Nuclear Potentials Relevant to the Symmetry Energy in Chiral Models
Abstract
1. Introduction
2. Brief Formalism
2.1. Models with Chiral Symmetry
2.2. Relativistic Impulse Approximation
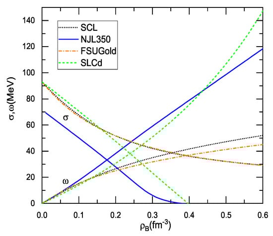
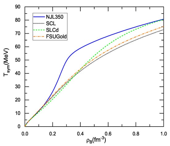
3. Results and Discussions
4. Summary
Author Contributions
Funding
Informed Consent Statement
Data Availability Statement
Acknowledgments
Conflicts of Interest
References
- Brockmann, R.; Machleidt, R. Reletivistic nuclear structure. I. Nuclear matter. Phys. Rev. C 1990, 42, 1965–1980. [Google Scholar] [CrossRef]
- Bardeen, J.; Cooper, L.N.; Schrieffer, J.R. Microscopic Theory of Superconductivity. Phys. Rev. 1957, 106, 162–164. [Google Scholar] [CrossRef]
- Schwinger, J. A theory of the fundamental interactions. Ann. Phys. (N. Y.) 1957, 2, 407–434. [Google Scholar] [CrossRef]
- Gell-Mann, M.; Lévy, M. The axial vector current in beta decay. Nuovo Cimento 1960, 16, 705–720. [Google Scholar] [CrossRef]
- Nambu, Y.; Jona-Lasinio, G. Dynamical Model of Elementary Particles Based on an Analogy with Superconductivity. I. Phys. Rev. 1961, 122, 345–348. [Google Scholar] [CrossRef]
- Weinberg, S. Phenomenological lagrangians. Phys. A 1979, 96, 327–340. [Google Scholar] [CrossRef]
- Schwinger, J. Gauge invariance and mass. Phys. Rev. 1962, 125, 397–398. [Google Scholar] [CrossRef]
- Anderson, P.W. Plasmons, Gauge Invariance, and Mass. Phys. Rev. 1963, 130, 439–442. [Google Scholar] [CrossRef]
- Boguta, J. A saturating chiral field theory of nuclear matter. Phys. Lett. B 1983, 120, 34–38. [Google Scholar] [CrossRef][Green Version]
- Heide, E.K.; Rudaz, S.; Ellis, P.J. An effective lagrangian with broken scale and chiral symmetry applied to nuclear matter and finite nuclei. Nucl. Phys. A 1994, 571, 713–732. [Google Scholar] [CrossRef]
- Furnstahl, R.J.; Serot, B.D.; Tang, H. A chiral effective lagrangian for nuclei. Nucl. Phys. A 1997, 615, 441–482. [Google Scholar] [CrossRef]
- Sahu, P.K.; Ohnishi, A. SU(2) Chiral Sigma Model and Properties of Neutron Stars. Prog. Theor. Phys. 2000, 104, 1163–1171. [Google Scholar] [CrossRef][Green Version]
- Mishustin, I. How far is normal nuclear matter from the chiral symmetry restoration? Phys. Rep. 2004, 391, 363–380. [Google Scholar] [CrossRef][Green Version]
- Buballa, M. NJL-model analysis of dense quark matter. Phys. Rep. 2005, 407, 205–376. [Google Scholar] [CrossRef]
- Zschiesche, D.; Tolos, L.; Schaffner-Bielich, J.; Pisarski, R.D. Cold, dense nuclear matter in a SU(2) parity doublet model. Phys. Rev. C 2007, 75, 055202. [Google Scholar] [CrossRef]
- Tsubakihara, K.; Ohnishi, A. A chiral symmetric relativistic mean field model with a logarithmic sigma potential. Prog. Theor. Phys. 2007, 117, 903–921. [Google Scholar] [CrossRef][Green Version]
- Jha, T.K.; Mishra, H. Constraints on nuclear matter parameters of an effective chiral model. Phys. Rev. C 2008, 78, 065802. [Google Scholar] [CrossRef]
- Hu, J.; Ogawa, Y.; Toki, H.; Hosaka, A. Variational multiparticle-multihole configuration mixing method applied to pairing correlations in nuclei. Phys. Rev. C 2009, 78, 024305. [Google Scholar] [CrossRef]
- Janowski, S.; Parganlija, D.; Giacosa, F.; Rischke, D.H. Glueball in a chiral linear sigma model with vector mesons. Phys. Rev. D 2011, 84, 054007. [Google Scholar] [CrossRef]
- Wei, S.N.; Jiang, W.Z.; Yang, R.Y.; Zhang, D.R. Symmetry energy and neutron star properties in the saturated Nambu-Jona-Lasinio model. Phys. Lett. B 2016, 763, 145–150. [Google Scholar] [CrossRef]
- Brown, G.E.; Rho, M. Matching the QCD and hadron sectors and medium-dependent meson masses; hadronization in relativistic heavy ion collisions. Phys. Rep. 2004, 398, 301–325. [Google Scholar] [CrossRef][Green Version]
- Song, C. Dense nuclear matter: Landau Fermi-liquid theory and chiral Lagrangian with scaling. Phys. Rep. 2001, 347, 289. [Google Scholar] [CrossRef]
- Jiang, W.Z.; Li, B.A.; Chen, L.W. Equation of state of isospin-asymmetric nuclear matter in relativistic mean-field models with chiral limits. Phys. Lett. B 2007, 653, 184–189. [Google Scholar] [CrossRef]
- Jiang, W.Z.; Li, B.A.; Chen, L.W. Neutron-skin thickness of finite nuclei in relativistic mean-field models with chiral limits. Phys. Rev. C 2007, 76, 054314. [Google Scholar] [CrossRef]
- Koch, V. Aspects of chiral symmetry. arXiv 1997, arXiv:nucl-th/9706075. [Google Scholar] [CrossRef]
- Adhikari, D.; Albataineh, H.; Androic, D.; Anio, K.; Armstrong, D.S.; Averett, T.; Barcus, S.; Bellini, V.; Beminiwattha, R.S.; Benesch, J.F.; et al. Accurate Determination of the Neutron Skin Thickness of 208Pb through Parity-Violation in Electron Scattering. Phys. Rev. Lett. 2021, 126, 172502. [Google Scholar] [CrossRef]
- Reed, B.T.; Fattoyev, F.J.; Horowitz, C.J.; Piekarewicz, J. Implications of PREX-2 on the Equation of State of Neutron-Rich Matter. Phys. Rev. Lett. 2021, 126, 172503. [Google Scholar] [CrossRef]
- Estee, J.; Lynch, W.G.; Tsang, C.Y.; Barney, J.; Jhang, G.; Tsang, M.B.; Wang, R.; Kaneko, M.; Lee, J.W.; Isobe, T.; et al. Probing the Symmetry Energy with the Spectral Pion Ratio. Phys. Rev. Lett. 2021, 126, 162701. [Google Scholar] [CrossRef]
- Li, B.A.; Han, X. Constraining the neutron proton effective mass splitting using empirical constraints on the density dependence of nuclear symmetry energy around normal density. Phys. Lett. B 2013, 727, 276–281. [Google Scholar] [CrossRef]
- Lattimer, J.M.; Lim, Y. Constraining the Symmetry Parameters of the Nuclear Interaction. Astrophys. J. 2013, 771, 51. [Google Scholar] [CrossRef]
- Lattimer, J.M.; Steiner, A.W. Constraints on the symmetry energy using the mass-radius relation of neutron stars. Eur. Phys. J. A 2014, 50, 40. [Google Scholar] [CrossRef]
- Hebeler, K.; Lattimer, J.M.; Pethick, C.J.; Schwenk, A. Equation of state and neutron star properties constrained by nuclear physics and observation. Astrophys. J. 2013, 773, 11–24. [Google Scholar] [CrossRef]
- Oertel, M.; Hempel, M.; Klähn, T.; Typel, S. Equations of state for supernovae and compact stars. Rev. Mod. Phys. 2017, 89, 015007. [Google Scholar] [CrossRef]
- Roca-Maza, X.; Viñas, X.; Centelles, M.; Agrawal, B.K.; Colὸ, G.; Paar, N.; Piekarewicz, J.; Vretenar, D. Neutron skin thickness from the measured electric dipole polarizability in 68Ni, 120Sn, and 208Pb. Phys. Rev. C 2015, 92, 064304. [Google Scholar] [CrossRef]
- McNeil, J.A.; Ray, L.; Wallace, S.J. Impulse approximation NN amplitudes for proton-nucleus interactions. Phys. Rev. C 1983, 27, 2123–2133. [Google Scholar] [CrossRef]
- McNeil, J.A.; Shepard, J.R.; Wallace, S.J. Impulse-Approximation Dirac Optical Potential. Phys. Rev. Lett. 1983, 50, 1439–1442. [Google Scholar] [CrossRef]
- Ray, L.; Hoffmann, G.W. Relativistic and nonrelativistic impulse approximation descriptions of 300–1000 MeV proton + nucleus elastic scattering. Phys. Rev. C 1985, 31, 538–560. [Google Scholar] [CrossRef]
- Auger, J.P.; Gillespie, J.; Lombard, R.J. Proton-4He elastic scattering at intermediate energies. Nucl. Phys. A 1976, 212, 372–388. [Google Scholar] [CrossRef]
- Klem, B.; Igo, G.; Talaga, R.; Wriekat, A.; Courant, H.; Einsweiler, K.; Joyce, T.; Kagan, H.; Makdisi, Y.; Marshak, M.; et al. Polarization in p-4He Elastic Scattering at 0.56, 0.80, 1.03, 1.27, and 1.73 GeV. Phys. Rev. Lett. 1977, 38, 1272–1275. [Google Scholar] [CrossRef]
- Chen, R.; Cai, B.J.; Chen, L.W.; Li, B.A.; Li, Z.H.; Xu, C. Single-nucleon potential decomposition of the nuclear symmetry energy. Phys. Rev. C 2012, 85, 024305. [Google Scholar] [CrossRef]
- Wang, R.; Chen, L.W.; Zhou, Y. Extended Skyrme interactions for transport model simulations of heavy-ion collisions. Phys. Rev. C 2018, 98, 054618. [Google Scholar] [CrossRef]
- Li, Z.H.; Chen, L.W.; Ko, C.M.; Li, B.A.; Ma, H.R. Nuclear symmetry potential in the relativistic impulse approximation. Phys. Rev. C 2006, 74, 044613. [Google Scholar] [CrossRef]
- Chen, L.W.; Ko, C.M.; Li, B.A. High-energy behavior of the nuclear symmetry potential in asymmetric nuclear matter. Phys. Rev. C 2005, 72, 064606. [Google Scholar] [CrossRef]
- Jiang, W.Z.; Li, B.A.; Chen, L.W. Mean free paths and in-medium scattering cross sections of energetic nucleons in neutron-rich nucleonic matter within the relativistic impulse approximation. Phys. Rev. C 2007, 76, 044604. [Google Scholar] [CrossRef]
- Wei, S.N.; Yang, R.Y.; Ye, J.; Li, N.; Jiang, W.Z. Symmetry potentials and in-medium nucleon-nucleon cross sections within the Nambu Jona Lasinio model in relativistic impulse approximation. Phys. Rev. C 2021, 103, 064604. [Google Scholar] [CrossRef]
- Pati, J.C.; Salam, A.; Strathdee, J. Are quarks composite? Phys. Lett. B 1975, 59, 265–268. [Google Scholar] [CrossRef]
- Huang, K. Quarks, Leptons, and Gauge Fields; World Scientific: London, UK, 1992; pp. 1–348. [Google Scholar]
- Coleman, S.; Witten, E. Chiral-Symmetry Breakdown in Large-N Chromodynamics. Phys. Rev. Lett. 1980, 45, 100–102. [Google Scholar] [CrossRef]
- Wei, S.N.; Yang, R.Y.; Jiang, W.Z. Crust-core properties of neutron stars in the Nambu Jona Lasinio model. Chin. Phys. C 2018, 42, 054103. [Google Scholar] [CrossRef]
- Shangguan, W.Z.; Huang, Z.Q.; Wei, S.N.; Jiang, W.Z. Neutron star deformability with hyperonization in density-dependent relativistic mean-field models. Phys. Rev. D 2021, 104, 063035. [Google Scholar] [CrossRef]
- Todd-Rutel, B.G.; Piekarewicz, J. Neutron-Rich Nuclei and Neutron Stars: A New Accurately Calibrated Interaction for the Study of Neutron-Rich Matter. Phys. Rev. Lett. 2005, 95, 122501. [Google Scholar] [CrossRef]
- Arndt, R.A.; Roper, L.D.; Bryan, R.A.; Clark, R.B.; VerWest, B.J.; Signell, P. Nucleon-nucleon partial-wave analysis to 1 GeV. Phys. Rev. D 1983, 28, 97–122. [Google Scholar] [CrossRef]
- Lane, A.M. Isobaric spin dependence of the optical potential and quasi-elastic (p, n) reactions. Nucl. Phys. 1962, 35, 676–685. [Google Scholar] [CrossRef]
- Jiang, W.Z. Rearrangement term with relativistic density-dependent hyperon potentials. Chin. Phys. C 2013, 37, 064101. [Google Scholar] [CrossRef]
- Jiang, W.Z.; Li, B.A.; Chen, L.W. Large-mass neutron stars with hyperonization. Astrophys. J. 2012, 756, 609–612. [Google Scholar] [CrossRef]
- Tsubakihara, K.; Maekawa, H.; Matsumiya, H.; Ohnishi, A. Lambda hypernuclei and neutron star matter in a chiral SU(3) relativistic mean field model with a logarithmic potential. Phys. Rev. C 2010, 81, 065206. [Google Scholar] [CrossRef]
- Xu, C.; Li, B.A.; Chen, L.W. Symmetry energy, its density slope, and neutron-proton effective mass splitting at normal density extracted from global nucleon optical potentials. Phys. Rev. C 2010, 82, 106–146. [Google Scholar] [CrossRef]
- Li, B.A.; Cai, B.J.; Chen, L.W.; Xu, J. Nucleon effective masses in neutron-rich matter. Prog. Part. Nucl. Phys. 2018, 99, 29–119. [Google Scholar] [CrossRef]





| Models | (MeV) | (fm) | (MeV) | L (MeV) | R (km) | |
|---|---|---|---|---|---|---|
| FSUGold | 230 | 0.145 | 32.59 | 60.5 | 1.72 | 10.86 |
| NJL350 | 262 | 0.160 | 37.70 | 88.3 | 2.85 | 13.05 |
| SCL | 279 | 0.145 | 34.76 | 97.5 | 1.92 | 11.53 |
| SLCd | 230 | 0.160 | 31.60 | 61.5 | 2.02 | 9.19 |
Publisher’s Note: MDPI stays neutral with regard to jurisdictional claims in published maps and institutional affiliations. |
© 2022 by the authors. Licensee MDPI, Basel, Switzerland. This article is an open access article distributed under the terms and conditions of the Creative Commons Attribution (CC BY) license (https://creativecommons.org/licenses/by/4.0/).
Share and Cite
Li, N.; Wei, S.-N.; Jiang, W.-Z. Nuclear Potentials Relevant to the Symmetry Energy in Chiral Models. Symmetry 2022, 14, 474. https://doi.org/10.3390/sym14030474
Li N, Wei S-N, Jiang W-Z. Nuclear Potentials Relevant to the Symmetry Energy in Chiral Models. Symmetry. 2022; 14(3):474. https://doi.org/10.3390/sym14030474
Chicago/Turabian StyleLi, Niu, Si-Na Wei, and Wei-Zhou Jiang. 2022. "Nuclear Potentials Relevant to the Symmetry Energy in Chiral Models" Symmetry 14, no. 3: 474. https://doi.org/10.3390/sym14030474
APA StyleLi, N., Wei, S.-N., & Jiang, W.-Z. (2022). Nuclear Potentials Relevant to the Symmetry Energy in Chiral Models. Symmetry, 14(3), 474. https://doi.org/10.3390/sym14030474

