The Interplay between Compact and Molecular Structures in Tetraquarks
Abstract
1. Introduction and Summary
2. Reduction to Contact-Type Interactions
2.1. Spectroscopic Properties of the Higher-Energy Theory
2.2. The Lower-Energy Effective Field Theory
3. Nonperturbative Properties of the Coupling Constant of the Low-Energy Theory
4. Scattering Length and Effective Range
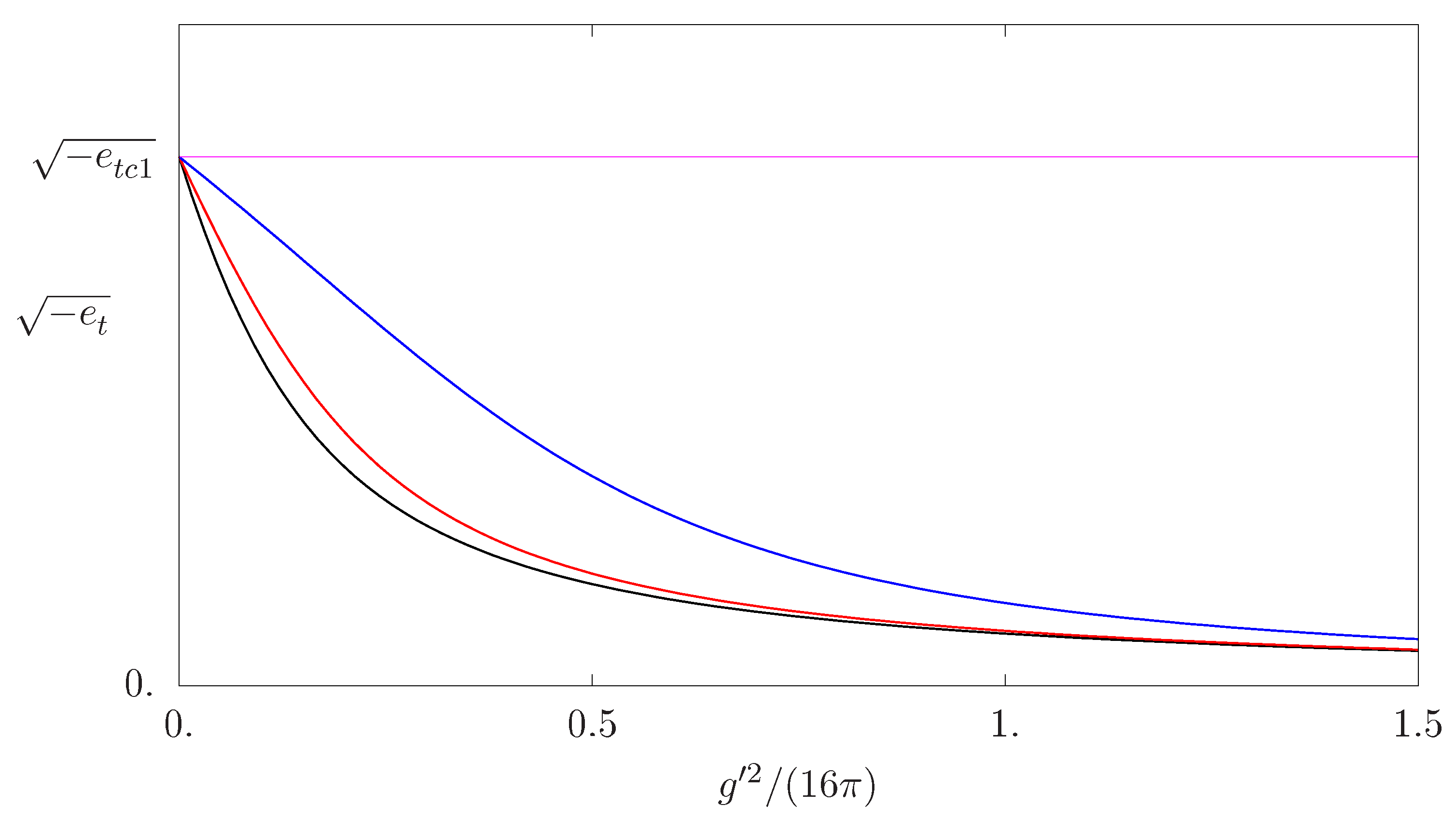
5. Compact Tetraquarks
5.1. Compositeness
5.2. Compact Bound States
5.3. Resonances
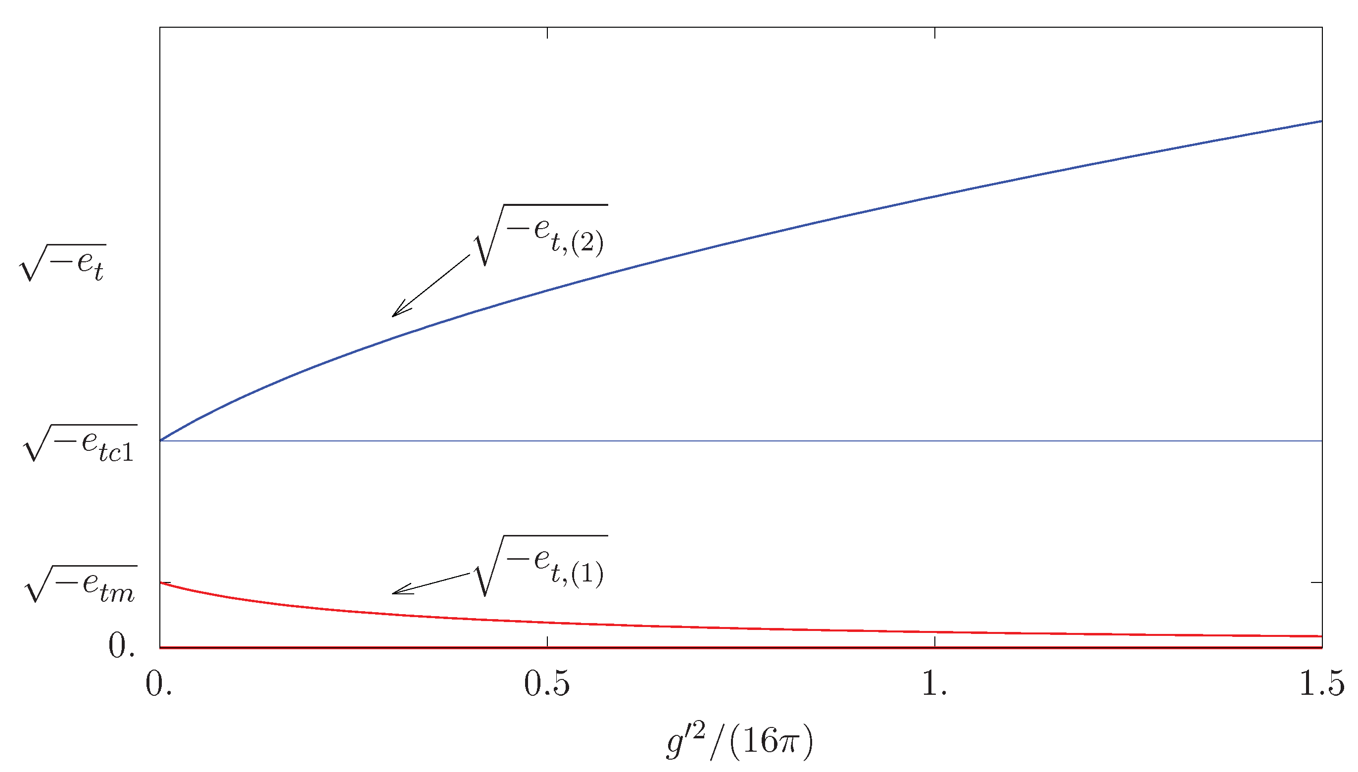
6. Presence of Meson-Meson Interactions
6.1. The Meson-Meson Scattering Amplitude
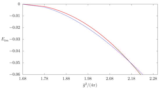
6.2. Bound States
6.3. Resonances
7. Large Analysis
8. Conclusions
Funding
Institutional Review Board Statement
Informed Consent Statement
Data Availability Statement
Acknowledgments
Conflicts of Interest
Abbreviations
| DOAJ | Directory of Open Access Journals |
| TLA | Three Letter Acronym |
| LD | Linear Dichroism |
| QCD | Quantum Chromodynamics |
Appendix A
References
- Choi, S.; Olsen, S.L.; Abe, K.; Abe, T.; Adachi, I.; Ahn, B.S.; Aihara, H.; Akai, K.; Akatsu, M.; Akemoto, M.; et al. Observation of a narrow charmonium-like state in exclusive B±→K±π+π−J/ψ decays. Phys. Rev. Lett. 2003, 91, 262001. [Google Scholar] [CrossRef] [PubMed]
- Aubert, B.; Barate, R.; Boutigny, D.; Gaillard, J.-M.; Hicheur, A.; Karyotakis, Y.; Lees, J.P.; Robbe, P.; Tisserand, V.; Zghiche, A.; et al. Observation of a narrow meson decaying to π0 at a mass of 2.32 GeV/c2. Phys. Rev. Lett. 2003, 90, 242001. [Google Scholar] [CrossRef]
- Besson, D.; Anderson, S.; Frolov, V.V.; Gong, D.T.; Kubota, Y.; Li, S.Z.; Poling, R.; Smith, A.; Stepaniak, C.J.; Urheim, J.; et al. Observation of a narrow resonance of mass 2.46 GeV/c2 decaying to π0 and confirmation of the (2317) state. Phys. Rev. D 2003, 68, 032002. [Google Scholar] [CrossRef]
- Aubert, B.; Barate, R.; Boutigny, D.; Couderc, F.; Karyotakis, Y.; Lees, J.P.; Poireau, V.; Tisserand, V.; Zghiche, A.; Grauges, E.; et al. Observation of a broad structure in the π+π−J/ψ mass spectrum around 4.26 GeV/c2. Phys. Rev. Lett. 2005, 95, 142001. [Google Scholar] [CrossRef] [PubMed]
- Ablikim, M.; Achasov, M.N.; Albayrak, O.; Ambrose, D.J.; An, F.F.; An, Q.; Bai, J.Z.; Lou, X. Observation of a charged charmoniumlike structure in e+e−→π+π−J/ψ at s = 4.26 GeV. Phys. Rev. Lett. 2013, 110, 252001. [Google Scholar] [CrossRef] [PubMed]
- Liu, Z. Study of e+e−→π+π−J/ψ and observation of a charged charmoniumlike state at Belle. Phys. Rev. Lett. 2013, 110, 252002. [Google Scholar] [CrossRef]
- Ablikim, M.; Achasov, M.N.; Albayrak, O.; Ambrose, D.J.; An, F.F.; An, Q.; Bai, J.Z.; Ferroli, R.B.; Ban, Y.; Becker, J.; et al. Observation of a charged charmoniumlike structure Zc(4020) and search for the Zc(3900) in e+e−→π+π−hc. Phys. Rev. Lett. 2013, 111, 242001. [Google Scholar] [CrossRef]
- Aaij, R.; Adeva, B.; Adinolfi, M.; Affolder, A.; Ajaltouni, Z.; Albrecht, J.; Alessio, F.; Alexander, M.; Ali, S.; Alkhazov, G.; et al. Observation of the resonant character of the Z(4430)− state. Phys. Rev. Lett. 2014, 112, 222002. [Google Scholar] [CrossRef]
- Aaij, R.; Adeva, B.; Adinolfi, M.; Affolder, A.; Ajaltouni, Z.; Albrecht, J.; Alessio, F.; Alexander, M.; Ali, S.; Alkhazov, G.; et al. Observation of J/ψp resonances consistent with pentaquark states in →J/ψK−p decays. Phys. Rev. Lett. 2015, 115, 072001. [Google Scholar] [CrossRef]
- Aaij, R.; Adeva, B.; Adinolfi, M.; Affolder, A.; Ajaltouni, Z.; Albrecht, J.; Alessio, F.; Alexander, M.; Ali, S.; Alkhazov, G.; et al. Observation of structure in the J/ψ-pair mass spectrum. Sci. Bull. 2020, 65, 1983. [Google Scholar] [CrossRef]
- Aaij, R.; Adeva, B.; Adinolfi, M.; Affolder, A.; Ajaltouni, Z.; Albrecht, J.; Alessio, F.; Alexander, M.; Ali, S.; Alkhazov, G.; et al. Amplitude analysis of the B+→D+D−K+ decay. Phys. Rev. D 2020, 102, 112003. [Google Scholar] [CrossRef]
- Wu, L. Recent XYZ results at BESIII. Nucl. Part. Phys. Proc. 2021, 312–317, 15287. [Google Scholar] [CrossRef]
- Gell-Mann, M. A schematic model of baryons and mesons. Phys. Lett. 1964, 8, 214. [Google Scholar] [CrossRef]
- Zweig, G. An SU(3) model for strong interaction symmetry and its breaking. In Developments in the Quark Theory of Hadrons; Lichtenberg, D., Rosen, S.P., Eds.; Version 2; CERN: Geneva, Switzerland, 1964; Volume 1. [Google Scholar]
- Jaffe, R.L. Multi-quark hadrons. 1. The phenomenology of Q2 mesons. Phys. Rev. D 1977, 15, 267. [Google Scholar] [CrossRef]
- Jaffe, R.L. Two types of hadrons. Nucl. Phys. A 2008, 804, 25. [Google Scholar] [CrossRef]
- Chen, H.X.; Chen, W.; Liu, X.; Zhu, S.L. The hidden-charm pentaquark and tetraquark states. Phys. Rep. 2016, 639, 1–121. [Google Scholar] [CrossRef]
- Hosaka, A.; Iijima, T.; Miyabayashi, K.; Sakai, Y.; Yasui, S. Exotic hadrons with heavy flavors: X, Y, Z, and related states. Prog. Theor. Exp. Phys. 2016, 2016, 062C01. [Google Scholar] [CrossRef]
- Lebed, R.F.; Mitchell, R.E.; Swanson, E.S. Heavy-quark QCD exotica. Prog. Part. Nucl. Phys. 2017, 93, 143. [Google Scholar] [CrossRef]
- Esposito, A.; Pilloni, A.; Polosa, A.D. Multiquark resonances. Phys. Rep. 2017, 668, 1–97. [Google Scholar] [CrossRef]
- Ali, A.; Lange, J.S.; Stone, S. Exotics: Heavy pentaquarks and tetraquarks. Prog. Part. Nucl. Phys. 2017, 97, 123. [Google Scholar] [CrossRef]
- Guo, F.K.; Hanhart, C.; Meissner, U.G.; Wang, Q.; Zhao, Q.; Zou, B.S. Hadronic molecules. Rev. Mod. Phys. 2018, 90, 015004. [Google Scholar] [CrossRef]
- Olsen, S.L.; Skwarnicki, T.; Zieminska, D. Non-standard heavy mesons and baryons: Experimental evidence. Rev. Mod. Phys. 2018, 90, 015003. [Google Scholar] [CrossRef]
- Karliner, M.; Rosner, J.L.; Skwarnicki, T. Multiquark states. Ann. Rev. Nucl. Part. Sci. 2018, 68, 17. [Google Scholar] [CrossRef]
- Albuquerque, R.M.; Dias, J.M.; Khemchandani, K.; Martínez Torres, A.; Navarra, F.S.; Nielsen, M.; Zanetti, C.M. QCD sum rules approach to the X, Y and Z states. J. Phys. G 2019, 46, 093002. [Google Scholar] [CrossRef]
- Liu, Y.R.; Chen, H.X.; Chen, W.; Liu, X.; Zhu, S.L. Pentaquark and tetraquark states. Prog. Part. Nucl. Phys. 2019, 107, 237. [Google Scholar] [CrossRef]
- Ali, A.; Maiani, L.; Polosa, A.D. Multiquark Hadrons; Cambridge University Press: Cambridge, UK, 2019. [Google Scholar] [CrossRef]
- Brambilla, N.; Eidelman, S.; Hanhart, C.; Nefediev, A.; Shen, C.P.; Thomas, C.E.; Vairo, A.; Yuan, C.Z. The XYZ states: Experimental and theoretical status and perspectives. Phys. Rep. 2020, 873, 1–154. [Google Scholar] [CrossRef]
- Lucha, W.; Melikhov, D.; Sazdjian, H. Tetraquarks in large-Nc QCD. Prog. Part. Nucl. Phys. 2021, 120, 103867. [Google Scholar] [CrossRef]
- Voloshin, M.B.; Okun, L.B. Hadron molecules and charmonium atom. JETP Lett. 1976, 23, 333. [Google Scholar]
- De Rújula, A.; Georgi, H.; Glashow, S.L. Molecular charmonium: A new spectroscopy? Phys. Rev. Lett. 1977, 38, 317. [Google Scholar] [CrossRef]
- Jaffe, R.; Wilczek, F. Diquarks and exotic spectroscopy. Phys. Rev. Lett. 2003, 91, 232003. [Google Scholar] [CrossRef]
- Shuryak, E.; Zahed, I. A schematic model for pentaquarks using diquarks. Phys. Lett. B 2004, 589, 21. [Google Scholar] [CrossRef][Green Version]
- Maiani, L.; Piccinini, F.; Polosa, A.D.; Riquer, V. Diquark-antidiquarks with hidden or open charm and the nature of X(3872). Phys. Rev. D 2005, 71, 014028. [Google Scholar] [CrossRef]
- Maiani, L.; Riquer, V.; Piccinini, F.; Polosa, A.D. Four quark interpretation of Y(4260). Phys. Rev. D 2005, 72, 031502. [Google Scholar] [CrossRef]
- Weinberg, S. Evidence that the deuteron is not an elementary particle. Phys. Rev. 1965, 137, B672. [Google Scholar] [CrossRef]
- Törnqvist, N.A. From the deuteron to deusons, an analysis of deuteronlike meson-meson bound states. Z. Phys. C 1994, 61, 525. [Google Scholar] [CrossRef]
- Weinberg, S. Phenomenological Lagrangians. Physica 1979, 96, 327. [Google Scholar] [CrossRef]
- Gasser, J.; Leutwyler, H. Chiral perturbation theory to one loop. Ann. Phys. 1984, 158, 142. [Google Scholar] [CrossRef]
- Manohar, A.V. Effective field theories. Lect. Notes Phys. 1997, 479, 311. [Google Scholar] [CrossRef]
- Georgi, H. An effective field theory for heavy quarks at low energies. Phys. Lett. B 1990, 240, 447. [Google Scholar] [CrossRef]
- Neubert, M. Heavy quark symmetry. Phys. Rep. 1994, 245, 259. [Google Scholar] [CrossRef]
- Casalbuoni, R.; Deandrea, A.; Di Bartolomeo, N.; Gatto, R.; Feruglio, F.; Nardulli, G. Phenomenology of heavy meson chiral Lagrangians. Phys. Rep. 1997, 281, 145. [Google Scholar] [CrossRef]
- Caswell, W.E.; Lepage, G.P. Effective Lagrangians for bound state problems in QED, QCD, and other field theories. Phys. Lett. B 1986, 167, 437. [Google Scholar] [CrossRef]
- Brambilla, N.; Pineda, A.; Soto, J.; Vairo, A. Effective field theories for heavy quarkonium. Rev. Mod. Phys. 2005, 77, 1423. [Google Scholar] [CrossRef]
- Lucha, W.; Melikhov, D.; Sazdjian, H. Cluster reducibility of multiquark operators. Phys. Rev. D 2019, 100, 094017. [Google Scholar] [CrossRef]
- Dosch, H.G. Multi-quark interactions in strong coupling expansion of lattice gauge theories. Phys. Rev. D 1983, 28, 412. [Google Scholar] [CrossRef]
- Alexandrou, C.; Koutsou, G. The static tetraquark and pentaquark potentials. Phys. Rev. D 2005, 71, 014504. [Google Scholar] [CrossRef]
- Okiharu, F.; Suganuma, H.; Takahashi, T.T. First study for the pentaquark potential in SU(3) lattice QCD. Phys. Rev. Lett. 2005, 94, 192001. [Google Scholar] [CrossRef]
- Okiharu, F.; Suganuma, H.; Takahashi, T.T. Detailed analysis of the tetraquark potential and flip-flop in SU(3) lattice QCD. Phys. Rev. D 2005, 72, 014505. [Google Scholar] [CrossRef]
- Suganuma, H.; Iritani, T.; Okiharu, F.; Takahashi, T.T.; Yamamoto, A. Lattice QCD study for confinement in hadrons. AIP Conf. Proc. 2011, 1388, 195. [Google Scholar] [CrossRef]
- Cardoso, N.; Cardoso, M.; Bicudo, P. Colour fields computed in SU(3) lattice QCD for the static tetraquark system. Phys. Rev. D 2011, 84, 054508. [Google Scholar] [CrossRef]
- Bicudo, P.; Cardoso, M.; Oliveira, O.; Silva, P.J. Lattice QCD static potentials of the meson-meson and tetraquark systems computed with both quenched and full QCD. Phys. Rev. D 2017, 96, 074508. [Google Scholar] [CrossRef]
- Manohar, A.V.; Wise, M.B. Exotic QQ states in QCD. Nucl. Phys. B 1993, 399, 17. [Google Scholar] [CrossRef]
- Miyazawa, H. Reconnection of strings and quark matter. Phys. Rev. D 1979, 20, 2953. [Google Scholar] [CrossRef]
- Lenz, F.; Londergan, J.T.; Moniz, E.J.; Rosenfelder, R.; Stingl, M.; Yazaki, K. Quark confinement and hadronic interactions. Ann. Phys. 1986, 170, 65. [Google Scholar] [CrossRef]
- Oka, M. Hadron-hadron interaction in a string-flip model of quark confinement. I. Meson-meson interaction. Phys. Rev. D 1985, 31, 2274. [Google Scholar] [CrossRef]
- Oka, M.; Horowitz, C. Hadron-hadron interaction in a string-flip model of quark confinement. II. Nucleon-nucleon interaction. Phys. Rev. D 1985, 31, 2773. [Google Scholar] [CrossRef] [PubMed]
- Carlson, J.; Pandharipande, V.R. Absence of exotic hadrons in flux tube-quark models. Phys. Rev. D 1991, 43, 1652. [Google Scholar] [CrossRef]
- Martens, G.; Greiner, C.; Leupold, S.; Mosel, U. Interactions of multi-quark states in the chromodielectric model. Phys. Rev. D 2006, 73, 096004. [Google Scholar] [CrossRef]
- Vijande, J.; Valcarce, A.; Richard, J.M. Stability of multiquarks in a simple string model. Phys. Rev. D 2007, 76, 114013. [Google Scholar] [CrossRef]
- Richard, J.M. Stability of the pentaquark in a naive string model. Phys. Rev. C 2010, 81, 015205. [Google Scholar] [CrossRef]
- Ay, C.; Richard, J.M.; Rubinstein, J.H. Stability of asymmetric tetraquarks in the minimal-path linear potential. Phys. Lett. B 2009, 674, 227. [Google Scholar] [CrossRef]
- Vijande, J.; Valcarce, A.; Richard, J.M. Stability of hexaquarks in the string limit of confinement. Phys. Rev. D 2012, 85, 014019. [Google Scholar] [CrossRef]
- Bicudo, P.; Cardoso, M. Decays of tetraquark resonances in a two-variable approximation to the triple flip-flop potential. Phys. Rev. D 2011, 83, 094010. [Google Scholar] [CrossRef]
- Bicudo, P.; Cardoso, M. Tetraquark bound states and resonances in a unitary microscopic quark model: A case study of bound states of two light quarks and two heavy antiquarks. Phys. Rev. D 2016, 94, 094032. [Google Scholar] [CrossRef]
- Bicudo, P.; Cichy, K.; Peters, A.; Wagner, M. BB interactions with static bottom quarks from lattice QCD. Phys. Rev. D 2016, 93, 034501. [Google Scholar] [CrossRef]
- Ebert, D.; Faustov, R.N.; Galkin, V.O.; Lucha, W. Masses of tetraquarks with two heavy quarks in the relativistic quark model. Phys. Rev. D 2007, 76, 114015. [Google Scholar] [CrossRef]
- Ebert, D.; Faustov, R.N.; Galkin, V.O. Masses of tetraquarks with open charm and bottom. Phys. Lett. B 2011, 696, 241. [Google Scholar] [CrossRef]
- Faustov, R.N.; Galkin, V.O.; Savchenko, E.M. Heavy tetraquarks in the relativistic quark model. Universe 2021, 7, 94. [Google Scholar] [CrossRef]
- Ali, A.; Maiani, L.; Borisov, A.V.; Ahmed, I.; Jamil Aslam, M.; Parkhomenko, A.Y.; Polosa, A.D.; Rehman, A. A new look at the Y tetraquarks and Ωc baryons in the diquark model. Eur. Phys. J. C 2018, 78, 29. [Google Scholar] [CrossRef]
- Ali, A.; Qin, Q.; Wang, W. Discovery potential of stable and near-threshold doubly heavy tetraquarks at the LHC. Phys. Lett. B 2018, 785, 605. [Google Scholar] [CrossRef]
- Lebed, R.F. Spectroscopy of exotic hadrons formed from dynamical diquarks. Phys. Rev. D 2017, 96, 116003. [Google Scholar] [CrossRef]
- Giron, J.F.; Lebed, R.F. Spectrum of the hidden-bottom and the hidden-charm-strange exotics in the dynamical diquark model. Phys. Rev. D 2020, 102, 014036. [Google Scholar] [CrossRef]
- Weinberg, S. Effective chiral Lagrangians for nucleon–pion interactions and nuclear forces. Nucl. Phys. B 1991, 363, 3. [Google Scholar] [CrossRef]
- Luke, M.E.; Manohar, A.V. Bound states and power counting in effective field theories. Phys. Rev. D 1997, 55, 4129. [Google Scholar] [CrossRef]
- Braaten, E.; Hammer, H.W. Universality in few-body systems with large scattering length. Phys. Rep. 2006, 428, 259. [Google Scholar] [CrossRef]
- Carbonell, J.; de Soto, F.; Karmanov, V.A. Three different approaches to the same interaction: The Yukawa model in nuclear physics. Few Body Syst. 2013, 54, 2255. [Google Scholar] [CrossRef][Green Version]
- Nussenzveig, H.M. The poles of the S-matrix of a rectangular potential well or a barrier. Nucl. Phys. 1959, 11, 499. [Google Scholar] [CrossRef]
- van Kolck, U. Effective field theory of short-range forces. Nucl. Phys. A 1999, 645, 273. [Google Scholar] [CrossRef]
- Lurié, D.; Macfarlane, A.J. Equivalence between four-fermion and Yukawa coupling, and the Z3 = 0 condition for composite bosons. Phys. Rev. 1964, 136, B816. [Google Scholar] [CrossRef]
- Love, S. A study of gauge properties of the Bethe–Salpeter equation for two-fermion electromagnetic bound state systems. Ann. Phys. 1978, 113, 153. [Google Scholar] [CrossRef]
- Bethe, H.A. Theory of the effective range in nuclear scattering. Phys. Rev. 1949, 76, 38. [Google Scholar] [CrossRef]
- Kang, X.W.; Guo, Z.H.; Oller, J.A. General considerations on the nature of Zb(10610) and Zb(10650) from their pole positions. Phys. Rev. D 2016, 94, 014012. [Google Scholar] [CrossRef]
- Peláez, J.R. From controversy to precision on the sigma meson: A review on the status of the non-ordinary f0(500) resonance. Phys. Rep. 2016, 658, 1–111. [Google Scholar] [CrossRef]
- Peláez, J.R.; Rodas, A.; de Elvira, J.R. Precision dispersive approaches versus unitarized chiral perturbation theory for the lightest scalar resonances σ/f0(500) and κ/(700). Eur. Phys. J. ST 2021, 230, 1539. [Google Scholar] [CrossRef]
- Weinstein, J.D.; Isgur, N. Do multi-quark hadrons exist? Phys. Rev. Lett. 1982, 48, 659. [Google Scholar] [CrossRef]
- Wang, F.; Wu, G.h.; Teng, L.j.; Goldman, J.T. Quark delocalization, color screening, and nuclear intermediate range attraction. Phys. Rev. Lett. 1992, 69, 2901. [Google Scholar] [CrossRef] [PubMed]
- Castillejo, L.; Dalitz, R.H.; Dyson, F.J. Low’s scattering equation for the charged and neutral scalar theories. Phys. Rev. 1956, 101, 453. [Google Scholar] [CrossRef]
- Lucha, W.; Melikhov, D.; Sazdjian, H. Narrow exotic tetraquark mesons in large-Nc QCD. Phys. Rev. D 2017, 96, 014022. [Google Scholar] [CrossRef]
- Lucha, W.; Melikhov, D.; Sazdjian, H. Tetraquark and two-meson states at large Nc. Eur. Phys. J. C 2017, 77, 866. [Google Scholar] [CrossRef]
- ’t Hooft, G. A planar diagram theory for strong interactions. Nucl. Phys. B 1974, 72, 461. [Google Scholar] [CrossRef]
- Witten, E. Baryons in the 1/N expansion. Nucl. Phys. B 1979, 160, 57. [Google Scholar] [CrossRef]
- Coleman, S. Aspects of Symmetry; Cambridge University Press: Cambridge, UK, 1985; Chapter 8. [Google Scholar] [CrossRef]
- Baru, V.; Haidenbauer, J.; Hanhart, C.; Kalashnikova, Y.; Kudryavtsev, A.E. Evidence that the a0(980) and f0(980) are not elementary particles. Phys. Lett. B 2004, 586, 53. [Google Scholar] [CrossRef]
- Cleven, M.; Guo, F.K.; Hanhart, C.; Meissner, U.G. Bound state nature of the exotic Zb states. Eur. Phys. J. A 2011, 47, 120. [Google Scholar] [CrossRef]
- Hanhart, C.; Kalashnikova, Y.S.; Nefediev, A.V. Interplay of quark and meson degrees of freedom in a near-threshold resonance: Multi-channel case. Eur. Phys. J. A 2011, 47, 101. [Google Scholar] [CrossRef]
- Hyodo, T.; Jido, D.; Hosaka, A. Compositeness of dynamically generated states in a chiral unitary approach. Phys. Rev. C 2012, 85, 015201. [Google Scholar] [CrossRef]
- Aceti, F.; Oset, E. Wave functions of composite hadron states and relationship to couplings of scattering amplitudes for general partial waves. Phys. Rev. D 2012, 86, 014012. [Google Scholar] [CrossRef]
- Sekihara, T.; Hyodo, T.; Jido, D. Comprehensive analysis of the wave function of a hadronic resonance and its compositeness. Prog. Theor. Exp. Phys. 2015, 2015, 063D04. [Google Scholar] [CrossRef]
- Guo, Z.H.; Oller, J.A. Probabilistic interpretation of compositeness relation for resonances. Phys. Rev. D 2016, 93, 096001. [Google Scholar] [CrossRef]
- Meissner, U.G.; Oller, J.A. Testing the χc1p composite nature of the Pc(4450). Phys. Lett. B 2015, 751, 59. [Google Scholar] [CrossRef]
- Oller, J.A. New results from a number operator interpretation of the compositeness of bound and resonant states. Anna. Phys. 2018, 396, 429. [Google Scholar] [CrossRef]
- Guo, Z.H.; Oller, J.A. Unified description of the hidden-charm tetraquark states Zcs(3985), Zc(3900), and X(4020). Phys. Rev. D 2021, 103, 054021. [Google Scholar] [CrossRef]
- Esposito, A.; Maiani, L.; Pilloni, A.; Polosa, A.D.; Riquer, V. From the Lineshape of the X(3872) to Its Structure. arXiv 2021, arXiv:2108.11413. [Google Scholar]
- Li, Y.; Guo, F.K.; Pang, J.Y.; Wu, J.J. Generalization of Weinberg’s Compositeness Relations. arXiv 2021, arXiv:2110.02766. [Google Scholar]
- Baru, V.; Dong, X.K.; Du, M.L.; Filin, A.; Guo, F.K.; Hanhart, C.; Nefediev, A.; Nieves, J.; Wang, Q. Effective Range Expansion for Narrow Near-Threshold Resonances. arXiv 2021, arXiv:2110.07484. [Google Scholar]
- Kinugawa, T.; Hyodo, T. Role of the Effective Range in the Weak-Binding Relation. arXiv 2021, arXiv:2112.00249. [Google Scholar]
- Song, J.; Dai, L.R.; Oset, E. How Much is the Compositeness of a Bound State Constrained by a and r0? The Role of the Interaction Range. arXiv 2022, arXiv:2201.04414. [Google Scholar]
- Oller, J.A.; Oset, E. N/D description of two meson amplitudes and chiral symmetry. Phys. Rev. D 1999, 60, 074023. [Google Scholar] [CrossRef]
- ’t Hooft, G. A two-dimensional model for mesons. Nucl. Phys. B 1974, 75, 461. [Google Scholar] [CrossRef]
- Callan, C.G., Jr.; Coote, N.; Gross, D.J. Two-dimensional Yang-Mills theory: A model of quark confinement. Phys. Rev. D 1976, 13, 1649. [Google Scholar] [CrossRef]
- Witten, E. The 1/N expansion in atomic and particle physics. NATO Sci. Ser. B 1980, 59, 403. [Google Scholar] [CrossRef]
- Weinberg, S. Tetraquark mesons in large-N quantum chromodynamics. Phys. Rev. Lett. 2013, 110, 261601. [Google Scholar] [CrossRef] [PubMed]
- Knecht, M.; Peris, S. Narrow tetraquarks at large N. Phys. Rev. D 2013, 88, 036016. [Google Scholar] [CrossRef]
- Cohen, T.D.; Lebed, R.F. Are there tetraquarks at large Nc in QCD(F)? Phys. Rev. D 2014, 90, 016001. [Google Scholar] [CrossRef]
- Maiani, L.; Polosa, A.D.; Riquer, V. Tetraquarks in the 1/N expansion and meson-meson resonances. J. High Energy Phys. 2016, 1606, 160. [Google Scholar] [CrossRef][Green Version]
- Maiani, L.; Polosa, A.D.; Riquer, V. Tetraquarks in the 1/N expansion: A new appraisal. Phys. Rev. D 2018, 98, 054023. [Google Scholar] [CrossRef]















| 0 | 1. | 5. | 30. | ∞ | |
|---|---|---|---|---|---|
| Z | 0.072 | 0.075 | 0.094 | 0.388 | 1. |
| 0 | 0.1 | 0.16 | 0.25 | 0.5 | 1. | 1.5 | ∞ | |
|---|---|---|---|---|---|---|---|---|
| Z | 0 | 0.029 | 0.030 | 0.027 | 0.018 | 0.008 | 0.005 | 0. |
| 0 | 0.1 | 0.25 | 0.5 | 1. | 1.5 | ∞ | |
|---|---|---|---|---|---|---|---|
| Z | 1. | 0.948 | 0.933 | 0.930 | 0.937 | 0.943 | 1. |
Publisher’s Note: MDPI stays neutral with regard to jurisdictional claims in published maps and institutional affiliations. |
© 2022 by the author. Licensee MDPI, Basel, Switzerland. This article is an open access article distributed under the terms and conditions of the Creative Commons Attribution (CC BY) license (https://creativecommons.org/licenses/by/4.0/).
Share and Cite
Sazdjian, H. The Interplay between Compact and Molecular Structures in Tetraquarks. Symmetry 2022, 14, 515. https://doi.org/10.3390/sym14030515
Sazdjian H. The Interplay between Compact and Molecular Structures in Tetraquarks. Symmetry. 2022; 14(3):515. https://doi.org/10.3390/sym14030515
Chicago/Turabian StyleSazdjian, Hagop. 2022. "The Interplay between Compact and Molecular Structures in Tetraquarks" Symmetry 14, no. 3: 515. https://doi.org/10.3390/sym14030515
APA StyleSazdjian, H. (2022). The Interplay between Compact and Molecular Structures in Tetraquarks. Symmetry, 14(3), 515. https://doi.org/10.3390/sym14030515

