Abstract
The MoS2 surface plasmon resonance structure is proposed as a THz absorber in this work. The absorber adopts a double layer structure of Archimedean spirals stacked with split rings. In 1.2–3.0 THz, the absorption is greater than 92%, and the relative absorption bandwidth reached the value of 85.7%. Due to the circular-like symmetry of the unit, the polarization of the absorber is less sensitive to the incident angle within a certain range. When the incident angle is within 60°, the absorption in the bandwidth is still greater than 85%. The design efficiency is also significantly improved by the combined method of the equivalent circuit and finite difference time domain. Our work provides new directions for the design of terahertz devices, which is of great importance for various fields including terahertz imaging, detection and sensing, and especially in 6G communication systems.
1. Introduction
The terahertz (THz) frequency band lies between 100 GHz (λ = 3 mm) and 10 THz (λ = 30 μm). The energy of terahertz is also equal to various physical, biological, and chemical processes, allowing the utilization of terahertz systems in security screening, bio-imaging, and high bit-rate communications [1,2]. As the terahertz absorber is regarded as one of the most important devices for system applications, it has attracted wide attention from the scientific community.
Since the theoretical framework of metamaterial absorbers was first proposed by Landy et al. in 2008, metamaterial absorbers have been widely used in various applications, such bolometers [3], thermal imaging devices [4], sensitive detectors [5], and other applications. The conventional metamaterial absorbers are generally composed of three-layer structures (metal–insulator–metal [6,7]). Due to several factors, such as the thickness of the metal materials and the limitation of the dielectric constant [8], traditional metamaterial absorbers have been unable to meet the needs of practical applications.
2D materials, which have emerged in recent years, due to their unique mechanical, electronic, and optical properties, can support surface plasmons, and impose strong sub-wavelength confinement of the applied electromagnetic fields in terahertz regions. Therefore, 2D materials have been extensively used in metamaterial absorbers and attracted wide attention. Currently, the application of 2D materials for THz absorber applications mainly focuses on single frequency points or multiple frequency bands. For example, graphene [9,10,11,12], MoS2 [13], and black phosphorus [14,15] are also used. In addition, 2D materials can be electrostatically or chemically doped, so their conductivity is adjustable. Usually, in single-frequency points with multi-band THz absorbers, the resonant peak of the absorber can be adjusted by changing the applied voltage [9,10,11,13]. As far as broadband THz absorber applications are concerned, graphene [16,17] and MoS2 [18] are mainly used. In addition, combining the layer properties and uniform hyperbolic dispersion properties of 2D materials, the highly anisotropic properties of hyperbolic metamaterials (HMMs) have attracted great interest [19]. HMMs absorbers composed of stacks of multilayer 2D materials have also been widely studied [20].
Compared with the single-frequency point and the multi-frequency band, research on broadband absorbers is relatively scarce. To achieve broadband performance, the following two structures are usually used for the absorber’s structure: 1. Single in-plane coupling, which generates resonance effect through multiple patterns in the plane. The process of this structure is simple but since a single plane is used, the area of the unit significantly limits the matching performance, which has a great impact on the bandwidth. 2. Multilayer structure: According to the impedance line transportation, it can be gradually matched to the free space impedance through multiple layers. The pattern of each layer can also be adjusted individually, and the different dielectric constants can be set for different layers by the application of an external voltage. Therefore, the multi-layer structure has a wider range of adjustment capabilities than the single-plane structure, and thus broadband performance can be easily achieved. However, the preparation process is complicated because an increased number of layers is required. For example, the already existing broadband absorbers in the literature [16] are composed of three layers and a total number of four electrodes.
During the design process of the current absorber, FDTD (finite difference time domain) simulations are mainly used for carrying out calculations. The FDTD results are accurate, but a lot of time is required for the numerical simulation process. A simple simulation process can take several hours. In some works in the literature, the equivalent circuit design method was used [16,21], which can greatly reduce the total simulation time. However, the equivalent circuit method mainly focuses on the utilization of several fixed and common equivalent circuit structures, such as rectangles, disks, ribbons, etc., which significantly limits the choice of the absorber structure. In the literature [16], the ribbon equivalent circuit method has been used in the design of a complex three-layer structure. Moreover, since the ribbon pattern consists of an asymmetric structure, the absorber is relatively sensitive to the incident angle of THz.
According to the current research status and the demand development, MoS2 was used to design the metamaterial THz absorber. The bandwidth of the absorber was increased by employing a double-layer structure. The acquired results were compared with the respective outcomes in the literature, in terms of relative absorption bandwidth and absorption at different incident angles. The impact of the Archimedean spiral structure on the absorber performance was also systematically analyzed.
2. Structures and Theoretical Model
The schematic diagram of the MoS2 nanoarrays is presented in Figure 1. The unit structure period is px*px, where px is the side length of the square unit. The THz absorber array consists of different five layers, as shown in Figure 1a. The first layer consists of three split rings with different radii (R11, R12, R21, R22, R31, R32). Each split ring also has the same split gaps (wg). The third layer is composed of a double Archimedean spiral pattern with a spiral width (wa) and an angle of θ1, and the structure is displayed in Figure 1b. The second and fourth layers are composed of TOPAS (thermoplastic olefin polymer of amorphous structure) materials with thickness values of H3 and H4, respectively. The fifth layer is Au material with a thickness of 1 μm.
Figure 1.
(a) Schematic diagram of the MoS2 absorber; (b) geometric parameters of the structure.
The surface model has been proposed to describe the conductivity function of MoS2 [22,23]. The inter-band and intra-band transitions contribute to the surface conductivity of MoS2 [24,25], which can be obtained on the basis of the Kubo formula [26]:
In the near-infrared and terahertz frequency domains, the intra-band transitions of the monolayer MoS2 dominated, σinter it close to zero. Therefore, σmos2 could be approximated by σintra in the THz regime (0.1–10 THz). The surface conductivity formula of the MoS2 can be similarly described by using the Drude model:
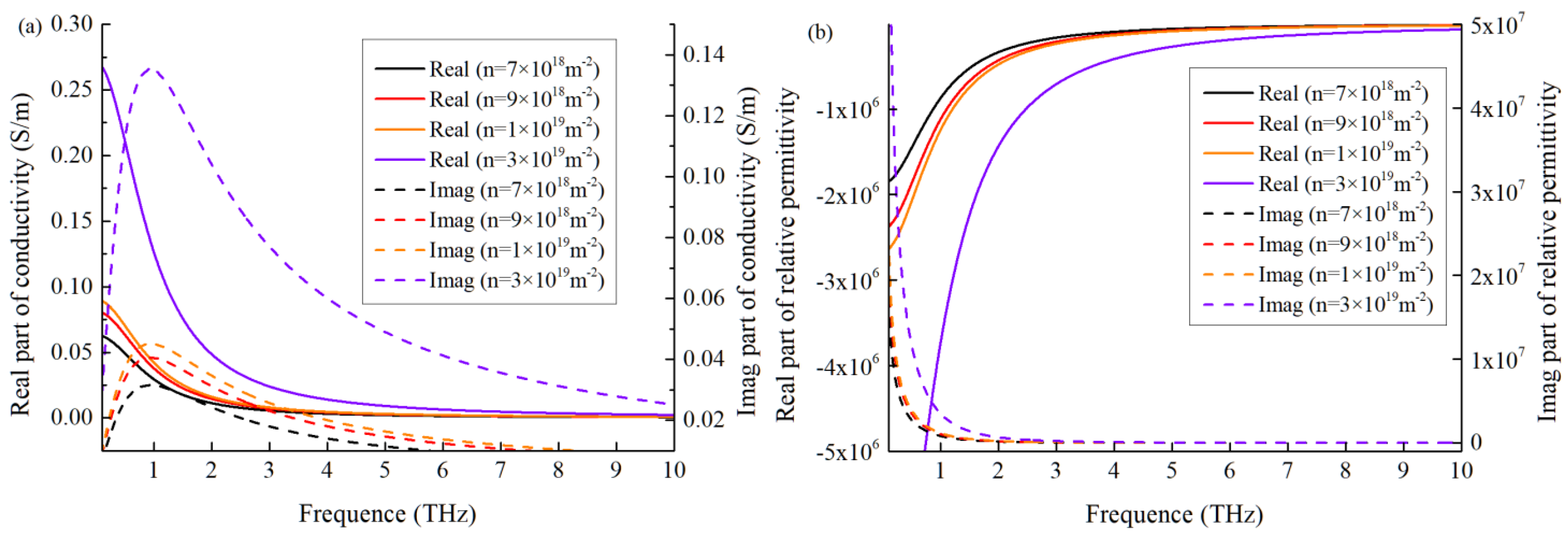
The conductivity of MoS2 can be divided into the real part σr and the imaginary part σi. In Equation (2), n is the carrier concentration, e denotes the electron charge, m* = 0.53 me is the effective electron mass, ω represents the angular velocity, and τ stands for the collision frequency (τ = 0.17 ps). From Equation (3), it can be concluded that the magnitude of n and τ, affects the electrical conductivity of the MoS2. During the preparation process, the value of n can be adjusted by electrostatic doped, etc., and thus the desired electrical conductivity value of the material can be obtained. Figure 2a illustrates the influence of n on the electrical conductivity of MoS2 in the terahertz frequency.
Figure 2.
(a) Distribution of the real and image part of the conductivity of MoS2 versus frequency for different carrier concentrations; (b) distribution of the real and image part of the relative permittivity of MoS2 versus frequency for different carrier concentrations.
In the terahertz frequency range, the relative permittivity of MoS2 can be usually calculated by using the Drude model:
where ε0 is the dielectric constant in free space (ε0 = 8.85 × 10−12 F/m) and t refers to the thickness of the monolayer MoS2. In this work, the value of t = 0.65 nm was assumed. In the THz frequency range, the real and imaginary parts of the relative permittivity of the MoS2 are changed, as shown in the figure. Figure 2b plots the variation of the real and imaginary parts of εmos2 for the different carrier concentrations according to Equation (4).
The carrier concentrations (n) in MoS2 can be tuned by electrochemical doped. In Figure 2, the effective dielectric constants of MoS2 with different carrier concentrations are shown. When n increased from 7 × 1018 to 3 × 1019 m−2, the image part of εmos2 increased significantly. In the low-frequency band (<1 THz), the curve of the real part of εmos2 was very steep. In addition, due to the relatively high damping rate of MoS2, the value of the image part was significantly higher than the respective value of the real part of the curve. TOPAS is a transparent and extremely pure amorphous resin. It possesses an excellent water vapor barrier, chemical resistance, and safety. TOPAS (the loss tangent is 0.00007) can maintain a stable dielectric constant, and has also very low absorption loss in the terahertz frequency band, which renders it an ideal terahertz dielectric substrate material. The refractive of TOPAS is np = 1.52 in the THz band [27], while the relative permittivity of Au is also described by using the Lorentz–Drude model:
where ω represents the angular frequency of the incident light, and ωp denotes the plasma frequency of Au, which is 4.35 π × 1015 rad/s. The collision frequency of Au(γ) is 3.19 π × 1013 rad/s [28]. The thickness of Au (1 μm) was also much larger than the skin depth, which meets the complete reflection requirement. Thus, the transmittance of the absorber T = 0. Absorption (A) can be calculated by A = 1 − R − T = 1 − |S11|2 − |S21|2, where R is the total reflectance, S11 and S21 are the reflection and transmission coefficient. Therefore, absorption can be expressed as A = 1 − R.
In a conventional absorber structure, when 2D materials are used as wave-absorbing patterns, the order of the absorber is limited. Thus, it is difficult to achieve broadband absorption performance. Combined with the monolayer characteristics of 2D materials, a double-layer absorbing structure was adopted in this work, which significantly extends the order of the absorber and improves its bandwidth performance, through the upper and lower patterns. Based on the proposed layer Iand layer IIstructure of the absorbers, the microwave network analysis was used, as is shown in Figure 3a. In the equivalent circuit of layer I, C1, C2, and C3 represent the equivalent capacitance that corresponds to each gap, and L is the inductive coupling between the rings (Figure 3b).
Figure 3.
(a) Microwave network of the MoS2 absorber; (b) equivalent circuit of the absorber.
Z0 is the characteristic impedance of the free space, which is about 376.7 Ω. Layer I is composed of TOPAS and MoS2 with a split ring pattern, and layer II is composed of Au, TOPAS, and MoS2 with an Archimedean spiral pattern. Due to the total reflection property of the Au layer, layer II is regarded as a single-port network and layer I as a two-port network. When the THz electromagnetic wave was incident perpendicular to the absorber surface, the electric and magnetic fields were parallel to the x- and y-axis directions, respectively. When the incident wave reached the surface of layer I, most of it was transmitted to layer II, and its energy was determined by the S21 transmission characteristics of layer I. Moreover, when electromagnetic waves were transmitted to layer II, most of their energy was absorbed. More specifically, a small part was reflected back to layer I, and another small part penetrated the TOPAS to the Au layer, and it was reflected back to layer I by the Au layer. Together with the initial reflected wave, these waves constituted the total energy of the reflected wave. Therefore, the S’11 characteristics of layer II, as well as the S21 and S11 characteristics of layer I, can determine the overall performance of the absorber.
In the simulation, we use the method of combining FDTD and equivalent circuit first, the specific steps are as follows:
- According to the TOPAS thickness, the layer II structure was designed using FDTD to obtain S1P parameters. From the above-mentioned analysis of the electromagnetic wave transmission network, it was obtained that the input impedance of layer II (Z’in) was equal to the parallel of the impedance of the TOPAS layer (Z’topas), and the MoS2 coupling impedance (Z’mos2). The Au layer of the absorber also had a total reflectivity due to its mirror property. In the design, the Au layer was considered a short-circuit surface. When the thickness of TOPAS was a quarter wavelength, Z’topas was regarded as open circuit impedance and Z’in = Z’mos2 was obtained. After the initial thickness of TOPAS was determined, and according to the Cartesian coordinate system of the equation of the Archimedean spirals, the FDTD method was used to simulate the three-dimensional model. According to the bandwidth index of the absorber, the structure of layer II was designed. After the FDTD simulation was performed, the S’11 parameters in the results were converted into S1P files;
- The LC equivalent circuit was combined with the S1P file, and the layer 1 structure was obtained by the method of 2D calculation. The equivalent circuit was established as shown in Figure 3b. Based on the absorber performance index, the LC values were quickly obtained by 2D calculation. According to the split ring equivalent circuit model [29,30,31,32], the LC values were converted into the size of split rings to complete the initial layer I structure design;
- FDTD is used to simulate the initial layer I + layer II structure, and after further adjustment, the final absorber structure was obtained.
In the design process, the equivalent circuit method was used in layer I, replacing part of the FDTD simulation to attain its initial structure. The final result was obtained by using the 3D electromagnetic simulation of FDTD. Compared to only using the FDTD simulation method throughout the design process, the simulation time was saved, and the design efficiency was improved.
Currently, monolayer MoS2 can be grown in a large area by using the CVD (chemical vapor deposition) method. Therefore, the MoS2-based THz absorber can be completely prepared by employing the related processes. First, the monolayer MoS2 was transferred to the target substrate, which was patterned into Archimedean spirals by using electron beam lithography, and then layer II was obtained by plasma etching. By using the same process, the three split ring patterns in layer I were obtained. Finally, the preparation of the absorber was completed.
3. Simulation and Discussion
According to the structure depicted in Figure 1 and the previously described design method, simulations were performed in combination with the COMSOL Multiphysics software. After the optimization procedure, the final geometric parameters of the absorber were obtained as follows: px = 58 μm, R11 = 19 μm, R12 = 17 μm, R21 = 10 μm, R22 = 7 μm, R31 = 6 μm, R32 = 4 μm, wg = 2 μm, wa = 2.6 μm, θ1=5π, a = 1.5 μm, H3 = 7 μm, H4 = 20 μm, and n = 1 × 1019 m−2. The absorption performance of the absorber is shown in Figure 4 below:
Figure 4.
(a) Absorption spectra of the MoS2 absorber; (b) the real and image parts of the input impedance versus frequency.
As can be observed from Figure 4a, the MoS2 absorber possesses wideband absorption characteristics in THz. The absorption was greater than 92% between 1.2–3.0 THz, and the relative absorption bandwidth (ABW) was 85.7%. Table 1 compared the data of absorbers that have been reported in the literature, where the fabrication was carried out with similar materials, such as Au, graphene, and MoS2. In the wideband, the absorption of all terahertz absorbers was greater than 90%. The comparison results indicated a value of ABW = 85.7%, which was higher than the reported values in these literatures. It can be also seen from Figure 4b that within the bandwidth of the absorber, the input real impedance of the absorber port was about 367.7 Ω, while the imaginary impedance was approximately equal to zero. This satisfied the impedance matching of the device with the free space.
Table 1.
Comparisons of the absorber with other reports.
In the whole design, layer II was simulated by FDTD. Then, according to its results, the initial structural design of the absorber was completed by combining the equivalent circuit of layer I. Finally, FDTD was used for fine-tuning to determine the final structure, as shown in Figure 5, compared the FDTD+ equivalent circuit simulation with the final FDTD simulation. The absorption curves were highly overlapping in the low-frequency range part outside the bandwidth. The difference was more obvious for the high-frequency part outside the bandwidth, but the width of the absorber bandwidth matched perfectly. Within the bandwidth, the fluctuations of the absorption curves exhibited some differences under the two methods. This is mainly because the equivalent circuit method ignored the coupling effect between the layers I and II, while the FDTD method calculation takes into account the coupling effect of the interlayer electromagnetic fields. Although the FDTD method is more accurate, it is very time-consuming, especially during the initial calculation process. Therefore, in the design, the initial value was first determined by the equivalent circuit method, and then the FDTD method was used for an accurate solution. Thus, the solving efficiency can be significantly improved, and the design time can be reduced.
Figure 5.
Comparison of the FDTD+ equivalent circuit simulation with the final FDTD simulation.
After the performance of the whole absorber was thoroughly investigated, the electric field distribution on the surface of different layers was compared, under the TE and TM polarization modes with an incidence angle of 0°. Figure 6a,b show the electric field distribution of the MoS2 surface layer under the TE polarization mode. In layer I, the maximum electric field was mainly concentrated near the openings of the middle two rings, while the electric field was mostly distributed near the second split ring. As far as the MoS2 surface of layer II was concerned, the electric field at the center of the Archimedean spirals was the largest and concentrated in the center. The electric field strength decreased rapidly along the peripheral direction as the spiral unfolds. The maximum electric field was 2.7 × 107 V/m, which was larger than the maximum electric field of 7.5 × 106 V/m in layer I. From the comparison of the electric field distribution, it can be argued that layer II absorption accounted for most of the total absorption of the absorber. Under the TM polarization mode, the electric field distribution was different from that under the TE polarization mode (Figure 6c,d). The maximum electric field was 9.5 × 106 V/m in layer I and 2.2 × 107 V/m in layer II. In contrast with the TE mode, the electric field in layer I was larger under the TM polarization mode. Thus, the absorption of layer I was better than the TE mode under the TM polarization mode. In striking contrast, the absorption of layer II was better than the TM polarization mode under the TE polarization mode. It can be seen from the electric field distribution diagram that under the TM polarization mode, the electric field was concentrated in the gap, and its absorption was mainly generated by the resonant coupling at the gap.
Figure 6.
Calculation of electric field distribution on the surface of the different layers under the TE, and TM polarization modes at 2 THz (a) TE, layer I; (b) TE, layer II; (c) TM, layer I; (d) TM, layer II.
From the above-mentioned analysis, it can be concluded that the difference in the resonance positions is determined by both the TE and TM polarization modes. In the TE mode, the resonant coupling between the split rings was mainly concentrated in the lateral direction of the structure (Figure 6a). Positive and negative charges were also generated and gathered on both sides of the split ring, forming a resonance that induced a strong electric field. This effect is equivalent to creating an electric dipole. When the electromagnetic wave acted on layer I, the charge on the ring increased, which also leads to the enhancement of the formed electric dipole. At this time, when the electric dipole resonated strongly with the external electromagnetic wave, the electromagnetic wave energy was weakened and thus absorbed. In layer II, the resonant coupling was generated between the spiral lines. As can be ascertained from Figure 6b,d, it was mainly concentrated in the center. As the spiral unfolds, the electric field gradually became smaller. The location of the coupling field was somewhat different in the TE and TM modes.
As can be seen from the electric field distribution, the performance of layer II was very important for absorption. Therefore, the individual layer II was compared to the whole absorber. As can be seen from Figure 7a, the absorption of layer II in the bandwidth was about 0.8, which cannot meet the practical requirements. This is due to the fact that the dielectric constant of MoS2 in combination with the equivalent capacitive inductance cannot be matched exactly to the free-space impedance. As can be observed from Figure 7b, the real impedance of the bottom layer fluctuated greatly around 376.7 Ω in the bandwidth, and the image impedance was the same case around 0 Ω. Therefore, a double-layer structure was used for the absorber. The multi-section matching of the microwave network was adopted to match the input impedance of the absorber to the free-space impedance. After the double-layer structure was used, the real and image impedance curves of the absorber became smoother and less undulating, which was closer to the free space impedance value, as is shown in Figure 7b. The absorption of the absorber was also increased to more than 0.92 in the bandwidth.
Figure 7.
Comparison of individual layer II to the whole absorber in (a) absorption, and (b) the real and image impedance.
Interestingly, on the surface of layer II, the Archimedean spiral pattern composed of MoS2 played a crucial role in the resonance of the electromagnetic waves. Hence, the Archimedean spiral structure was comparatively studied. The equation of Archimedean spirals in the Cartesian coordinate system is the: x = wa + a*θ1*cos(θ1), y = wa + a*θ1*sin(θ1), where θ1 is the rotation angle, a denotes the spacing of the spiral lines, and wa represents the width of the spiral lines. The range of θ1 directly controls the size of the Archimedean spirals, and a larger θ1 leads to a wider range of the Archimedean spirals. In Figure 8, when the θ1 of the Archimedean spirals was increased from 3 π to 5 π, the bandwidth of the absorber gradually became bigger. However, this led to a significant increase in the area of the Archimedean spirals, as well. In the ideal state, the existence of a larger angle θ1 leads to a wider bandwidth of the absorber. Nevertheless, it is difficult to ensure perfect matching within the entire bandwidth. Therefore, the angle of the Archimedean spirals was chosen to be 5 π. The parameter a controlled the spacing of the spiral lines. As a result, a larger value of a yielded a faster radius of the spiral line grown at the same angle, while the spiral lines became sparser. When the spacing was small, the spiral lines were tight and the inductive coupling in the circuit was enhanced. In Figure 9, when a was 1.0 μm, the absorption reached more than 98% in the bandwidth of 1.3~1.9 THz. As a increased, the total area of Archimedean spirals became larger. In the current volume of the absorber cell, the spiral line pattern went beyond the cell if the a exceeded the value of 1.6 μm. When a increased, the coupling inductance between the spiral lines decreased, resulting in a gradual decrease in the absorption performance and a slight increase in the total bandwidth. It can be also seen from both sides of the absorption curve that the influence of the spacing on the low-frequency band was greater than that of the high-frequency band. wa was the width of the spiral line. When wa increased, a decrease in the spacing of the spiral line was induced, which meant that the density of the spiral lines increased. However, unlike parameter a, the overall size of the spiral was not changed significantly. When wa = 0.6 μm, the coupling was very weak due to the large spacing of the spiral lines. Compared with the other curves, the absorption decreased significantly, and the bandwidth became significantly narrower. Unlike the impact of the spacing, the width of the spiral line had a greater influence on the high-frequency band than on the low-frequency band. In Figure 10, as the wa increased from 0.6 to 3.6 μm, there was about 0.2 THz change in the bandwidth around 1 THz. Moreover, around the value of 3 THz, there was about 0.5 THz change in the bandwidth, and the bandwidth started to decrease when the wa was larger than 2.6 μm.
Figure 8.
Absorption versus frequency for the different θ1 of layer II.
Figure 9.
Absorption versus frequency for the different a of layer II.
Figure 10.
Absorption versus frequency for the different wa of layer II.
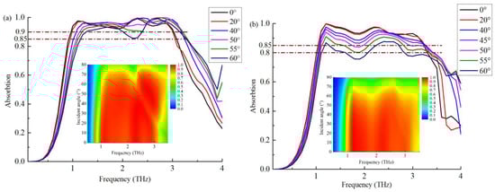
The properties of the absorbers were analyzed under the condition of the normal incidence angle of electromagnetic waves. However, the absorption response of the absorber under the oblique incidence angle of the electromagnetic wave was not considered. Therefore, as is shown in Figure 11, the impact of the different incidence angles on the absorption characteristics under TE and TM polarization modes was investigated separately. From the curves, it can be seen that the absorption of the absorber was less sensitive to the propagated terahertz wave when the incidence angle of the wave varies within a certain range. When the incident angle increased to 60° (Figure 11a), the resonant frequency of the absorber was blue-shifted by 0.2 THz. In the TE mode, 90% absorption was guaranteed within the bandwidth of 1.2 to 3 THz, when the incidence angle was varied within 55°. By increasing to 60°, the absorption rate was greater than 85% over the entire bandwidth. Thus, with the increase in the TE wave incidence angle, the transverse magnetic field gradually decreased, and the intensity of magnetic resonance also decreased, leading to a decrease in the absorption of the absorbers. In the TM mode, the absorption within the corresponding bandwidth exceeded 85% for incident angles between 0° and 45° (Figure 11b). This outcome indicates that for the TM polarization waves, when the magnetic resonance and the local surface plasma resonance are influenced by the angle of incidence, the absorption rate decreased significantly compared to the TE polarization. Overall, the proposed absorbers have higher absorption within the broadband and wider incidence angles in the TE mode. In Figure 11, a spectrogram is also used to reflect the change trend of the absorption rate, from the incident angle from 0° to 80°. It is clear from the figure that the higher absorption was maintained at a larger angle of incidence under TE polarization than TM polarization.
Figure 11.
Absorption of the MoS2 absorber under different incident angles for the (a) TE and (b) TM polarization modes.
In Table 2, the absorption rates of broadband absorbers with different structures were compared, for varied incidence angles in TE and TM polarizations. Since the absorption rate was reported by the spectrogram in some works in the literature, an accurate absorption for the different incident angles cannot be obtained. For these data that cannot be obtained directly from the original literature, “unknown” was used in Table 2. Since the ring-like structure is more symmetrical than the rectangle-like structure, the performance of its absorber was less sensitive to the change in the incident angle. Compared to the absorption rates in the literature for incidence angles, it can be seen that the absorption of our designed broadband absorber exhibits a comparative advantage.
Table 2.
Comparisons of the incident angles with other works in the literature.
The MoS2 absorber was further analyzed for different polarization angles (φ). As can be observed from Figure 12, the absorption spectra are constant for the different polarization angles. Due to the symmetry of the split rings and Archimedean spirals, a stable electromagnetic absorption property was maintained. Therefore, the MoS2 absorber exhibited insensitivity to polarization.
Figure 12.
Absorption versus frequency for different polarization angles.
4. Conclusions
A novel monolayer MoS2 surface plasmon resonance structure was proposed as a THz absorber, and superior performance over a wide frequency range was demonstrated. The structure was divided into two layers, with layer I using a split ring pattern and layer II employing an Archimedean spiral pattern. A combination of the equivalent circuit and FDTD was used to improve the design efficiency. In this way, the absorber design turned into a simple impedance-matching problem. From the simulated results, it was shown that the absorption exceeded 92% from 1.2 to 3 THz. For the TM and TE polarization modes, the absorber structure was less sensitive to the different incidence angles within a certain range. Therefore, it has potential applications in many fields, such as medicine, energy harvesting, communication, and medical imaging.
Author Contributions
Writing—original draft, F.C.; writing—review and editing, F.C.; software, Z.K.; formal analysis, Y.L.; validation, F.C. All authors have read and agreed to the published version of the manuscript.
Funding
This research was funded by the National Natural Science Foundation of China, grant number 61774141.
Data Availability Statement
Not applicable.
Acknowledgments
The authors wish to sincerely thank the anonymous reviewers for their constructive comments.
Conflicts of Interest
The authors declare no conflict of interest.
References
- Chen, X.; Lindley-Hatcher, H.; Stantchev, R.I.; Wang, J.; Li, K.; Hernandez Serrano, A.; Pickwell-MacPherson, E. Terahertz (THz) biophotonics technology: Instrumentation, techniques, and biomedical applications. Chem. Phys. Rev. 2022, 3, 011311. [Google Scholar] [CrossRef]
- Rahman, B.A.; Viphavakit, C.; Chitaree, R.; Ghosh, S.; Pathak, A.K.; Verma, S.; Sakda, N. Optical fiber, nanomaterial, and thz-metasurface-mediated nano-biosensors: A Review. Biosensors 2022, 12, 42. [Google Scholar] [CrossRef] [PubMed]
- Maier, T.; Brueckl, H. Multispectral microbolometers for the midinfrared. Opt. Lett. 2010, 35, 3766–3768. [Google Scholar] [CrossRef] [PubMed]
- Liu, X.; Starr, T.; Starr, A.F.; Padilla, W.J. Infrared spatial and frequency selective metamaterial with near-unity absorbance. Phys. Rev. Lett. 2010, 104, 207403. [Google Scholar] [CrossRef] [PubMed]
- Liu, N.; Mesch, M.; Weiss, T.; Hentschel, M.; Giessen, H. Infrared perfect absorber and its application as plasmonic sensor. Nano Lett. 2010, 10, 2342–2348. [Google Scholar] [CrossRef] [PubMed]
- Zhang, Y.; Yi, Z.; Wang, X.; Chu, P.; Yao, W.; Zhou, Z.; Yi, Y. Dual band visible metamaterial absorbers based on four identical ring patches. Phys. E Low-Dimen. Syst. Nanostruct. 2021, 127, 114526. [Google Scholar] [CrossRef]
- Zhang, Y.; Wu, P.; Zhou, Z.; Chen, X.; Yi, Z.; Zhu, J.; Jile, H. Study on temperature adjustable terahertz metamaterial absorber based on vanadium dioxide. IEEE Access 2020, 8, 85154–85161. [Google Scholar] [CrossRef]
- Huang, Y.; Zhong, S.; Shi, T.; Shen, Y.C.; Cui, D. Trapping waves with tunable prism-coupling terahertz metasurfaces absorber. Opt. Express 2019, 27, 25647–25655. [Google Scholar] [CrossRef]
- Xu, K.D.; Li, J.; Zhang, A.; Chen, Q. Tunable multi-band terahertz absorber using a single-layer square graphene ring structure with T-shaped graphene strips. Opt. Express 2020, 28, 11482–11492. [Google Scholar] [CrossRef]
- Wu, J. Tunable multi-band terahertz absorber based on graphene nano-ribbon metamaterial. Phys. Lett. A 2019, 383, 2589–2593. [Google Scholar] [CrossRef]
- Yan, D.; Meng, M.; Li, J.; Li, X. Graphene-assisted narrow bandwidth dual-band tunable terahertz metamaterial absorber. Front.Phys. 2020, 8, 306. [Google Scholar] [CrossRef]
- Cen, C.; Zhang, Y.; Chen, X.; Yang, H.; Yi, Z.; Yao, W.; Wu, P. A dual-band metamaterial absorber for graphene surface plasmon resonance at terahertz frequency. Physica E Low-Dimen. Syst. Nanostruct. 2020, 117, 113840. [Google Scholar] [CrossRef]
- Zheng, S.; Huang, Q. Design of a tunable monolayer MoS2/BP based terahertz absorber with six absorption bands. Opt. Mater. 2022, 123, 111958. [Google Scholar] [CrossRef]
- Wang, J.; Jiang, Y.; Hu, Z. Dual-band and polarization-independent infrared absorber based on two-dimensional black phosphorus metamaterials. Opt. Express 2017, 25, 22149–22157. [Google Scholar] [CrossRef]
- Guo, T.; Argyropoulos, C. Tunable and broadband coherent perfect absorption by ultrathin black phosphorus metasurfaces. JOSA B 2019, 36, 2962–2971. [Google Scholar] [CrossRef]
- Barimani, S.; Amini, A.; Chaharmahali, I. A four-bias three-layer graphene-based THz absorber. J. Comput. Electron. 2021, 20, 1332–1342. [Google Scholar] [CrossRef]
- Zhou, Q.; Liu, P.; Liu, C.; Zhou, Y.; Zha, S. Graphene-based THz absorber with a broad band for tuning the absorption rate and a narrow band for tuning the absorbing frequency. Nanomaterials 2019, 9, 1138. [Google Scholar] [CrossRef]
- Zhong, Y.; Huang, Y.; Zhong, S.; Lin, T.; Luo, M.; Shen, Y.; Ding, J. Tunable terahertz broadband absorber based on MoS2 ring-cross array structure. Opt. Mater. 2021, 114, 110996. [Google Scholar] [CrossRef]
- Lee, D.; So, S.; Hu, G.; Kim, M.; Badloe, T.; Cho, H.; Rho, J. Hyperbolic metamaterials: Fusing artificial structures to natural 2D materials. ELight 2022, 2, 1–23. [Google Scholar] [CrossRef]
- Gric, T.; Hess, O. Investigation of hyperbolic metamaterials. Appl. Sci. 2018, 8, 1222. [Google Scholar] [CrossRef]
- Biabanifard, M.; Asgari, S.; Biabanifard, S.; Abrishamian, M.S. Analytical design of tunable multi-band terahertz absorber composed of graphene disks. Optik 2019, 182, 433–442. [Google Scholar] [CrossRef]
- Yim, C.; O’Brien, M.; McEvoy, N.; Winters, S.; Mirza, I.; Lunney, J.G.; Duesberg, G.S. Investigation of the optical properties of MoS2 thin films using spectroscopic ellipsometry. Appl. Phys. Lett. 2014, 104, 103114. [Google Scholar] [CrossRef]
- Liu, J.T.; Wang, T.B.; Li, X.J.; Liu, N.H. Enhanced absorption of monolayer MoS2 with resonant back reflector. J. Appl. Phys. 2014, 115, 193511. [Google Scholar] [CrossRef]
- Xiao, S.; Wang, T.; Liu, T.; Yan, X.; Li, Z.; Xu, C. Active modulation of electromagnetically induced transparency analogue in terahertz hybrid metal-graphene metamaterials. Carbon 2018, 126, 271–278. [Google Scholar] [CrossRef]
- Wang, Y.; Chen, Z.; Xu, D.; Yi, Z.; Chen, X.; Chen, J.; Yi, Y. Triple-band perfect metamaterial absorber with good operating angle polarization tolerance based on split ring arrays. Results Phys. 2020, 16, 102951. [Google Scholar] [CrossRef]
- Francescato, Y.; Giannini, V.; Maier, S.A. Strongly confined gap plasmon modes in graphene sandwiches and graphene-on-silicon. New J. Phys. 2013, 15, 063020. [Google Scholar] [CrossRef]
- Cunningham, P.D.; Valdes, N.N.; Vallejo, F.A.; Hayden, L.M.; Polishak, B.; Zhou, X.H.; Twieg, R.J. Broadband terahertz characterization of the refractive index and absorption of some important polymeric and organic electro-optic materials. J. Appl. Phys. 2011, 109, 043505. [Google Scholar] [CrossRef]
- Su, Z.; Yin, J.; Zhao, X. Terahertz dual-band metamaterial absorber based on graphene/MgF 2 multilayer structures. Opt. Express 2015, 23, 1679–1690. [Google Scholar] [CrossRef]
- Hsieh, L.H.; Chang, K. Equivalent lumped elements G, L, C, and unloaded Q’s of closed-and open-loop ring resonators. IEEE Trans. Micro. Theory Tech. 2002, 50, 453–460. [Google Scholar] [CrossRef]
- Elhawil, A.; Stiens, J.; De Tandt, C.; Ranson, W.; Vounckx, R. An equivalent circuit model of single circular open-ring resonators. IEEE J. Sel. Top. Quantum Electron. 2009, 16, 380–385. [Google Scholar] [CrossRef]
- Durán-Sindreu, M.; Naqui, J.; Paredes, F.; Bonache, J.; Martín, F. Electrically small resonators for planar metamaterial, microwave circuit and antenna design: A comparative analysis. Appl. Sci. 2012, 2, 375–395. [Google Scholar] [CrossRef]
- Baena, J.D.; Bonache, J.; Martín, F.; Sillero, R.M.; Falcone, F.; Lopetegi, T.; Sorolla, M. Equivalent-circuit models for split-ring resonators and complementary split-ring resonators coupled to planar transmission lines. IEEE Trans. Micro. Theory Tech. 2005, 53, 1451–1461. [Google Scholar] [CrossRef]
- Pan, W.; Yu, X.; Zhang, J.; Zeng, W. A broadband terahertz metamaterial absorber based on two circular split rings. IEEE J. Quantum Electron. 2016, 53, 1–6. [Google Scholar] [CrossRef]
- Chen, F.; Cheng, Y.; Luo, H. A broadband tunable terahertz metamaterial absorber based on single-layer complementary gammadion-shaped graphene. Materials 2020, 13, 860. [Google Scholar] [CrossRef] [PubMed]
Publisher’s Note: MDPI stays neutral with regard to jurisdictional claims in published maps and institutional affiliations. |
© 2022 by the authors. Licensee MDPI, Basel, Switzerland. This article is an open access article distributed under the terms and conditions of the Creative Commons Attribution (CC BY) license (https://creativecommons.org/licenses/by/4.0/).











