Fractional Analysis of Nonlinear Boussinesq Equation under Atangana–Baleanu–Caputo Operator
Abstract
1. Introduction
- 1.
- Assume that the Dupuit–Forchhimer assumptions are correct, as well as Darcy’s law.
- 2.
- In the control volume, the fluid (water) is non-compressible.
- 3.
- The flux variations in the control volume are governed by a power-law function.
2. Preliminaries
Definition
3. Methodology of LTDM
4. Methodology of VITM
5. Applications
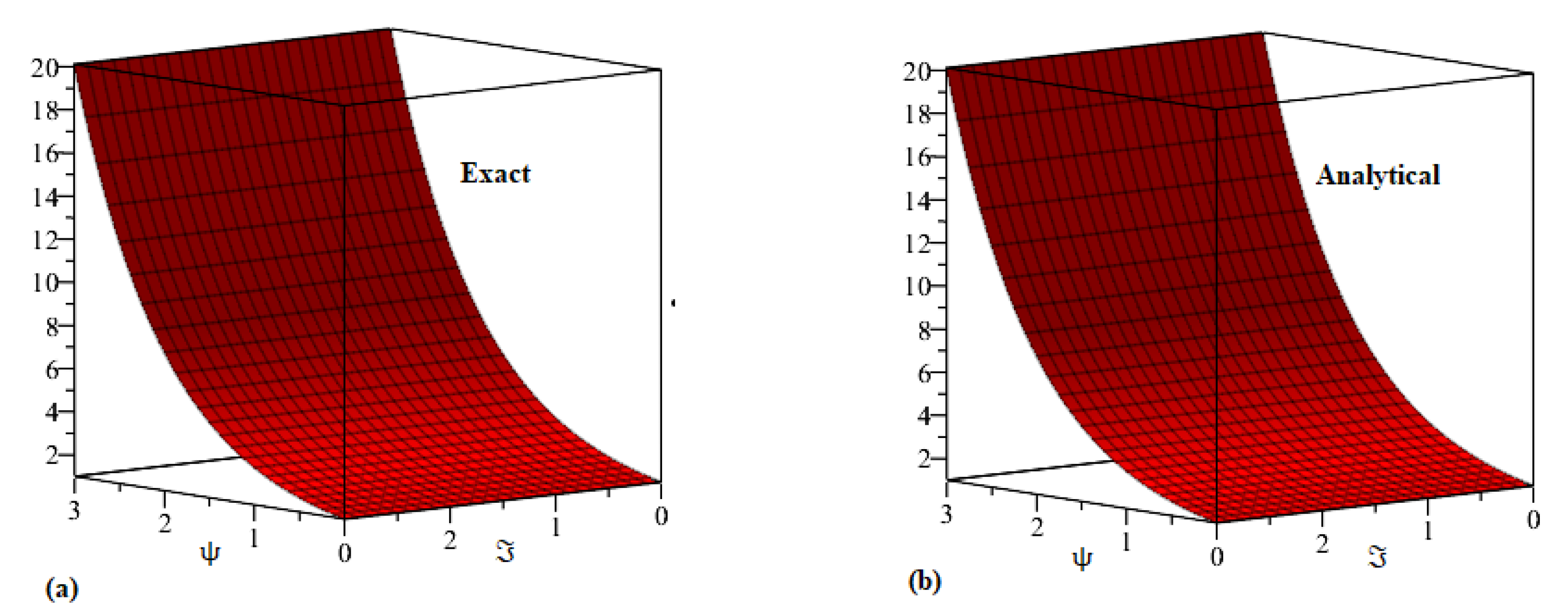
5.1. Example 1
5.2. Example 2
5.3. Example 3
6. Conclusions
Author Contributions
Funding
Institutional Review Board Statement
Informed Consent Statement
Data Availability Statement
Conflicts of Interest
References
- Bateman Manuscript Project; Erdlyi, A.; Bateman, H. Tables of Integral Trans Forms: Based in Part on Notes Left by Harry Bateman and Compiled by the Staff of the Bateman Manuscript Project; McGraw-Hill: New York, NY, USA, 1954. [Google Scholar]
- Dumitru, B.; Kai, D.; Enrico, S. Fractional Calculus: Models and Numerical Methods; World Scientific: Singapore, 2012; Volume 3. [Google Scholar]
- Hilfer, R. (Ed.) Applications of Fractional Calculus in Physics; World Scientific: Singapore, 2000; Volume 35, pp. 87–130. [Google Scholar]
- Lavenda, B.H. Concepts of Stability and Symmetry in Irreversible Thermodynamics. I. Found. Phys. 1972, 2, 161–179. [Google Scholar] [CrossRef]
- Gallavotti, G. Breakdown and regeneration of time reversal symmetry in nonequilibrium statistical mechanics. Phys. D 1998, 112, 250–257. [Google Scholar] [CrossRef]
- Russo, G.; Slotine, J.-J.E. Symmetries, stability, and control in nonlinear systems and networks. Phys. Rev. E 2011, 84, 041929. [Google Scholar] [CrossRef]
- Kovalnogov, V.N.; Kornilova, M.I.; Khakhalev, Y.A.; Generalov, D.A.; Simos, T.E.; Tsitouras, C. New family for Runge-Kutta-Nystrom pairs of orders 6(4) with coefficients trained to address oscillatory problems. Math. Meth. Appl. Sci. 2022, 1–13. [Google Scholar] [CrossRef]
- Hao, R.; Lu, Z.; Ding, H.; Chen, L. A nonlinear vibration isolator supported on a flexible plate: Analysis and experiment. Nonlinear Dyn. 2022, 108, 941–958. [Google Scholar] [CrossRef]
- Luo, G.; Yuan, Q.; Li, J.; Wang, S.; Yang, F. Artificial intelligence powered mobile networks: From cognition to decision. IEEE Netw. 2022, 36, 136–144. [Google Scholar] [CrossRef]
- Barbosa, R.; Tenreiro Machado, J.A.; Ferreira, I.M. PID controller tuning using fractional calculus concepts. Fract. Calc. Appl. Anal. 2004, 7, 121–134. [Google Scholar]
- Machado, J.A. Analysis and design of fractional-order digital control systems. SAMS 1997, 27, 107–122. [Google Scholar]
- Xie, X.; Sun, Y. A piecewise probabilistic harmonic power flow approach in unbalanced residential distribution systems. Int. J. Electr. Power Energy Syst. 2022, 141, 108114. [Google Scholar] [CrossRef]
- Ford, N.J.; Simpson, A.C. The numerical solution of fractional differential equations: Speed versus accuracy. Numer. Algorithms 2001, 26, 333–346. [Google Scholar] [CrossRef]
- Sunthrayuth, P.; Aljahdaly, N.H.; Ali, A.; Shah, R.; Mahariq, I.; Tchalla, A.M. ψ-Haar Wavelet Operational Matrix Method for Fractional Relaxation-Oscillation Equations Containing-Caputo Fractional Derivative. J. Funct. Spaces 2021, 2021, 7117064. [Google Scholar] [CrossRef]
- Xu, Y.; Li, Y.; Liu, D.; Jia, W.; Huang, H. Responses of Duffing oscillator with fractional damping and random phase. Nonlinear Dyn. 2013, 74, 745–753. [Google Scholar] [CrossRef]
- Sunthrayuth, P.; Ullah, R.; Khan, A.; Shah, R.; Kafle, J.; Mahariq, I.; Jarad, F. Numerical Analysis of the Fractional-Order Nonlinear System of Volterra Integro-Differential Equations. J. Funct. Spaces 2021, 2021, 1537958. [Google Scholar] [CrossRef]
- Hashemi, M.; Bahrami, F.; Najafi, R. Lie symmetry analysis of steady-state fractional reaction-convection-diffusion equation. Optik 2017, 138, 240–249. [Google Scholar] [CrossRef]
- Chu, Y.-M.; Inc, M.; Hashemi, M.S.; Eshaghi, S. Analytical treatment of regularized Prabhakar fractional differential equations by invariant subspaces. Comput. Appl. Math. 2022, 41, 271. [Google Scholar] [CrossRef]
- Nonlaopon, K.; Alsharif, A.; Zidan, A.; Khan, A.; Hamed, Y.; Shah, R. Numerical Investigation of Fractional-Order Swift–Hohenberg Equations via a Novel Transform. Symmetry 2021, 13, 1263. [Google Scholar] [CrossRef]
- Ali, A.; Shah, K.; Abdeljawad, T.; Mahariq, I.; Rashdan, M. Mathematical analysis of nonlinear integral boundary value problem of proportional delay implicit fractional differential equations with impulsive conditions. Bound. Value Probl. 2021, 2021, 7. [Google Scholar] [CrossRef]
- Alaoui, M.K.; Nonlaopon, K.; Zidan, A.M.; Khan, A.; Shah, R. Analytical Investigation of Fractional-Order Cahn–Hilliard and Gardner Equations Using Two Novel Techniques. Mathematics 2022, 10, 1643. [Google Scholar] [CrossRef]
- Sunthrayuth, P.; Alyousef, H.A.; El-Tantawy, S.A.; Khan, A.; Wyal, N. Solving Fractional-Order Diffusion Equations in a Plasma and Fluids via a Novel Transform. J. Funct. Spaces 2022, 2022, 1899130. [Google Scholar] [CrossRef]
- Arqub, O.A.; Al-Smadi, M. Atangana-Baleanu fractional approach to the solutions of Bagley-Torvik and Painleve equations in Hilbert space. Chaos Solitons Fractals 2018, 117, 161–167. [Google Scholar] [CrossRef]
- Alshehry, A.S.; Imran, M.; Khan, A.; Shah, R.; Weera, W. Fractional View Analysis of Kuramoto–Sivashinsky Equations with Non-Singular Kernel Operators. Symmetry 2022, 14, 1463. [Google Scholar] [CrossRef]
- Shah, N.A.; Hamed, Y.S.; Abualnaja, K.M.; Chung, J.-D.; Shah, R.; Khan, A. A Comparative Analysis of Fractional-Order Kaup–Kupershmidt Equation within Different Operators. Symmetry 2022, 14, 986. [Google Scholar] [CrossRef]
- Al-Sawalha, M.M.; Khan, A.; Ababneh, O.Y.; Botmart, T. Fractional view analysis of Kersten-Krasil’shchik coupled KdV-mKdV systems with non-singular kernel derivatives. AIMS Math. 2022, 7, 18334–18359. [Google Scholar] [CrossRef]
- Hashemi, M. A novel approach to find exact solutions of fractional evolution equations with non-singular kernel derivative. Chaos Solitons Fractals 2021, 152, 111367. [Google Scholar] [CrossRef]
- Owolabi, K.M. Robust and adaptive techniques for numerical simulation of nonlinear partial differential equations of fractional order. Commun. Nonlinear Sci. Numer. Simul. 2017, 44, 304–317. [Google Scholar] [CrossRef]
- Yusufoglu, E. Numerical solution of Duffing equation by the Laplace decomposition algorithm. Appl. Math. Comput. 2006, 177, 572–580. [Google Scholar]
- Al-Sawalha, M.M.; Ababneh, O.Y.; Nonlaopon, K. Numerical analysis of fractional-order Whitham-Broer-Kaup equations with non-singular kernel operators. Aims Math. 2023, 8, 2308–2336. [Google Scholar] [CrossRef]
- Alshehry, A.S.; Shah, R.; Shah, N.A.; Dassios, I. A Reliable Technique for Solving Fractional Partial Differential Equation. Axioms 2022, 11, 574. [Google Scholar] [CrossRef]
- Wazwaz, A.-M. The combined Laplace transform—Adomian decomposition method for handling nonlinear Volterra integro–differential equations. Appl. Math. Comput. 2010, 216, 1304–1309. [Google Scholar] [CrossRef]
- Khan, M.; Hussain, M. Application of Laplace decomposition method on semi-infinite domain. Numer. Algorithms 2010, 56, 211–218. [Google Scholar] [CrossRef]
- Inokuti, M.; Sekine, H.; Mura, T. General use of the Lagrange multiplier in nonlinear mathematical physics. Var. Method Mech. Solids 1978, 33, 156–162. [Google Scholar]
- He, J.-H. Approximate analytical solution for seepage flow with fractional derivatives in porous media. Comput. Methods Appl. Mech. Eng. 1998, 167, 57–68. [Google Scholar] [CrossRef]
- He, J.-H. Variational iteration method—A kind of non-linear analytical technique: Some examples. Int. J. Non-Linear Mech. 1999, 34, 699–708. [Google Scholar] [CrossRef]
- Hristov, J. An Exercise with the He’s Variation Iteration Method to a Fractional Bernoul li Equation Arising in Transient Conduction with Non-Linear Heat Flux at the Boundary. Int. Rev. Chem. Eng. 2012, 4, 489–497. [Google Scholar]
- Hetmaniok, E.; Kaczmarek, K.; Słota, D.; Wituła, R.; Zielonka, A. Application of the Variational Iteration Method for Determining the Temperature in the Heterogeneous Casting-Mould System. Int. Rev. Chem. Eng. 2012, 4, 511–515. [Google Scholar]
- Abdou, M.; Soliman, A. Variational iteration method for solving Burger’s and coupled Burger’s equations. J. Comput. Appl. Math. 2005, 181, 245–251. [Google Scholar] [CrossRef]
- Wazwaz, A.M. The variational iteration method: A reliable analytic tool for solv ing linear and nonlinear wave equations. Comput. Math. Appl. 2007, 54, 926–932. [Google Scholar] [CrossRef]
- Inc, M. Numerical simulation of KdV and mKdV equations with initial conditions by the variational iteration method. Chaos Solitons Fractals 2007, 34, 1075–1081. [Google Scholar] [CrossRef]
- He, J.H.; Wu, X.H. Variational iteration method: New development and appli cations. Comput. Math. Appl. 2007, 54, 881–894. [Google Scholar] [CrossRef]
- Bona, J.L.; Chen, M.; Saut, J.-C. Boussinesq equations and other systems for small-amplitude long waves in nonlinear dispersive media. I: Derivation and linear theory. J. Nonlin. Sci. 2002, 12, 283–318. [Google Scholar] [CrossRef]
- Bear, J. Hydraulic of Groundwater; McGraw Hill Book Company: New York, NY, USA, 1978. [Google Scholar]
- Bona, J.L.; Chen, M.; Saut, J.-C. Boussinesq equations and other systems for small-amplitude long waves in nonlinear dispersive media: II. The nonlinear theory. Nonlinearity 2004, 17, 925–952. [Google Scholar] [CrossRef]
- Mehdinejadiani, B.; Jafari, H.; Baleanu, D. Derivation of a fractional Boussinesq equation for modelling unconfined groundwater. Eur. Phys. J. Spec. Top. 2013, 222, 1805–1812. [Google Scholar] [CrossRef]
- Serrano, S.E. Analytical Solutions of the Nonlinear Groundwater Flow Equation in Unconfined Aquifers and the Effect of Heterogeneity. Water Resour. Res. 1995, 31, 2733–2742. [Google Scholar] [CrossRef]
- Botmart, T.; Agarwal, R.P.; Naeem, M.; Khan, A.; Shah, R. On the solution of fractional modified Boussinesq and approximate long wave equations with non-singular kernel operators. AIMS Math. 2022, 7, 12483–12513. [Google Scholar] [CrossRef]
- Zidan, A.M.; Khan, A.; Shah, R.; Alaoui, M.K.; Weera, W. Evaluation of time-fractional Fisher’s equations with the help of analytical methods. AIMS Math. 2022, 7, 18746–18766. [Google Scholar] [CrossRef]
- Alaoui, M.K.; Fayyaz, R.; Khan, A.; Shah, R.; Abdo, M.S. Analytical Investigation of Noyes–Field Model for Time-Fractional Belousov–Zhabotinsky Reaction. Complexity 2021, 2021, 3248376. [Google Scholar] [CrossRef]
- Areshi, M.; Khan, A.; Shah, R.; Nonlaopon, K. Analytical investigation of fractional-order Newell-Whitehead-Segel equations via a novel transform. AIMS Math. 2022, 7, 6936–6958. [Google Scholar] [CrossRef]
- Alderremy, A.A.; Aly, S.; Fayyaz, R.; Khan, A.; Shah, R.; Wyal, N. The Analysis of Fractional-Order Nonlinear Systems of Third Order KdV and Burgers Equations via a Novel Transform. Complexity 2022, 2022, 4935809. [Google Scholar] [CrossRef]



| Exact Solution | Proposed Techniques | Proposed Techniques | Proposed Techniques | Proposed Techniques | |
|---|---|---|---|---|---|
| 0 | 1.004008011000000 | 1.004008011000000 | 0.000000000 | 4.1959900000 × 10 | 8.4706360000 × 10 | 
| 0.1 | 1.109600455000000 | 1.109600455000000 | 0.000000000 × 10 | 4.6372900000 × 10 | 9.3615010000 × 10 | 
| 0.2 | 1.226298153000000 | 1.226298154000000 | 1.000000000 × 10 | 5.1250000000 × 10 | 1.0346059000 × 10 | 
| 0.3 | 1.355269056000000 | 1.355269057000000 | 1.000000000 × 10 | 5.6640000000 × 10 | 1.1434164000 × 10 | 
| 0.4 | 1.497803947000000 | 1.497803948000000 | 1.000000000 × 10 | 6.2596900000 × 10 | 1.2636705000 × 10 | 
| 0.5 | 1.655329363000000 | 1.655329364000000 | 1.000000000 × 10 | 6.9180300000 × 10 | 1.3965719000 × 10 | 
| 0.6 | 1.829421872000000 | 1.829421872000000 | 0.000000000 × 10 | 7.6455900000 × 10 | 1.5434505000 × 10 | 
| 0.7 | 2.021823850000000 | 2.021823850000000 | 0.000000000 × 10 | 8.4496900000 × 10 | 1.7057766000 × 10 | 
| 0.8 | 2.234460920000000 | 2.234460921000000 | 1.000000000 × 10 | 9.3383500000 × 10 | 1.8851748000 × 10 | 
| 0.9 | 2.469461227000000 | 2.469461227000000 | 0.000000000 × 10 | 1.0320470000 × 10 | 2.0834403000 × 10 | 
| 1.0 | 2.729176731000000 | 2.729176731000000 | 0.000000000 × 10 | 1.1405890000 × 10 | 2.3025576000 × 10 | 
| Exact Solution | Proposed Techniques | Proposed Techniques | Proposed Techniques | Proposed Techniques | |
|---|---|---|---|---|---|
| 0 | 1.001100605000000 | 1.001100605000000 | 0.0000000000 | 1.1470000000 | 2.3021230000 | 
| 0.1 | 1.106387275000000 | 1.106387275000000 | 0.0000000000 | 1.2676300000 | 2.5442390000 | 
| 0.2 | 1.222747040000000 | 1.222747040000000 | 0.0000000000 | 1.4009500000 | 2.8118190000 | 
| 0.3 | 1.351344469000000 | 1.351344469000000 | 0.0000000000 | 1.5482900000 | 3.1075410000 | 
| 0.4 | 1.493466608000000 | 1.493466608000000 | 0.0000000000 | 1.7111200000 | 3.4343640000 | 
| 0.5 | 1.650535862000000 | 1.650535862000000 | 0.0000000000 | 1.8910800000 | 3.7955590000 | 
| 0.6 | 1.824124234000000 | 1.824124233000000 | 1.0000000000 | 2.0899600000E | 4.1947410000 | 
| 0.7 | 2.015969054000000 | 2.015969053000000 | 1.0000000000 | 2.3097700000 | 4.6359060000 | 
| 0.8 | 2.227990370000000 | 2.227990369000000 | 1.0000000000 | 2.5526900000 | 5.1234680000 | 
| 0.9 | 2.462310163000000 | 2.462310162000000 | 1.0000000000 | 2.8211600000 | 5.6623080000 | 
| 1.0 | 2.721273584000000 | 2.721273583000000 | 1.0000000000 | 3.1178500000 | 6.2578180000 | 
| Exact Solution | Proposed Techniques | Proposed Techniques | Proposed Techniques | Proposed Techniques | |
|---|---|---|---|---|---|
| 0 | 1.010050167000000 | 1.010050167000000 | 0.0000000000 | 1.0620730000 × 10 | 2.1703277000 × 10 | 
| 0.1 | 1.116278070000000 | 1.116278070000000 | 0.0000000000 × 10 | 1.1737720000 × 10 | 2.3985831000 × 10 | 
| 0.2 | 1.233678060000000 | 1.233678060000000 | 0.0000000000 × 10 | 1.2972190000 × 10 | 2.6508442000 × 10 | 
| 0.3 | 1.363425114000000 | 1.363425114000000 | 0.0000000000 × 10 | 1.4336490000 × 10 | 2.9296360000 × 10 | 
| 0.4 | 1.506817785000000 | 1.506817785000000 | 0.0000000000 × 10 | 1.5844270000 × 10 | 3.2377485000 × 10 | 
| 0.5 | 1.665291195000000 | 1.665291195000000 | 0.0000000000 × 10 | 1.7510620000 × 10 | 3.5782655000 × 10 | 
| 0.6 | 1.840431399000000 | 1.840431398000000 | 1.0000000000 × 10 | 1.9352220000 × 10 | 3.9545948000 × 10 | 
| 0.7 | 2.033991259000000 | 2.033991258000000 | 1.0000000000 × 10 | 2.1387510000 × 10 | 4.3705032000 × 10 | 
| 0.8 | 2.247907987000000 | 2.247907986000000 | 1.0000000000 × 10 | 2.3636860000 × 10 | 4.8301530000 × 10 | 
| 0.9 | 2.484322533000000 | 2.484322533000000 | 0.0000000000 × 10 | 2.6122780000 × 10 | 5.3381448000 × 10 | 
| 1.0 | 2.745601015000000 | 2.745601014000000 | 1.0000000000 × 10 | 2.8870130000 × 10 | 5.8995623000 × 10 | 
| Publisher’s Note: MDPI stays neutral with regard to jurisdictional claims in published maps and institutional affiliations. | 
© 2022 by the authors. Licensee MDPI, Basel, Switzerland. This article is an open access article distributed under the terms and conditions of the Creative Commons Attribution (CC BY) license (https://creativecommons.org/licenses/by/4.0/).
Share and Cite
Alyobi, S.; Shah, R.; Khan, A.; Shah, N.A.; Nonlaopon, K. Fractional Analysis of Nonlinear Boussinesq Equation under Atangana–Baleanu–Caputo Operator. Symmetry 2022, 14, 2417. https://doi.org/10.3390/sym14112417
Alyobi S, Shah R, Khan A, Shah NA, Nonlaopon K. Fractional Analysis of Nonlinear Boussinesq Equation under Atangana–Baleanu–Caputo Operator. Symmetry. 2022; 14(11):2417. https://doi.org/10.3390/sym14112417
Chicago/Turabian StyleAlyobi, Sultan, Rasool Shah, Adnan Khan, Nehad Ali Shah, and Kamsing Nonlaopon. 2022. "Fractional Analysis of Nonlinear Boussinesq Equation under Atangana–Baleanu–Caputo Operator" Symmetry 14, no. 11: 2417. https://doi.org/10.3390/sym14112417
APA StyleAlyobi, S., Shah, R., Khan, A., Shah, N. A., & Nonlaopon, K. (2022). Fractional Analysis of Nonlinear Boussinesq Equation under Atangana–Baleanu–Caputo Operator. Symmetry, 14(11), 2417. https://doi.org/10.3390/sym14112417
 
        



 
       