Abstract
A methodology to study the reinjection process in type V intermittency is introduced. The reinjection probability density function (RPD), and the probability density of the laminar lengths (RPDL) for type V intermittency are calculated. A family of maps with discontinuous and continuous RPD functions is analyzed. Several tests were performed, in which the proposed technique was compared with the classical theory of intermittency, the M function methodology, and numerical data. The analysis exposed that the new technique can accurately capture the numerical data. Therefore, the scheme presented herein is a useful tool to theoretically evaluate the statistical variables for type V intermittency.
1. Introduction
Dynamical systems model numerous phenomena, processes, and mechanisms, that can evolve into chaos using different routes. One of these routes is chaotic intermittency, where a dynamical system solution alternates chaotic bursts with laminar or regular phases. The regular phases correspond with pseudo-equilibrium regions or pseudo-periodic solutions, but at the bursts the evolution is chaotic [1,2,3,4].
Classic chaotic intermittency was grouped into three types, I, II and III, according to the periodic orbit stability loss evaluated by the Floquet multipliers, or to the fixed point loss of stability evaluated by the eigenvalues of the map. Subsequent papers introduced other types of intermittencies: on–off (in–out), V, X, eyelet, and ring [5,6,7,8,9,10].
We emphasize that a more complete understanding of chaotic intermittency could expand its application to various fields of study, due to previous experiences observed in physics, chemistry, medicine, and economics [11,12,13,14,15,16,17,18,19,20,21].
One-dimensional maps are widely utilized to analyze chaotic intermittency [1,2,3,4,22]. Maps with intermittency are characterized by a local map that determines the intermittency type, and a non-linear map that generates the reinjection process. The reinjection probability density function (RPD) is utilized to describe the reinjection process, and establishes the probability of the trajectories to be reinjected in the laminar interval [1,4]. Accordingly, the proper calculation of the RPD function is fundamental to accurately outline the chaotic intermittency phenomenon. There was no universal methodology to determine the RPD, and distinct methods were used of which the uniform reinjection mechanism (constant RPD function) was the most utilized [1,2,3,22]. However, a more extensive methodology to calculate the RPD function, the M function, has been developed over the last decade. It has accurately worked for different maps with types I, II, III, and V intermittencies [23,24,25,26,27].
Type V intermittency was previously described in the literature by [28,29,30], and occurs when a fixed point loses its stability via a collision with a non-differentiable point (NDP) forming a channel between the bisector line and the map. However, at this point, the local map is non-differentiable or discontinuous and there is no tangent bifurcation. More recent studies to calculate the RPD in type V intermittency are presented in Refs. [26,27]. Applications of type V intermittency can be found in neuronal activity studies [31,32,33]. For example, in the Hindmarsh–Rose model, there is an intermittent behavior between irregular bursting and laminar phases close to a period-3 bursting [32].
In this paper, we utilize the Perron–Frobenius operator to elaborate a methodology to compute the reinjection probability density function and the probability density of the laminar lengths (RPDL) for type V intermittency [34,35]. Hereafter, this methodology is referred to as the continuity technique. To validate the continuity technique in order to evaluate the RPD and RPDL functions for type V intermittency, a family of maps is analyzed. Comparisons between analytical results calculated using this technique, the classical theory of intermittency, the M function methodology, and numerical data are carried out. Finally, the advantages and drawbacks of the continuity technique are described.
2. Study of Type V Intermittency
Prior to discussing the application to type V intermittency, a short description about the evolution of densities is necessary (the Perron–Frobenius operator). A more complete and deeper explanation of this subject can be found in Refs. [36,37]. We consider a family of evolution operators , such as and identity, , being D a compact manifold, and t the evolution variable. If t varies over the real numbers (), represents a dynamical system. Nevertheless, if t acquires exclusively discrete values, the operator is a map. There are, at least, two formulations to explain the functioning of . One alternative is to analyze the trajectories evolution, the other considers the density and the probability measure concepts.
Let us introduce a map , that transforms some interval into another interval . Hence, and . In , the density of trajectories can be defined as , while in the trajectories density is . We can transform the density in , and we write . If we consider , where the upper limit y is variable, the density results
This equation assumes that is piecewise differentiable and invertible. Furthermore, the derivative is piecewise continuous [36].
To apply Equation (1) in type V intermittency, we introduce the following family of maps
where , is the control parameter, is the slope of the straight line (), is the quadratic term coefficient in , is the exponent in , and is the lower boundary of reinjection [4]. For , is a fixed point of the map, and for type V intermittency occurs. To carry out a more general study, this family of maps does not have symmetry around the fixed point, and it can generate type V intermittency with continuous and discontinuous RPD functions.
If we apply Equation (1) to the map given by Equation (2), for the sub-interval we obtain
for the sub-interval results
and for the sub-interval we have
Figure 1 shows how the intervals are mapped to obtain Equations (3)–(5). Blue, red, and green arrows correspond to Equations (3)–(5), respectively. Furthermore, Figure 1 and Equations (4) and (5) show that there is symmetry in the process of density evolution.
On the other hand, for a map where , the probability measure of an interval can be written as
where is the characteristic function of the interval S
Consequently, the probability measure indicates the frequency that the trajectory reaches the corresponding interval, and is related to the invariant density by
Let be the laminar region. Before considering the probability given by Equation (6), we divide the whole data series into three subsets
First, we choose , and in the preceding iteration it has already been there, that is and . Furthermore, we have but in the preceding iteration it has not been there, that is and . Finally, . It is notable that there exists no intersection between them
Therefore, is
The first term in Equation (11) is the probability for the trajectory to be in L when in the preceding iteration it has already been there. Subsequently, only the second term in the RHS of Equation (11) defines the RPD function, denoted here by , by means of the following relation
where the weight w is introduced because it is common to normalize the function over the whole laminar interval L as . Next, to evaluate the RPD function the sums in Equation (3)–(5) have to exclude the contributions that do not produce reinjection inside of the laminar interval [4,35]
where l indicates the integrals that do not generate reinjection and is the density in the preceding iteration to reinjection. The normalization condition is
where c is the semi-amplitude of the laminar interval, and is the fixed point, .
2.1. Continuous RPD
Let us consider the lower boundary of reinjection in the family of maps described by Equation (2) with , , and . Therefore, there is no reinjection from points because the lower limit of the laminar interval is the lower boundary of reinjection. To obtain the RPD function we use Equations (13) and (14). Note that and do not produce reinjection, and the RPD can then be calculated as
where
To apply Equation (15) we have to evaluate the density at pre-reinjection points, . Let us expand by a Taylor series around the pre-image of the lower boundary of the reinjection . Using the notation and we get
Using the normalization condition, Equation (14), we obtain
where we define , hence we have .
As , the family of maps described by Equation (2) verifies that . Note that for , the linear term has the same magnitude as the first one in the Taylor series if the derivative is approximately one order of magnitude greater than the first term, . Following a similar analysis, the second derivative, has to be approximately two orders of magnitude greater than the first term in the series. Furthermore, from Equations (15) and (18) the RPD can be written as
If the derivative has very high or close to zero values, and the variation generated by the linear and quadratic terms in Equation (18) is not really significant in comparison with the first term, , they do not significantly modify the RPD. Therefore, the first term in Equation (18) can be considered the most important, and we can assume that
then the RPD results
This is a power function with exponent . This same result was calculated using the M function methodology [27].
To validate the new theoretical evaluations, we perform a comparison between the RPDs here obtained with numerical data, with those calculated by the M function methodology and with the classical theory of intermittency. A detailed explanation of the M function methodology can be found in Refs. [4,23,24,25], and is not described here. On the other hand, the classical theory uses a constant RPD to describe the reinjection process, i.e., uniform reinjection (see Refs. [1,3,4,22]). To obtain the numerical data, we produce an iterative process for the map and also split the laminar interval into sub-intervals. After that, we calculate the histogram of reinjections and the numerical RPD. To obtain the histogram we consider at least reinjections, which indicates millions of iterations.
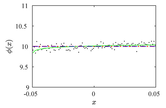
For all tests in this section, the following parameters are used , , and . Thus, the reinjection process is driven only by . The reinjected points in the laminar interval, , are mapped only by from points in the interval . For the first test, we also use , , and . To obtain the RPD function, we consider Equation (21), and it results
To validate this result, we conduct a complete set of numerical simulations for a different number of reinjected points N, and we divide the laminar interval into sub-intervals, where the RPDs are evaluated. To analyze the difference between numerical data and the theoretical RPD given by Equation (22), we calculate
where and are the numerical and theoretical values of the RPD in the sub-interval j. Note that .
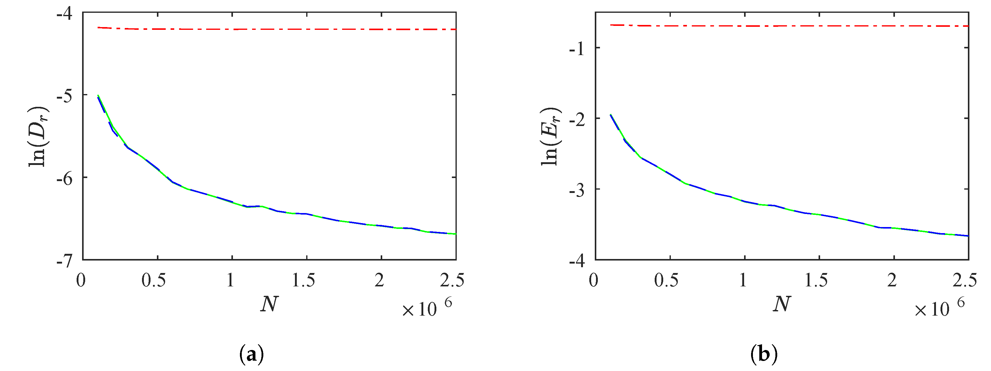
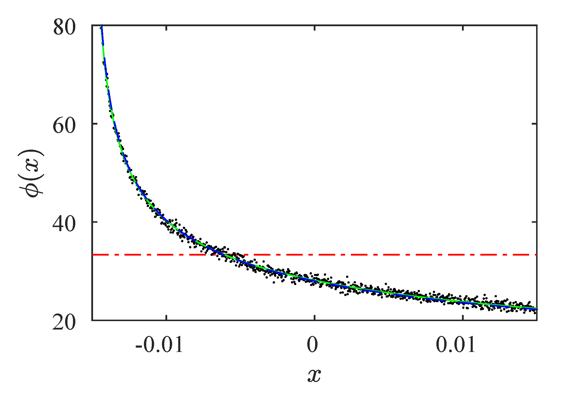
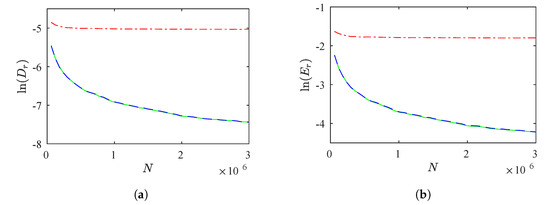
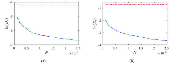
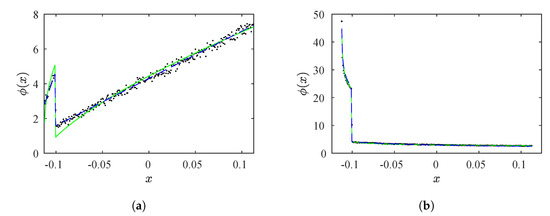
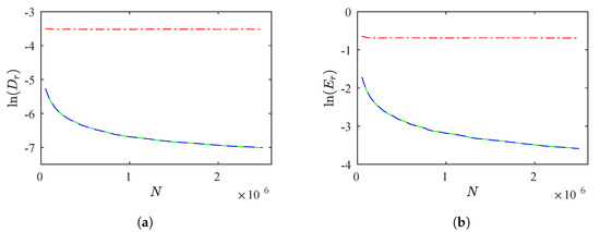
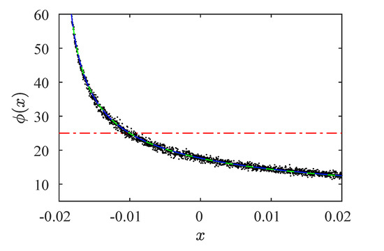
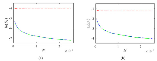
Figure 2a,b show and for a different number of reinjected points, N from to with . We highlight that as the number of reinjected points grows, the differences between the theoretical formulations and the numerical data decrease. Notice that the M function methodology calculates . This result coincides with Equation (22). Numerical and theoretical RPDs are shown in Figure 3. From Figure 2a,b and Figure 3 we observe a good agreement between the RPD functions.
Figure 2.
(a) , and (b) vs. N for , , , and . Blue line: continuity technique. Red line: classical theory. Green line: M function methodology.
Figure 3.
Continuous RPD function for , , , , and . Blue line: continuity technique. Red line: classical theory. Green line: M function methodology. Black points: numerical data.
To evaluate the rate of convergence, we utilize the sequence that converges to zero for (N are positive integer numbers), and we must verify
for , , and fixed positive real numbers. Therefore, and converge to zero with order, or rate, of convergence and , respectively, [38]. For this test we obtain . Subsequently, and converge to zero for .
The parameters , , and are utilized for the second test. By Equation (21) we obtain
The calculated RPD using the M function methodology is [27]
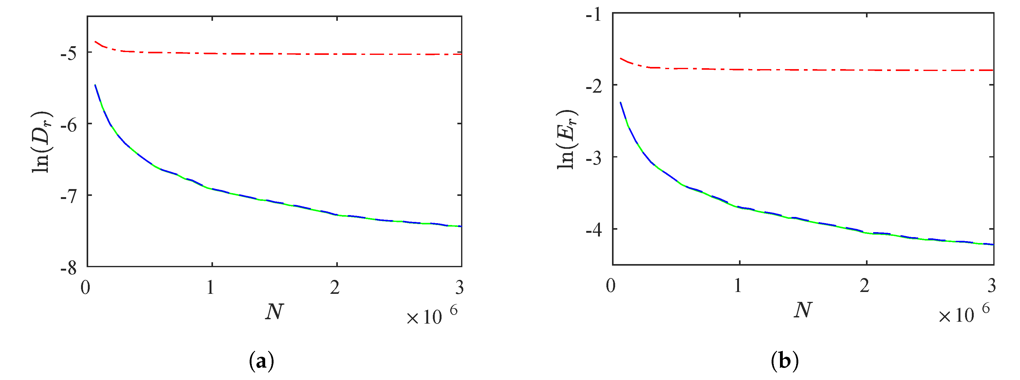
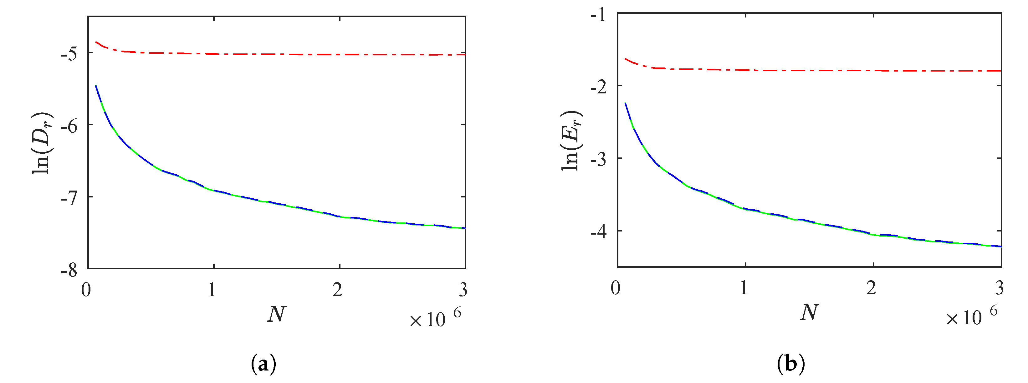
Figure 4a,b show and for a number of reinjected points, respectively. For these figures, we use N from to and . We can observe that the differences between RPDs calculated with the continuity technique and the M function methodology with numerical data decrease while N increases. However, this behavior is not verified by the classical RPD.
Figure 4.
(a) , and (b) vs. N for , , , and . Blue line: continuity technique. Red line: classical theory. Green line: M function methodology.
Figure 5 shows the comparison between theoretical and numerical RPDs. From this figure, and Figure 4a,b we note that the classical theory does not obtain correct results for this test. However, we observe that both methodologies, M function, and continuity, work better than classical theory, capture the numerical data, and and decrease while N increases. For the continuity technique, we find that ; therefore, and converge to zero for .
Figure 5.
Continuous RPD function for , , , and . Blue line: continuity technique. Red line: classical theory. Green line: M function methodology. Black points: numerical data.
The M function methodology obtains
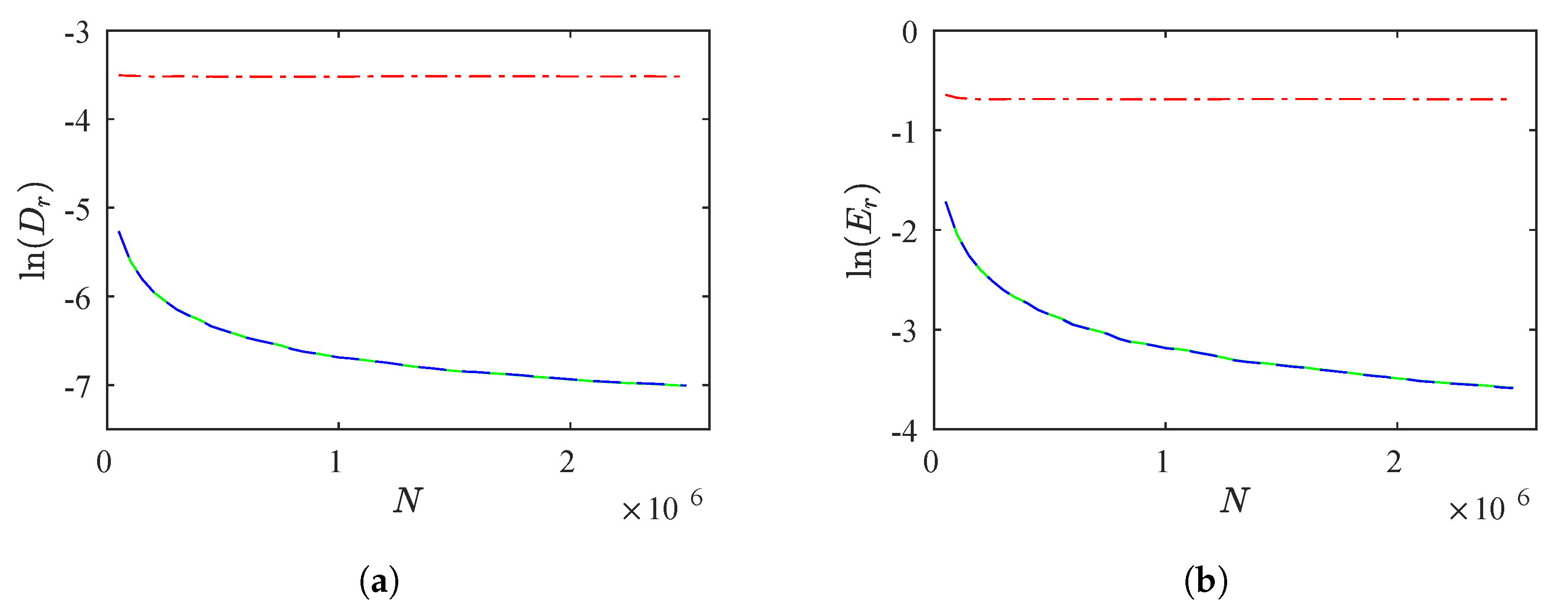
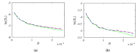
Figure 6a,b show and vs. the number of reinjected points for N from to . We observe that the and calculated with continuity and M function methodologies decrease while N increases. Again, this behavior is not obtained for the classical RPD.
Figure 6.
(a) , and (b) vs. N for , , , and . Blue line: continuity technique. Red line: classical theory. Green line: M function methodology.
The RPD functions are shown in Figure 7. We note that the RPDs calculated with the continuity and M function methodologies adequately represent the numerical data. However, the classical RPD function cannot accurately reproduce the numerical data. If we use Equation (24) for the continuity technique, we obtain and , i.e., and converge to zero for .
Figure 7.
Continuous RPD function for , , , . Blue line: continuity technique. Red line: classical theory. Green line: M function methodology. Black points: numerical data.
The M function methodology obtains
The and are shown in Figure 8a,b for N from to and . We observe that the and calculated with continuity and M function methodologies decrease for increasing N. Similar to the previous tests, the classical theory obtains poor results. For the RPD function calculated by the continuity methodology, we obtain and , then and converge to zero for (see Equation (24)).
Figure 8.
(a) , and (b) vs. N for , , and . Blue line: continuity technique. Red line: classical theory. Green line: M function methodology.
Figure 9 shows the RPDs functions. The RPDs calculated using the continuity and M function methodologies can describe the numerical data behavior. On the other hand, the classical RPD function cannot accurately reproduce the numerical data.
Figure 9.
Continuous RPD function for , , and . Blue line: continuity technique. Red line: classical theory. Green line: M function methodology. Black points: numerical data.
For the fifth test, we consider , , , and . If we use the continuity technique, Equation (21), we obtain
The RPD calculated using the M function methodology is
For , Figure 10a,b show and . From these figures, we observe that for the continuity technique and the M function methodology and decrease whereas N increases. However, and are approximately constant for the classical theory. For the RPD given by Equation (31), we obtain that and , accordingly for .
Figure 10.
(a) , and (b) vs. N for , , , and . Blue line: continuity technique. Red line: classical theory. Green line: M function methodology.
The RPD functions are shown in Figure 11. The RPDs calculated by the M function methodology and continuity technique reproduce the numerical results whereas classical theory does not.
Figure 11.
Continuous RPD function for , , , , and . Blue line: continuity technique. Red line: classical theory. Green line: M function methodology. Black points: numerical data.
The results for the five sets of tests are summarized in Table 1. In these tests, we use different values of the exponent , the length of the laminar interval c, the parameter , and the number of sub-intervals , despite that in all these tests for the continuity technique and diminish as the number of re-injected points increases, showing that the theoretical evaluation given by Equation (21) approximates with more accuracy the numerical RPD as the number of reinjected points increases. For all tests, the convergence process verifies and . Furthermore, from the tests we highlight that the continuity technique works better than the classical theory, and obtains RPD functions with approximately the same accuracy as the M function methodology. In addition, the continuity technique has the advantage of being able to predict analytic RPD functions knowing only the map without using numerical or experimental data.
Table 1.
Results for the five sets of tests with continuous RPD functions.
Only the first and second tests produce symmetric RPD functions around the fixed point. For and the symmetry is lost.
Note that to obtain the previous results, we have assumed a constant density at pre-reinjection points. This assumption is based on two concepts. The first one is, when the density can be approximated by a Taylor series because the laminar interval is small, large values of the first and second derivatives are needed to affect the density (see Equation (18)). The second one is related with Equation (15), from this equation the RPD function is calculated as the product of two factors, one is the density at pre-reinjection points and the other is , which can reach very high or close to zero values. Therefore, this factor has a greater influence in determining the RPD than first and second derivatives in the Taylor series.
2.2. Discontinuous RPD
If the lower boundary of reinjection verifies , type V intermittency shows discontinuous RPD functions. These RPDs occur because there are two different processes of reinjection, one is generated by and the other one by . To obtain the RPDs, we use Equation (13) with
where and are the trajectory densities inside the intervals and , respectively. Hence
is only defined in the interval . However, is defined in the complete laminar interval
Accordingly, the RPD is
Following the previous subsection, we use constant in the interval . As is included in (), the density is constant in Equations (33) and (35). To evaluate , which is defined inside the interval , we must consider the iteration procedure for Equation (2) because depends on the density at the preceding iteration.
The interval maps on the interval
Moreover, points in the interval map on the interval
consequently, the density in the interval receives two contributions (see Equations (37) and (38)), one is generated by from the interval and the other is given by from the interval
Now, we must calculate in the interval . Let us consider that points in the interval need n iterations to reinject. The density in is determined only by
The density in can then be calculated as
In the interval , the density results
where
and
In consequence, we can generalize the previous equations as
where . For , is calculated (see Equation (36))
The second RPD in Equation (36), , results
We highlight that considers only points coming from , where . Figure 12 shows the reinjection process governed by and . In the larger figure, the evolution of the density generated by is indicated with thick arrows and the red discontinuous lines show the laminar interval. In the smaller box, the evolution produced by is shown with thin blue arrows. In this figure, a trajectory needs three iterations to move from to .
Figure 12.
Reinjection process governed by and functions.
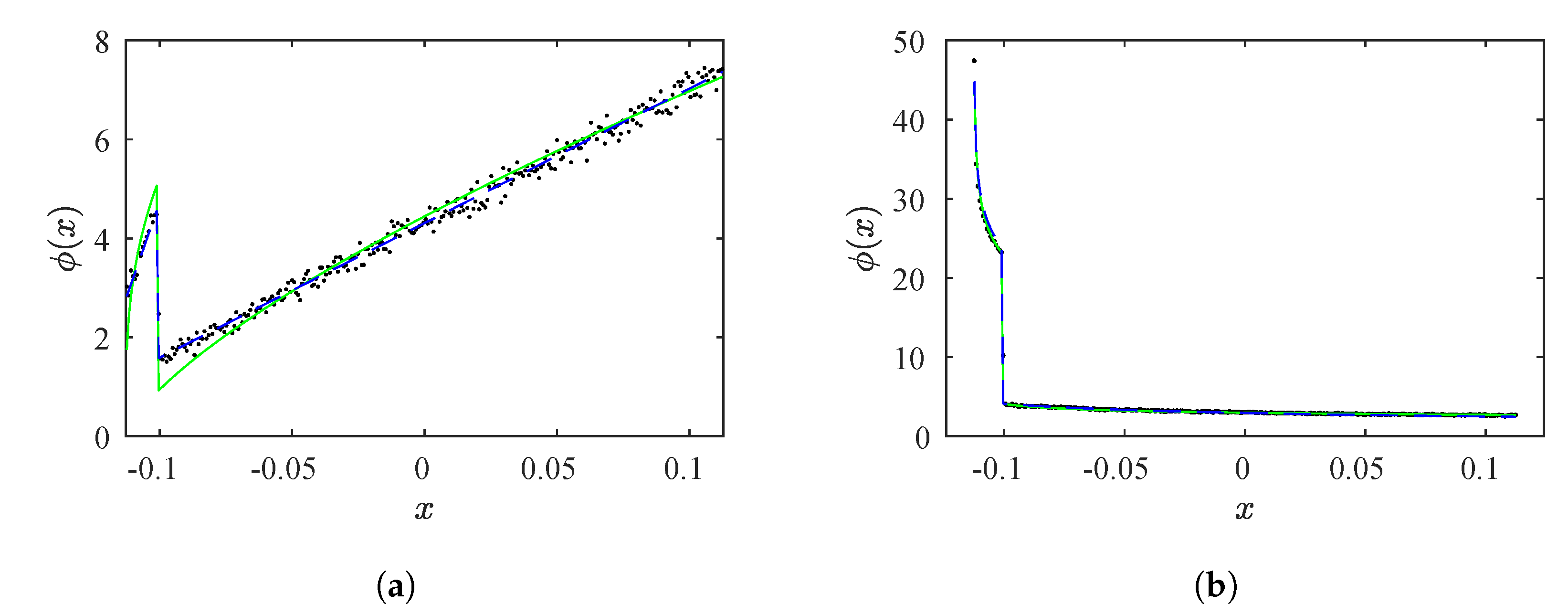
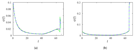
To validate the previous theoretical equations, we performed four sets of tests. The first one used , , , , , , , and . For this set of tests, a trajectory took three iterations to displace from to . We calculated the RPD function using the continuity technique, the M function methodology, and numerically. Figure 13a shows the comparison between the three RPDs. Black points are the numerical data, the green line is the RPD calculated using the M function methodology, and the RPD obtained by the continuity technique is the dashed blue line. We can observe that both methodologies, M function and continuity technique, capture the behavior of the numerical RPD. However, the continuity technique captures the numerical results more accurately. The rates of convergence using the continuity technique for and are and , respectively. The values of and for are and , respectively.
Figure 13.
Discontinuous RPD function for, , , , . (a) . (b) . Green line: M function methodology. Blue line: continuity technique. Black points: numerical data.
The parameters for the second set of tests were the same but . Again, the trajectories took three iterations from to . Results are shown in Figure 13b. Again, both methodologies capture the behavior of the numerical data. We have calculated the rates of convergence for the continuity technique: for it is approximately , and for is . For , we obtained and .
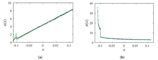
The parameters for the third and fourth sets of tests were , , , , , , and . However, for the third set of tests, and for the fourth one. For both sets of tests, a trajectory needed only one iteration to move from to . The theoretical and numerical results are shown in Figure 14a,b. The continuity technique and the M function methodology reproduce the behavior of the numerical RPD. However, from Figure 14a we can observe that the density technique approximates the numerical data more accurately. For the third set of tests, we have obtained for , and , and for the fourth set of tests we have calculated for , and .
Figure 14.
Discontinuous RPD function for , , , . (a) . (b) . Green line: M function methodology. Blue line: continuity technique. Black points: numerical data.
The results of these four sets of tests are summarized in Table 2. The first column is the lower boundary of reinjection , the second one gives the exponent , the third and fourth columns are the order of convergence exponents for and , respectively, and the last two columns show the calculated values of and for . We note that the rate of convergence and the values of and display a better behavior for than for . This occurs mainly because for , the value of the numerical RPD in the first sub-interval is slightly larger than predicted by the continuity technique (see Figure 13a and Figure 14b).
Table 2.
Results for the four tests. and are the order of convergence exponents for , and , respectively.
From Figure 13 and Figure 14 and Table 2, we can notice that the theoretical evaluations obtained using the continuity technique and the M function methodology capture the numerical RPD behavior. In addition, we can observe that the continuity technique displays a better behavior than the M function methodology.
Probability Density of the Laminar Lengths
Once the RPD function is evaluated, we are able to calculate the probability density of the laminar lengths, , which determines the probability of finding laminar lengths between l and [4]
is the inverse of , which is the laminar length for each reinjected point x. For the maps described by Equation (2), is approximated by
We calculated the RPDL functions for the four sets of tests previously presented. The results are shown in Figure 15 and Figure 16. We can observe a good accuracy between the continuity technique, the M function methodology, and the numerical data.
Figure 15.
RPDL function for , , , . (a) . (b) . Green line: M function methodology. Blue line: continuity technique. Black points: numerical data.
Figure 16.
RPDL function for , , , . (a) . (b) . Green line: M function methodology. Blue line: continuity technique. Black points: numerical data.
From Figure 13 and Figure 14, we can observe the different behaviors of the RPD functions. For , the number of trajectories that return close to the lower limit of the laminar interval is low, and the RPDs are increasing functions. For , the number of trajectories that return close to the lower limit of the laminar interval is high, and the RPDs are decreasing functions. These behaviors are also observed for the probability density of the laminar lengths (see Figure 15 and Figure 16). However, in all tests, we can observe two sub-intervals and with different behaviors described by Equation (36).
3. Conclusions
In this paper, we presented a new methodology to calculate the statistical properties of type V intermittency. This methodology is obtained from the evolution of densities (Perron–Frobenius operator), and we refer to it as the continuity technique. We introduced and utilized this technique to obtain the reinjection probability density function (RPD), , and the probability density of the laminar lengths (RPDL), , for the family of maps described by Equation (2).
To the authors’ best knowledge, this is the first time that the continuity technique has been used to calculate the RPD and RPDL functions in type V intermittency. Furthermore, it is the first time that this technique is implemented where multiple iterations are needed to obtain the RPD and where the reinjection is generated simultaneously by two different processes.
We performed comparisons between the theoretical results obtained by the continuity technique with those calculated by the classical theory of intermittency, the M function methodology, and with numerical data. We found that both methodologies, continuity and M function, produce similar and functions for different parameters, either with continuous or discontinuous RPD functions and with one or two functions governing the reinjection process. Furthermore, the theoretical results for the continuity technique accurately capture the numerical data. In addition, the results obtained with the continuity technique are more accurate than those calculated by the classical theory. We highlight that and functions, calculated with the continuity technique, exhibit a wider range of behaviors than those expected by uniform reinjection.
The classical studies on type V intermittency use the assumption that the RPD is uniform [28,29,30]. More recent studies consider a less restrictive hypothesis of a constant density at pre-reinjection points, i.e., points that govern the reinjection process [26,27,35]. Here, the assumption of constant density at pre-reinjection points was analyzed for the family of maps described by Equation (2). The classic formulation of chaotic intermittency used a constant RPD. In this work, this condition was relaxed, allowing the RPD to be a more complex function. However, the hypothesis of constant density at pre-reinjection points was assumed. This assumption works accurately because the length of the laminar interval is small, and the RPD function depends, in addition to the density, on the derivative of the function at pre-reinjection points, which can take very large or close to zero values.
For continuous RPD functions, we have conducted several tests using different values of the exponent , the length of the laminar interval c, the parameter , the number of reinjected points N, and the number of sub-intervals . In all these tests for the continuity technique, the values of and decrease as the number of re-injected points grows, showing that the theoretical evaluation given by Equation (21) approximates the numerical RPD more accurately as the number of reinjected points increases. Furthermore, we have computed the rate of convergence of and for all tests, and detected that the process is convergent with a rate of convergence within . We emphasize that the continuity technique converges better than classical theory, and obtains RPDs with similar accuracy to the M function methodology.
A similar study was developed for discontinuous RPD functions using different values of and the lower boundary of reinjection . For all tests, we observe that the continuity technique captures the behavior of the numerical data. Furthermore, the RPDs calculated using the continuity technique are more accurate for several tests than those obtained with the M function methodology. For all tests performed with the continuity technique, and decrease as the number of re-injected points increases. The exponents to evaluate the order of convergence, and were always positive. In addition, the continuity technique has the advantage of allowing the prediction of analytic RPD functions, continuous or discontinuous, only knowing the map without the need for using numerical or experimental data. If the assumption of constant density at the pre-reinjection points can be used, the RPD function mainly depends on the map derivative at the pre-reinjection points (see Equation (13)).
We can conclude that the continuity technique has the ability to accurately calculate the RPD and RPDL functions for type V intermittency.
Author Contributions
Conceptualization, S.E. and E.d.R.; methodology, S.E. and E.d.R.; software, S.E.; validation, S.E. and W.S.; formal analysis, S.E. and E.d.R.; investigation, S.E., E.d.R. and W.S; resources, S.E., E.d.R. and W.S.; writing—original draft preparation, S.E.; writing—review and editing, S.E., W.S. and E.d.R.; visualization, S.E. and W.S.; supervision, S.E. project administration, S.E. and E.d.R.; funding acquisition, S.E. and E.d.R. All authors have read and agreed to the published version of the manuscript.
Funding
This work was supported by SECyT of Universidad Nacional de Córdoba, Universidad Politécnica de Madrid, and Ministerio de Ciencia, Innovación y Universidades of Spain under grand No RTI2018-094409-B-I00.
Institutional Review Board Statement
Not applicable.
Informed Consent Statement
Not applicable.
Data Availability Statement
Not applicable.
Acknowledgments
The authors thank the Department of Aeronautics, FCEFyN of Universidad Nacional de Córdoba and Department of Applied Physics, ETSIAE of Universidad Politécnica de Madrid.
Conflicts of Interest
The authors declare no conflict of interest.
References
- Schuster, H.; Just, W. Deterministic Chaos; Wiley VCH: Mörlenbach, Germany, 2005. [Google Scholar]
- Nayfeh, A.; Balachandran, B. Applied Nonlinear Dynamics; Wiley: New York, NY, USA, 1995. [Google Scholar]
- Marek, M.; Schreiber, I. Chaotic Behaviour of Deterministic Dissipative Systems; Cambridge University Press: Cambridge, UK, 1995. [Google Scholar]
- Elaskar, S.; del Rio, E. New Advances on Chaotic Intermittency and Its Applications; Springer: New York, NY, USA, 2017. [Google Scholar]
- Kaplan, H. Return to type I intermittency. Phys. Rev. Lett. 1992, 68, 553–557. [Google Scholar] [CrossRef] [PubMed]
- Price, T.; Mullin, P. An experimental observation of a new type of intermittency. Physica D 1991, 48, 29–52. [Google Scholar] [CrossRef]
- Platt, N.; Spiegel, E.; Tresser, C. On-off intermittency: A mechanism for bursting. Phys. Rev. Lett. 1993, 70, 279–282. [Google Scholar] [CrossRef] [PubMed]
- Pikovsky, A.; Osipov, G.; Rosenblum, M.; Zaks, M.; Kurths, J. Attractor–repeller collision and eyelet intermittency at the transition to phase synchronization. Phys. Rev. Lett. 1997, 79, 47–50. [Google Scholar] [CrossRef]
- Lee, K.; Kwak, Y.; Lim, T. Phase jumps near a phase synchronization transition in systems of two coupled chaotic oscillators. Phys. Rev. Lett. 1998, 81, 321–324. [Google Scholar] [CrossRef]
- Hramov, A.; Koronovskii, A.; Kurovskaya, M.; Boccaletti, S. Ring intermittency in coupled chaotic oscillators at the boundary of phase synchronization. Phys. Rev. Lett. 2006, 97, 114101. [Google Scholar] [CrossRef] [PubMed]
- Dubois, M.; Rubio, M.; Berge, P. Experimental evidence of intermittencies associated with a subharmonic bifurcation. Phys. Rev. Lett. 1983, 16, 1446–1449. [Google Scholar] [CrossRef]
- Stavrinides, S.; Miliou, A.; Laopoulos, T.; Anagnostopoulos, A. The intermittency route to chaos of an electronic digital oscillator. Int. J. Bifurcation Chaos 2008, 18, 1561–1566. [Google Scholar] [CrossRef]
- Sanchez-Arriaga, G.; Sanmartin, J.; Elaskar, S. Damping models in the truncated derivative nonlinear Schrödinger equation. Phys. Plasmas 2007, 14, 082108. [Google Scholar] [CrossRef]
- Zambrano, S.; Mariño, I.P.; Sanjuan, M. Controlling crisis-induced intermittency using its relation with a boundary crisis. New J. Phys. 2009, 11, 023025. [Google Scholar] [CrossRef]
- Pizza, G.; Frouzakis, C.; Mantzaras, J. Chaotic dynamics in premixed Hydrogen/air channel flow combustion. Combust. Theor. Model 2012, 16, 275–299. [Google Scholar] [CrossRef]
- Nishiura, Y.; Ueyama, D.; Yanagita, T. Chaotic pulses for discrete reaction diffusion systems. SIAM J. App. Dyn. Syst. 2005, 4, 723–754. [Google Scholar] [CrossRef]
- de Anna, P.; Le Borgne, T.; Dentz, M.; Tartakovsky, A.; Bolster, D.; Davy, P. Flow intermittency, dispersion and correlated continuous time random walks in porous media. Phys. Rev. Lett. 2013, 110, 184502. [Google Scholar] [CrossRef]
- Stan, C.; Cristescu, C.; Dimitriu, D. Analysis of the intermittency behavior in a low-temperature discharge plasma by recurrence plot quantification. Phys. Plasmas 2010, 17, 042115. [Google Scholar] [CrossRef]
- Chian, A. Complex System Approach to Economic Dynamics; Lecture Notes in Economics and Mathematical Systems; Springer: Berlin, Germany, 2007. [Google Scholar]
- Zebrowski, J.; Baranowski, R. Type I intermittency in nonstationary systems: Models and human heart-rate variability. Physica A 2004, 336, 74–86. [Google Scholar] [CrossRef]
- Paradisi, P.; Allegrini, P.; Gemignani, A.; Laurino, M.; Menicucci, D.; Piarulli, A. Scaling and intermittency of brains events as a manifestation of consciousness. AIP Conf. Proc. 2013, 1510, 151–161. [Google Scholar] [CrossRef]
- Hirsch, J.; Huberman, B.; Scalapino, D. Theory of intermittency. Phys. Rev. Lett. 1982, 25, 519–532. [Google Scholar] [CrossRef]
- del Rio, E.; Elaskar, S. New characteristic relation in type II intermittency. Int. J. Bifurcation Chaos 2010, 20, 1185–1191. [Google Scholar] [CrossRef]
- Elaskar, S.; del Rio, E.; Donoso, J. Reinjection probability density in type III intermittency. Physica A 2011, 390, 2759–2768. [Google Scholar] [CrossRef]
- Elaskar, S.; del Rio, E.; Elaskar, S. Intermittency Reinjection in the Logistic Map. Symmetry 2022, 14, 481. [Google Scholar] [CrossRef]
- Elaskar, S.; del Rio, E. Discontinuous reinjection probability density function in type V intermittency. J. Comp. Nonlinear Dynam. 2018, 13, 121001–121010. [Google Scholar] [CrossRef]
- Elaskar, S.; del Rio, E.; Gutierrez Marcantoni, L. Non-uniform reinjection probability density function in type V intermittency. Nonlinear Dynam. 2018, 92, 683–697. [Google Scholar] [CrossRef]
- Bauer, M.; Habip, S.; He, D.; Martiessen, W. New type of intermittency in discontinuous maps. Phys. Rev. Lett. 1992, 68, 1625–1628. [Google Scholar] [CrossRef] [PubMed]
- He, D.; Bauer, M.; Habip, S.; Kruger, U.; Martiessen, W.; Christiansen, B.; Wang, B. Type V intermittency. Phys. Lett. A 1992, 171, 61–65. [Google Scholar] [CrossRef]
- Fan, J.; Ji, F.; Guan, S.; Wang, B.; He, D. The distribution of laminar lengths in type V intermittency. Phys. Lett. A 1993, 182, 232–237. [Google Scholar] [CrossRef]
- Wu, S.; He, D. Characteristics of period-doubling bifurcation cascades in quasi-discontinuous systems. Commun. Theor. Phys. 2001, 35, 275–282. [Google Scholar] [CrossRef]
- Wang, D.; Mo, J.; Zhao, X.; Gu, H.; Qu, S.; Ren, W. Intermittent chaotic neural firing characterized by non-smooth like features. Chin. Phys. Lett. 2010, 27, 070503. [Google Scholar] [CrossRef]
- Gu, H.; Xiao, W. Difference Between Intermittent chaotic bursting and spiking of neural firing patterns. Int. J. Bifurcation Chaos 2014, 24, 1450082. [Google Scholar] [CrossRef]
- Sternberg, S. Dynamical Systems; Dover Publications: New York, NY, USA, 2010. [Google Scholar]
- Elaskar, S.; del Rio, E.; Zapico, E. Evaluation of the statistical properties for type-II intermittency using the Perron-Frobenius operator. Nonlinear Dynam. 2016, 86, 1107–1116. [Google Scholar] [CrossRef]
- Lasota, A.; Mackey, M. Chaos, Fractals, and Noise: Stochastic Aspects of Dynamics; Springer Science & Business Media: New York, NY, USA, 1998; Volume 97. [Google Scholar]
- Beck, C.; Schogl, F. Thermodynamics of Chaotic Systems; Cambridge University Press: Cambridge, UK, 1993. [Google Scholar]
- Burden, R.; Faires, J.; Burden, A. Numerical Analysis; Cengage Learning: Boston, MA, USA, 2014. [Google Scholar]
Publisher’s Note: MDPI stays neutral with regard to jurisdictional claims in published maps and institutional affiliations. |
© 2022 by the authors. Licensee MDPI, Basel, Switzerland. This article is an open access article distributed under the terms and conditions of the Creative Commons Attribution (CC BY) license (https://creativecommons.org/licenses/by/4.0/).















