porous medium. EL-Zahar et al. [16] scrutinized the unsteady magneto-Casson hybrid nanofluid flow in the stagnation region of a rotating sphere. Chalavadi et al. [17] investigated the behavior of Casson-hybridized nanoliquid flow past an incessantly poignant needle. Krishna et al. [18] deliberated the magneto-Casson hybridized nanoliquid flow through a moving surface. Madhukesh et al. [19] addressed the Casson hybrid nanoliquid motion past a Riga surface with thermophoretic particle deposition effect.
However, the present communication focuses on the magneto-hybridized Casson nanofluid flow past a moving/fixed surface with a huge suction influence. The influence of copper and alumina with water base fluid is executed in this analysis with viscous dissipation and Ohmic heating effects. The dimensionless equations governing the problem are numerically solved by utilizing an efficient improved shooting method with fast convergence and low computational cost. The particular flow curves are explored versus several involved parameters. This numerical research is pertinent to the biomedicine, polymers, heat exchangers, geophysical, and astrophysical problems.
2. Modeling
The rheological model of state for an isotropic flow of a Casson hybrid nanofluid can be written as (see [16]):
where is the stress tensor and is the plastic dynamic viscosity of the non-Newtonian fluid. , and is the component of the deformation rate. is the product of the component of deformation rate with itself. is a critical value of this product based on the non-Newtonian model, and is the yield stress of the slurry fluid. However, consider the magneto-flow of Casson hybrid nanofluid over a horizontal surface, moving with uniform velocity Uw parallel to the uniform free-stream velocity U∞ with massive fluid suction, which is imposed at the surface. The flow model and physical co-ordinate system is exhibited in Figure 1. In this co-ordinate framework, the x-direction extends parallel to the surface, whilst the 𝑦-direction extends upwards perpendicular to the surface. A variable magnetic field strength B(x) is applied vertically to the flow. The temperature surface is deemed to have a constant Tw, whilst the ambient temperature has a constant T∞. The hybrid nanofluid used in this model is composed of uniquely manufactured alumina (Al2O3) alloy nanoparticles and copper (Cu) nanoparticles suspended in water (base fluid). The physiothermal properties of hybrid nanoparticles and base fluid are shown in Table 1. Simultaneous solutions are deployed for Casson hybrid nanoliquid, and both viscous dissipation and Joule heating effects with great suction are taken into consideration. Under the above assumptions, modeling of this study can be given as (see [2,9]):
and the appropriate boundary conditions are:
where u and v are the velocity components in the x and y directions, respectively. T and Vw are the nanofluid temperature and uniform transpiration velocity, and Uw and U∞ are the plate velocity and free stream velocity, respectively. ρhbnf, μhbnf, αhbnf, (ρCp)hbnf, khbnf, and σhbnf are, respectively, the effective density, dynamic viscosity, thermal diffusivity, heat capacitance, thermal conductivity, and electric conductivity of hybrid nanofluid. In the current research, the following thermophysical relations are applied in Table 1; see Devi and Devi [7] and Taghreed et al. [12]. Similarly, as elucidated by Tiwari and Das [2] and Taghreed et al. [12], Table 2 characterizes the physical parameters of the nanoparticles and the base fluid with water.
Figure 1.
Geometry of the problem.
Table 1.
Thermophysical relations of hybrid nanofluids, see [7,12].
Table 2.
Thermo-physical properties of copper and alumina [12,16].
Here, subscripts 1 and 2 refer to Cu and Al2O3, respectively. ϕ1 and ϕ2 are the solid volume fraction parameters. Μbf, ρbf, kbf, and σbf are, respectively, the dynamic viscosity, density, thermal conductivity, and electric conductivity of the base fluid. Introducing the following nondimensional variables:
where ψ is the stream function having the following property: ,. With the help of Equation (6), Equation of continuity (1) is automatically fulfilled, and Equations (1)–(4), take the form:
and are subject to the transformed boundary conditions:
where primes denote the differentiation with respect to η, stands for the suction parameter. indicates the velocity ratio parameter. indicates the magnetic field parameter. indicates the Eckert number, , stand for local Reynolds numbers, gives the Prantdl number, indicates the kinematic viscosity of base fluid, and αf indicates the thermal diffusivity. It is noted that the suction parameter fw= 0 (Vw = 0) indicates a nonporous surface, whilst fw < 0 (Vw > 0) indicates the injection case and fw > 0 (Vw < 0) indicates the suction case (current work). It is also fascinating to state that the velocity ratio parameter γ = 0 and 1 elucidate a fixed surface in a moving liquid and a moving surface in a quiescent liquid, respectively. The case 0 < γ < 1 elucidates the liquid and surface move in a similar direction. If γ > 1, the free stream is directed towards the negative x-trend, whilst the surface moves towards the positive x-direction. If γ < 0, the free stream is directed towards the positive x-direction, whilst the surface moves towards the negative x-direction. However, in this investigation, we examined only the case of γ ≤ 1, i.e., the direction of the free stream is fixed (towards the positive x-direction).
The fundamental quantities of physical fascination are local skin friction coefficient Cf and local Nusselt number Nux. They are described as follows:
Using the nondimensional variables of Equation (6), we obtain:
3. An Improved Shooting Method
For larger values of the suction parameter , the BVP Equations (7)–(9) become much stiffer, or the singularly perturbed boundary value problem (SPBVP) and the standard numerical methods fail to handle this situation unless we use special routines with adaptive or continuation techniques [20,21,22,23,24,25,26,27,28,29,30,31]. The advantage of the shooting method is that it takes advantage of the speed and additivity of methods for initial value problems. The disadvantage of the method is that it is not as robust as finite difference or finite element methods. However, finite difference or finite element methods are more complicated to implement and are used when approximate solutions with a low error threshold are to be found, otherwise the shooting method is a better option [32]. Moreover, the shooting method with adaptive integration techniques (ASM) can overcome these drawbacks [25,26,27,28,29,30,31,32,33]. In the shooting method, choosing a suitable initial condition may be difficult when the guesses are carried out in an indefinite range, especially for stiff or SPBVPs, where the method is very sensitive to the initial guess. These reasons hinder obtaining a fast convergent sequence of approximate solutions and increase the computational cost of the method. To ensure fast convergence and low computational cost, an improved shooting method with adaptive integration technique (IASM) is developed for solving the nonlinear SPBVP Equations (7)–(9). The method presents a good asymptotic approximation for the missing initial conditions to be used as a starting initial guess for the usual shooting technique with adaptive Runge–Kutta–Fehlberg integration method [30,31]. The results indicate that the proposed method is more efficient than the ASM, with a very fast convergence speed.
The SPBVP Equations (7)–(9) can be written as a singular perturbation initial value problem (SPIVP), given by:
where , , , , , and are the missing initial conditions to be determined. Afterwards, the parameters are selected in such a way that they satisfy:
where is the number of iterations and is a residual function defined by:
We begin the shooting method process with an initial selection of the parameter . If residual function is not sufficiently close to zero, we choose another elevation, i.e., , until the residual function is sufficiently close to zero at the iteration , i.e., , where is a user specified tolerance. In our algorithm, Newton’s method [31] is being used to solve the nonlinear algebraic system (14) to update the initial guesses and the adaptive step-size Runge–Kutta–Fehlberg integration method [30,31] is being used with Abstol 10−8 and Reltol 10−3 to solve the SPIVP using MATLAB R2017 and run on a PC with a 2.6 GHz Core I7, 8 GB RAM, and Windows 7.
Asymptotic Approximation for the Missing Initial Conditions
One of the main problems in applying the usual shooting methods for solving nonlinear singular perturbation BVPs (SPBVPs) is the very wide range of the starting initial guess domain [20,21,22,23,24,25,26,27,28,29], where is the perturbation parameter and is the order of the SPBVP. This wide range hinders obtaining a fast convergent sequence of approximate solutions and increases the computational cost of the method. To overcome these drawbacks, a good asymptotic estimation of the starting initial guess is essential to ensure fast convergence and low computational cost of the method.
Equation (8), with its boundary conditions in Equation (9), can be written as:
where is assumed to be a sufficiently continuously differentiable function and for every . Under these assumptions, problem (15) has a solution that, in general, displays a boundary layer of width at [20,21,22,23,24,25,26,27,28,29,33].
Setting in Equation (15) results in the reduced solution that satisfies the reduced IVP:
Equation (15) can be written as:
where and . Then, an asymptotic approximation to Equation (17) is as follows:
By integrating Equation (18) and taking into account that the reduced problem of (18) should satisfy the boundary condition at , we obtain an approximate IVP over the layer region and given by [20,24]:
which results in an asymptotic estimation for the unknown initial condition of the energy equation, given by:
Using the same procedure, an asymptotic estimation for the unknown initial condition of the Blasius equation can be obtained and given by [24,28,29,33]:
Using Equations (20) and (21) as a starting initial guess results in a new fast convergent sequence of the unknown initial conditions , where:
Equation (22) shows that the missing initial values have a high magnitude, where:
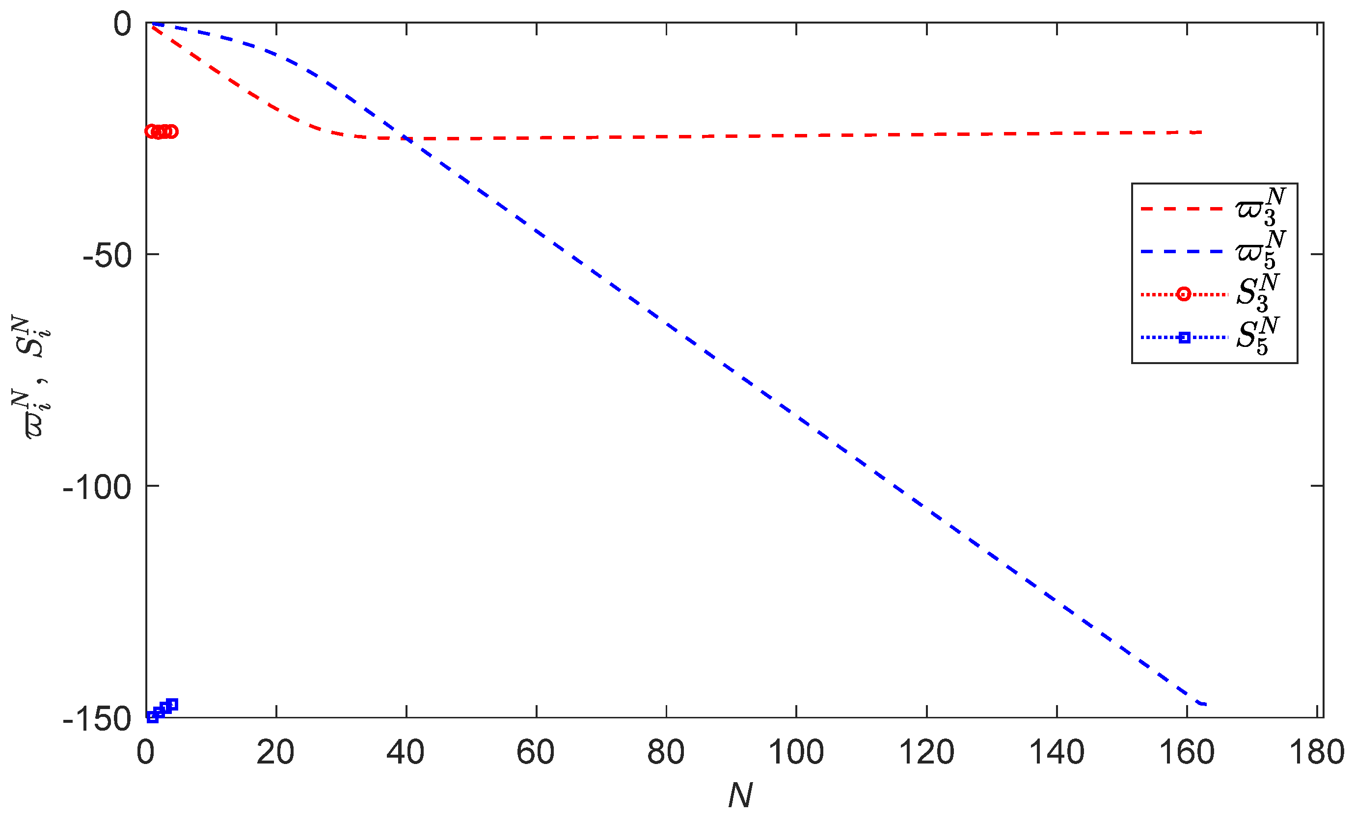
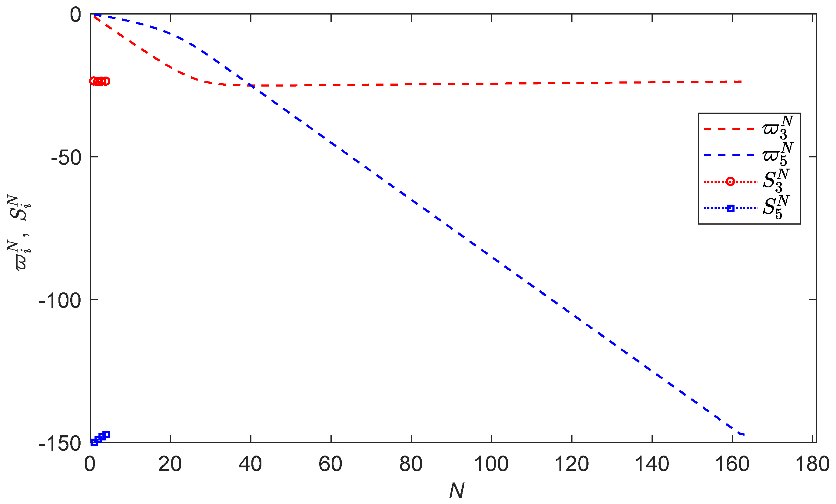
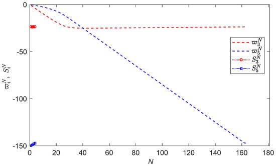
Figure 2 shows that, for the starting initial guess , as the number of iterations increases, the updated initial guess values of ASM take a wider range and converge to the exact solution at , while the updated initial guesses of IASM converge to the exact solution at .
Figure 2.
Updated initial guesses versus the number of iterations at , , , , .
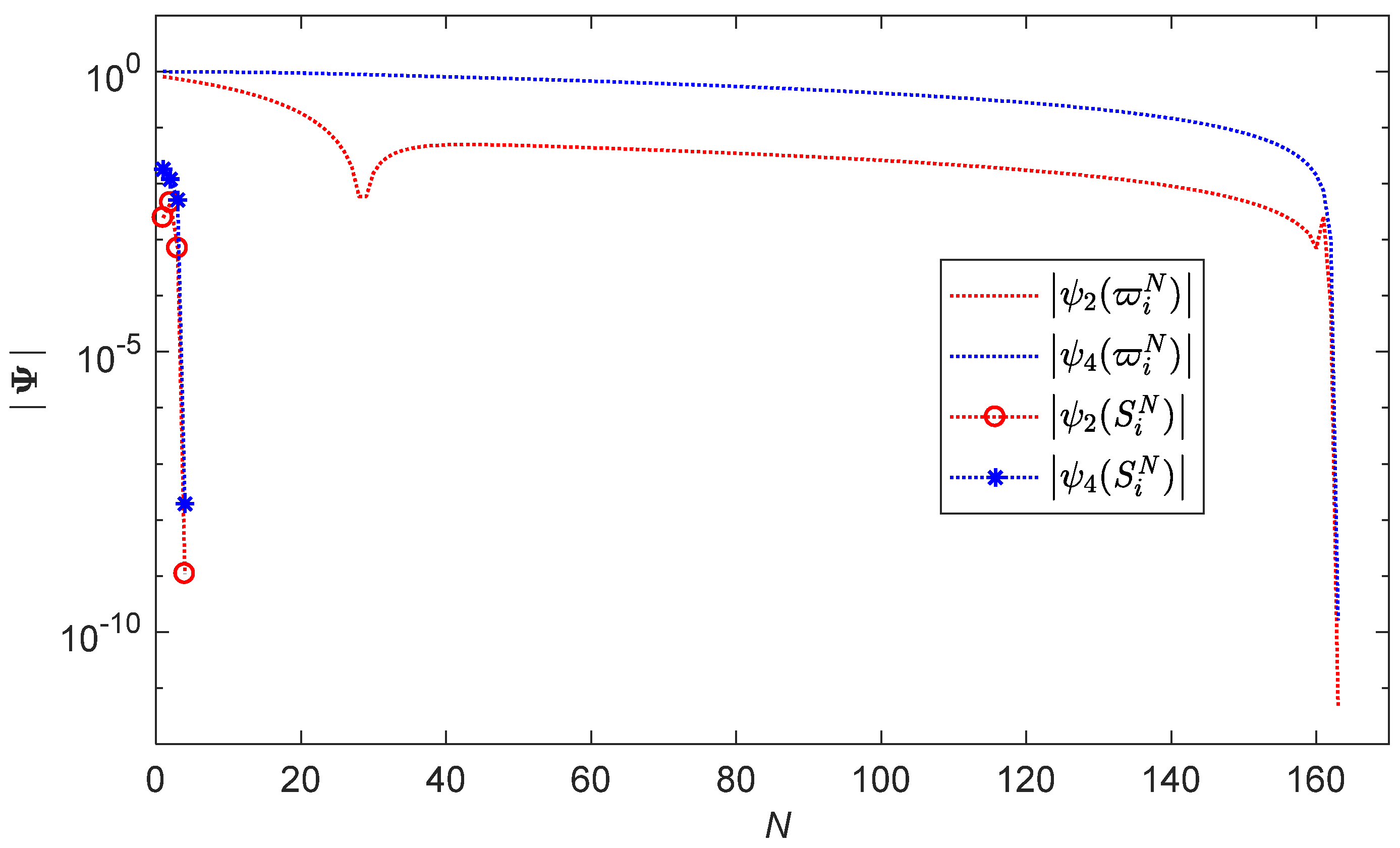
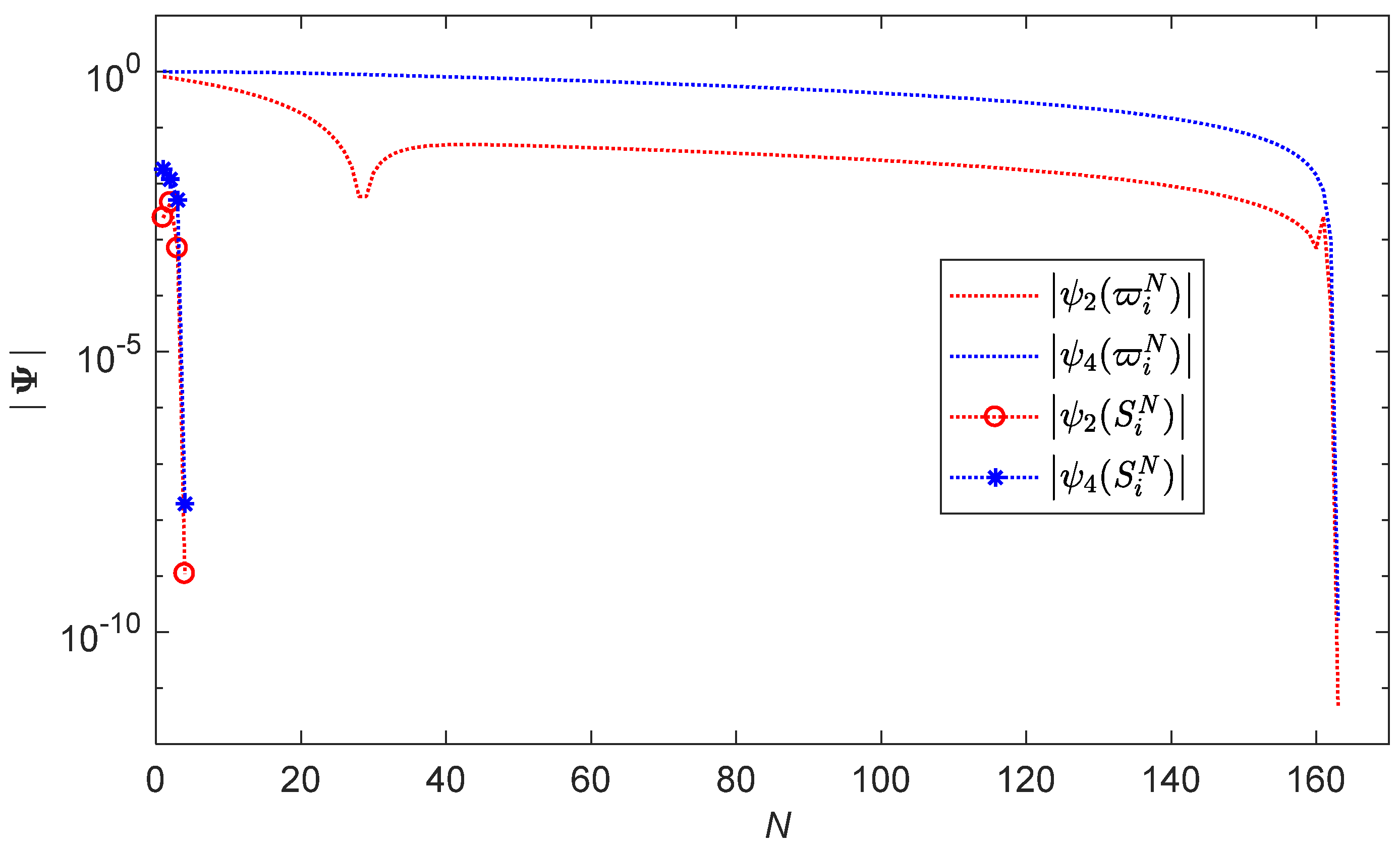
Figure 3 shows the residual error function versus the number of iterations for ASM () and IASM () at ,,, ,. As shown in Figure 3, as the number of iterations increases, the residual error decreases and satisfies our specified accuracy with at for ASM and at for IASM.
Figure 3.
Residual error function versus the number of iterations for ASM () and IASM () at , , , , .
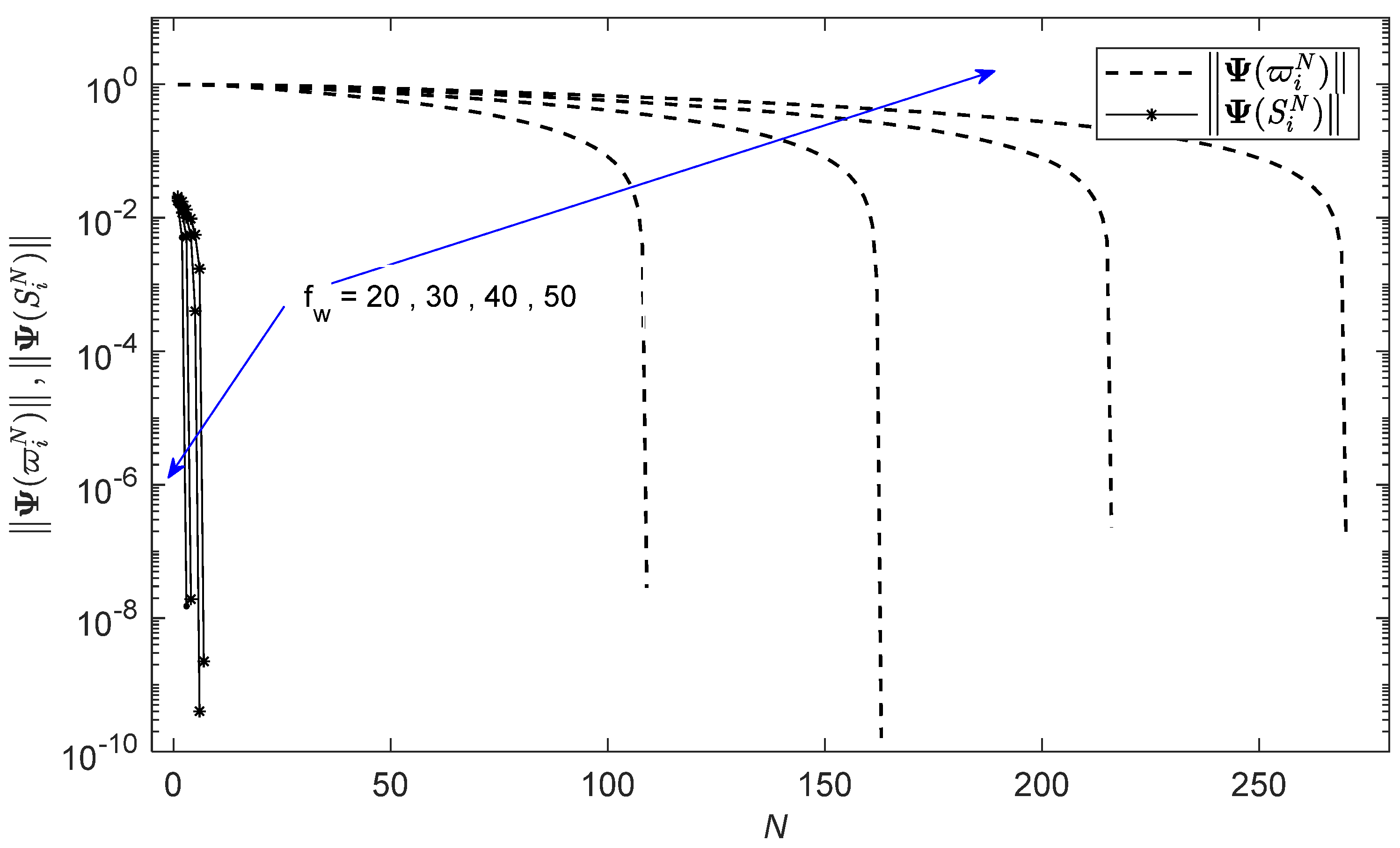
Figure 4 and Table 3 show that, for the starting initial guess , as the value of the suction parameter increases, the number of iterations required to satisfy the residual error function increases, while it decreases for the initial guess . Moreover, the residual error function is satisfied in IASM at for all the considered values of the suction parameter . The results shown in Table 3 confirm that the present IASM has a fast convergence sequence of approximate solution to the considered problem compared to the usual ASM.
Figure 4.
Maximum residual error versus the number of iterations for at different values of .
Table 3.
Maximum residual errors and number of iterations for ASM and IASM.
Table 4 shows the CPU computational time and the number of iterations required to satisfy the residual error function for both ASM and IASM shooting methods. The results confirm that the present IASM method ensures fast convergence and low computational cost compared to the usual ASM method.
Table 4.
CPU computational time and number of iterations for ASM and IASM.
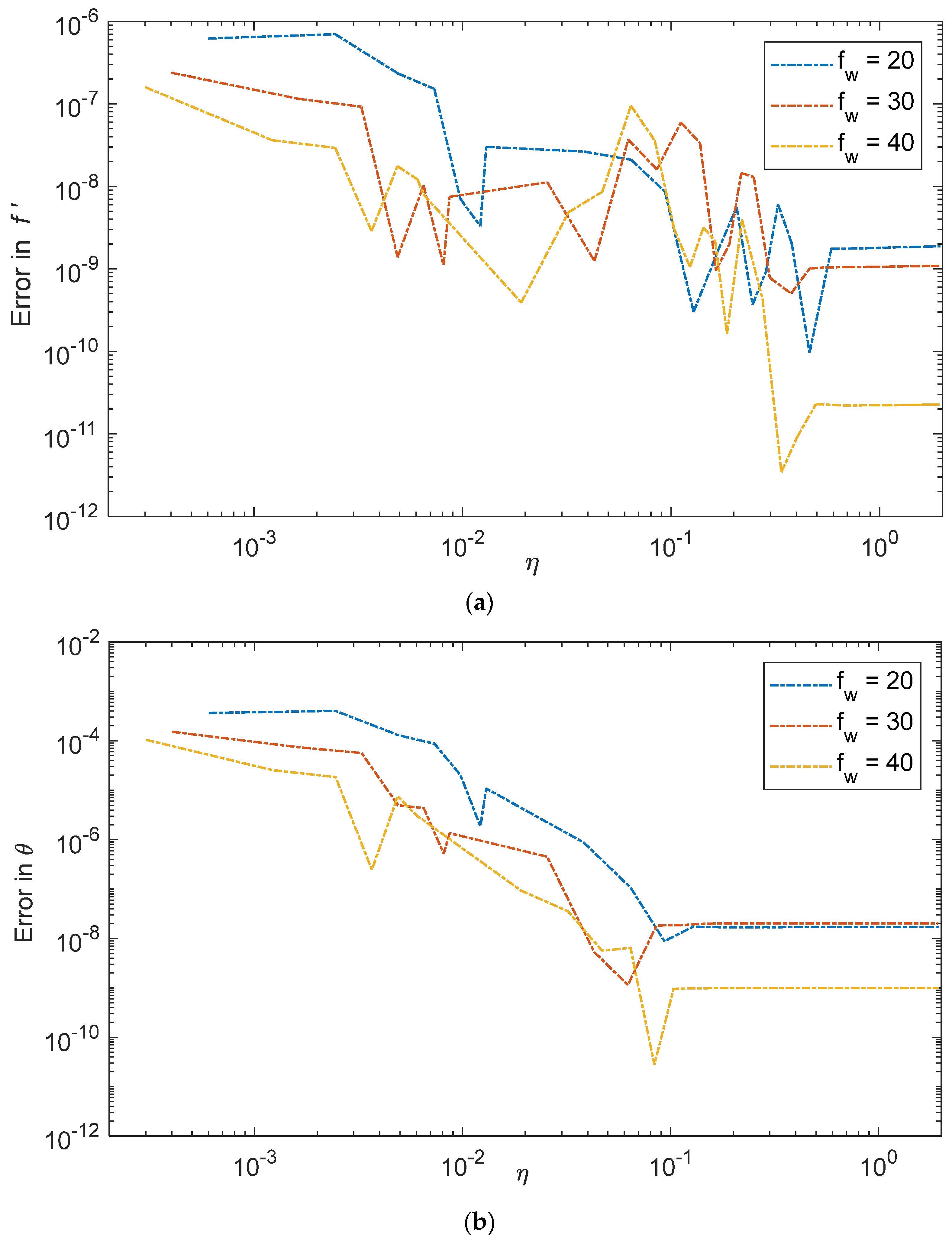
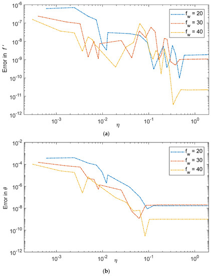
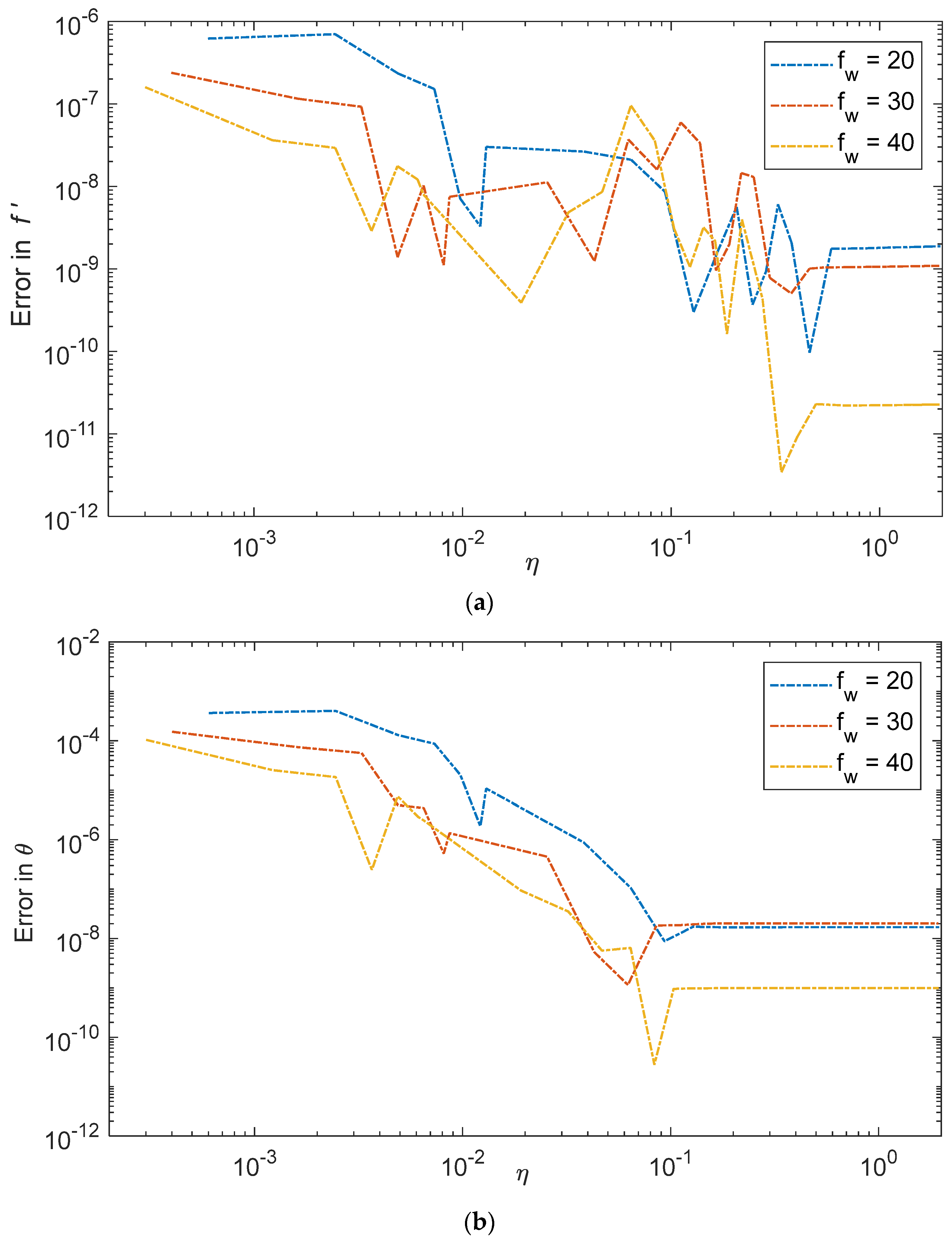
For comparison purposes, Figure 5 presents the error in the velocity Figure 5a and temperature Figure 5b solutions at different values of the suction parameter , considering our reference solution is that obtained using the adaptive finite difference collocation method (Matlab BVP4C) at . The results confirm that the present IASM is efficient and results in a highly accurate solution.
Figure 5.
Error in the velocity and temperature solutions at different values of .
It is possible to compare the outputs obtained by this numerical scheme with the previously cited research of EL-Kabeir et al. [34]. Table 5 displays that excellent agreement between the outputs exists. This lends confidence to the computational outputs to be performed subsequently. Computations were reported for several values of velocity ratio γ at Pr = 0.7.
Table 5.
Comparison of skin friction for various values of velocity ratio γ.
4. Outputs and Discussion
The present section of this research addresses the impacts of several dimensionless parameters on the hydro-magnetic flow of Casson hybrid nanofluid (Cu/Al2O3-water) streaming over a permeable moving/fixed surface. Figure 6, Figure 7, Figure 8, Figure 9, Figure 10, Figure 11, Figure 12, Figure 13, Figure 14, Figure 15, Figure 16, Figure 17, Figure 18 and Figure 19 are sketched to manifest the response of varying Casson factor β (=1–10), magnetic field parameter M (=0.0–2.0), suction parameter fw (=20–60), Eckert number Ec (=0.01–0.05), and solid fraction parameters ϕ1 and ϕ2 (=0.01–0.05) on the outlines of velocity f’(η), temperature θ(η), skin friction coefficient , and Nusselt number , with various different values of velocity ratio parameter γ (0 ≤ γ ≤ 1).
Figure 6.
Behavior of f’(η) with respect to velocity ratio γ.
Figure 7.
Behavior of θ(η) with respect to velocity ratio γ.
Figure 8.
Behavior of f’(η) with respect to suction parameter fw.
Figure 9.
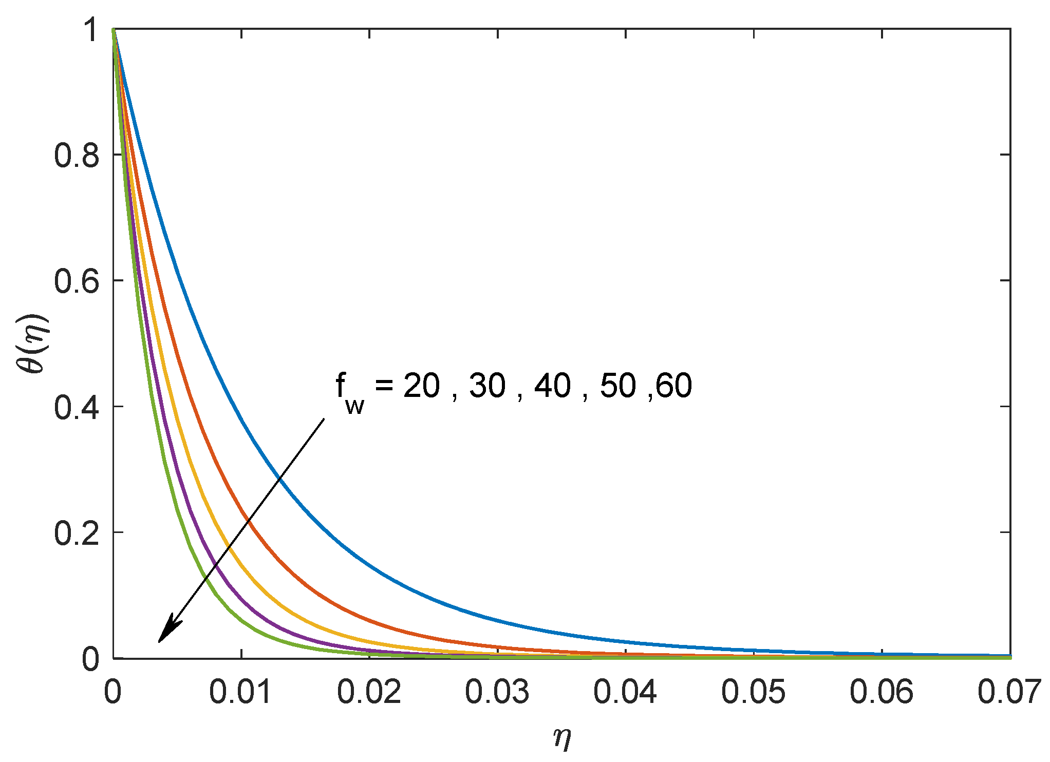
Behavior of θ(η) with respect to suction parameter fw.
Figure 10.
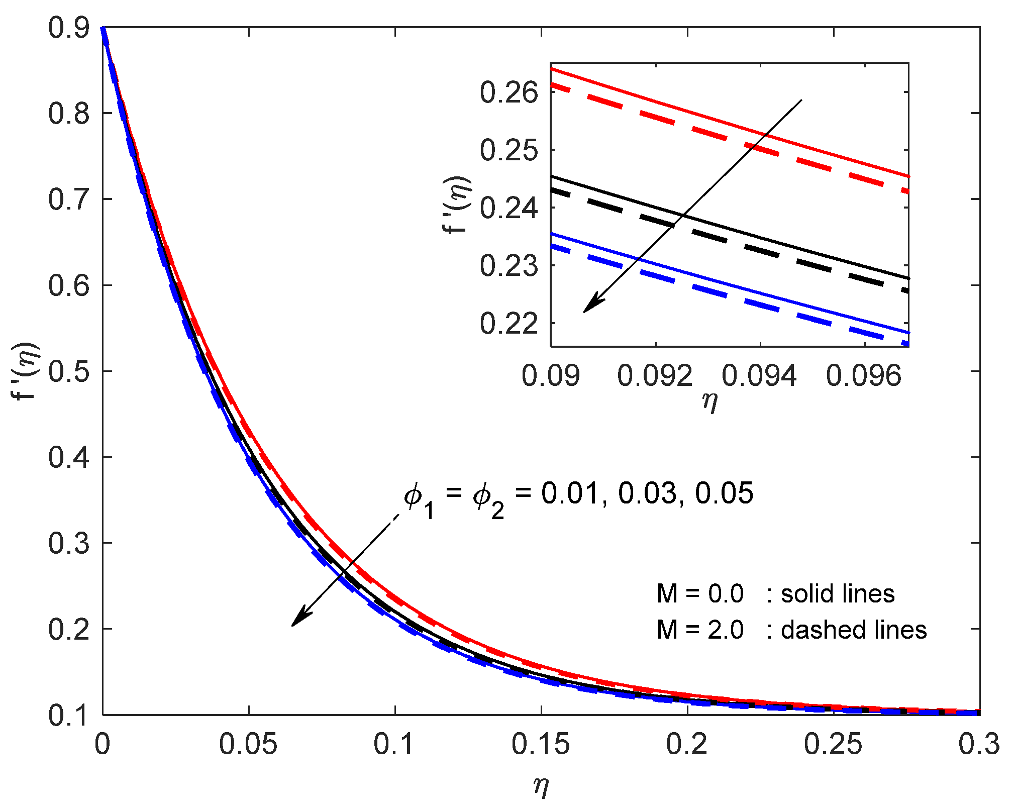
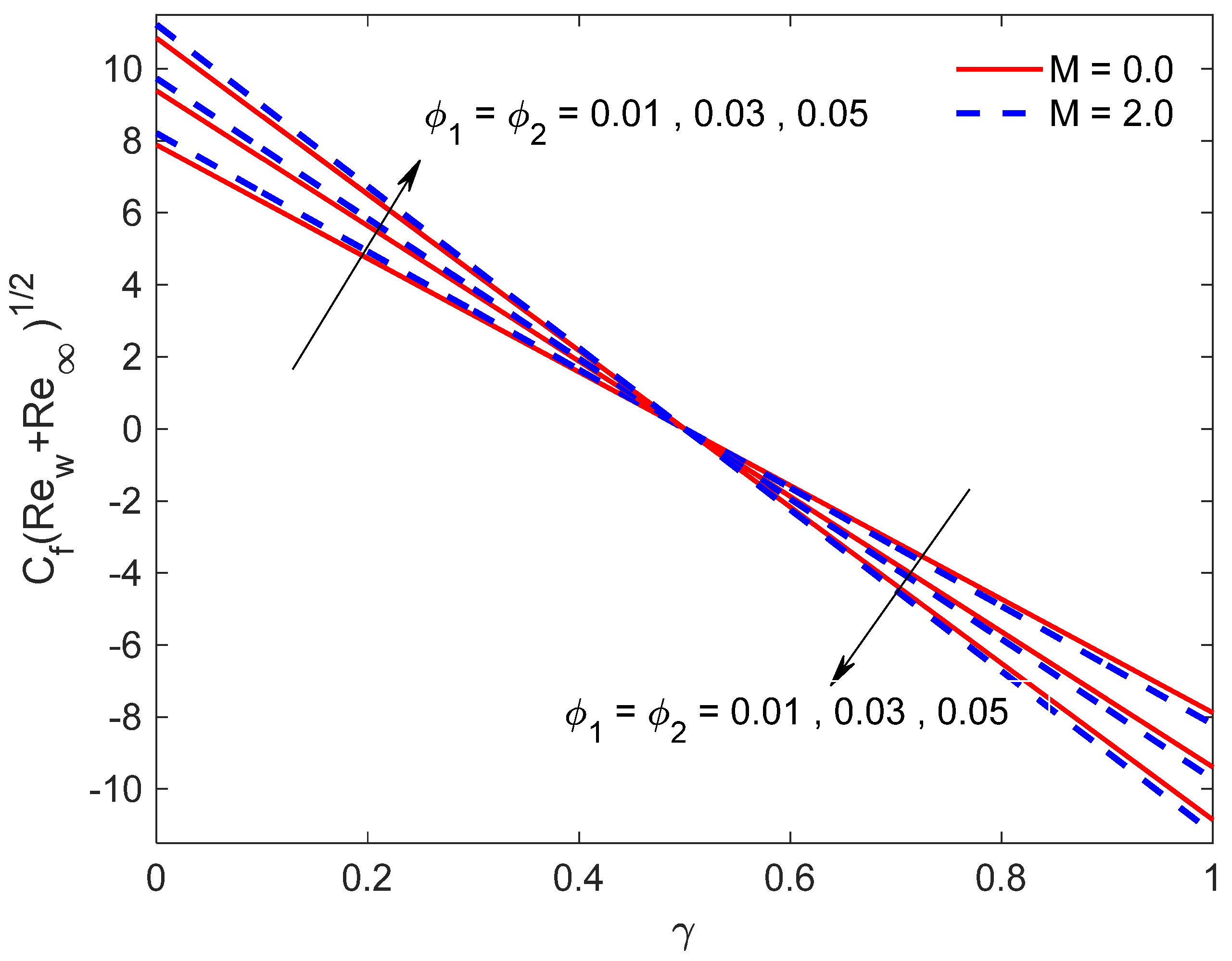
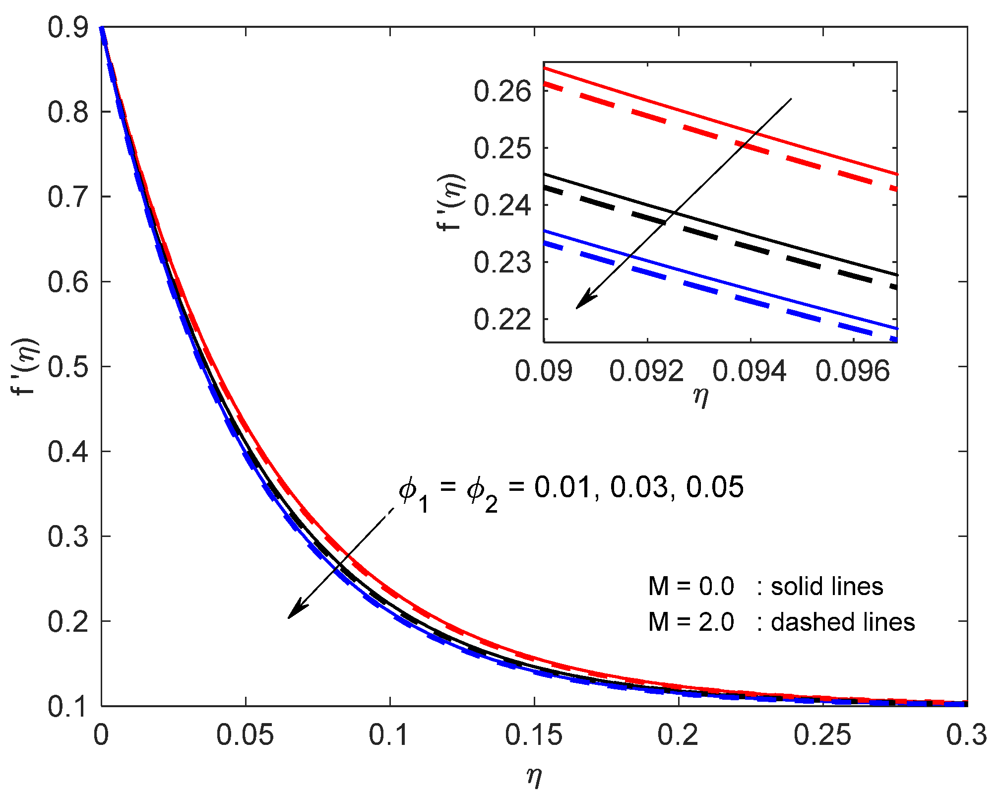
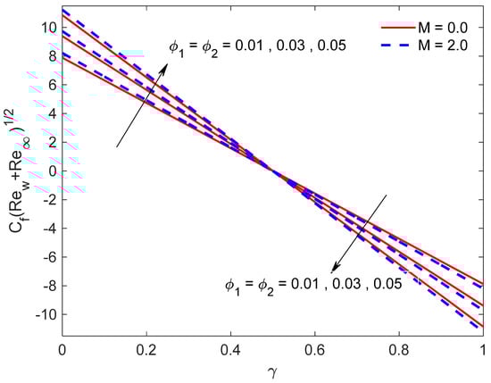
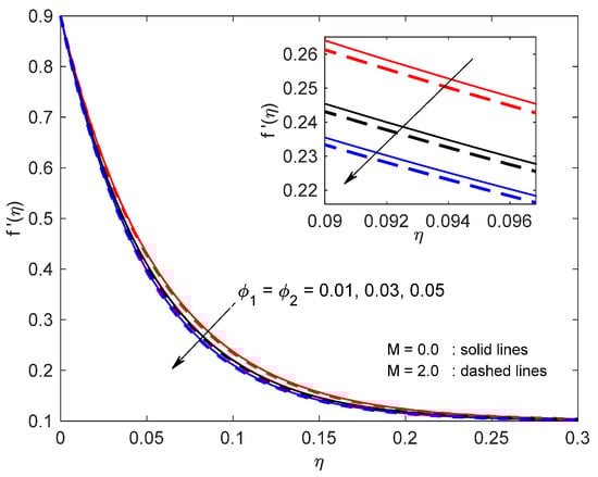
Behavior of f’(η) with respect to the volume fraction parameters ϕ1 and ϕ2 and magnetic field M.
Figure 11.
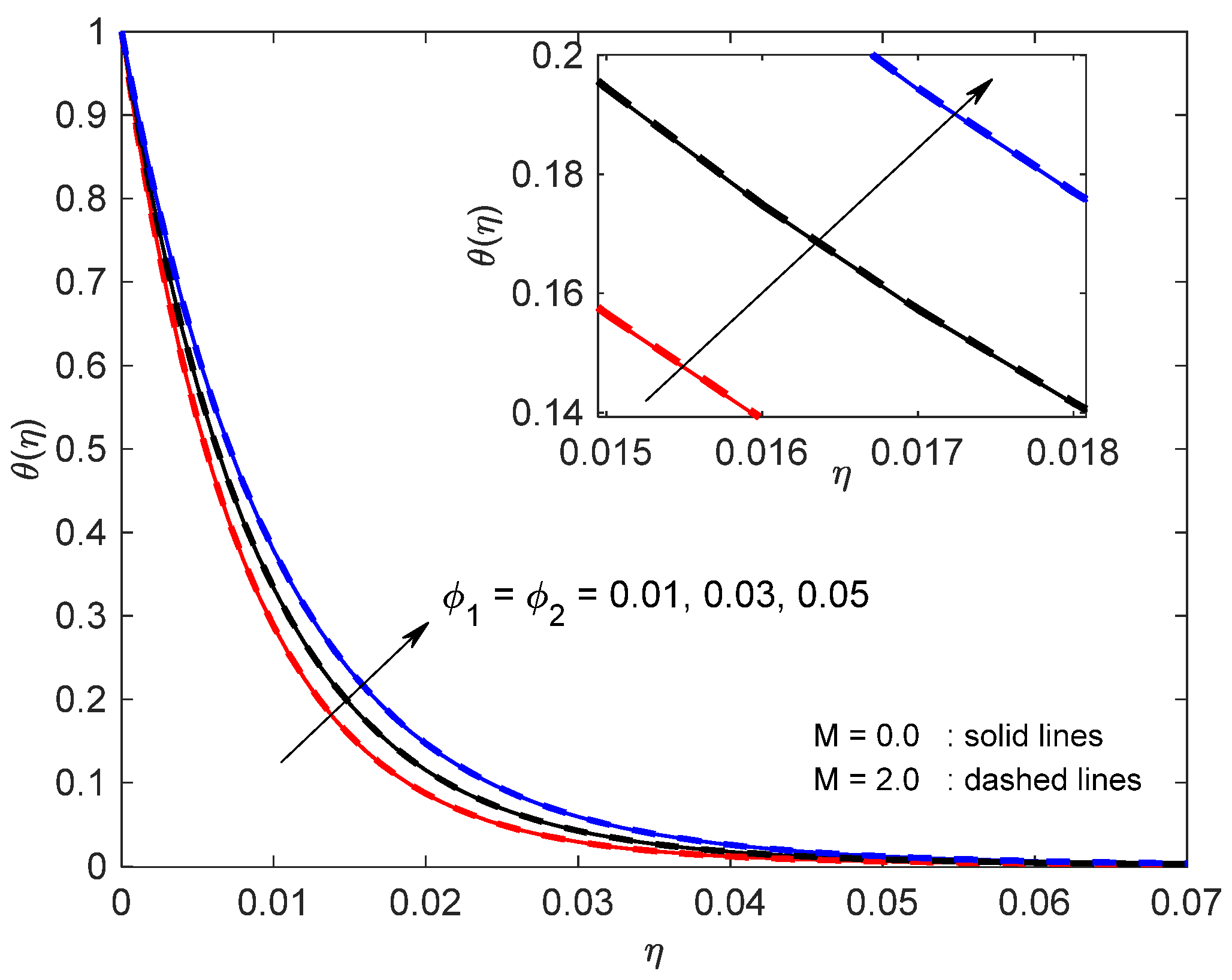
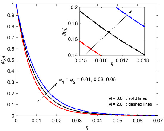
Behavior of θ(η) with respect to the volume fraction parameters ϕ1 and ϕ2 and magnetic field M.
Figure 12.
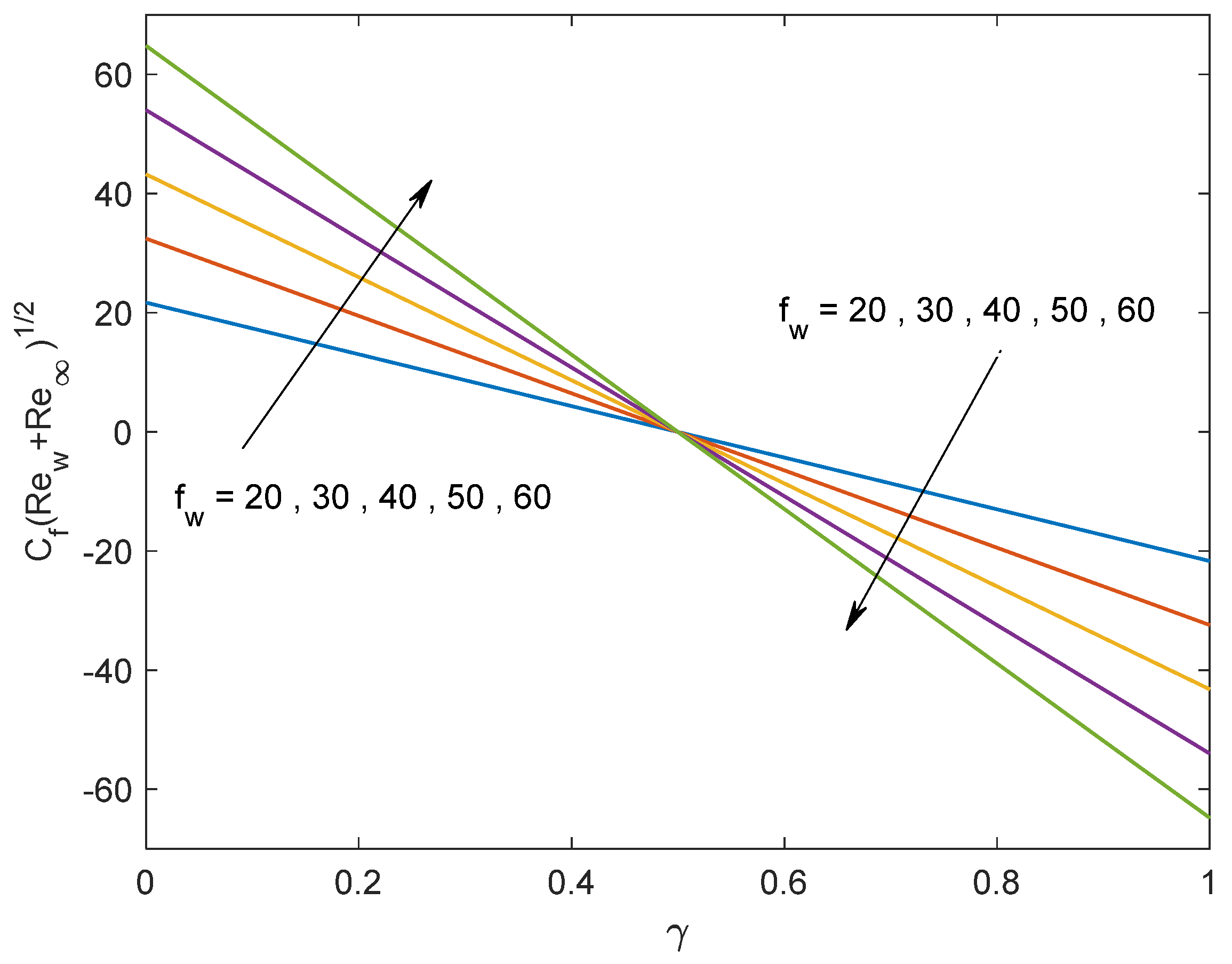
Behavior of with respect to suction parameter fw.
Figure 13.
Behavior of with respect to suction parameter fw.
Figure 14.
Behavior of with respect to the volume fraction parameters ϕ1 and ϕ2 and magnetic field M.
Figure 15.
Behavior of with respect to the volume fraction parameters ϕ1 and ϕ2 and magnetic field M.
Figure 16.
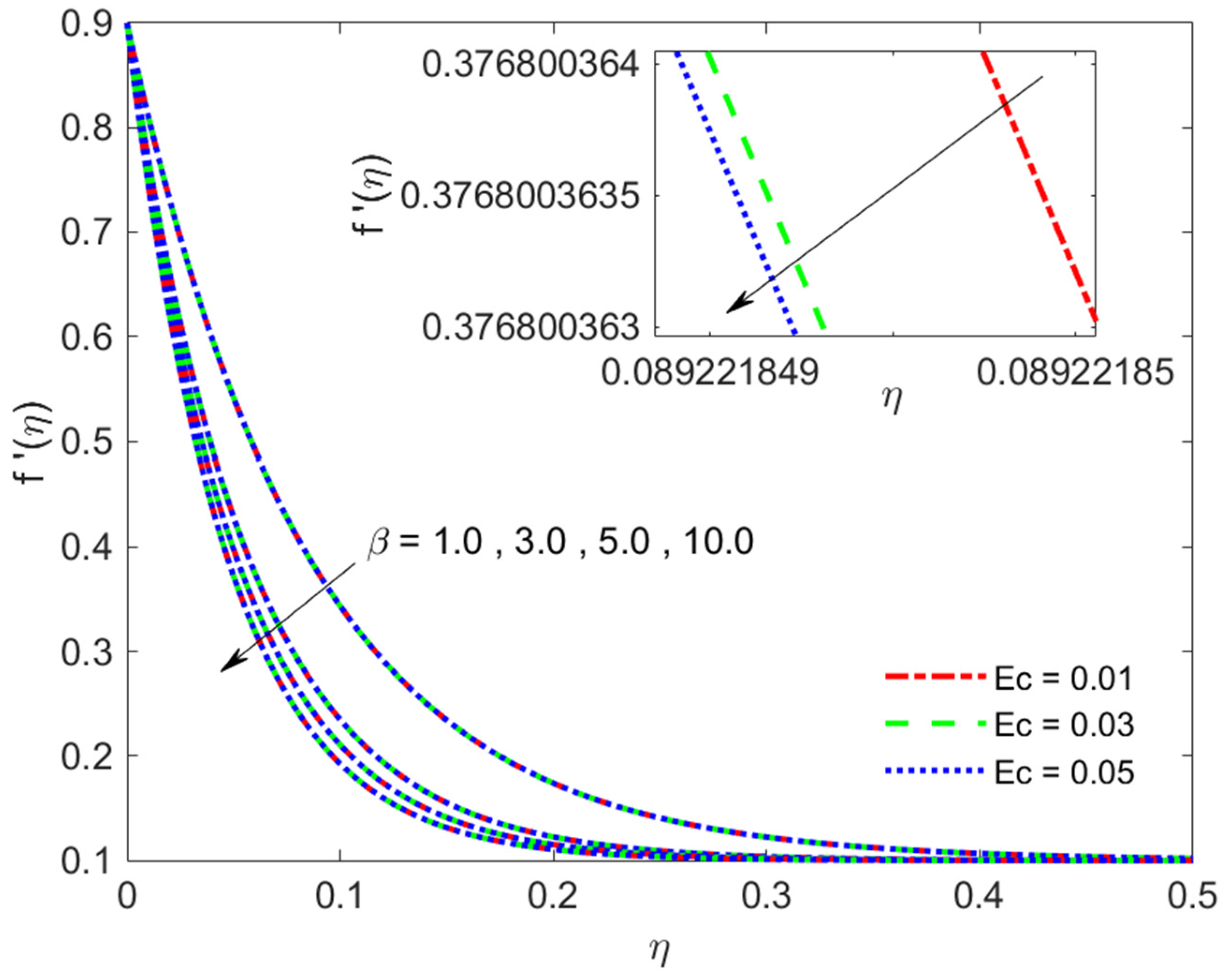
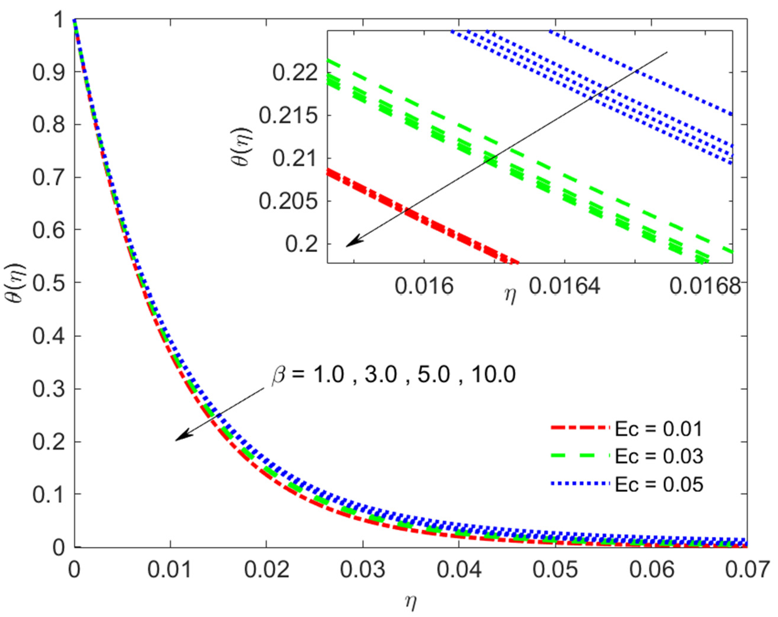
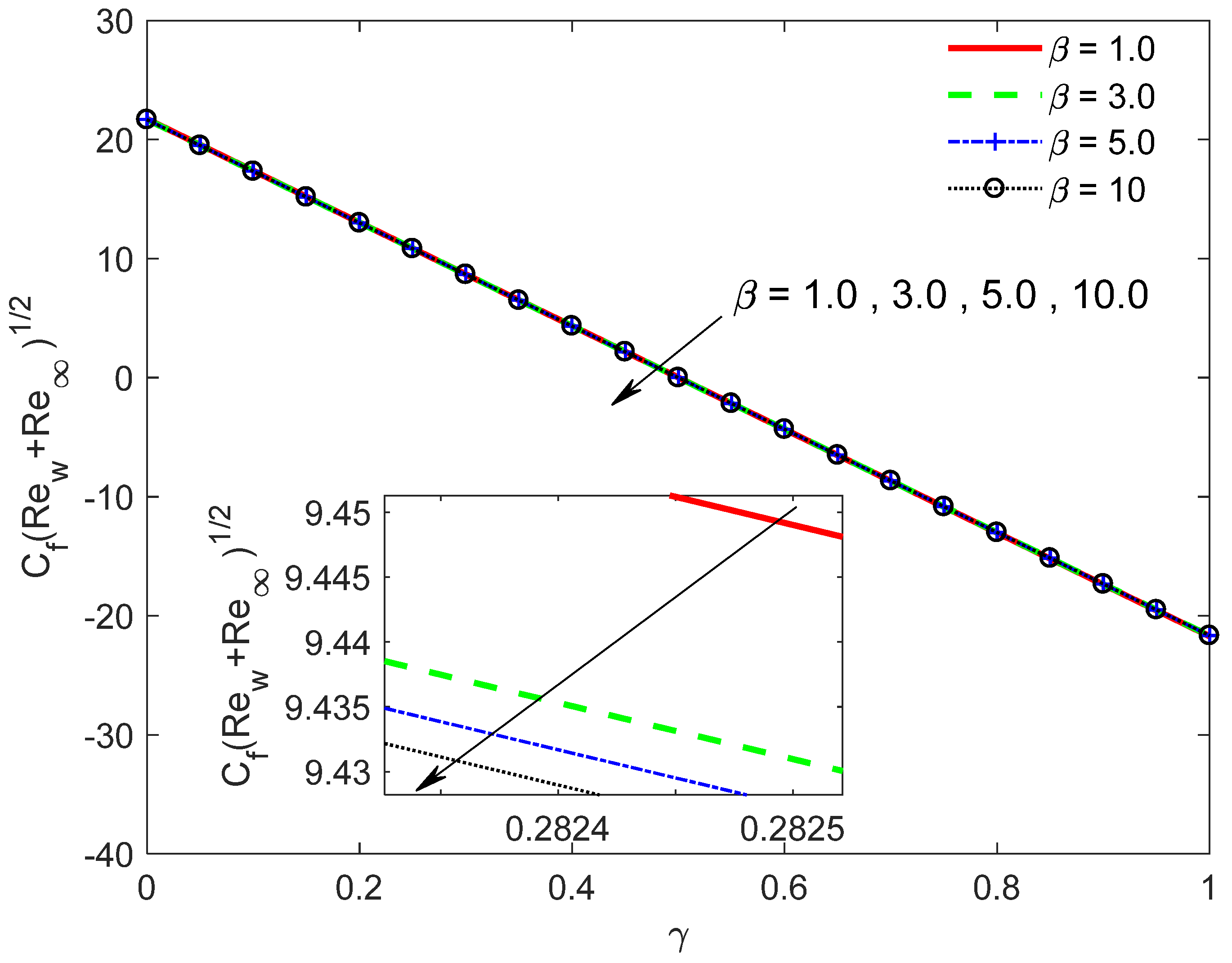
Behavior of f’(η) with respect to Casson parameter β and Eckert number Ec.
Figure 17.
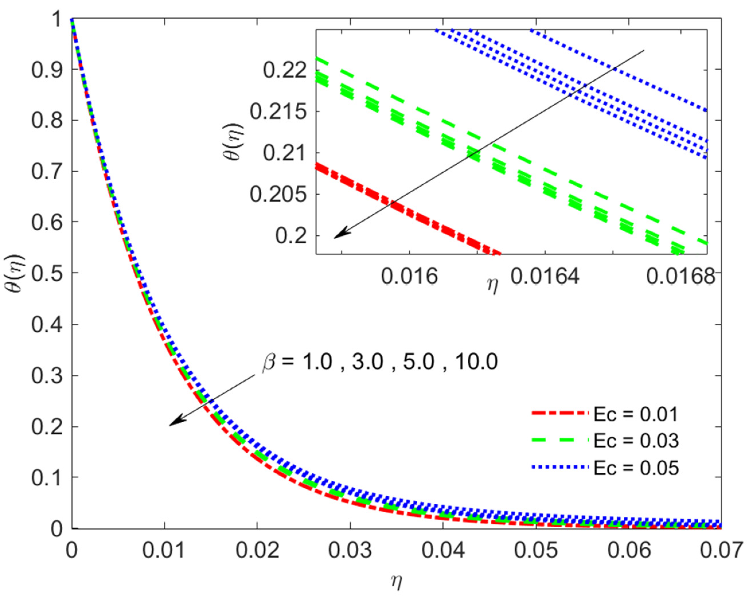
Behavior of θ(η) with respect to Casson parameter β and Eckert number Ec.
Figure 18.
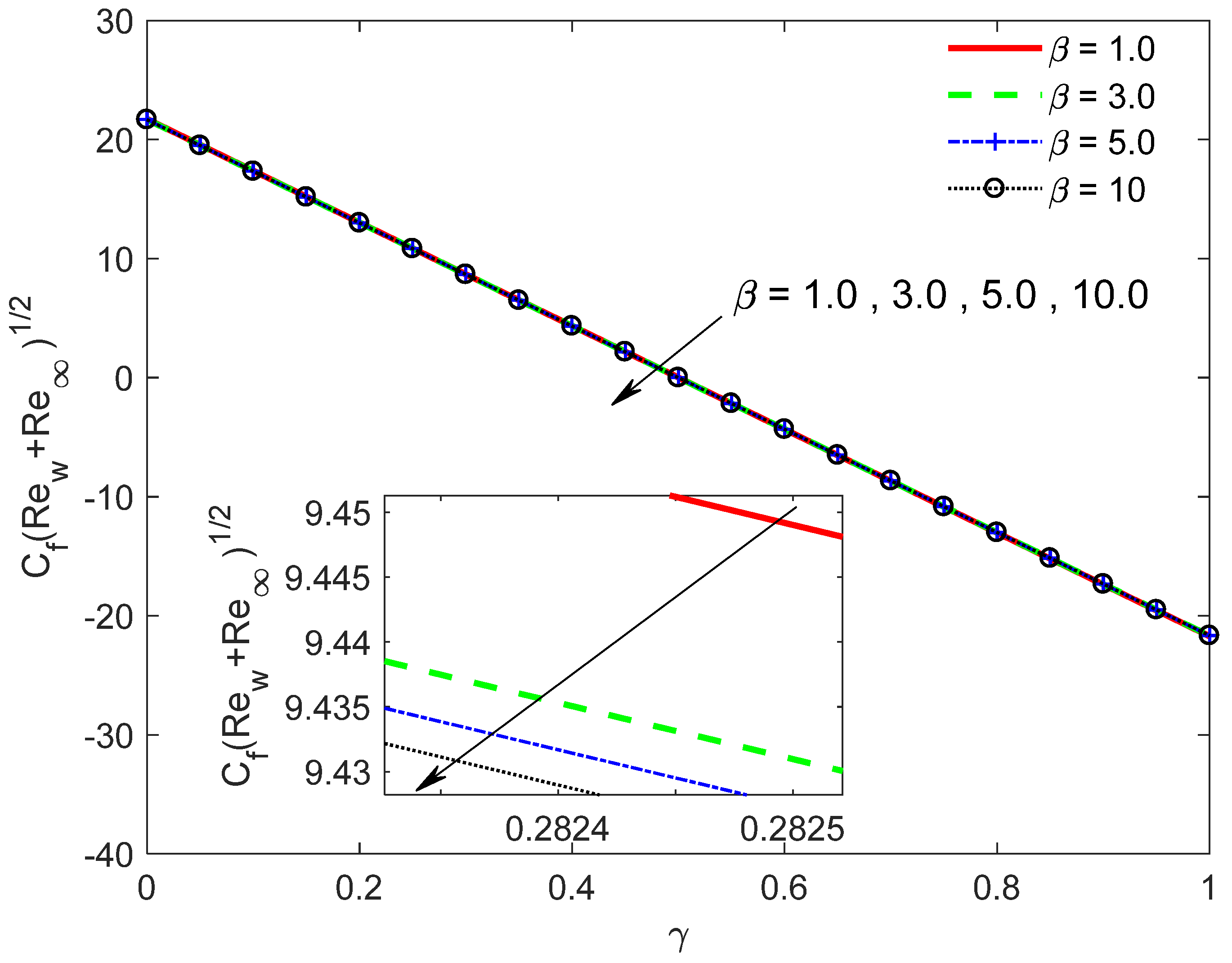
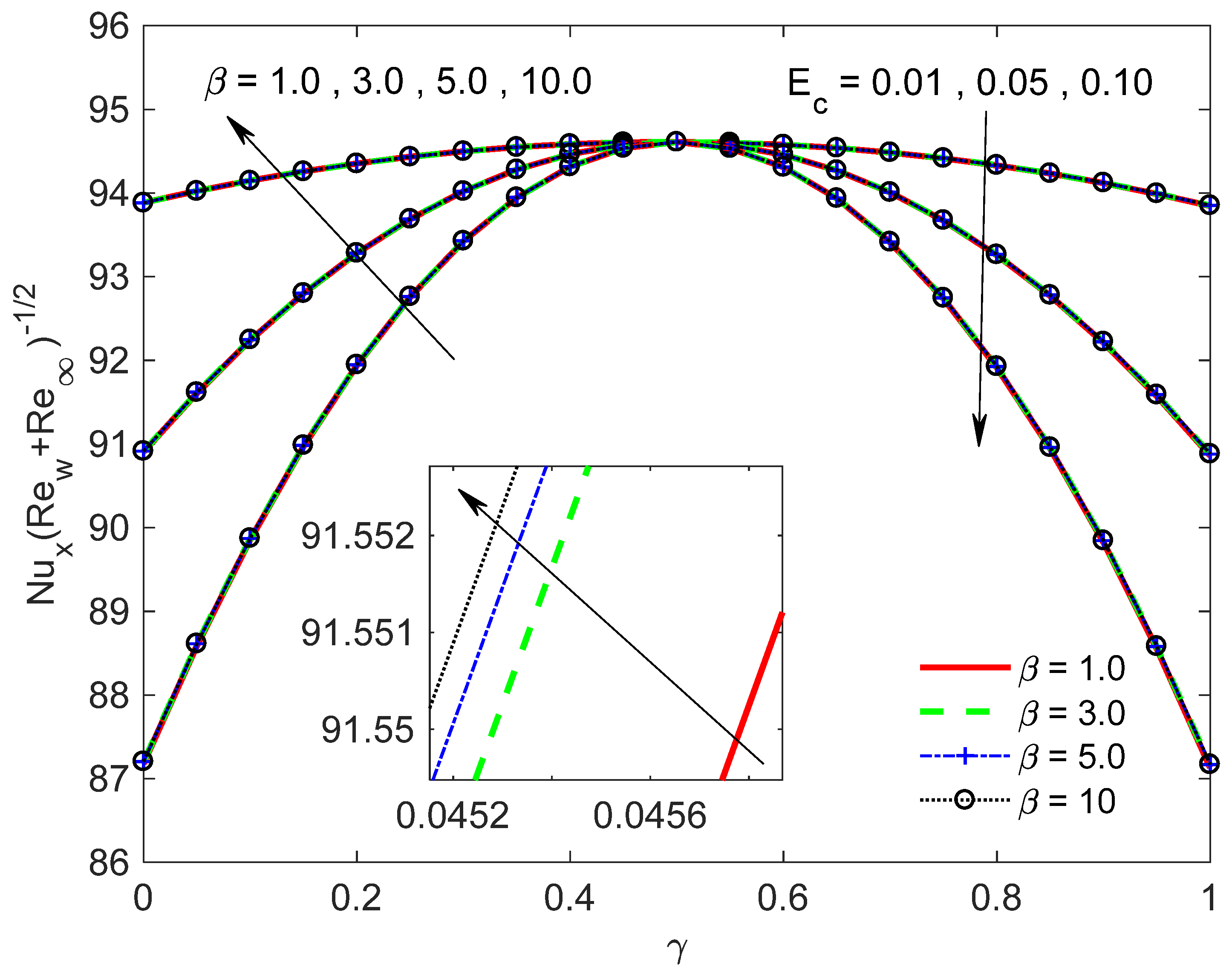
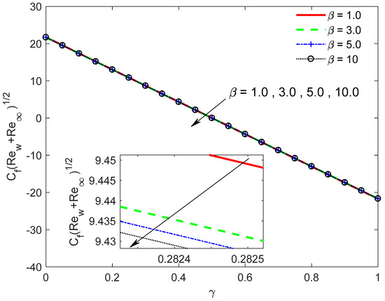
Behavior of with respect to Casson parameter β.
Figure 19.
Behavior of with respect to Casson parameter β and Eckert number Ec.
Figure 6, Figure 7, Figure 8, Figure 9, Figure 10, Figure 11, Figure 12, Figure 13, Figure 14 and Figure 15 elucidate the influence of the volume fraction parameters ϕ1 and ϕ2 and suction parameter fw, and on the outlines of velocity f’(η), temperature outline θ(η), local skin friction coefficient and local Nusselt number , respectively, for several values of velocity ratio parameter γ in the range 0 ≤ γ ≤ 1. It is seen from Figure 6 and Figure 7 that the velocity ratio parameter γ = 0, 0 < γ < 1, and γ = 1 indicates a fixed surface in a moving hybrid nanofluid, moving surface in a moving fluid, and a moving surface in a quiescent fluid, respectively. However, it is evident from Figure 8 that an intensification in the magnitude of suction parameter (fw >> 0) leads to a decline in the flow near the surface, which causes a decline in both the velocity outline and momentum boundary layers for γ > 0.5. Figure 9 also discloses that the prominent intensification in the values of fw trends to an apparent decline in the temperature outline and its boundary layer thickness of the hybrid nanofluid. Moreover, it is witnessed from Figure 10 and Figure 11 that, as the volume fraction parameters ϕ1 and ϕ2 increase, the velocity outline minifies for γ > 0.5. Furthermore, both the temperature outline and thermal boundary layers promote continuously with the growth in the ϕ1 and ϕ2. This fact is inferred, as the volume fraction of copper and alumina increases the thermal conductivity and, hence, the thermal boundary layer thickness escalates. As exhibited in Figure 12, it is witnessed from the figures that all values of the skin friction coefficient are positive as γ < 0.5 and negative as γ > 0.5, whereas γ = 0.5 achieves = 0, since both the hybrid nanofluid and the plate move with the same velocity. Conversely, the local Nusselt number is positive for all γ. Moreover, it is clear from Figure 12 and Figure 13 that enhancing the suction parameter fw yields an improvement in the skin friction coefficient , whilst the opposite behavior is noticed for γ > 0.5. It is also clearly evident that a considerable enhancing of the fw produces an improvement in the local Nusselt number for all γ. These patterns are related to the obvious decline in the thermal boundary layers as fw enhances. In addition, it is uncovered from Figure 14 that the augmentation in the volume fraction parameters ϕ1 and ϕ2 has a tendency to diminish the as a result of enhancement in the momentum boundary layer thickness for γ > 0.5 and, conversely, an impact is uncovered for γ < 0.5. However, as indicated, above that, the augmentation in ϕ1 and ϕ2 reveals an enhancement in both the temperature outlines and its boundary layers. This causes a reduction in the Nusselt number, as shown in Figure 15. These may be due to the sensitivity of thermal boundary layer thickness with ϕ1 and ϕ2 concerning the evolution of thermal conductivity of nanofluids (see Table 5), which results, in turn, in an increment in the thermal diffusivity and, therefore, based on Equation (14), they yield a sufficient decline in the Nusselt number. The impacts of magnetic field M, Eckert number Ec, and Casson factor β on the outlines of velocity f′(η) and temperature θ(η), skin friction coefficient and Nusselt number are shown in Figure 10 and Figure 11 through Figure 16, Figure 17, Figure 18 and Figure 19. It is seen also from Figure 10 that the effect of M brings down the hybrid nanofluid velocity. This is because, if the value of M magnifies, a resistive force, such as a strain intensity, obverse to fluid movement is generated, which is known as Lorentz intensity. The conduct of Lorentz intensity has a tendency to slow down the velocity and boundary layer thickness. Figure 11 sketches the deviation in the temperature profile with different values of M for Casson hybrid nanofluids. It is noticed that the fluid temperature enlarges inconsiderably with greater magnetic value, since extra work is performed by the fluid in overcoming the drag force, which is then dissipated as thermal energy. Hence, the magnetic field serves to accelerate the temperature of hybrid nanofluid. In Figure 16 and Figure 17, the effect of Eckert number Ec on the velocity and temperature curves is plotted. Ec represents the ratio of kinetic energy of the flow to the boundary layer enthalpy variations. It explains the transformation of kinetic energy inside the inner power via work carried out versus the stresses of viscous fluid. An Eckert number in positive values means cooling of the surface, i.e., absence of heat from the moving surface to the hybrid nanofluid. Therefore, larger viscous dissipative heat yields an enhancement in the temperature curves. Hence, it is easy to notice that, for the elevation in the values of Ec, both the velocity and temperature profiles boost. Moreover, it is seen from Figure 16 and Figure 17 that increasing β leads to a reduction in both the velocity and the temperature curves. Physically, increasing values of Casson parameter β yields an enhancement in the dynamic viscosity of the fluid, which causes a decrease in the nanofluid motion; due to this, the decline in momentum boundary layer thickness and slight decrease in thermal boundary layer thickness are noted. Moreover, Figure 15 and Figure 19 expresses that both the magnetic parameter 𝑀 and Eckert number Ec have caused a decline behavior in the Nusselt number. As these two parameters declined the velocity profiles, that is why its skin friction coefficient also has the same pattern for their greater values for γ > 0.5. Finally, Figure 18 and Figure 19 characterize the alteration of the skin friction coefficient and Nusselt number with various values for Casson parameter β. It is evident from these Figures that the surface friction coefficient decreases with rising values of β, as expected for all γ, and, conversely, an impact is uncovered for the local Nusselt number. This is due to the fact that the boost in β leads to an enhancement in the dynamic viscosity of the fluid, as mentioned above.
5. Conclusions
In the present work, the magneto-hybridized Casson nanofluid flow past a moving/fixed surface has been explored with a huge suction influence. The influence of copper and alumina with water base fluid is executed in this analysis. The dimensionless equations governing the problem are numerically solved by utilizing a modified shooting method with fast convergence and low computational cost. The main outputs of the current exploration are as follows:
- -
- Enhancing the suction parameter yields an improvement in both the skin friction coefficient and the Nusselt number.
- -
- An augmentation in the volume fraction parameters has a tendency to diminish the skin friction coefficient for velocity ratio γ > 0.5 and, conversely, an impact is uncovered for γ < 0.5, and causes a reduction in the Nusselt number.
- -
- Surface friction coefficient decreases with a rise in Casson parameter and, conversely, an impact is uncovered for the local Nusselt number.
- -
- Both the magnetic parameter and Eckert number Ec have caused a decline behavior in the Nusselt number and skin friction coefficient.
- -
- After the successful numerical struggle of parametric effectiveness on the fluid dynamics, this investigation can be extended in future for Maxwell hybrid nanofluid, Oldroyd-B hybrid nanofluid, and comparative analysis between Maxwell hybrid nanofluid, tangent-hyperbolic, and Jeffrey’s hybrid nanofluids.
Author Contributions
Data curation, E.R.E.-Z. and A.M.R.; Formal analysis, E.R.E.-Z. and A.M.R.; Funding acquisition, E.R.E.-Z.; Investigation, E.R.E.-Z., A.M.R. and H.S.A.-J.; Methodology, E.R.E.-Z., A.M.R. and H.S.A.-J.; Project administration, E.R.E.-Z.; Resources, E.R.E.-Z., A.M.R. and H.S.A.-J.; Software, E.R.E.-Z. and H.S.A.-J.; Supervision, E.R.E.-Z.; Validation, E.R.E.-Z.; Visualization, A.M.R.; Writing—original draft, E.R.E.-Z., A.M.R. and H.S.A.-J.; Writing—review & editing, E.R.E.-Z. and A.M.R. All authors have read and agreed to the published version of the manuscript.
Funding
This research was funded by the Deanship for Research and Innovation, Ministry of Education in Saudi Arabia through the project number (IF-PSAU-2021/01/18608).
Informed Consent Statement
Not applicable.
Data Availability Statement
Data are contained within the article.
Acknowledgments
The authors extent their appreciation to the Deanship for Research and Innovation, Ministry of Education in Saudi Arabia for funding this research work through the project number (IF-PSAU-2021/01/18608).
Conflicts of Interest
The authors declare no conflict of interest.
Nomenclature
| B | magnetic field strength |
| Cp | specific heat at constant pressure (J·kg−1·K−1) |
| Cf | local skin-friction coefficient |
| Ec | Eckert number |
| fw | suction parameter |
| f′ | dimensionless velocity |
| K | thermal conductivity (m2 s−1) |
| M | magnetic field parameter |
| Nux | local Nusselt number |
| Pr | Prandtl number |
| Rew, Re∞ | Reynolds numbers |
| T | Temperature (K) |
| u, v | Velocity components along and axes (m/s) |
| Uw, U∞ | The plate velocity and free stream velocity, respectively (m/s) |
| X | coordinate in flow direction (m) |
| Y | coordinate perpendicular to flow direction (m) |
| Vw | Transpiration velocity (m/s) |
| Greek Symbols | |
| α | Thermal diffusivity (m2 s−1) |
| β | Casson parameter |
| γ | velocity ratio parameter |
| η | similarity variable |
| θ | Dimensionless temperature |
| φ | solid volume fraction parameter |
| ψ | dimensional stream function |
| μ | Dynamic viscosity (kgm−1 s−1) |
| υ | kinematic viscosity (m2 s−1) |
| ρCp | Heat capacity (J·kg−3·K−1) |
| ρ | density (kg/m3) |
| σ | electric conductivity (Sm−1) |
| Subscripts | |
| 1 | Copper (Cu) |
| 2 | Alumina (Al2O3) |
| Bf | base fluid |
| hbnf | hybrid nanofluid |
| F | Fluid |
| Nf | Nanofluid |
| S | Nanoparticle |
| W | condition at the wall |
| ∞ | condition at infinity |
References
- Chen, S.-B.; Shahmir, N.; Ramzan, M.; Sun, Y.-L.; Aly, A.A.; Malik, M.Y. Thermophoretic particle deposition in the flow of dual stratified Casson fluid with magnetic dipole and generalized Fourier’s and Fick’s laws. Case Stud. Therm. Eng. 2021, 26, 101186. [Google Scholar] [CrossRef]
- Tiwari, R.K.; Das, M.K. Heat transfer augmentation in a two-sided lid-driven differentially heated square cavity utilizing nanofluids. Int. J. Heat Mass Tran. 2007, 50, 2002–2018. [Google Scholar] [CrossRef]
- Duangthongsuk, W.; Wongwises, S. Effect of thermophysical properties models on the predicting of the convective heat transfer coefficient for low concentration nanofluid. Int. Commun. Heat Mass Tran. 2008, 35, 1320–1326. [Google Scholar] [CrossRef]
- Choi, S. Enhancing Thermal Conductivity of Fluids with Nanoparticles. In Developments and Applications of Non-Newtonian Flows; ASME: New York, NY, USA, 1995; Volume 66, pp. 99–105. [Google Scholar]
- Khanafer, K.; Vafai, K.; Lightstone, M. Buoyancy-driven heat transfer enhancement in a two-dimensional enclosure utilizing nanofluids. Int. J. Heat Mass Tran. 2003, 46, 3639–3653. [Google Scholar] [CrossRef]
- Sun, C.; Bai, B.; Lu, W.Q.; Liu, J. Shear-rate dependent effective thermal conductivity of H2Oþ SiO2. Nanofluids 2013, 25, 052002. [Google Scholar]
- Devi, S.A.; Devi, S.S.U. Numerical investigation of hydromagnetic hybrid Cu-Al2O3/water nanofluid flow over a permeable stretching sheet with suction. Int. J. Nonlinear Sci. Numer. Simul. 2016, 17, 249–257. [Google Scholar] [CrossRef]
- Maskeen, M.M.; Zeeshan, A.; Mehmood, O.U.; Hassan, M. Heat transfer enhancement in hydromagnetic alumina-copper/water hybrid nanofluid flow over a stretching cylinder. J. Therm. Anal. Calorim. 2019, 138, 1127–1136. [Google Scholar] [CrossRef]
- EL-Zahar, E.R.; Rashad, A.M.; Saad, W.; Seddek, L.F. Magneto-Hybrid Nanofluids Flow via Mixed Convection past a Radiative Circular Cylinder. Sci. Rep. 2020, 10, 10494. [Google Scholar] [CrossRef]
- Mabood, F.; Ashwinkumar, G.P.; Sandeep, N. Effect of nonlinear radiation on 3D unsteady MHD stagnancy flow of Fe3O4/ graphene–water hybrid nanofluid. Int. J. Ambient. Energy 2020. [CrossRef]
- Tlili, I.; Nabwey, H.A.; Samrat, N.; Sandeep, N. 3D MHD nonlinear radiative flow of CuO-MgO/methanol hybrid nanofluid beyond an irregular dimension surface with slip effect. Sci. Rep. 2020, 10, 9181. [Google Scholar] [CrossRef]
- Taghreed, H.; Alarabi, A.M.; Rashad, A. Homogeneous–heterogeneous chemical reactions of radiation hybrid nanofluid flow on a cylinder with joule heating: Nanoparticles shape impact. Coatings 2021, 11, 1490. [Google Scholar]
- Casson, N. A Flow Equation for Pigment-Oil Suspensions of the Printing Ink Type, Rheology of Disperse Systems; Pergamon Press: London, UK, 1959. [Google Scholar]
- Ahmad, S.; Nadeem, S. Cattaneo-Christov-based study of SWCNT–MWCNT/EG Casson hybrid nanofluid flow past a lubricated surface with entropy generation. Appl. Nanosci. 2020, 10, 5449–5458. [Google Scholar] [CrossRef]
- Kumar, R.N.; Gowda, R.J.P.; Gireesha, B.J.; Prasannakumara, B.C. Non-Newtonian hybrid nanofluid flow over vertically upward/downward moving rotating disk in a Darcy-Forchheimer porous medium. Eur. Phys. J. Spec. Top. 2021, 230, 1227–1237. [Google Scholar] [CrossRef]
- Essam, R.; El-Zahar, A.R.; Mahdy, A.E.N.; Rashad, A.M.; Saad, W.; Seddek, L.F. Unsteady MHD Mixed Convection Flow of Non-Newtonian Casson Hybrid Nanofluid in the Stagnation Zone of Sphere Spinning Impulsively. Fluids 2021, 6, 197. [Google Scholar]
- Chalavadi, S.; Madde, P.; Naramgari, S.; Poojari, A.G. Effect of variable heat generation/absorption on magneto-hydrodynamic Sakiadis flow of Casson/Carreau hybrid nanoliquid due to a persistently moving needle. Heat Transf. 2021, 50, 8354. [Google Scholar] [CrossRef]
- Krishna, M.V.; Ahammad, N.A.; Chamkha, A.J. Radiative MHD flow of Casson hybrid nanofluid over an infinite exponentially accelerated vertical porous surface. Case Stud. Therm. Eng. 2021, 27, 101229. [Google Scholar] [CrossRef]
- Madhukesh, J.K.; Alhadhrami, A.; Kumar, R.N.; Gowda, R.J.P.; Prasannakumara, B.C.; Kumar, R.S.V. Physical insights into the heat and mass transfer in Casson hybrid nanofluid flow induced by a Riga plate with thermophoretic particle deposition. Proc. Inst. Mech. Eng. Part E J. Process Mech. Eng. 2021, 095440892110393. [Google Scholar] [CrossRef]
- El-Zahar, E.R.; Rashad, A.M.; Gelany, A.M. Studying High Suction Effect on Boundary-Layer Flow of a Nanofluid on Permeable Surface via Singular Perturbation Technique. J. Comput. Theor. Nanosci. 2015, 12, 4828–4836. [Google Scholar] [CrossRef]
- El-Zahar, E.R. Applications of Adaptive Multi step Differential Transform Method to Singular Perturbation Problems Arising in Science and Engineering. Appl. Math. Inf. Sci. 2015, 9, 223–232. [Google Scholar] [CrossRef]
- El-Zahar, E.R.; Habib, H.M. Mathematical Modeling of Heat-Transfer for a Moving Sheet in a Moving Fluid. J. Appl. Fluid Mech. 2013, 6, 369–373. [Google Scholar]
- El-Zahar, E.R. Approximate analytical solutions of singularly perturbed fourth order boundary value problems using differential transform method. J. King Saud Univ. (Sci.) 2013, 25, 257–265. [Google Scholar] [CrossRef] [Green Version]
- El-Zahar, E.R.; El-Kabeir, S.M.M. A new method for solving singularly perturbed boundary value problems. Appl. Math. Inf. Sci. 2013, 7, 927–938. [Google Scholar] [CrossRef]
- Habib, H.M.; El-Zahar, E.R. Variable step size initial value algorithm for singular perturbation problems using locally exact integration. Appl. Math. Comput. 2008, 200, 330–340. [Google Scholar] [CrossRef]
- Habib, H.M.; El-Zahar, E.R. An algorithm for solving singular perturbation problems with mechanization. Appl. Math. Comput. 2007, 188, 286–302. [Google Scholar] [CrossRef]
- Bender, C.M.; Orszag, S.; Orszag, S.A. Advanced Mathematical Methods for Scientists and Engineers I: Asymptotic Methods and Perturbation Theory; Springer Science & Business Media: Berlin/Heidelberg, Germany, 1999; Volume 1. [Google Scholar]
- Vulanović, R. A uniform numerical method for quasilinear singular perturbation problems without turning points. Computing 1989, 41, 97–106. [Google Scholar] [CrossRef]
- Doolan, E.P.; Miller, J.J.H.; Schilders, W.H.A. Uniform Numerical Methods for Singular-Perturbation Problems: Error Estimates in the Maximum Norm for Linear Problems in One and Two Dimensions; World Scientific: Singapore, 1996. [Google Scholar]
- Fehlberg, E. Low-Order Classical Runge-Kutta Formulas with Stepsize Control and Their Application to Some Heat Transfer Problems; National Aeronautics and Space Administration: Washington, DC, USA, 1969; Volume 315. [Google Scholar]
- Richard, L.B.; Faires, J.D. Numerical Analysis, 8th ed.; Thomson Brooks/Cole: Belmont, CA, USA, 2005. [Google Scholar]
- Morrison, D.D.; Riley, J.D.; Zancanaro, J.F. Multiple shooting method for two-point boundary value problems. Commun. ACM 1962, 5, 613–614. [Google Scholar] [CrossRef]
- Al-Juaydi, H.S. On Approximate Solutions of Singular Perturbation Boundary Value Problems. Master’s Thesis, PSAU University, Al-Kharj, Saudi Arabia, 2022, unpublished. [Google Scholar]
- El-Kabeir, S.M.M.; Rashad, A.M.; Gorla, R.S.R. Heat transfer in a micropolar fluid flow past a permeable continuous moving surface. J. Appl. Math. Mech. 2011, 92, 360–370. [Google Scholar] [CrossRef]
Publisher’s Note: MDPI stays neutral with regard to jurisdictional claims in published maps and institutional affiliations. |
© 2022 by the authors. Licensee MDPI, Basel, Switzerland. This article is an open access article distributed under the terms and conditions of the Creative Commons Attribution (CC BY) license (https://creativecommons.org/licenses/by/4.0/).


















