Theoretical Study of Complexes of Tetravalent Actinides with DOTA
Abstract
1. Introduction
2. Computational Details
3. Results and Discussion
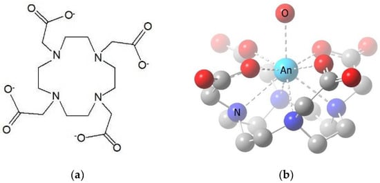
3.1. Geometrical Characteristics
3.2. Electronic Structure
3.3. Bonding
3.4. DOTA Complexes of AnIV vs. AnIII
- AnIII forms structures with TSAP conformation of DOTA, whereas AnIV forms structures with the SAP confirmation.
- The donor–acceptor distances are considerably shorter with AnIV, because the stronger electrostatic interactions with the An4+ vs. An3+ metal ions pull the interacting species closer to each other (cf. Table S4 in the Supplementary Materials). Another consequence of the higher positive charge of AnIV is the larger ligand → An charge transfer, yet the An charges still remain higher in the AnIV than in the AnIII complexes.
- The exchange reactionsUIII or IV(DOTA) + NpIII or IV = NpIII or IV(DOTA) + UIII or IVwith tri- or tetravalent An resulted in larger stabilities of the AnIV complexes and in a stability order of U < Np < Pu for both An oxidation states with reaction energies in terms of ΔGo of −44.6, −85.4, −85.8, and −204.0 kJ/mol for NpIII, PuIII, NpIV, and PuIV, respectively. (Note that in the evaluation of ΔGo by Gaussian09, the electronic contributions are neglected.) The related values in terms of electronic energies at 0 K are −45.4, −86.9, −84.1, and −204.8 kJ/mol, respectively.UIII or IV(DOTA) + PuIII or IV = PuIII or IV(DOTA) + UIII or IV
- Similarly, in terms of the QTAIM metrics, the trend for the strength of covalent interactions is the same (U < Np < Pu) for both An oxidation states, the interaction being significantly stronger in the AnIV complexes.
4. Conclusions
Supplementary Materials
Funding
Institutional Review Board Statement
Informed Consent Statement
Data Availability Statement
Conflicts of Interest
References
- Viola-Villegas, N.; Doyle, R.P. The coordination chemistry of 1,4,7,10-tetraazacyclododecane-N,N′,N″,N‴-tetraacetic acid (H4DOTA): Structural overview and analyses on structure-stability relationships. Coord. Chem. Rev. 2009, 253, 1906–1925. [Google Scholar] [CrossRef]
- Magerstädt, M.; Gansow, O.A.; Brechbiel, M.W.; Colcher, D.; Baltzer, L.; Knop, R.H.; Girton, M.E.; Naegele, M. Gd(DOTA): An alternative to Gd(DTPA) as a T1,2 relaxation agent for NMR imaging or spectroscopy. Magn. Reson. Med. 1986, 3, 808–812. [Google Scholar] [CrossRef] [PubMed]
- Chapon, C.; Lemaire, L.; Franconi, F.; Marescaux, L.; Legras, P.; Denizot, B.; Le Jeune, J.-J. Assessment of myocardial viability in rats: Evaluation of a new method using superparamagnetic iron oxide nanoparticles and Gd-DOTA at high magnetic field. Magn. Reson. Med. 2004, 52, 932–936. [Google Scholar] [CrossRef]
- Zhang, S.; Trokowski, R.; Sherry, A.D. A Paramagnetic CEST Agent for Imaging Glucose by MRI. J. Am. Chem. Soc. 2003, 125, 15288–15289. [Google Scholar] [CrossRef] [PubMed]
- Chauvin, T.; Durand, P.; Bernier, M.; Meudal, H.; Doan, B.-T.; Noury, F.; Badet, B.; Beloeil, J.-C.; Tóth, É. Detection of Enzymatic Activity by PARACEST MRI: A General Approach to Target a Large Variety of Enzymes. Angew. Chem. Int. Ed. 2008, 47, 4370–4372. [Google Scholar] [CrossRef] [PubMed]
- Yoo, B.; Pagel, M.D. A PARACEST MRI Contrast Agent To Detect Enzyme Activity. J. Am. Chem. Soc. 2006, 128, 14032–14033. [Google Scholar] [CrossRef]
- Morgenstern, A.; Apostolidis, C.; Kratochwil, C.; Sathekge, M.; Krolicki, L.; Bruchertseifer, F. An overview of targeted alpha therapy with 225Actinium and 213Bismuth. Curr. Radiopharm. 2018, 11, 200–208. [Google Scholar] [CrossRef]
- Tafreshi, N.K.; Doligalski, M.L.; Tichacek, C.J.; Pandya, D.N.; Budzevich, M.M.; El-Haddad, G.; Khushalani, N.I.; Moros, E.G.; McLaughlin, M.L.; Wadas, T.J.; et al. Development of Targeted Alpha Particle Therapy for Solid Tumors. Molecules 2019, 24, 4314. [Google Scholar] [CrossRef]
- Roscher, M.; Bakos, G.; Benešová, M. Atomic Nanogenerators in Targeted Alpha Therapies: Curie’s Legacy in Modern Cancer Management. Pharmaceuticals 2020, 13, 76. [Google Scholar] [CrossRef]
- Kratochwil, C.; Bruchertseifer, F.; Giesel, F.L.; Weis, M.; Verburg, F.A.; Mottaghy, F.; Kopka, K.; Apostolidis, C.; Haberkorn, U.; Morgenstern, A. 225Ac-PSMA-617 for PSMA-targeted a-radiation therapy of metastatic castration-resistant prostate cancer. J. Nucl. Med. 2016, 57, 1941–1944. [Google Scholar] [CrossRef]
- Kratochwil, C.; Bruchertseifer, F.; Rathke, H.; Bronzel, M.; Apostolidis, C.; Weichert, W.; Haberkorn, U.; Giesel, F.L.; Morgenstern, A. Targeted α-therapy of metastatic castration-resistant prostate cancer with 225Ac-PSMA-617: Dosimetry estimate and empiric dose finding. J. Nucl. Med. 2017, 58, 1624–1631. [Google Scholar] [CrossRef] [PubMed]
- Hammer, S.; Hagemann, U.B.; Zitzmann-Kolbe, S.; Larsen, A.; Ellingsen, C.; Geraudie, S.; Grant, D.; Indrevoll, B.; Smeets, R.; von Ahsen, O.; et al. Preclinical Efficacy of a PSMA-Targeted Thorium-227 Conjugate (PSMA-TTC), a Targeted Alpha Therapy for Prostate Cancer. Clin. Cancer Res. 2020, 26, 1985–1996. [Google Scholar] [CrossRef] [PubMed]
- Jurcic, J.G.; Rosenblat, T.L.; McDevitt, M.R.; Pandit-Taskar, N.; Carrasquillo, J.A.; Chanel, S.M.; Ryan, C.; Frattini, M.G.; Cicic, D.; Larson, S.M.; et al. Phase I trial of the targeted alpha-particle nano-generator actinium-225 (225Ac-lintuzumab) (anti-CD33; HuM195) in acute myeloid leukemia (AML). J. Clin. Oncol. 2011, 29, 6516. [Google Scholar] [CrossRef]
- Jurcic, J.G.; Ravandi, F.; Pagel, J.M.; Park, J.H.; Douglas Smith, B.; Douer, D.; Yair Levy, M.; Estey, E.; Kantarjian, H.M.; Earle, D.; et al. Phase I trial of α-particle therapy with actinium-225 (225Ac)-lintuzumab (anti-CD33) and low-dose cytarabine (LDAC) in older patients with untreated acute myeloid leukemia (AML.). J. Clin. Oncol. 2015, 33, 7050. [Google Scholar] [CrossRef]
- Kratochwil, C.; Bruchertseifer, F.; Giesel, F.; Apostolidis, C.; Haberkorn, U.; Morgenstern, A. Ac-225-DOTATOC—An Empiric Dose Finding for Alpha Particle Emitter Based Radionuclide Therapy of Neuroendocrine Tumors. J. Nucl. Med. 2015, 56, 1232. [Google Scholar]
- Chakravarty, R.; Siamof, C.M.; Dash, A.; Cai, W. Targeted α-therapy of prostate cancer using radiolabeled PSMA inhibitors: A game changer in nuclear medicine. Am. J. Nucl. Med. Mol. Imaging 2018, 8, 247–267. [Google Scholar]
- Kostelnik, T.I.; Orvig, C. Radioactive Main Group and Rare Earth Metals for Imaging and Therapy. Chem. Rev. 2019, 119, 902–956. [Google Scholar] [CrossRef]
- Peters, J.A.; Djanashvili, K.; Geraldes, C.F.G.C.; Platas-Iglesias, C. The chemical consequences of the gradual decrease of the ionic radius along the Ln-series. Coord. Chem. Rev. 2020, 406, 213146. [Google Scholar] [CrossRef]
- Kovács, A. Theoretical Study of Actinide(III)-DOTA Complexes. ACS Omega 2021, 6, 13321–13330. [Google Scholar] [CrossRef]
- Tamain, C.; Dumas, T.; Hennig, C.; Guilbaud, P. Coordination of Tetravalent Actinides (An = ThIV, UIV, NpIV, PuIV) with DOTA: From Dimers to Hexamers. Chem. Eur. J. 2017, 23, 6864–6875. [Google Scholar] [CrossRef]
- Kent, G.T.; Wu, G.; Hayton, T.W. Synthesis and Crystallographic Characterization of the Tetravalent Actinide-DOTA Complexes [AnIV(k8-DOTA)(DMSO)] (An = Th, U). Inorg. Chem. 2019, 58, 8253–8256. [Google Scholar] [CrossRef] [PubMed]
- Dovrat, G.; Illy, M.-C.; Berthon, C.; Lerner, A.; Mintz, M.H.; Maimon, E.; Vainer, R.; Ben-Eliyahu, Y.; Moiseev, Y.; Moisy, P.; et al. On the Aqueous Chemistry of the UIV-DOTA Complex. Chem. Eur. J. 2020, 26, 3390–3403. [Google Scholar] [CrossRef] [PubMed]
- Bader, R.F.W. Atoms in Molecules. A Quantum Theory; Oxford University Press: Oxford, UK, 1990. [Google Scholar]
- Popelier, P.L.A. Atoms in Molecules: An Introduction; Prentice Hall: Harlow, UK, 2000. [Google Scholar]
- Matta, C.F.; Boyd, R.J. An Introduction to the Quantum Theory of Atoms in Molecules. In The Quantum Theory of Atoms in Molecules; Matta, C.F., Boyd, R.J., Eds.; Wiley-VCH: Weinheim, Germany, 2007; pp. 1–34. [Google Scholar] [CrossRef]
- Mitoraj, M.P.; Michalak, A.; Ziegler, T. A Combined Charge and Energy Decomposition Scheme for Bond Analysis. J. Chem. Theor. Comput. 2009, 5, 962–975. [Google Scholar] [CrossRef] [PubMed]
- Frisch, M.J.; Trucks, G.W.; Schlegel, H.B.; Scuseria, G.E.; Robb, M.A.; Cheeseman, J.R.; Scalmani, G.; Barone, V.; Mennucci, B.; Petersson, G.A.; et al. Gaussian 09, Revision D.01; Gaussian, Inc.: Wallingford, CT, USA, 2010. [Google Scholar]
- Regueiro-Figueroa, M.; Esteban-Gómez, D.; de Blas, A.; Rodríguez-Blas, T.; Platas-Iglesias, C. Understanding Stability Trends along the Lanthanide Series. Chem. Eur. J. 2014, 20, 3974–3981. [Google Scholar] [CrossRef] [PubMed]
- Roca-Sabio, A.; Regueiro-Figueroa, M.; Esteban-Gómez, D.; de Blas, A.; Rodríguez-Blas, T.; Platas-Iglesias, C. Density functional dependence of molecular geometries in lanthanide(III) complexes relevant to bioanalytical and biomedical applications. Comput. Theor. Chem. 2012, 999, 93–104. [Google Scholar] [CrossRef]
- Thiele, N.A.; Woods, J.J.; Wilson, J.J. Implementing f-Block Metal Ions in Medicine: Tuning the Size Selectivity of Expanded Macrocycles. Inorg. Chem. 2019, 58, 10483–10500. [Google Scholar] [CrossRef]
- Kovács, A. Theoretical Study of Actinide Complexes with Macropa. ACS Omega 2020, 5, 26431–26440. [Google Scholar] [CrossRef]
- Tao, J.; Perdew, J.P.; Staroverov, V.N.; Scuseria, G.E. Climbing the density functional ladder: Nonempirical meta-generalized gradient approximation designed for molecules and solids (TPSSTPSS). Phys. Rev. Lett. 2003, 91, 146401. [Google Scholar] [CrossRef]
- Küchle, W.; Dolg, M.; Stoll, H.; Preuss, H. Energy-Adjusted Pseudopotentials for the Actinides. Parameter Sets and Test Calculations for Thorium and Thorium Monoxide. J. Chem. Phys. 1994, 100, 7535–7542. [Google Scholar] [CrossRef]
- Cao, X.; Dolg, M.; Stoll, H. Valence basis sets for relativistic energy-consistent small-core actinide pseudopotentials. J. Chem. Phys. 2003, 118, 487–496. [Google Scholar] [CrossRef]
- Cao, X.; Dolg, M. Segmented contraction scheme for small-core actinide pseudopotential basis sets. J. Mol. Struct. (Theochem) 2004, 673, 203–209. [Google Scholar] [CrossRef]
- Moritz, A.; Cao, X.; Dolg, M. Quasirelativistic energy-consistent 5f-in-core pseudopotentials for divalent and tetravalent actinide elements. Theor. Chem. Acc. 2007, 118, 845–854. [Google Scholar] [CrossRef]
- Grimme, S.; Ehrlich, S.; Goerigk, L. Effect of the damping function in dispersion corrected density functional theory. J. Comp. Chem. 2011, 32, 1456–1465. [Google Scholar] [CrossRef] [PubMed]
- Roos, B.O. Advances in Chemical Physics, Ab Initio Methods in Quantum Chemistry—II; Lawley, K.P., Ed.; John Wiley & Sons Ltd.: Chichester, UK, 1987; pp. 399–446. [Google Scholar]
- Karlström, G.; Lindh, R.; Malmqvist, P.-Å.; Roos, B.O.; Ryde, U.; Veryazov, V.; Widmark, P.-O.; Cossi, M.; Schimmelpfennig, B.; Neogrady, P.; et al. MOLCAS: A Program Package for Computational Chemistry. Comput. Mat. Sci. 2003, 28, 222–239. [Google Scholar] [CrossRef]
- Aquilante, F.; Autschbach, J.; Carlson, R.K.; Chibotaru, L.F.; Delcey, M.G.; De Vico, L.; Galván, I.F.; Ferré, N.; Frutos, L.M.; Gagliardi, L.; et al. MOLCAS 8: New Capabilities for Multiconfigurational Quantum Chemical Calculations Across the Periodic Table. J. Comput. Chem. 2016, 37, 506–541. [Google Scholar] [CrossRef]
- Douglas, N.; Kroll, N.M. Quantum Electrodynamical Corrections to the Fine Structure of Helium. Ann. Phys. 1974, 82, 89–155. [Google Scholar] [CrossRef]
- Hess, B.A. Relativistic Electronic-Structure Calculations Employing a Two-Component No-Pair Formalism with External-Field Projection Operators. Phys. Rev. A 1986, 33, 3742–3748. [Google Scholar] [CrossRef]
- Roos, B.O.; Lindh, R.; Malmqvist, P.-Å.; Veryazov, V.; Widmark, P.-O. New Relativistic ANO Basis Sets for Actinide Atoms. Chem. Phys. Lett. 2005, 409, 295–299. [Google Scholar] [CrossRef]
- Widmark, P.-O.; Malmqvist, P.-A.; Roos, B.O. Density matrix averaged atomic natural orbital (ANO) basis sets for correlated molecular wave functions. Theor. Chim. Acta 1990, 77, 291–306. [Google Scholar] [CrossRef]
- Roos, B.O.; Lindh, R.; Malmqvist, P.-Å.; Veryazov, V.; Widmark, P.-O. Main Group Atoms and Dimers Studied with a New Relativistic ANO Basis Set. J. Phys. Chem. A 2004, 108, 2851–2858. [Google Scholar] [CrossRef]
- Roos, B.O.; Malmqvist, P.-Å. Relativistic Quantum Chemistry: The Multiconfigurational Approach. Phys. Chem. Chem. Phys. 2004, 6, 2919–2927. [Google Scholar] [CrossRef]
- Lu, T.; Chen, F. Multiwfn: A multifunctional wavefunction analyzer. J. Comput. Chem. 2012, 33, 580–592. [Google Scholar] [CrossRef] [PubMed]
- Spirlet, M.R.; Rebizant, J.; Desreux, J.F.; Loncin, M.F. Crystal and molecular structure of sodium aqua(1,4,7,10-tetraazacyclododecane-1,4,7,10-tetraacetato)europate(III) tetrahydrate Na+(EuDOTA.H2O)−·4H2O, and its relevance to NMR studies of the conformational behavior of the lanthanide complexes formed by the macrocyclic ligand DOTA. Inorg. Chem. 1984, 23, 359–363. [Google Scholar] [CrossRef]
- Benetollo, F.; Bombieri, G.; Calabi, L.; Aime, S.; Botta, M. Structural Variations Across the Lanthanide Series of Macrocyclic DOTA Complexes: Insights into the Design of Contrast Agents for Magnetic Resonance Imaging. Inorg. Chem. 2003, 42, 148–157. [Google Scholar] [CrossRef] [PubMed]
- Chang, C.A.; Francesconi, L.C.; Malley, M.F.; Kumar, K.; Gougoutas, J.Z.; Tweedle, M.F.; Lee, D.W.; Wilson, L.J. Synthesis, characterization, and crystal structures of M(DO3A) (M = iron, gadolinium) and Na[M(DOTA)] (M = Fe, yttrium, Gd). Inorg. Chem. 1993, 32, 3501–3508. [Google Scholar] [CrossRef]
- Aime, S.; Barge, A.; Botta, M.; Fasano, M.; Danilo, A.J.; Bombieri, G. Crystal structure and solution dynamics of the lutetium(III) chelate of DOTA. Inorg. Chim. Acta 1996, 246, 423–429. [Google Scholar] [CrossRef]
- Parker, D.; Pulukkody, K.; Smith, F.C.; Batsanov, A.; Howard, J.A.K. Structures of the yttrium complexes of 1,4,7,10-tetraazacyclododecane-N,N′,N″,N‴-tetraacetic acid (H4dota) and N,N″-bis(benzylcarbamoylmethyl)diethylenetriamine-N,N′,N″-triacetic acid and the solution structure of a zirconium complex of H4dota. J. Chem. Soc. Dalton Trans. 1994, 689–693. [Google Scholar] [CrossRef]
- Benetollo, F.; Bombieri, G.; Aime, S.; Botta, M. A holmium complex of a macrocyclic ligand (DOTA) and its isostructural europium analogue. Acta Cryst. C 1999, 55, 353–356. [Google Scholar] [CrossRef]
- Burai, L.; Tóth, E.; Moreau, G.; Sour, A.; Scopelliti, R.; Merbach, A.E. Novel macrocyclic EuII complexes: Fast water exchange related to an extreme M-Owater distance. Chem. Eur. J. 2003, 9, 1394–1404. [Google Scholar] [CrossRef]
- Aime, S.; Barge, A.; Benetollo, F.; Bombieri, G.; Botta, M.; Uggeri, F. A Novel Compound in the Lanthanide(III) DOTA Series. X-ray Crystal and Molecular Structure of the Complex Na[La(DOTA)La(HDOTA)]·10H2O. Inorg. Chem. 1997, 36, 4287–4289. [Google Scholar] [CrossRef]
- Anderson, O.P.; Reibenspies, J.H. {Ca(OH2)3[Ca(DOTA)].7.7H2O}n. Acta Cryst. C 1996, 52, 792–795. [Google Scholar] [CrossRef]
- Csajbók, É.; Baranyai, Z.; Bányai, I.; Brucher, E.; Király, R.; Muller-Fahrnow, A.; Platzek, J.; Raduchel, B.; Schäfer, M. Equilibrium, 1H and 13C NMR spectroscopy, and X-ray diffraction studies on the complexes Bi(DOTA)− and Bi(DO3A-Bu). Inorg. Chem. 2003, 42, 2342–2349. [Google Scholar] [CrossRef] [PubMed]
- Riesen, A.; Zehnder, M.; Kaden, T.A. Metal complexes of macrocyclic ligands. Part XXIII. Synthesis, properties, and structures of mononuclear complexes with 12- and 14-membered tetraazamacrocycle-N,N′,N″,N‴-tetraacetic acids. Helv. Chim. Acta 1986, 69, 2067–2073. [Google Scholar] [CrossRef]
- Riesen, A.; Zehnder, M.; Kaden, T.A. Structures of two Zn2+ complexes with two tetraaza macrocyclic tetraacetates. Acta Cryst. C 1991, 47, 531–533. [Google Scholar] [CrossRef]
- Heppeler, A.; André, J.P.; Buschmann, I.; Wang, X.; Reubi, J.-C.; Hennig, M.; Kaden, T.A.; Maecke, H.R. Metal-ion-dependent biological properties of a chelator-derived somatostatin analogue for tumour targeting. Chem. Eur. J. 2008, 14, 3026–3034. [Google Scholar] [CrossRef] [PubMed]
- Dubost, J.P.; Leger, J.M.; Langlois, M.H.; Meyer, D.; Schaefer, M. Structure d’un agent de contraste utilisé en imagerie de résonance magnétique le complexe DOTA Gd, C16H24N4O8NaGd, 5H2O. C. R. Acad. Sci. Ser. II Mec. Phys. Chim. Sci. Terre Univers. 1991, 312, 349–354. [Google Scholar]
- Desreux, J.F. Nuclear magnetic resonance spectroscopy of lanthanide complexes with a tetraacetic tetraaza macrocycle. Unusual conformation properties. Inorg. Chem. 1980, 19, 1319–1324. [Google Scholar] [CrossRef]
- Aime, S.; Botta, M.; Ermondi, G. NMR study of solution structures and dynamics of lanthanide(III) complexes of DOTA. Inorg. Chem. 1992, 31, 4291–4299. [Google Scholar] [CrossRef]
- Hoeft, S.; Roth, K. Struktur und Dynamik von Lanthanoid-Tetraazacyclododecantetraacetat-(DOTA−) Komplexen in Lösung. Chem. Ber. 1993, 126, 869–873. [Google Scholar] [CrossRef]
- Aime, S.; Botta, M.; Fasano, M.; Marques, M.P.; Geraldes, C.F.; Pubanz, D.; Merbach, A.E. Conformational and Coordination Equilibria on DOTA Complexes of Lanthanide Metal Ions in Aqueous Solution Studied by 1H-NMR Spectroscopy. Inorg. Chem. 1997, 36, 2059–2068. [Google Scholar] [CrossRef]
- Wilson, J.J.; Ferrier, M.; Radchenko, V.; Maassen, J.R.; Engle, J.W.; Batista, E.R.; Martin, R.L.; Nortier, F.M.; Fassbender, M.E.; John, K.D.; et al. Evaluation of nitrogen-rich macrocyclic ligands for the chelation of therapeutic bismuth radioisotopes. Nucl. Med. Biol. 2015, 42, 428–438. [Google Scholar] [CrossRef] [PubMed]
- Khabibullin, A.R.; Karolak, A.; Budzevich, M.M.; McLaughlin, M.L.; Morse, D.L.; Woods, L.M. Structure and properties of DOTA-chelated radiopharmaceuticals within the 225Ac decay pathway. MedChemComm 2018, 9, 1155–1163. [Google Scholar] [CrossRef] [PubMed]
- Shannon, R.D. Revised Effective Ionic Radii and Systematic Studies of Interatomic Distances in Halides and Chalcogenides. Acta Cryst. 1976, A32, 751–767. [Google Scholar] [CrossRef]
- Carnall, W.T.; Crosswhite, H.M. Optical Spectra and Electronic Structure of Actinide Ions in Compounds and in Solution. In The Chemistry of the Actinide Elements: Volume 2; Katz, J.J., Seaborg, G.T., Morss, L.R., Eds.; Springer: Dordrecht, The Netherlands, 1986; pp. 1235–1277. [Google Scholar] [CrossRef]
- Worden, E.F.; Blaise, J.; Fred, M.; Trautmann, N.; Wyart, J.-F. Spectra and Electronic Structures of Free Actinide Atoms and Ions. In The Chemistry of the Actinide and Transactinide Elements; Morss, L.R., Edelstein, N.M., Fuger, J., Eds.; Springer: Dordrecht, The Netherlands, 2006; pp. 1836–1892. [Google Scholar] [CrossRef]
- Rodrigues, G.C.; Indelicato, P.; Santos, J.P.; Patté, P.; Parente, F. Systematic calculation of total atomic energies of ground state configurations. At. Data Nucl. Data Tables 2004, 86, 117–233. [Google Scholar] [CrossRef]
- Wiberg, K.B. Application of the pople-santry-segal CNDO method to the cyclopropylcarbinyl and cyclobutyl cation and to bicyclobutane. Tetrahedron 1968, 24, 1083–1096. [Google Scholar] [CrossRef]
- Silva Lopez, C.; de Lera, A.R. Bond Ellipticity as a Measure of Electron Delocalization in Structure and Reactivity. Curr. Org. Chem. 2011, 15, 3576–3593. [Google Scholar] [CrossRef]
- Kerridge, A. f-Orbital covalency in the actinocenes (An = Th–Cm): Multiconfigurational studies and topological analysis. RSC Adv. 2014, 4, 12078–12086. [Google Scholar] [CrossRef]
- Kerridge, A. Quantification of f-element covalency through analysis of the electron density: Insights from simulation. Chem. Commun. 2017, 53, 6685–6695. [Google Scholar] [CrossRef]
- Radoske, T.; März, J.; Patzschke, M.; Kaden, P.; Walter, O.; Schmidt, M.; Stumpf, T. Bonding Trends in Tetravalent Th–Pu Monosalen Complexes. Chem. Eur. J. 2020, 26, 16853–16859. [Google Scholar] [CrossRef]
- Kovács, A.; Varga, Z. Metal–ligand interactions in complexes of cyclen-based ligands with Bi and Ac. Struct. Chem. 2021, 32, 1719–1731. [Google Scholar] [CrossRef]
- Kelley, M.P.; Su, J.; Urban, M.; Luckey, M.; Batista, E.R.; Yang, P.; Shafer, J.C. On the Origin of Covalent Bonding in Heavy Actinides. J. Am. Chem. Soc. 2017, 139, 9901–9908. [Google Scholar] [CrossRef] [PubMed]
- Kelley, M.P.; Deblonde, G.J.P.; Su, J.; Booth, C.H.; Abergel, R.J.; Batista, E.R.; Yang, P. Bond Covalency and Oxidation State of Actinide Ions Complexed with Therapeutic Chelating Agent 3,4,3-LI(1,2-HOPO). Inorg. Chem. 2018, 57, 5352–5363. [Google Scholar] [CrossRef] [PubMed]
- Chandrasekar, A.; Ghanty, T.K. Uncovering Heavy Actinide Covalency: Implications for Minor Actinide Partitioning. Inorg. Chem. 2019, 58, 3744–3753. [Google Scholar] [CrossRef] [PubMed]






| Complex | State 1 | SO Composition (%) 2 | SF Composition (%) 3 |
|---|---|---|---|
| U(DOTA) | 3H4 | 3A (42) + 3B (26) + 3B (26) | 3A (93) |
| Np(DOTA) | 4I9/2 | 4A (40) + 4B (20) + 4B (20) | 4A (85) |
| Pu(DOTA) | 5I4 | 5A (38) + 5A (32) | 5A (88) |
| U(DOTA)(H2O) | 3H4 | 3A (40) + 3B (30) + 3B (23) | 3A (91) |
| Np(DOTA)(H2O) | 4I9/2 | 4A (32) + 4B (27) + 4B (13) | 4A (86) |
| Pu(DOTA)(H2O) | 5I4 | 5A (29) + 5A (23) + 5B (12) | 5A (85) |
| An | qAn | ρ(r) | ▽2ρ(r) | H(r) | ε | ||||||||||||||
|---|---|---|---|---|---|---|---|---|---|---|---|---|---|---|---|---|---|---|---|
| An-O | An-N | An-Ow | An-O | An-N | An-Ow | An-O | An-N | An-Ow | An-O | An-N | An-Ow | ||||||||
| Th(DOTA) | 2.75 | 0.086 | 0.041 | 0.277 | 0.105 | −0.016 | −0.003 | 0.08 | 0.02 | ||||||||||
| U(DOTA) | 2.55 | 0.092 | 0.043 | 0.317 | 0.118 | −0.017 | −0.003 | 0.07 | 0.09 | ||||||||||
| Np(DOTA) | 2.47 | 0.093 | 0.043 | 0.338 | 0.126 | −0.017 | −0.003 | 0.04 | 0.09 | ||||||||||
| Pu(DOTA) | 2.39 | 0.094 | 0.042 | 0.353 | 0.121 | −0.016 | −0.003 | 0.02 | 0.06 | ||||||||||
| Th(DOTA)(H2O) | 2.79 | 0.080 | 0.039 | 0.051 | 0.265 | 0.101 | 0.199 | −0.013 | −0.002 | 0.000 | 0.08 | 0.02 | 0.16 | ||||||
| U(DOTA)(H2O) | 2.58 | 0.087 | 0.041 | 0.047 | 0.304 | 0.112 | 0.198 | −0.015 | −0.003 | 0.000 | 0.09 | 0.07 | 0.12 | ||||||
| Np(DOTA)(H2O) | 2.50 | 0.088 | 0.041 | 0.049 | 0.323 | 0.118 | 0.205 | −0.014 | −0.003 | 0.000 | 0.03 | 0.11 | 0.06 | ||||||
| Pu(DOTA)(H2O) | 2.42 | 0.089 | 0.039 | 0.047 | 0.335 | 0.116 | 0.193 | −0.014 | −0.002 | 0.000 | 0.02 | 0.05 | 0.12 | ||||||
Publisher’s Note: MDPI stays neutral with regard to jurisdictional claims in published maps and institutional affiliations. |
© 2022 by the author. Licensee MDPI, Basel, Switzerland. This article is an open access article distributed under the terms and conditions of the Creative Commons Attribution (CC BY) license (https://creativecommons.org/licenses/by/4.0/).
Share and Cite
Kovács, A. Theoretical Study of Complexes of Tetravalent Actinides with DOTA. Symmetry 2022, 14, 2451. https://doi.org/10.3390/sym14112451
Kovács A. Theoretical Study of Complexes of Tetravalent Actinides with DOTA. Symmetry. 2022; 14(11):2451. https://doi.org/10.3390/sym14112451
Chicago/Turabian StyleKovács, Attila. 2022. "Theoretical Study of Complexes of Tetravalent Actinides with DOTA" Symmetry 14, no. 11: 2451. https://doi.org/10.3390/sym14112451
APA StyleKovács, A. (2022). Theoretical Study of Complexes of Tetravalent Actinides with DOTA. Symmetry, 14(11), 2451. https://doi.org/10.3390/sym14112451
