Anisotropic Compact Stars in D → 4 Limit of Gauss–Bonnet Gravity
Abstract
1. Introduction
2. Compact Star in Gauss–Bonnet Theory
3. Junction Conditions
4. Physics of the Solution
4.1. Energy–Momentum Tensor
4.2. Causality
4.3. Energy Conditions
4.4. Mass–Radius Relation
4.5. Equation of State
5. Stability of the Model
5.1. The Tolman–Oppenheimer–Volkoff Equation
5.2. The Adiabatic Index
5.3. Stability in the Static State
6. Discussion and Conclusions
- i
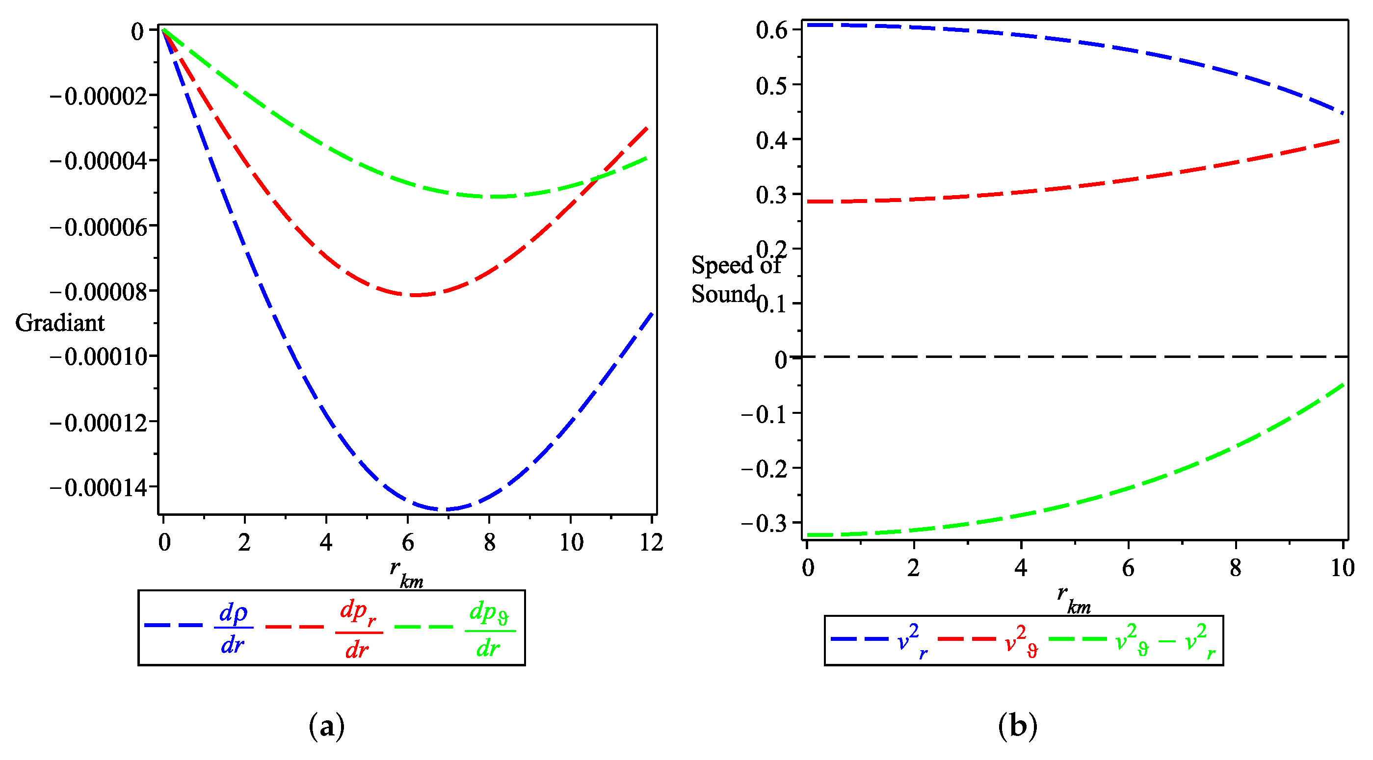
- A well-known behavior of the energy density and radial and tangential pressures at the center as well as at the surface of the star as shown in Figure 1a–c.
- ii
- iii
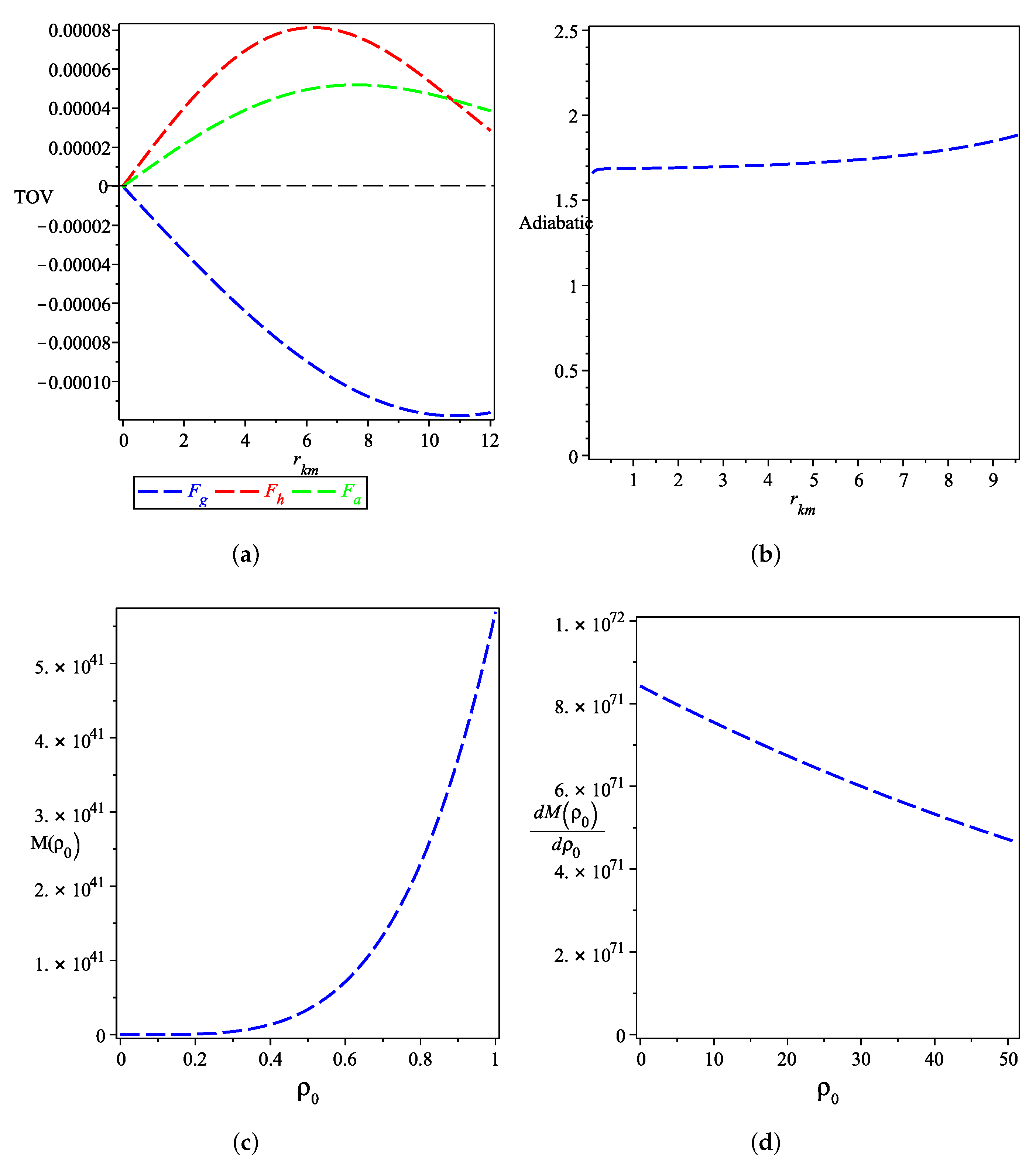
- In Figure 3 we showed that the energy conditions which must be satisfied for any realistic star are satisfied.
- iv
- Using different techniques, TOV, adiabatic index, and stability of the static state, we studied the stability of our model and we showed that it is stable as Figure 5a,b,d show. The results of this study can be applied to the observational data of various stars showing consistent results as shown in Table 1 and Table 2. For these objects, it is possible to calculate the density at the center and at the surface, the radial and tangential speed, at the center and the surface of the star, the SEC at the center and the surface of the star, and the redshift at the surface of the star. It is interesting to see that all the results of the different stars of our solution are compatible with observations. From the above discussions we can say that our results presented in this study are in agreement with that presented in [129] from the viewpoint of the structure of compact star.
Author Contributions
Funding
Institutional Review Board Statement
Informed Consent Statement
Data Availability Statement
Acknowledgments
Conflicts of Interest
Appendix A. Energy Density and Radial and Tangential Pressures
Appendix B. The Gradients of Energy Density and Radial and Transverse Pressures
Appendix C. Derivation of the Radial and Tangential Speeds of Sound
Appendix D. Derivation of the EoS’s
Appendix E. The Different Forces on the Model
Appendix F. The Form of the Mass in Terms of the Central Density at the Surface of the Star
References
- The LIGO Scientific Collaboration; Aasi, J.; Abbott, B.P.; Abbott, R.; Abbott, T.; Abernathy, M.R.; Ackley, K.; Adams, C.; Adams, T.; Addesso, P.; et al. Advanced ligo. Class. Quantum Gravity 2015, 32, 074001. [Google Scholar]
- Somiya, K. Detector configuration of KAGRA–the Japanese cryogenic gravitational-wave detector. Class. Quantum Gravity 2012, 29, 124007. [Google Scholar] [CrossRef]
- Aso, Y.; Michimura, Y.; Somiya, K.; Ando, M.; Miyakawa, O.; Sekiguchi, T.; Tatsumi, D.; Yamamoto, H. Interferometer design of the KAGRA gravitational wave detector. Phys. Rev. D 2013, 88, 043007. [Google Scholar] [CrossRef]
- Acernese, F.; Agathos, M.; Agatsuma, K.; Aisa, D.; Allemandou, N.; Allocca, A.; Amarni, J.; Astone, P.; Balestri, G.; Ballardin, G.; et al. Advanced Virgo: A second-generation interferometric gravitational wave detector. Class. Quantum Gravity 2014, 32, 024001. [Google Scholar] [CrossRef]
- Psaltis, D. Event Horizon Telescope. Phys. Rev. Lett. 2020, 125, 141104. [Google Scholar] [CrossRef] [PubMed]
- Raaijmakers, G.; Greif, S.K.; Riley, T.E.; Hinderer, T.; Hebeler, K.; Schwenk, A.; Watts, A.L.; Nissanke, S.; Guillot, S.; Lattimer, J.M.; et al. Constraining the dense matter equation of state with joint analysis of NICER and LIGO/Virgo measurements. Astrophys. J. Lett. 2020, 893, L21. [Google Scholar] [CrossRef]
- Astashenok, A.V.; Capozziello, S.; Odintsov, S.D. Further stable neutron star models from f (R) gravity. J. Cosmol. Astropart. Phys. 2013, 12, 040. [Google Scholar] [CrossRef]
- Astashenok, A.V.; Capozziello, S.; Odintsov, S.D. Maximal neutron star mass and the resolution of the hyperon puzzle in modified gravity. Phys. Rev. D 2014, 89, 103509. [Google Scholar] [CrossRef]
- Abbott, R.; Abbott, T.D.; Abraham, S.; Acernese, F.; Ackley, K.; Adams, C.; Adhikari, R.X.; Adya, V.B.; Affeldt, C.; Agathos, M.; et al. GW190814: Gravitational waves from the coalescence of a 23 solar mass black hole with a 2.6 solar mass compact object. Astrophys. J. Lett. 2020, 896, L44. [Google Scholar] [CrossRef]
- Huang, K.; Hu, J.; Zhang, Y.; Shen, H. The possibility of the secondary object in GW190814 as a neutron star. Astrophys. J. 2020, 904, 39. [Google Scholar] [CrossRef]
- Bombaci, I.; Drago, A.; Logoteta, D.; Pagliara, G.; Vidaña, I. Was GW190814 a black hole–Strange quark star system? Phys. Rev. Lett. 2021, 126, 162702. [Google Scholar] [CrossRef] [PubMed]
- Roupas, Z.; Panotopoulos, G.; Lopes, I. QCD color superconductivity in compact stars: Color-flavor locked quark star candidate for the gravitational-wave signal GW190814. Phys. Rev. D 2021, 103, 083015. [Google Scholar] [CrossRef]
- Zhou, X.; Li, A.; Li, B.-A. R-mode Stability of GW190814’s Secondary Component as a Supermassive and Superfast Pulsar. Astrophys. J. 2021, 910, 62. [Google Scholar] [CrossRef]
- Awad, A.; Nashed, G. Generalized teleparallel cosmology and initial singularity crossing. J. Cosmol. Astropart. Phys. 2017, 2017, 046. [Google Scholar] [CrossRef]
- Most, E.R.; Papenfort, L.J.; Weih, L.R.; Rezzolla, L. A lower bound on the maximum mass if the secondary in GW190814 was once a rapidly spinning neutron star. Mon. Not. R. Astron. Soc. Lett. 2020, 499, L82. [Google Scholar] [CrossRef]
- Nashed, G.G.L. Schwarzschild solution in extended teleparallel gravity. EPL Europhys. Lett. 2014, 105, 10001. [Google Scholar] [CrossRef]
- Nashed, G.G.L. Charged Axially Symmetric Solution, Energy and Angular Momentum in Tetrad Theory of Gravitation. Int. J. Mod. Phys. A 2006, 21, 3181. [Google Scholar] [CrossRef]
- Tan, H.; Noronha-Hostler, J.; Yunes, N. Neutron Star Equation of State in light of GW190814. Phys. Rev. Lett. 2020, 125, 261104. [Google Scholar] [CrossRef]
- Vattis, K.; Goldstein, I.S.; Koushiappas, S.M. Could the 2.6 M⊙ object in GW190814 be a primordial black hole? Phys. Rev. D 2020, 102, 061301. [Google Scholar] [CrossRef]
- Zhang, N.B.; Li, B.A. GW190814’s Secondary Component with Mass 2.50–2.67 M⊙ as a Superfast Pulsar. Astrophys. J. 2020, 902, 38. [Google Scholar] [CrossRef]
- Fattoyev, F.J.; Horowitz, C.J.; Piekarewicz, J.; Reed, B. GW190814: Impact of a 2.6 solar mass neutron star on nucleonic equations of state. Phys. Rev. C 2020, 102, 065805. [Google Scholar] [CrossRef]
- Shirafuji, T.; Nashed, G.G.L.; Kobayashi, Y. Equivalence principle in the new general relativity. Prog. Theor. Phys. 1996, 96, 933. [Google Scholar] [CrossRef][Green Version]
- Tsokaros, A.; Ruiz, M.; Shapiro, S.L. GW190814: Spin and equation of state of a neutron star companion. Astrophys. J. 2020, 905, 48. [Google Scholar] [CrossRef]
- Tews, I.; Pang, P.T.; Dietrich, T.; Coughlin, M.W.; Antier, S.; Bulla, M.; Heinzel, J.; Issa, L. On the nature of GW190814 and its impact on the understanding of supranuclear matter. Astrophys. J. Lett. 2021, 908, L1. [Google Scholar] [CrossRef]
- Dexheimer, V.; Gomes, R.O.; Klähn, T.; Han, S.; Salinas, M. GW190814 as a massive rapidly-rotating neutron star with exotic degrees of freedom. Phys. Rev. C 2021, 103, 025808. [Google Scholar] [CrossRef]
- Godzieba, D.A.; Radice, D.; Bernuzzi, S. On the maximum mass of neutron stars and GW190814. Astrophys. J. 2021, 908, 122. [Google Scholar] [CrossRef]
- Kanakis-Pegios, A.; Koliogiannis, P.S.; Moustakidis, C.C. Probing the Nuclear Equation of State from the Existence of a ~2.6 M⊙ Neutron Star: The GW190814 Puzzle. Symmetry 2021, 13, 183. [Google Scholar] [CrossRef]
- Nathanail, A.; Most, E.R.; Rezzolla, L. GW170817 and GW190814: Tension on the maximum mass. Astrophys. J. Lett. 2021, 908, L28. [Google Scholar] [CrossRef]
- Roupas, Z. Secondary component of gravitational-wave signal GW190814 as an anisotropic neutron star. Astrophys. Space Sci. 2021, 366, 9. [Google Scholar] [CrossRef]
- Biswas, B.; Nandi, R.; Char, P.; Bose, S.; Stergioulas, N. GW190814: On the properties of the secondary component of the binary. Mon. Not. R. Astron. Soc. 2021, 505, 1600–1606. [Google Scholar] [CrossRef]
- Nunes, R.C.; Coelho, J.G.; de Araujo, J.C. Weighing massive neutron star with screening gravity: A look on PSR J0740+6620 and GW190814 secondary component. Eur. Phys. J. C 2020, 80, 1115. [Google Scholar] [CrossRef]
- Astashenok, A.V.; Capozziello, S.; Odintsov, S.D.; Oikonomou, V.K. Extended gravity description for the GW190814 supermassive neutron star. Phys. Lett. B 2020, 811, 135910. [Google Scholar] [CrossRef]
- Astashenok, A.V.; Capozziello, S.; Odintsov, S.D.; Oikonomou, V.K. Causal limit of neutron star maximum mass in f (R) gravity in view of GW190814. Phys. Lett. B 2020, 816, 136222. [Google Scholar] [CrossRef]
- Mustafa, G.; Shamir, M.F.; Tie-Cheng, X. Physically viable solutions of anisotropic spheres in f(R,G) gravity satisfying the Karmarkar condition. Phys. Lett. B 2020, 101, 104013. [Google Scholar] [CrossRef]
- Nashed, G.G.L. Anisotropic compact stars in the mimetic gravitational theory. Astrophys. J. 2021, 919, 113. [Google Scholar] [CrossRef]
- Nashed, G.G.L.; Odintsov, S.D.; Oikonomou, V.K. Anisotropic compact stars in higher-order curvature theory. Eur. Phys. J. C 2021, 81, 528. [Google Scholar] [CrossRef]
- Nashed, G.G.L.; Capozziello, S. Anisotropic compact stars in f (R) gravity. Eur. Phys. J. C 2021, 81, 481. [Google Scholar] [CrossRef]
- Astashenok, A.V.; Capozziello, S.; Odintsov, S.D.; Oikonomou, V.K. Maximum Baryon Masses for Static Neutron Stars in f(R) Gravity. Europhys. Lett. 2021. [Google Scholar] [CrossRef]
- Astashenok, A.V.; Capozziello, S.; Odintsov, S.D.; Oikonomou, V.K. Novel stellar astrophysics from extended gravity. EPL Europhys. Lett. 2021, 134, 59001. [Google Scholar] [CrossRef]
- Nashed, G.G.L.; Abebe, A.; Bamba, K. Neutral physical compact spherically symmetric stars with non-exotic matters in Einstein’s cluster model using Weitzenböck. Eur. Phys. J. C 2020, 80, 1109. [Google Scholar] [CrossRef]
- Nashed, G.G.L.; Capozziello, S. Stable and self-consistent compact star models in teleparallel gravity. Eur. Phys. J. C 2020, 80, 969. [Google Scholar] [CrossRef]
- Övgün, A. Black hole with confining electric potential in scalar-tensor description of regularized 4-dimensional Einstein-Gauss-Bonnet gravity. Phys. Lett. B 2021, 820, 136517. [Google Scholar] [CrossRef]
- Abbott, B.P.; Abbott, R.; Abbott, T.D.; Acernese, F.; Ackley, K.; Adams, C.; Adams, T.; Addesso, P.; Adhikari, R.X.; Adya, V.B. GW170817: Observation of gravitational waves from a binary neutron star inspiral. Phys. Rev. Lett. 2017, 119, 161101. [Google Scholar] [CrossRef] [PubMed]
- Abbott, B.P.; Abbott, R.; Abbott, T.D.; Abraham, S.; Acernese, F.; Ackley, K.; Adams, C.; Adhikari, R.X.; Adya, V.B.; Affeldt, C. GW190425: Observation of a compact binary coalescence with total mass 3.4 M⊙. Astrophys. J. Lett. 2020, 892, L3. [Google Scholar] [CrossRef]
- Abbott, B.P.; Abbott, R.; Abbott, T.D.; Abraham, S.; Acernese, F.; Ackley, K.; Adams, C.; Adya, V.B.; Affeldt, C.; Agathos, M. Prospects for observing and localizing gravitational-wave transients with Advanced LIGO, Advanced Virgo and KAGRA. Living Rev. Rel. 2018, 23, 3. [Google Scholar] [CrossRef] [PubMed]
- Abbott, B.P.; Bloemen, S.; Canizares, P.; Falcke, H.; Fender, R.P.; Ghosh, S.; Groot, P.; Hinderer, T.; Hörandel, J.R.; Jonker, P.G. Multi-messenger observations of a binary neutron star merger. Astrophys. J. Lett. 2017, 848, L12. [Google Scholar] [CrossRef]
- Abbott, B.P.; Abbott, R.; Abbott, T.D.; Acernese, F.; Ackley, K.; Adams, C.; Adams, T.; Addesso, P.; Adhikari, R.X.; Adya, V.B. Gravitational Waves and Gamma-rays from a Binary Neutron Star Merger: GW170817 and GRB 170817A. Astrophys. J. Lett. 2017, 848, L13. [Google Scholar] [CrossRef]
- Goldstein, A.; Veres, P.; Burns, E.; Briggs, M.S.; Hamburg, R.; Kocevski, D.; Wilson-Hodge, C.A.; Preece, R.D.; Poolakkil, S.; Roberts, O.J. An Ordinary Short Gamma-Ray Burst with Extraordinary Implications: Fermi-GBM Detection of GRB 170817A. Astrophys. J. Lett. 2017, 848, L14. [Google Scholar] [CrossRef]
- Bauswein, A.; Just, O.; Janka, H.T.; Stergioulas, N. Neutron-star radius constraints from GW170817 and future detections. Astrophys. J. Lett. 2017, 850, L34. [Google Scholar] [CrossRef]
- Abbott, B.P.; Abbott, R.; Abbott, T.D.; Acernese, F.; Ackley, K.; Adams, C.; Adams, T.; Addesso, P.; Adhikari, R.X.; Adya, V.B. GW170817: Measurements of Neutron Star Radii and Equation of State. Phys. Rev. Lett. 2018, 121, 161101. [Google Scholar] [CrossRef]
- Capano, C.D.; Tews, I.; Brown, S.M.; Margalit, B.; De, S.; Kumar, S.; Brown, D.A.; Krishnan, B.; Reddy, S. Stringent constraints on neutron-star radii from multimessenger observations and nuclear theory. Nat. Astron. 2020, 4, 625–632. [Google Scholar] [CrossRef]
- Thapa, V.B.; Kumar, A.; Sinha, M. Baryonic dense matter in view of gravitational-wave observations. Mon. Not. R. Astron. Soc. 2021, 507, 2991–3004. [Google Scholar] [CrossRef]
- Dietrich, T.; Coughlin, M.W.; Pang, P.T.; Bulla, M.; Heinzel, J.; Issa, L.; Tews, I.; Antier, S. Multimessenger constraints on the neutron-star equation of state and the Hubble constant. Science 2020, 370, 1450–1453. [Google Scholar] [CrossRef] [PubMed]
- Breschi, M.; Perego, A.; Bernuzzi, S.; Del Pozzo, W.; Nedora, V.; Radice, D.; Vescovi, D. AT2017gfo: Bayesian inference and model selection of multicomponent kilonovae and constraints on the neutron star equation of state. Mon. Not. R. Astron. Soc. 2021, 505, 1661–1677. [Google Scholar] [CrossRef]
- Chatziioannou, K. Neutron-star tidal deformability and equation-of-state constraints. Gen. Rel. Grav. 2020, 52, 109. [Google Scholar] [CrossRef]
- Del Pozzo, W.; Li, T.G.; Agathos, M.; Van Den Broeck, C.; Vitale, S. Demonstrating the feasibility of probing the neutron-star equation of state with second-generation gravitational-wave detectors. Phys. Rev. Lett. 2013, 111, 071101. [Google Scholar] [CrossRef]
- Chatziioannou, K.; Yagi, K.; Klein, A.; Cornish, N.; Yunes, N. Probing the Internal Composition of Neutron Stars with Gravitational Waves. Phys. Rev. D 2015, 92, 104008. [Google Scholar] [CrossRef]
- Lackey, B.D.; Wade, L. Reconstructing the neutron-star equation of state with gravitational-wave detectors from a realistic population of inspiralling binary neutron stars. Phys. Rev. D 2015, 91, 043002. [Google Scholar] [CrossRef]
- Vivanco, F.H.; Smith, R.; Thrane, E.; Lasky, P.D.; Talbot, C.; Raymond, V. Measuring the neutron star equation of state with gravitational waves: The first forty binary neutron star merger observations. Phys. Rev. D 2019, 100, 103009. [Google Scholar] [CrossRef]
- Chatziioannou, K.; Han, S. Studying strong phase transitions in neutron stars with gravitational waves. Phys. Rev. D 2020, 101, 044019. [Google Scholar] [CrossRef]
- Abbott, B.P.; Abbott, R.; Abbott, T.D.; Acernese, F.; Ackley, K.; Adams, C.; Adams, T.; Addesso, P.; Adhikari, R.X.; Adya, V.B. Search for post-merger gravitational waves from the remnant of the binary neutron star merger GW170817. Astrophys. J. Lett. 2017, 851, L16. [Google Scholar] [CrossRef]
- Abbott, B.P.; Abbott, R.; Abbott, T.D.; Abernathy, M.R.; Ackley, K.; Adams, C.; Addesso, P.; Adhikari, R.X.; Adya, V.B.; Affeldt, C. Exploring the sensitivity of next generation gravitational wave detectors. Class. Quantum Gravity 2017, 34, 044001. [Google Scholar] [CrossRef]
- Maggiore, M.; Van Den Broeck, C.; Bartolo, N.; Belgacem, E.; Bertacca, D.; Bizouard, M.A.; Branchesi, M.; Clesse, S.; Foffa, S.; Garcia-Bellido, J.; et al. Science case for the Einstein telescope. J. Cosmol. Astropart. Phys. 2020, 3, 050. [Google Scholar] [CrossRef]
- Ganapathy, D.; McCuller, L.; Rollins, J.G.; Hall, E.D.; Barsotti, L.; Evans, M. Tuning Advanced LIGO to kilohertz signals from neutron-star collisions. Phys. Rev. D 2021, 103, 022002. [Google Scholar] [CrossRef]
- Page, M.A.; Goryachev, M.; Miao, H.; Chen, Y.; Ma, Y.; Mason, D.; Rossi, M.; Blair, C.D.; Ju, L.; Blair, D.G. Gravitational wave detectors with broadband high frequency sensitivity. Commun. Phys. 2021, 4, 1–8. [Google Scholar] [CrossRef]
- Rasio, F.A.; Shapiro, S.L. Hydrodynamical evolution of coalescing binary neutron stars. Astrophys. J. 1992, 401, 226–245. [Google Scholar] [CrossRef]
- Rasio, F.A.; Shapiro, S.L. Hydrodynamical evolution of coalescing binary neutron stars. Phys. Rev. Lett. 2005, 94, 201101. [Google Scholar] [CrossRef]
- Elizalde, E.; Nashed, G.G.L.; Nojiri, S.I.; Odintsov, S.D. Spherically symmetric black holes with electric and magnetic charge in extended gravity: Physical properties, causal structure, and stability analysis in Einstein’s and Jordan’s frames. Eur. Phys. J. C 2020, 80, 109. [Google Scholar] [CrossRef]
- Bauswein, A.; Janka, H.T. Measuring neutron-star properties via gravitational waves from neutron-star mergers. Phys. Rev. Lett. 2012, 108, 011101. [Google Scholar] [CrossRef]
- Clark, J.; Bauswein, A.; Cadonati, L.; Janka, H.T.; Pankow, C.; Stergioulas, N. Prospects For High Frequency Burst Searches Following Binary Neutron Star Coalescence With Advanced Gravitational Wave Detectors. Phys. Rev. D 2014, 90, 062004. [Google Scholar] [CrossRef]
- Rezzolla, L.; Takami, K. Gravitational-wave signal from binary neutron stars: A systematic analysis of the spectral properties. Phys. Rev. D 2016, 93, 124051. [Google Scholar] [CrossRef]
- Bauswein, A.; Stergioulas, N. Spectral classification of gravitational-wave emission and equation of state constraints in binary neutron star mergers. J. Phys. Nucl. Part. Phys. 2019, 46, 113002. [Google Scholar] [CrossRef]
- Breschi, M.; Bernuzzi, S.; Zappa, F.; Agathos, M.; Perego, A.; Radice, D.; Nagar, A. kiloHertz gravitational waves from binary neutron star remnants: Time-domain model and constraints on extreme matter. Phys. Rev. D 2019, 100, 104029. [Google Scholar] [CrossRef]
- Tsang, K.W.; Dietrich, T.; Van Den Broeck, C. Modeling the postmerger gravitational wave signal and extracting binary properties from future binary neutron star detections. Phys. Rev. D 2019, 100, 044047. [Google Scholar] [CrossRef]
- Vretinaris, S.; Stergioulas, N.; Bauswein, A. Empirical relations for gravitational-wave asteroseismology of binary neutron star mergers. Phys. Rev. D 2020, 101, 084039. [Google Scholar] [CrossRef]
- Easter, P.J.; Ghonge, S.; Lasky, P.D.; Casey, A.R.; Clark, J.A.; Vivanco, F.H.; Chatziioannou, K. Detection and parameter estimation of binary neutron star merger remnants. Phys. Rev. D 2020, 102, 043011. [Google Scholar] [CrossRef]
- Friedman, J.L.; Stergioulas, N. Astrophysical Implications of Neutron Star Inspiral and Coalescence. Int. J. Mod. Phys. D 2020, 29, 2041015. [Google Scholar] [CrossRef]
- Zwiebach, B. Curvature squared terms and string theories. Phys. Lett. B 1985, 156, 315–317. [Google Scholar] [CrossRef]
- Gross, D.J.; Sloan, J.H. The quartic effective action for the heterotic string. Nucl. Phys. B 1987, 291, 41–89. [Google Scholar] [CrossRef]
- Glavan, D.; Lin, C. Einstein-Gauss-Bonnet gravity in 4 dimensional space-time. Phys. Rev. Lett. 2020, 124, 081301. [Google Scholar] [CrossRef]
- Mann, R.B.; Ross, S.F. The D to 2 limit of general relativity. Class. Quantum Gravity 1993, 10, 1405. [Google Scholar] [CrossRef]
- Nojiri, S.I.; Odintsov, S.D. Novel cosmological and black hole solutions in Einstein and higher-derivative gravity in two dimensions. EPL (Europhys. Lett.) 2020, 130, 10004. [Google Scholar] [CrossRef]
- Torii, T.; Shinkai, H.A. N+1 formalism in Einstein-Gauss-Bonnet gravity. Phys. Rev. D 2008, 78, 084037. [Google Scholar] [CrossRef]
- Mardones, A.; Zanelli, J. Lovelock-Cartan theory of gravity. Class. Quantum Gravity 1991, 8, 1545. [Google Scholar] [CrossRef]
- Woodard, R.P. The theorem of Ostrogradsky. arXiv 2015, arXiv:1506.02210. [Google Scholar]
- Tomozawa, T. Quantum corrections to gravity. arXiv 2011, arXiv:1107.1424. [Google Scholar]
- Banerjee, A.; Tangphati, T.; Channuie, P. Strange quark stars in 4D Einstein–Gauss–Bonnet gravity. Astrophys. J. 2021, 909, 14. [Google Scholar] [CrossRef]
- Hennigar, R.A.; Kubizňák, D.; Mann, R.B.; Pollack, C. On taking the D→4 limit of Gauss-Bonnet gravity: Theory and solutions. J. High Energy Phys. 2020, 7, 27. [Google Scholar] [CrossRef]
- Casalino, A.; Colleaux, A.; Rinaldi, M.; Vicentini, S. Regularized Lovelock gravity. Phys. Dark Univ. 2021, 31, 100770. [Google Scholar] [CrossRef]
- Aoki, K.; Gorji, M.A.; Mukohyama, S. A consistent theory of D→4 Einstein-Gauss-Bonnet gravity. Phys. Lett. B 2020, 810, 135843. [Google Scholar] [CrossRef]
- Aoki, K.; Gorji, M.A.; Mizuno, S.; Mukohyama, S. Inflationary gravitational waves in consistent D→4 Einstein-Gauss-Bonnet gravity. J. Cosmol. Astropart. Phys. 2021, 1, 054. [Google Scholar] [CrossRef]
- Bonifacio, J.; Hinterbichler, K.; Johnson, L.A. Amplitudes and 4D Gauss-Bonnet Theory. Phys. Rev. D 2020, 102, 024029. [Google Scholar] [CrossRef]
- Ai, W.-Y. A note on the novel 4D Einstein-Gauss-Bonnet gravity. Commun. Theor. Phys. 2020, 72, 095402. [Google Scholar] [CrossRef]
- Mahapatra, S. A note on the total action of 4D Gauss–Bonnet theory. Eur. Phys. J. C 2020, 80, 992. [Google Scholar] [CrossRef]
- Gürses, M.; Gürses, T.C.; Tekin, B. Is there a novel Einstein-Gauss-Bonnet theory in four dimensions? Eur. Phys. J. C 2020, 80, 647. [Google Scholar] [CrossRef]
- Hohmann, M.; Pfeifer, C.; Voicu, N. Canonical variational completion and 4D Gauss–Bonnet gravity. Eur. Phys. J. Plus 2021, 136, 1. [Google Scholar]
- Ma, L.; Lu, H. Vacua and exact solutions in lower-D limits of EGB. Eur. Phys. J. C 2020, 80, 1209. [Google Scholar] [CrossRef]
- Lu, H.; Pang, Y. Horndeski gravity as D→4 limit of Gauss-Bonnet. Phys. Lett. B 2020, 809, 135717. [Google Scholar] [CrossRef]
- Fernandes, P.G.S.; Carrilho, P.; Clifton, T.; Mulryne, D.J. Derivation of regularized field equations for the Einstein-Gauss-Bonnet theory in four dimensions. Phys. Rev. D 2020, 102, 024025. [Google Scholar] [CrossRef]
- Banerjee, A.; Hansraj, S.; Moodly, L. Charged stars in 4D Einstein–Gauss–Bonnet gravity. Eur. Phys. J. C 2021, 81, 790. [Google Scholar] [CrossRef]
- Ghosh, S.G.; Kumar, R. Generating black holes in 4D Einstein–Gauss–Bonnet gravity. Class. Quantum Gravity 2020, 37, 245008. [Google Scholar] [CrossRef]
- Kumar, A.; Ghosh, S.G. Hayward black holes in the novel 4D Einstein-Gauss-Bonnet gravity. arXiv 2020, arXiv:2004.01131. [Google Scholar]
- Kumar, A.; Kumar, R. Bardeen black holes in the novel 4D Einstein-Gauss-Bonnet gravity. arXiv 2020, arXiv:2003.13104. [Google Scholar]
- Zhang, C.Y.; Zhang, S.J.; Li, P.C.; Guo, M. Superradiance and stability of the regularized 4D charged Einstein-Gauss-Bonnet black hole. J. High Energy Phys. 2020, 8, 105. [Google Scholar] [CrossRef]
- Mansoori, S.A.H. Thermodynamic geometry of the novel 4-D Gauss Bonnet AdS Black Hole. Phys. Dark Univ. 2021, 31, 100776. [Google Scholar] [CrossRef]
- Mishra, A.K. Quasinormal modes and Strong Cosmic Censorship in the regularised 4D Einstein-Gauss-Bonnet gravity. Gen. Relativ. Gravit. 2020, 52, 106. [Google Scholar] [CrossRef]
- Zhang, C.Y.; Li, P.C.; Guo, M. Greybody factor and power spectra of the Hawking radiation in the 4D Einstein–Gauss–Bonnet de-Sitter gravity. Eur. Phys. J. C 2020, 80, 874. [Google Scholar] [CrossRef]
- Zhang, Y.P.; Wei, S.W.; Liu, Y.X. Spinning Test Particle in Four-Dimensional Einstein–Gauss–Bonnet Black Holes. Universe 2020, 6, 103. [Google Scholar] [CrossRef]
- Jusufi, K.; Banerjee, A.; Ghosh, S.G. Wormholes in 4D Einstein–Gauss–Bonnet gravity. Eur. Phys. J. C 2020, 80, 698. [Google Scholar] [CrossRef]
- Panah, B.E.; Jafarzade, K.; Hendi, S.H. Charged 4D Einstein-Gauss-Bonnet-AdS black holes: Shadow, energy emission, deflection angle and heat engine. Nucl. Phys. B 2020, 961, 115269. [Google Scholar] [CrossRef]
- Antoniadis, J.; Freire, P.C.; Wex, N.; Tauris, T.M.; Lynch, R.S.; Van Kerkwijk, M.H.; Kramer, M.; Bassa, C.; Dhillon, V.S.; Driebe, T.; et al. A massive pulsar in a compact relativistic binary. Science 2013, 340, 1233232. [Google Scholar] [CrossRef] [PubMed]
- Bodmer, A. Collapsed Nuclei. Phys. Rev. D 1971, 4, 1601. [Google Scholar] [CrossRef]
- Witten, E. Cosmic separation of phases. Phys. Rev. D 1984, 30, 272. [Google Scholar] [CrossRef]
- Ghosh, S.G.; Maharaj, S.D. Radiating black holes in the novel 4D Einstein-Gauss-Bonnet gravity. Phys. Dark Univ. 2020, 30, 100687. [Google Scholar] [CrossRef]
- Herrera, L. Cracking of self-gravitating compact objects. Phys. Lett. A 2007, 188, 402. [Google Scholar] [CrossRef]
- Abreu, H.; Hernandez, H.; Nunez, L.A. Sound speeds, cracking and the stability of self-gravitating anisotropic compact objects. Class. Quantum Gravity 2007, 24, 4631. [Google Scholar] [CrossRef]
- Bamba, K.; Ilyas, M.; Bhatti, M.Z.; Yousaf, Z. Energy conditions in modified f (G) gravity. Gen. Relativ. Gravit. 2017, 49, 112. [Google Scholar] [CrossRef]
- Das, S.; Rahaman, F.; Baskey, L. A new class of compact stellar model compatible with observational data. Eur. Phys. J. C 2019, 79, 853. [Google Scholar] [CrossRef]
- Tolman, R.C. Static solutions of Einstein’s field equations for spheres of fluid. Phys. Rev. 1939, 55, 264. [Google Scholar] [CrossRef]
- Oppenheimer, J.R.; Volkoff, G.M. On Massive Neutron Cores. Phys. Rev. 1939, 55, 374. [Google Scholar] [CrossRef]
- Ponce de Leon, J. Limiting configurations allowed by the energy conditions. Gen. Relativ. Gravit. 1993, 25, 1123–1137. [Google Scholar] [CrossRef]
- Moustakidis, C.C. The stability of relativistic stars and the role of the adiabatic index. Gen. Relativ. Gravit. 2017, 49, 68. [Google Scholar] [CrossRef]
- Heintzmann, H.; Hillebrandt, W. Neutron stars with an anisotropic equation of state-mass, redshift and stability. Astron. Astrophys. 1975, 38, 51–55. [Google Scholar]
- Chan, R.; Herrera, L.; Santos, N.O. Dynamical instability for radiating anisotropic collapse. Mon. Not. R. Astron. Soc. 1993, 265, 533–544. [Google Scholar] [CrossRef]
- Harrison, B.K.; Thorne, K.S.; Wakano, M.; Wheeler, J.A. Gravitation Theory and Gravitational Collapse; University of Chicago Press: Chicago, IL, USA, 1965. [Google Scholar]
- Zeldovich, Y.B.; Novikov, I.D. Relativistic Astrophysics. Vol. 1: Stars and Relativity; University of Chicago Press: Chicago, IL, USA, 1971. [Google Scholar]
- Zeldovich, I.B.; Novikov, I.D. Relativistic Astrophysics. Vol. 2: The Structure and Evolution of the Universe; University of Chicago Press: Chicago, IL, USA, 1983. [Google Scholar]
- Özel, F.; Psaltis, D.; Güver, T.; Baym, G.; Heinke, C.; Guillot, S. The dense matter equation of state from neutron star radius and mass measurements. Astrophys. J. 2016, 820, 28. [Google Scholar] [CrossRef]
- Bhatti, M.Z.U.H.; Sharif, M.; Yousaf, Z.; Ilyas, M. Role of f(G,T) gravity on the evolution of relativistic stars. Int. J. Mod. Phys. D 2017, 27, 1850044. [Google Scholar] [CrossRef]





| Pulsar | Mass () | Radius (km) | ||
|---|---|---|---|---|
| 4U 1724-207 | ≈ | ≈ | ||
| 4U 1820-30 | ≈ | ≈ | ||
| SAX J1748.9-2021 | ≈ | ≈ | ||
| EXO 1745-268 | ≈ | ≈ | ||
| 4U 1608-52 | ≈ | ≈ | ||
| KS 1731-260 | ≈ | ≈ |
| Pulsar | |||||||||
|---|---|---|---|---|---|---|---|---|---|
| 4U 1724-207 | ≈0.71 | ≈ 0.32 | ≈ 0.68 | ≈0.57 | ≈ 0.28 | 0.43 | ≈0.42 | ≈0.41 | 0.014 |
| 4U 1820-30 | ≈0.65 | ≈ 0.3 | ≈0.36 | ≈0.26 | ≈0.21 | ≈0.15 | ≈0.58 | ≈0.28 | 0.012 |
| SAX J1748.9-2021 | ≈0.2 | ≈0.6 | ≈0.45 | ≈0.24 | ≈0.26 | ≈0.2 | ≈0.16 | ≈0.35 | ≈0.017 |
| EXO 1745-268 | ≈ 0.1 | ≈0.4 | ≈0.4 | ≈0.27 | ≈0.23 | ≈0.17 | ≈0.8 | ≈0.3 | ≈0.014 |
| 4U 1608-52 | ≈0.1 | ≈0.44 | ≈0.38 | ≈0.25 | ≈0.22 | ≈0.15 | ≈0.92 | ≈0.34 | ≈0.0148 |
| KS 1731-260 | ≈0.1 | ≈ 0.4 | ≈0.15 | ≈0.034 | ≈0.048 | ≈0 | ≈0.1 | ≈0.4 | ≈0.0147 |
Publisher’s Note: MDPI stays neutral with regard to jurisdictional claims in published maps and institutional affiliations. |
© 2022 by the authors. Licensee MDPI, Basel, Switzerland. This article is an open access article distributed under the terms and conditions of the Creative Commons Attribution (CC BY) license (https://creativecommons.org/licenses/by/4.0/).
Share and Cite
Nashed, G.G.L.; Odintsov, S.D.; Oikonomou, V.K. Anisotropic Compact Stars in D → 4 Limit of Gauss–Bonnet Gravity. Symmetry 2022, 14, 545. https://doi.org/10.3390/sym14030545
Nashed GGL, Odintsov SD, Oikonomou VK. Anisotropic Compact Stars in D → 4 Limit of Gauss–Bonnet Gravity. Symmetry. 2022; 14(3):545. https://doi.org/10.3390/sym14030545
Chicago/Turabian StyleNashed, Gamal G. L., Sergei D. Odintsov, and Vasillis K. Oikonomou. 2022. "Anisotropic Compact Stars in D → 4 Limit of Gauss–Bonnet Gravity" Symmetry 14, no. 3: 545. https://doi.org/10.3390/sym14030545
APA StyleNashed, G. G. L., Odintsov, S. D., & Oikonomou, V. K. (2022). Anisotropic Compact Stars in D → 4 Limit of Gauss–Bonnet Gravity. Symmetry, 14(3), 545. https://doi.org/10.3390/sym14030545

