Convective Heat Transfer of a Pseudoplastic Nanosuspension within a Chamber with Two Heated Wall Sections of Various Heat Fluxes
Abstract
1. Introduction
2. Formulation of the Problem
3. Numerical Technique
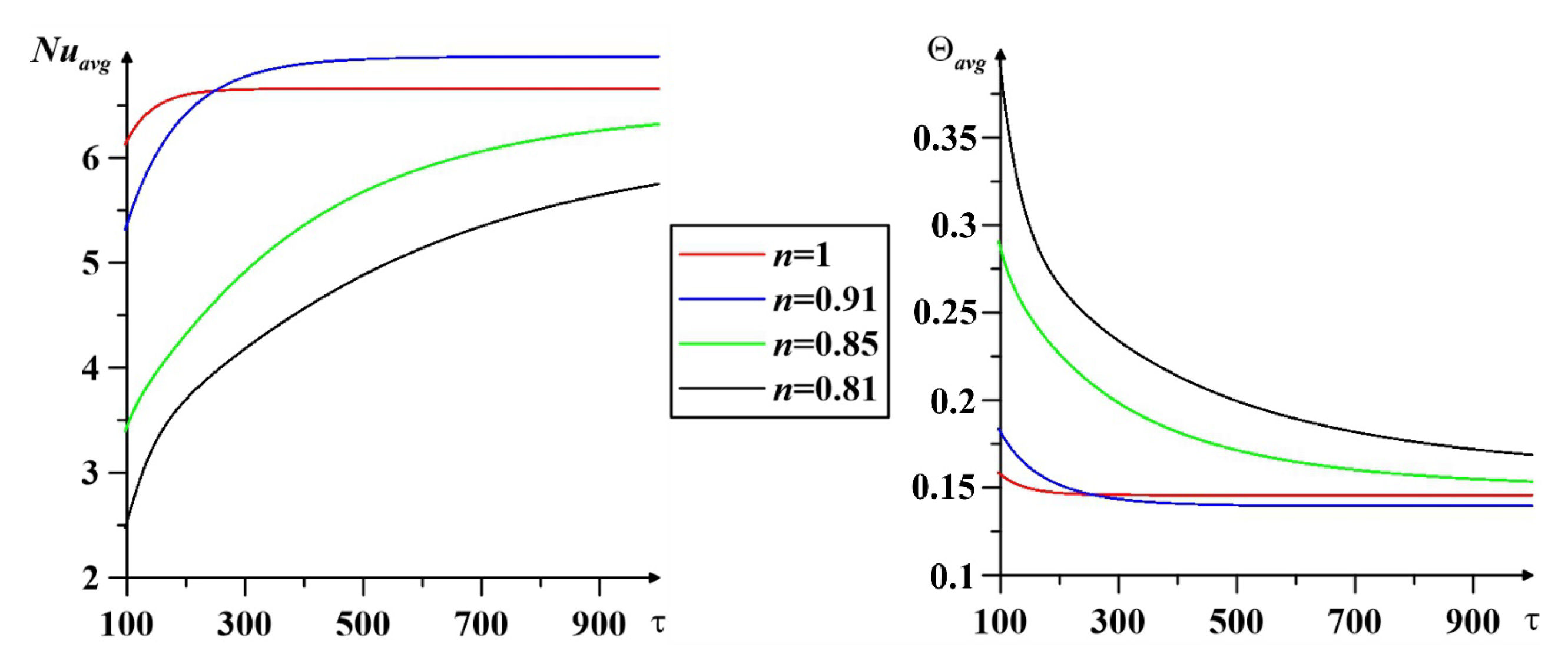
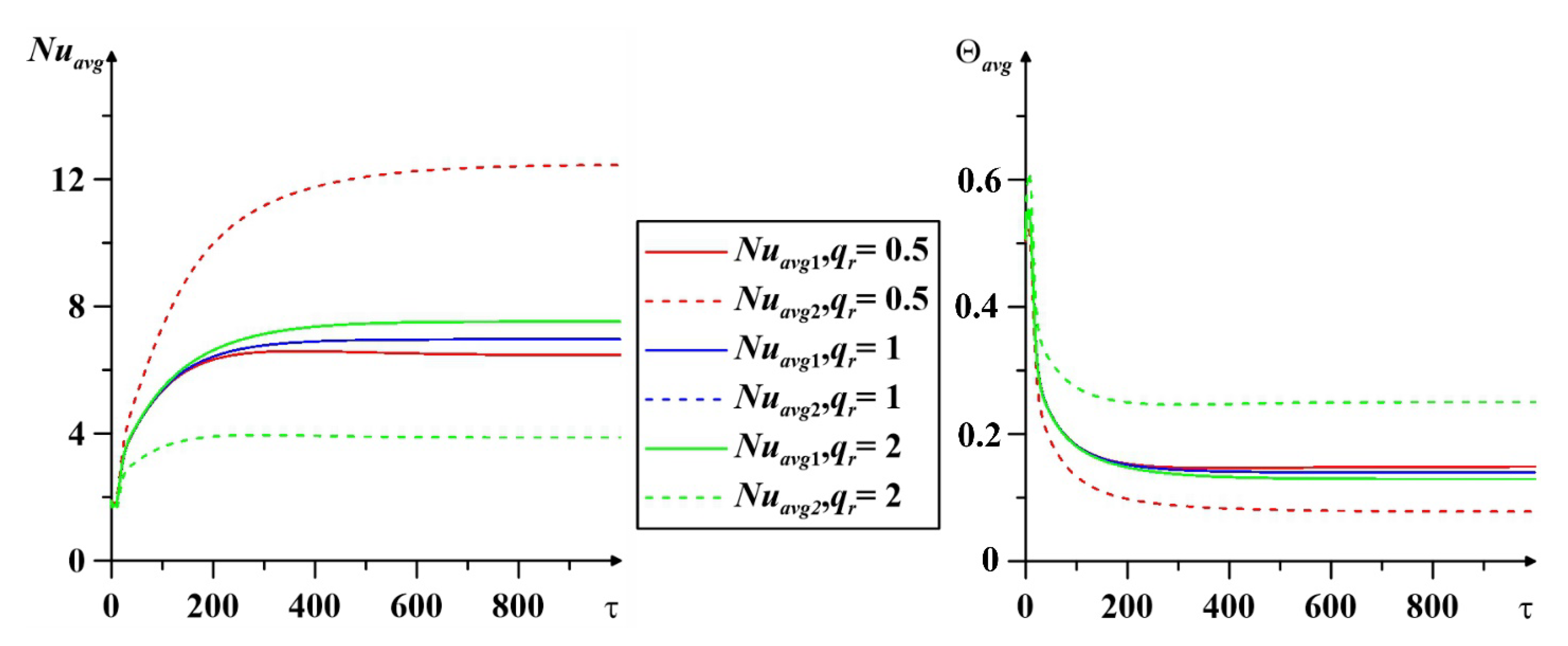
4. Results
5. Conclusions
Author Contributions
Funding
Data Availability Statement
Conflicts of Interest
Nomenclature
| Roman letters | |
| a | the beginning of the first local heater at X-axis |
| b | the end of the second local heater at X-axis |
| d | nanoparticles diameter, (nm) |
| cp | heat capacity, (J/K) |
| Dij | the components of the strain rate tensor |
| g | gravitational acceleration, (m·s−2) |
| H1, H2, H3 | secondary functions |
| K | consistency, (Nsn∙m−2) |
| L | length of the square cavity, (m) |
| non-dimensional viscosity of the base fluid | |
| n | power-law index |
| Nu | Nusselt number |
| p | pressure, (N·s−2) |
| Pr | Prandtl number |
| q1 | constant heat flux of the first source, (W·m−2) |
| q2 | constant heat flux of the second source, (W·m−2) |
| qr | relative heat flux |
| Ra | Rayleigh number |
| Re | Reynolds number |
| SΩ | source term |
| T | temperature, (K) |
| Tc | temperature of cold vertical walls, (K) |
| Tft | freezing point of base liquid, (K) |
| t | time, (s) |
| U, V | dimensionless velocity components in X, Y-direction, respectively |
| u, v | velocity components in x, y-direction, respectively, (m·s−1) |
| X, Y | dimensionless Cartesian coordinates |
| x, y | Cartesian coordinates, (m) |
| Greek symbols | |
| α | base fluid thermal diffusivity, (m2·s−1) |
| ρ | density, (kg·m−3) |
| ρc | volumetric heat capacity, (kg·J·K−1·m−3) |
| k | thermal conductivity, (W·m−1·K−1) |
| μ | effective viscosity coefficient, (Pa·s) |
| β | heat expansion factor, (K−1) |
| ΔT | temperature drop, (K) |
| Θ | dimensionaless temperature |
| effective kinematic viscosity, (m2·s−1) | |
| τ | dimensionless time |
| τij | components of the deviatoric part of the stress tensor |
| Ψ | dimensionless stream function |
| ψ | stream function, (m2·s−1) |
| Ω | dimensionless vorticity |
| ω | vorticity, (s−1) |
| ϕ | volume fraction of nanoparticles |
| Subscripts | |
| avg | average |
| bf | base fluid |
| nf | nanofluid |
| p | particles |
References
- Choi, S.U.S. Enhancing thermal conductivity of fluids with nanoparticles. In Developments and Applications of Non-Newtonian Flows; American Society of Mechanical Engineers: New York, NY, USA, 1995; Volume 66, pp. 99–105. [Google Scholar]
- Bianco, V.; Vafai, K.; Manca, O.; Nardini, S. Heat Transfer Enhancement with Nanofluids; CRC Press: Boca Raton, FL, USA, 2015. [Google Scholar]
- Sheikholeslami, M.; Jafaryar, M.; Said, Z.; Alsabery, A.I.; Babazadeh, H.; Shafee, A. Modification for helical tabulator to augment heat transfer behavior of nanomaterial via numerical approach. Appl. Therm. Eng. 2021, 182, 115935. [Google Scholar] [CrossRef]
- Sheikholeslami, M.; Farshad, S.A.; Shafee, A.; Babazadeh, H. Performance of solar collector with turbulator involving nanomaterial turbulent regime. Renew. Energy 2020, 163, 1222–12337. [Google Scholar] [CrossRef]
- Sheikholeslami, M.; Jafaryar, M.; Abohamzeh, E.; Shafee, A.; Babazadeh, H. Energy and entropy evaluation and two-phase simulation of nanoparticles within a solar unit with impose of new turbulator. Sustain. Energy Technol. Assess. 2020, 39, 100727. [Google Scholar] [CrossRef]
- Akhter, R.; Ali, M.M.; Alim, M.A. Entropy generation due to hydromagnetic buoyancy-driven hybrid-nanofluid flow in partially heated porous cavity containing heat conductive obstacle. Alex. Eng. J. 2023, 62, 17–45. [Google Scholar] [CrossRef]
- Ibrahim, M.; Berrouk, A.S.; Saeed, T.; Algehyne, E.A.; Ali, V. Lattice Boltzmann-based numerical analysis of nanofluid natural convection in an inclined cavity subject to multiphysics fields. Sci. Rep. 2022, 12, 5514. [Google Scholar] [CrossRef]
- Al-Farhany, K.; Al-Muhja, B.; Ali, F.; Khan, U.; Zaib, A.; Raizah, Z.; Galal, A.M. The baffle length effects on the natural convection in nanofluid-filled square enclosure with sinusoidal temperature. Molecules 2022, 27, 4445. [Google Scholar] [CrossRef]
- Al-Maliki, M.; Al-Farhany, K.; Sarris, I.E. Heat transfer in an inclined rectangular cavity filled with hybrid nanofluid attached to a vertical heated wall integrated with PCM: An experimental study. Symmetry 2022, 14, 2181. [Google Scholar] [CrossRef]
- Ghali, D.; Redouane, F.; Abdelhak, R.; Belhadj Mahammed, A.; Zineb, C.D.; Jamshed, W.; Eid, M.R.; Eldin, S.M.; Musa, A.; Mohd Nasir, N.A.A. Mathematical entropy analysis of natural convection of MWCNT–Fe3O4/water hybrid nanofluid with parallel magnetic field via Galerkin finite element process. Symmetry 2022, 14, 2312. [Google Scholar] [CrossRef]
- Redouane, F.; Jamshed, W.; Devi, S.S.U.; Prakash, M.; Nasir, N.A.A.M.; Hammouch, Z.; Eid, M.R.; Nisar, K.S.; Mahammed, A.B.; Abdel-Aty, A.-H.; et al. Heat flow saturate of Ag/MgO-water hybrid nanofluid in heated trigonal enclosure with rotate cylindrical cavity by using Galerkin finite element. Sci. Rep. 2022, 12, 2302. [Google Scholar] [CrossRef]
- Tabarhoseini, S.M.; Sheikholeslami, M. Entropy generation and thermal analysis of nanofluid flow inside the evacuated tube solar collector. Sci. Rep. 2022, 12, 1380. [Google Scholar] [CrossRef]
- Panda, R.C.; Panigrahi, L.; Sahoo, S.S.; Barik, A.K. Nanofluid effect in the vertical pipe with heat input concerning flat plate solar collector: An analytical analysis. JP J. Heat Mass Transf. 2022, 28, 71–84. [Google Scholar] [CrossRef]
- Rejeb, S.; Hassen, W.; Kolsi, L.; Estelle, P. Heat transfer by oil natural convection in an annular space under combined effects of carbon nanotubes and electric field. Int. Commun. Heat Mass Transf. 2022, 138, 106345. [Google Scholar] [CrossRef]
- Khan, I.; Alqahtani, A.M. MHD nanofluids in a permeable channel with porosity. Symmetry 2019, 11, 378. [Google Scholar] [CrossRef]
- Nabwey, H.A.; Rashad, A.M.; Khan, W.A.; Alshber, S.I. Effectiveness of magnetize flow on nanofluid via unsteady natural convection inside an inclined U-shaped cavity with discrete heating. Alex. Eng. J. 2022, 61, 8653–8666. [Google Scholar] [CrossRef]
- Asifa; Anwar, T.; Kumam, P.; Muhammad, S. Comparative study on heat transfer performance of γAl2O3−C2H6O2 and γAl2O3−H2O nanofluids via Prabhakar fractional derivative model for MHD channel flows. Case Stud. Therm. Eng. 2022, 38, 102319. [Google Scholar] [CrossRef]
- Algehyne, E.A.; Alrihieli, H.F.; Bilal, M.; Saeed, A.; Weera, W. Numerical approach toward ternary hybrid nanofluid flow using variable diffusion and non-Fourier’s concept. ACS Omega 2022, 7, 29380–29390. [Google Scholar] [CrossRef]
- Rahman, M.M.; Chamkha, A.J.; Elmasry, Y.; Ullah, I.; Pasha, A.A.; Sadeghi, M.S.; Galal, A.M. The heat transfer behavior of MHD micro-polar MWCNT-Fe3O4/water hybrid nanofluid in an inclined ⊥ shaped cavity with semi-circular heat source inside. Case Stud. Therm. Eng. 2022, 38, 102316. [Google Scholar] [CrossRef]
- Abderrahmane, A.; Al-Khaleel, M.; Mourad, A.; Laidoudi, H.; Driss, Z.; Younis, O.; Guedri, K.; Marzouki, R. Natural convection within inversed T-shaped enclosure filled by nano-enhanced phase change material: Numerical investigation. Nanomaterials 2022, 12, 2917. [Google Scholar] [CrossRef]
- Reddy, E.S.; Panda, S. Heat transfer of MHD natural convection Casson nanofluid flows in a wavy trapezoidal enclosure. Eur. Phys. J. Spec. Top. 2022, 231, 2733–2747. [Google Scholar] [CrossRef]
- Ganesh, N.V.; Al-Mdallal, Q.M.; Öztop, H.F.; Kalaivanan, R. Analysis of natural convection for a Casson-based multiwall carbon nanotube nanofluid in a partially heated wavy enclosure with a circular obstacle in the presence of thermal radiation. J. Adv. Res. 2022, 39, 167–185. [Google Scholar] [CrossRef]
- Hussain, S.; Alsedias, N.; Aly, A.M. Natural convection of a water-based suspension containing nano-encapsulated phase change material in a porous grooved cavity. J. Energy Storage 2022, 51, 104589. [Google Scholar] [CrossRef]
- Hussain, S.; Raizah, Z.; Aly, A.M. Thermal radiation impact on bioconvection flow of nano-enhanced phase change materials and oxytactic microorganisms inside a vertical wavy porous cavity. Int. Commun. Heat Mass Transf. 2022, 139, 106454. [Google Scholar] [CrossRef]
- Hussain, S.; Aly, A.M.; Alsedias, N. Bioconvection of oxytactic microorganisms with nano-encapsulated phase change materials in an omega-shaped porous enclosure. J. Energy Storage 2022, 56, 105872. [Google Scholar] [CrossRef]
- Hussain, S.; Aly, A.M.; Oztop, H.F. Magneto-bioconvection flow of hybrid nanofluid in the presence of oxytactic bacteria in a lid-driven cavity with a streamlined obstacle. Int. Commun. Heat Mass Transf. 2022, 134, 106029. [Google Scholar] [CrossRef]
- Maleki, H.; Safaei, M.R.; Alrashed, A.A.A.A.; Kasaeian, A. Flow and heat transfer in non-Newtonian nanofluids over porous surfaces. J. Therm. Anal. Calorim. 2019, 135, 1655–1666. [Google Scholar] [CrossRef]
- Khezzar, L.; Siginer, D.; Vinogradov, I. Natural convection of power law fluids in inclined cavities. Int. J. Therm. Sci. 2012, 53, 8–17. [Google Scholar] [CrossRef]
- Corcione, M. Empirical correlating equations for predicting the effective thermal conductivity and dynamic viscosity of nanofluids. Energy Convers. Manag. 2011, 52, 789–793. [Google Scholar] [CrossRef]
- Sheremet, M.A.; Grosan, T.; Pop, I. Free convection in a square cavity filled with a porous medium saturated by nanofluid using Tiwari and Das’ nanofluid model. Transp. Porous Media 2015, 106, 595–610. [Google Scholar] [CrossRef]
- Loenko, D.S.; Shenoy, A.; Sheremet, M.A. Thermogravitational convection of power-law nanofluid in a cavity with a heat-generated section on the bottom wall. Math. Methods Appl. Sci. 2021, 1–16. [Google Scholar] [CrossRef]
- Loenko, D.S.; Shenoy, A.; Sheremet, M.A. Effect of time-dependent wall temperature on natural convection of a non-Newtonian fluid in an enclosure. Int. J. Therm. Sci. 2021, 166, 106973. [Google Scholar] [CrossRef]
- Ali, F.H.; Hamzah, H.K.; Egab, K.; Arici, M.; Shahsavar, A. Non-Newtonian nanofluid natural convection in a U-shaped cavity under magnetic field. Int. J. Mech. Sci. 2020, 186, 105887. [Google Scholar] [CrossRef]
- Aboud, E.D.; Rashid, H.K.; Jassim, H.M.; Ahmed, S.Y.; Khafaji, S.O.W.; Hamzah, H.K.; Ali, F.H. MHD effect on mixed convection of annulus circular enclosure filled with Non-Newtonian nanofluid. Heliyon 2020, 6, e03773. [Google Scholar] [CrossRef] [PubMed]
- Turan, O.; Sachdeva, A.; Chakraborty, N.; Poole, R.J. Laminar natural convection of power-law fluids in a square enclosure with differentially heated side walls subjected to constant temperatures. J. Non-Newton. Fluid Mech. 2011, 166, 1049–1063. [Google Scholar] [CrossRef]










| Properties | cp, J·kg−1·K−1 | ρ, kg·m−3 | k, W·m−1·K−1 |
|---|---|---|---|
| CMC/water (0.0–0.3%) | 4179 | 997.1 | 0.613 |
| Cu | 385 | 8933 | 400 |
| Al2O3 | 765 | 3970 | 40 |
| CuO | 535.6 | 6500 | 20 |
| TiO2 | 686.2 | 4250 | 8.9538 |
| Properties | n | K/Nsn, M−2 | Pr |
|---|---|---|---|
| CMC/water (0.0%) | 1 | 0.000855 | 5.85 |
| CMC/water (0.1%) | 0.91 | 0.006319 | 26.8 |
| CMC/water (0.2%) | 0.85 | 0.017540 | 299.05 |
| CMC/water (0.3%) | 0.81 | 0.0313603 | 669.87 |
| Parameters | Formula |
|---|---|
| Velocity | |
| Time | |
| Stream function | |
| Vorticity | |
| Temperature |
Publisher’s Note: MDPI stays neutral with regard to jurisdictional claims in published maps and institutional affiliations. |
© 2022 by the authors. Licensee MDPI, Basel, Switzerland. This article is an open access article distributed under the terms and conditions of the Creative Commons Attribution (CC BY) license (https://creativecommons.org/licenses/by/4.0/).
Share and Cite
Loenko, D.S.; Sheremet, M.A. Convective Heat Transfer of a Pseudoplastic Nanosuspension within a Chamber with Two Heated Wall Sections of Various Heat Fluxes. Symmetry 2022, 14, 2688. https://doi.org/10.3390/sym14122688
Loenko DS, Sheremet MA. Convective Heat Transfer of a Pseudoplastic Nanosuspension within a Chamber with Two Heated Wall Sections of Various Heat Fluxes. Symmetry. 2022; 14(12):2688. https://doi.org/10.3390/sym14122688
Chicago/Turabian StyleLoenko, Darya S., and Mikhail A. Sheremet. 2022. "Convective Heat Transfer of a Pseudoplastic Nanosuspension within a Chamber with Two Heated Wall Sections of Various Heat Fluxes" Symmetry 14, no. 12: 2688. https://doi.org/10.3390/sym14122688
APA StyleLoenko, D. S., & Sheremet, M. A. (2022). Convective Heat Transfer of a Pseudoplastic Nanosuspension within a Chamber with Two Heated Wall Sections of Various Heat Fluxes. Symmetry, 14(12), 2688. https://doi.org/10.3390/sym14122688
