Next Article in Journal
Optimal Battery Energy Storage System Based on VAR Control Strategies Using Particle Swarm Optimization for Power Distribution System
Next Article in Special Issue
A Probability Mass Function for Various Shapes of the Failure Rates, Asymmetric and Dispersed Data with Applications to Coronavirus and Kidney Dysmorphogenesis
Previous Article in Journal
Global and Local Dynamics of a Bistable Asymmetric Composite Laminated Shell
Previous Article in Special Issue
Hedging and Evaluating Tail Risks via Two Novel Options Based on Type II Extreme Value Distribution
 
 
Font Type:
Arial Georgia Verdana
Font Size:
Aa Aa Aa
Line Spacing:
Column Width:
Background:
Article

Experimental Design for the Lifetime Performance Index of Weibull Products Based on the Progressive Type I Interval Censored Sample

1
Department of Statistics, Tamkang University, Taipei 251301, Taiwan
2
Department of Computer Science, University of Taipei, Taipei 100234, Taiwan
*
Author to whom correspondence should be addressed.
Symmetry 2021, 13(9), 1691; https://doi.org/10.3390/sym13091691
Submission received: 21 July 2021 / Revised: 8 September 2021 / Accepted: 10 September 2021 / Published: 14 September 2021

Abstract

:
In this study, the experimental design is developed based on the testing procedure for the lifetime performance index of products following Weibull lifetime distribution under progressive type I interval censoring. This research topic is related to asymmetrical probability distributions and applications across disciplines. The asymptotic distribution of the maximum likelihood estimator of the lifetime performance index is utilized to develop the testing procedure. In order to reach the given power level, the minimum sample size is determined and tabulated. In order to minimize the total cost that occurred under progressive type I interval censoring, the sampling design is investigated to determine the minimum number of inspection intervals and equal interval lengths when the termination time of experiment is fixed or not fixed. For illustrative aims, one practical example is given for the implementation of our proposed sampling design to collect the progressive type I interval censored sample so that the users can use this sample to test if the lifetime performance index exceeds the desired target level.

1. Introduction

For the larger-the-better-type quality characteristics like the lifetimes of products, the unilateral process capability index CL proposed by Montgomery [1] is used to assess the performance of the lifetimes of products. This index is so-called the lifetime performance index. For a complete sample, Tong et al. [2] utilized the uniformly minimum variance unbiased estimator (UMVUE) of CL to develop a testing computational algorithm for exponential products. In many cases, the experimenters can only observe censored data. Two censoring types, including type I censoring and type II censoring, are frequently considered. Type I censoring occurs if the life test of n subjects stops at a predetermined time and the number of observations is random. Type II censoring occurs if the life test stops when a predetermined number of failure times are observed. Progressive censoring has the property of allowing the removal of units at some time points that may not be the final termination point. Referring to Yadav et al. [3], Jäntschi et al. [4], Chen and Gui [5], Balakrishnan and Aggarwala [6] and Aggarwala [7], we can see more inferences about the progressive censored data. For progressive type II censored data, Lee et al. [8] constructed a testing procedure for the lifetime performance index. We referred to Wu et al. [9] and Wu et al. [10] for step–stress accelerated life testing data. For this type of censored data, the lifetime performance index of exponential products was evaluated by Lee et al. [11]. For progressive type I interval censored data, a testing procedure for the lifetime performance index was assessed by Wu and Lin [12] using the maximum likelihood estimator as the testing statistic for exponential products. For products following the Gompertz lifetime distribution, a testing procedure for the lifetime performance index was proposed by Wu and Hsieh [13] based on a progressive type I interval censored sample. Based on this testing procedure, a reliability sampling design was developed by Wu et al. [14] for products following Gompertz distribution. For products following Weibull lifetime distribution, Wu and Lin [15] proposed a hypothesis testing procedure for the lifetime performance index using progressive type I interval censored data, and the proposed testing procedure is summarized in Section 2. The conforming rate is defined as the probability that the product life exceeds the given lower specification limit. It is an increasing function of the lifetime performance index. By this monotonic relationship, the experimenters can determine the desired target value for the lifetime performance index so that the conforming rate can be sustained. Based on progressive type I interval censored data, the testing procedure to see if the lifetime performance index meets the desired target value is proposed. The research goal of this paper is to develop a sampling design under three cases for the testing procedure proposed in Wu and Lin [15] using a progressive type I interval censored sample. The first case is to determine the sample size so that the preassigned test power can be attained for a level α test. The second case is to determine the number of inspection intervals so that the total experimental cost can be minimized when the termination time of the experiment is fixed. The third case is to determine the number of inspection intervals and inspection interval lengths by minimizing the total cost for the test on the evaluation of the lifetime performance index when the termination time is not fixed. The algorithms, figures and tables are shown in Section 3.1, Section 3.2 and Section 3.3. Our algorithms can help experimenters to set up a progressive type I interval censoring scheme. For the aim of illustration, one practical example is given to demonstrate the implementation of this sampling design to collect the progressive type I interval censored data, and then, the experimenters can use this data to test whether or not the process is capable. Our research results are only applicable for Weibull lifetime distribution, and the research results in Wu et al. [14] are only applicable for Gompertz lifetime distribution. Finally, the conclusion is made in Section 4.

2. The Introduction of the Testing Procedure for the Lifetime Performance Index in Wu and Lin

We consider that the lifetimes U of products follow a two-parameter Weibull distribution. The probability density function (pdf) and the cumulative distribution function (cdf) for U are given as follows:
f U ( u ) = δ λ ( u λ ) δ 1 exp { ( u λ ) δ } ,   u > 0 ,   δ > 0 ,   λ > 0
and
F U ( u ) = 1 exp { ( u λ ) δ } ,   u > 0 ,   δ > 0 ,   λ > 0 ,
where λ is the scale parameter and δ is the shape parameter. The application of Weibull distribution refers to Durán et al. [16], Shi et al. [17] and Almarashi et al. [18]. After the transformation of Y = U δ , we obtain a new lifetime variable Y from an exponential distribution with the scale parameter 1 / k = λ δ . It is observed that the mean and the standard deviation of Y are μ = 1/k and σ = 1/k. If we consider LU as the lower specification limit for U, then the lower specification limit for Y can be obtained as L = L U δ .
Montgomery [1] proposed the lifetime performance index as
C L = μ L σ ,
where μ is the process mean, σ is the process standard deviation and L is the known lower specification limit. Replacing μ by 1/k and σ by 1/k, the lifetime performance index for the new lifetime variable Y is reduced to
C L = 1 k L
We define the conforming rate to be the probability that the product life exceeds the given lower specification limit L, and it is computed as
P r = P ( Y L ) = exp { k L } = exp { C L 1 } ,   < C L < 1 .
It is apparent that the conforming rate increases when the lifetime performance index CL increases. If the experimenter desires the conforming rate to exceed 0.766539, the value of CL should be considered to exceed 0.8.
A progressive type I interval censoring scheme is depicted as follows: We put n products in a life test with the termination time T and the number of inspection intervals m and let (t1,…,tm) be the predetermined inspection times for m inspection intervals, where tm =T is the termination time, and let (p1,…,pm) be the prespecified removal percentages for the progressive censoring scheme of (R1,…,Rm) on the inspection times (t1,…,tm), where pm = 1. For the first inspection time interval (0,t1], the number of failure units X1 is observed, and then, R 1 = [ ( n X 1 ) p 1 ] units are randomly removed from the rest ( n X 1 ) units, where [.] is the floor function. For the second time interval (t1,t2], the number of failure units X2 is observed, and then, R 2 = [ ( n X 1 X 2 R 1 ) p 2 ] units are randomly removed from the rest ( n X 1 X 2 R 1 ) of the units, which is done until the mth inspection time interval (tm-1,tm]. At this inspection interval, the number of failure units Xm is observed, and then, the rest R m = n j = 1 m X j j = 1 m 1 R j of the units are all removed, and the experiment is terminated. Then, we can collect the progressive type I interval censored sample as (X1,…,Xm) with the progressive censoring scheme of (R1,…,Rm). From Wu and Lin [15], the maximum likelihood estimator (MLE) of k denoted by k ^ is found to be the numerical solution of the following log-likelihood equation:
d d k l n L ( k ) = i = 1 m ( x i ( t i δ t i 1 δ ) exp { k ( t i δ t i 1 δ ) } 1 exp { k ( t i δ t i 1 δ ) } ) ( t i 1 δ x i + t i δ R i ) = 0 .
The Fisher’s information is obtained as
I ( k ) = E [ d 2 d k 2 l n L ( k ) ]
= n i = 1 m ( t i δ t i 1 δ ) 2 1 exp { k ( t i δ t i 1 δ ) } j = 1 i 1 ( 1 p j ) j = 1 i exp { k ( t i δ t i 1 δ ) } .
Then, we can find the asymptotic distribution of k ^ as k ^ d n N ( k , V ( k ^ ) ) , where V ( k ^ ) = I 1 ( k ) is the asymptotic variance of k ^ .
In Equations (6) and (7), the case of equal interval lengths can be considered by substituting ti with ti = it, i = 1, …, m, where the equal interval length is t = titi-1, i = 1, …, m.
Using the invariance property of MLE, the MLE of CL is obtained as
C ^ L = 1 k ^ L .  
Let c0 be the desired level of lifetime performance index so that the process is capable if CL exceeds c0. Then, we want to test H 0 : C L c 0 versus H a : C L > c 0 (the process is capable). Using the MLE of C L given by C ^ L = 1 k ^ L as the testing statistic at the level of significance α, the critical region for this test is { C ^ L | C ^ L > C L 0 } , with the critical value C L 0 = 1 L ( k 0 + Z α I 1 ( k 0 ) ) , where k 0 = 1 c 0 L and Z α represent the α percentile of a standard normal distribution. In the other word, we will conclude to support the alternative hypothesis if C ^ L > C L 0 .
Let w ( k ) = n V ( k ^ ) , which is independent of the sample size n. Then, the power at the point of C L = c 1 > c 0 in the parameter space of the alternative hypothesis is
g ( c 1 ) = Φ ( k 0 k 1 + Z α w ( k 0 ) / n w ( k 1 ) / n )
where Φ ( ) is the cdf for the standard normal distribution, k 0 = 1 c 0 L and k 1 = 1 c 1 L .

3. Reliability Sampling Design

In this section, the reliability sampling design is investigated under different setups and considerations. In Section 3.1, the case of the fixed termination time T is considered. The minimum sample size is determined to reach the given power level of the hypothesis testing procedure. In Section 3.2, the case of the unfixed number of inspection intervals and fixed termination time T is considered. The minimum number of inspection intervals and sample sizes are determined to reach the given power of the level α testing procedure, and the total cost can be minimized. In Section 3.3, the case of an unfixed number of inspection intervals and unfixed interval length is considered. The minimum number of inspection intervals and the corresponding sample sizes and equal lengths of the intervals are determined so that the given power of the level α testing procedure can be reached and the total cost of the experiment can be minimized.

3.1. The Determination of the Minimum Sample Size

In this subsection, we need to determine the sample size n to attain the prespecified power 1-β or the probability of type II error β at c 1 under the level of significance α for a fixed m and T. For a fixed number of inspection intervals, we assigned the power in Equation (9) to be 1-β. Then, we have g ( c 1 ) = 1 β . The minimum required sample size to reach the given power is obtained by solving the equation of g ( c 1 ) = 1 β . Then, the formula for the minimum required sample size can be obtained as
n = ( Z β w ( k 1 ) + Z α w ( k 0 ) k 0 k 1 ) 2
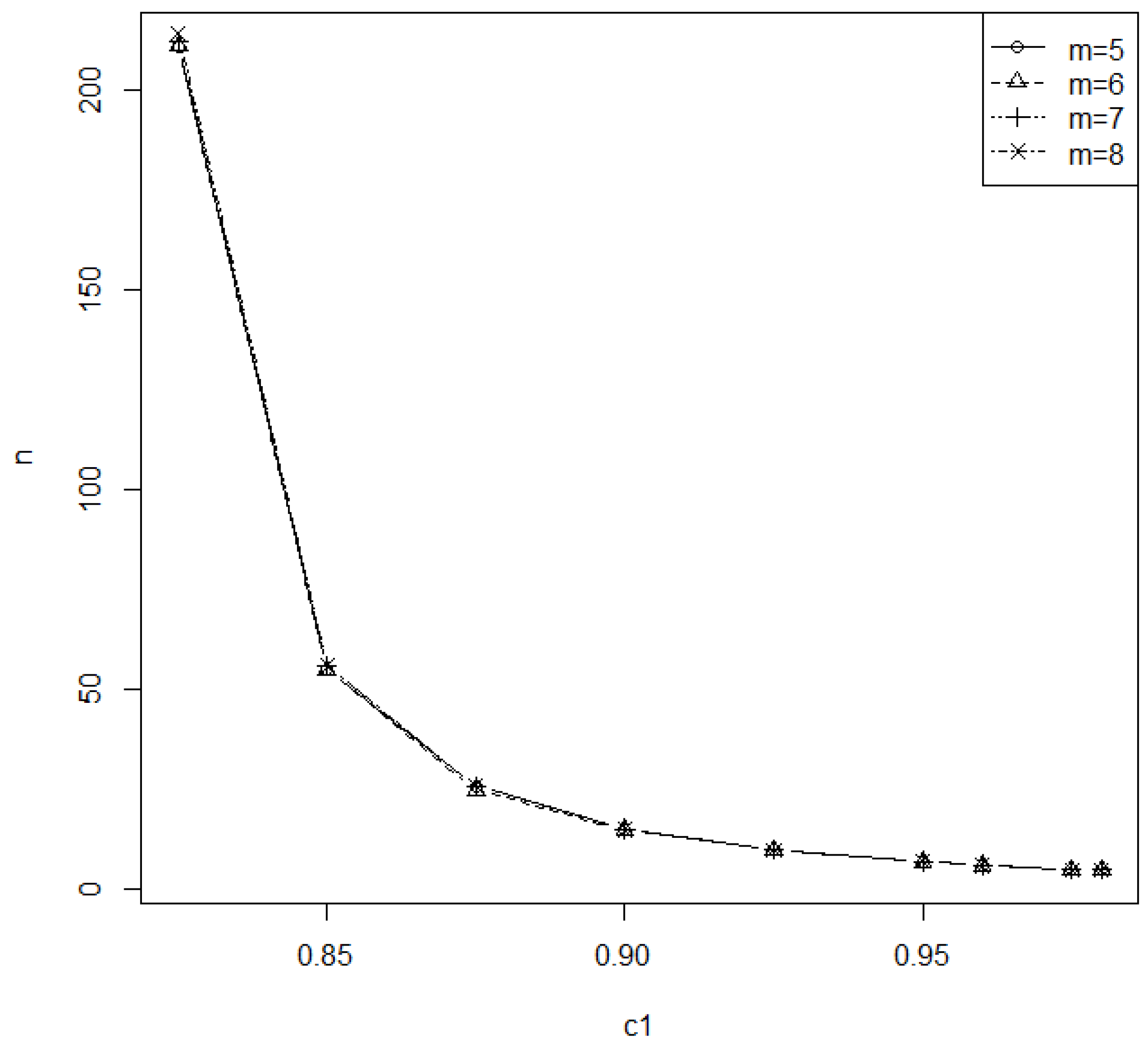
The minimum required sample sizes for testing H 0 : C L 0.8 are tabulated in Table 1, Table 2 and Table 3 at β = 0.25, 0.20 and 0.15 under α = 0.01, 0.05 and 0.1, respectively; for c1 = 0.825, 0.850, 0.875, 0.90, 0.925, 0.95, 0.96, 0.975 and 0.98, m = 5, 6, 7 and 8 and p = 0.05, 0.075 and 0.1, with L = 0.3 and T = 3.0. For example, the user wants to conduct a level 0.05 hypothesis testing of H 0 : C L 0.8 under the power of 0.8 at c1 = 0.95, p = 0.05 and m = 8, so the minimum required sample size is 7 from Table 2. The minimum required sample sizes are also displayed in Figure 1, Figure 2, Figure 3 and Figure 4 for some typical cases. Observed in Figure 1, Figure 2, Figure 3 and Figure 4, we find that (1) the minimum sample size n is a decreasing function of c1 for fixed α, β, m and p; (2) the minimum sample size is a decreasing function of the level of significance for fixed β, m and p; (3) the minimum sample size is a nondecreasing function of m at α = 0.05 for a fixed β = 0.2 and p = 0.05; (4) the minimum sample size is a nonincreasing function of the removal percentage p for fixed α, β and m and (5) the minimum sample size is a decreasing function of power 1-β at α = 0.05 for fixed m = 5 and p = 0.05.

3.2. The Determination of Optimal m and n When the Termination Time Is Fixed

The smaller the number of inspection intervals m, the more convenient for experimenters to collect a progressive type I interval sample. There must be an upper limit m0 for m specified by the experimenters (The default value of m0 is 100). In this subsection, the case of the fixed termination time is considered. For this case, the algorithm for searching the optimal (m,n) is presented so that the total experimental cost is minimized for the testing procedure in Wu and Lin [15] under progressive type I interval censoring. Using the cost structure in Huang and Wu [19], the following costs are considered:
  • Ca: The cost of installing all test units;
  • Cs: The cost for per test unit in the sample;
  • CI: The cost for the use of the inspection equipment;
  • Co: The cost for operating the equipment per unit of experimental time.
Integrating all these costs, we have the total cost of
TC(m,n) = Ca + nCs + m CI + T Co
where n is determined in Equation (10).
The Algorithm 1 using the numeration method to search the optimal (m,n) is given as follows:
Algorithm 1:
Step 1: Give the preassigned values of c0, c1, α, β, p, T, L and m0 (the default value is 100) and the four costs Ca = aCo, Cs = bCo, CI = cCo and Co by the experimenters.
Step 2: Set m = 1.
Step 3: Compute the sample size n in Equation (10) as n’(m) and then compute the corresponding total cost TC(m, n’(m)), as in Equation (11).
Step 4: If m ≥ m0, then go to Step 5; otherwise, m = m + 1, and go to Step 3.
Step 5: The optimal solution of m* is the minimum m value with the minimum total cost TC(m, n’(m)). Then, the corresponding sample size n* = n’(m*) is obtained.
Step 6: Calculate the critical value of C L 0 = 1 L ( k 0 + Z α I 1 ( k 0 ) ) by replacing m = m* and n = m*.
Consider Co = 1 and a = b = c = 1 and testing for H 0 : C L 0.8 . When β = 0.15, α= 0.01, p = 0.05, δ = 1.97, c1 = 0.825, m0 = 20, L = 0.3 and T = 3.0, the curve of the total cost versus m = 2:m0 is plotted in Figure 5a. From this figure, it can be seen that the total cost curve is a convex curve, and the minimum number of inspection intervals is m = 5, with a minimum total cost of 424. For another setup of parameters β = 0.25, α = 0.1, p = 0.1, δ = 1.97, c1 = 0.90, m0 = 20, L = 0.3 and T = 3.0, the plot of m = 2:m0 against its corresponding total cost is made in Figure 5b. This figure also shows that it is a convex curve with some flats, and the minimum number of inspection intervals is m = 3, with a minimum total cost of 17.
Consider the case of β = 0.25, 0.20 and 0.15, α = 0.01, 0.05 and 0.1; L = 0.3; T = 3.0; p = 0.05, 0.075 and 0.1 and testing H 0 : C L 0.8 . The required inspection intervals m* and sample size n* to yield the minimum total cost TC(m*,n*) under m0 = 20 are tabulated in Table 4 and Table 5 for c1 = 0.825 and 0.850 and c1 = 0.875 and 0.90, respectively. We also tabulated the related critical values in these two tables. Suppose that the experimenters would like to conduct a level 0.05 test for the case of 1-β = 0.8 at c1 = 0.90, p = 0.05 and m0 = 20. We can find the minimum number of inspection intervals to be three, with the minimum total cost 23 from Table 5. At the same time, the corresponding required sample size can be 16, with the critical value 0.71592.
We have the following findings from Table 4 and Table 5: (1) the minimum required sample size is a nonincreasing function of the level of significance for fixed β and p; (2) the minimum required sample size is a nonincreasing function of c1 for fixed α, β and p; (3) the minimum required sample size increases when the probability of type II error β decreases; (4) the minimum inspection intervals decrease when c1 increases for any combination of α, β and p; (5) the minimum inspection intervals increases when the probability of type II error β decreases; (6) the minimum total cost increases when the removal probability p decreases for fixed α, β and c1 are fixed; (7) the minimum total cost decreases when c1 increases for any combination of α, β and p and (8) the minimum total cost increases when the probability of type II error β decreases.

3.3. The Determination of Optimal m, t and n for the Unfixed Total Life Test Time T

In this subsection, the case of the fixed termination time T and unfixed equal interval length t is considered. The algorithm for searching the optimal (m,t,n) is presented so that the total experimental cost is minimized for the testing procedure based on Wu and Lin [15] under progressive type I interval censoring.
The total cost is
TC(m,t,n) = Ca + nCs + m CI + mt Co
where n is determined in Equation (10).
The Algorithm 2 using the numeration method to search the optimal (m,t,n) is given as follows:
Algorithm 2:
Step 1: Give the preassigned values of c0, c1, α, β, p, T, L and m0 (the default value is 100) and the four costs Ca = aCo, Cs = bCo, CI = cCo and Co by the experimenters.
Step 2: Set m = 1.
Step 3: Find the optimal solution t*, such that TC(m,t,n) is minimized. Compute the sample size n in Equation (10) as n′(m,t*), and then, compute the corresponding total cost TC(m,t*, n’(m,t*)), as in Equation (12).
Step 4: If m ≥ m0, then go to Step 5; otherwise, m = m+1, and go to Step 3.
Step 5: The optimal solution of m* is the minimum m value with the minimum total cost TC(m, n’(m)). Then, the corresponding sample size n* = n’(m*) is obtained.
Step 6: Calculate the critical value of C L 0 = 1 L ( k 0 + Z α I 1 ( k 0 ) ) by replacing m = m* and n = m*.
Consider the cost structure Co = 1 and a = b = c = 1 and the testing for H 0 : C L 0.8 . When β = 0.25, α = 0.01, p = 0.05, δ = 1.97, c1 = 0.825, m0 = 20, L = 0.3 and T = 3.0, the curve of total cost versus m = 2:m0 is plotted in Figure 6a. It can be seen that the total cost curve is a convex curve, and the minimum number of inspection intervals is m = 6, with a minimum total cost of 423.1605. For another set up of parameters: β = 0.15, α = 0.1, p = 0.1 and c1 = 0.90, the plot of the total cost curve with m = 1:m0 is made in Figure 6b. It can be seen that the total cost curve is a concave upward curve, and the minimum number of inspection intervals is m = 3, with a minimum total cost of 16.8.
Consider the case of β = 0.25, 0.20 and 0.15; α = 0.01, 0.05 and 0.1; L = 0.3; T = 3.0; p = 0.05, 0.075 and 0.1 and c0 = 0.8. The minimum suggested number of inspection intervals m*, optimal equal interval length t* and sample size n* to attain the minimum total cost TC(m*,t*,n*) under m0 = 20 are tabulated in Table 6 and Table 7 for c1 = 0.825 and 0.850 and c1 = 0.875 and 0.90, respectively. We also list the critical values C L 0 in these two tables. If the experimenters would like to conduct a level 0.05 test under the conditions of β = 0.8, c1 = 0.825, p = 0.05 and m0 = 20, the optimal values of (m*,t*,n*) can be found as (5,0.55,214) from Table 6. From this table, you can also find the minimum total cost as TC = 222.744 and the corresponding critical value as 0.7759.
A software program to find the optimal setup for the sampling design proposed in Section 3.1, Section 3.2 and Section 3.3 for any combination of parameters was built by the authors for practical use.
From Table 6 and Table 7, we have the following findings: (1) the minimum required sample size is a decreasing function of the level of significance for fixed β and p; (2) the minimum required sample size is a decreasing function of c1 for fixed α, β and p; (3) the minimum required sample size increases when the probability of a type II error β decreases; (4) the minimum number of inspection intervals decreases when c1 increases for any combinations of α, β and p; (5) the minimum number of inspection intervals increases when the probability of a type II error β decreases; (6) the minimum total cost decreases when c1 increases for fixed α, β and p; (7) the minimum total cost increases when the probability of a type II error β decreases and (8) the minimum total cost is a nonincreasing function of the removal probability p for fixed α, β and c1.

3.4. Example

For the aims of the illustration, the data in Caroni [20] is used to illustrate our proposed sampling design. The data of the failure times of n = 25 ball bearing are given as follows (number of cycles in 1000 times): 0.1788, 0.2892, 0.3300, 0.4152, 0.4212, 0.4560, 0.4848, 0.5184, 0.5196, 0.5412, 0.5556, 0.6780, 0.6780, 0.6780, 0.6864, 0.6864, 0.6888, 0.8412, 0.9312, 0.9864, 1.0512, 1.0584, 1.2792, 1.2804, 1.7340.
The Gini test (see Gail and Gastwirth [21]) is a scale-free goodness-of-fit test for distribution that can be transformed into an exponential distribution. The testing procedures in Jäntschi [22] and Jäntschi [23] are more general procedures as alternatives to the Gini test. We use the Gini test with the maximum p-value to determine the parameter δ for this example. We conduct the Gini test as follows: In the first step, the null hypothesis is set up as H : 0 : U i ~ F U ( u ) = 1 exp { ( u λ ) δ } ,   u > 0 ,   δ > 0 ,   λ > 0 . Secondly, we sort the data in order as U(1) = 0.1788, U(2) = 0.2892,… and U(25) = 1.7340. We calculate the Gini test statistic G n = i = 1 n 1 i ( n i ) ( Y ( i + 1 ) Y ( i ) ) 24 i = 1 n ( n i + 1 ) ( Y ( i ) Y ( i 1 ) ) , where Y ( i ) = U ( i ) δ . The limiting distribution of Z = 12 ( n 1 ) ( G n 0.5 ) is a standard normal distribution when the sample size is large enough. Let z be the realization of Z, and then, the p-value is obtained as 2 P ( Z > | z | ) . The higher the p-value, the better fit of the data to the Weibull distribution. From Wu and Lin [15], the value of δ is determined as δ = 1.97, since it has the largest p-value = 0.9882 for the Gini test. With a high p-value, we conclude that the data fits the Weibull distribution very well. We then used this example to illustrate Section 3.1, Section 3.2 and Section 3.3.
For Section 3.1, we considered the case of L = 0.05, T = 0.5, m = 5 and p = 0.05 for testing H 0 : C L 0.8 with a significance level α = 0.05 and the power level 1-β = 0.75 at c1 = 0.975. After running our software, the minimum sample size was determined to be n = 20, and the critical value was obtained as C L 0 = 0.7002605.
Then, the hypothesis test was conducted as follows:
Step 1: We took a random sample of size n = 20 from the dataset. The progressive type I interval censored sample (X1,X2,…,X5) = (0,1,1,1,2) was collected at the time points (t1,t2,…,t5) = (0.1,0.2,0.3,0.4,0.5) under the progressive censoring scheme of (R1,R2,…,R5) = (1,2,0,2,10).
Step 2: Based on the progressive type I interval censored sample given in step 1, the MLE of k was found to be k ^ = 1.382812 by solving Equation (6).
Step 3: The value of test statistic C ^ L = 1 k ^ L = 1 − 1.382812 × 0.05 = 0.9308594 was computed.
Step 4: Due to the result of C ^ L = 0.9308594 > C L 0 = 0.7002605, we concluded it supported the alternative hypothesis H a : C L > 0.8 and claimed that the lifetime performance index exceeded the desired level.
From Section 3.2, the same consideration of parameters and cost setup as the previous paragraph was considered. After running our software, the minimum number of inspection intervals and the related sample size were determined to be m* = 1 and n*= 19, with the critical value as C L 0 = 0.7228799 and a minimum total cost of 21.5 units.
The, a hypothesis test about C L was conducted as follows:
Step 1: A random sample of size n = 19 was taken from the dataset. The progressive type I interval censored sample (X1) = (5) was collected at the time point (t1) = (0.5) under the progressive censoring scheme of (R1) = (14).
Step 2: Using the progressive type I interval censored sample collected in step 1, the MLE of k was found to be k ^ = 1.196398 by solving Equation (6).
Step 3: Computing the test statistic, C ^ L = 1 k ^ L = 1 − 0.196398 × 0.05 = 0.9401801.
Step 4: We observed that C ^ L = 0.9401801 > C L 0 = 0.7228799. Thus, it supported the alternative hypothesis H a : C L > 0.8 and claimed that the lifetime performance index exceeded the desired level.
For Section 3.3, the case of unfixed m and t was considered. Based on the same setup with the previous two cases, the optimal sampling design with (m*,n*,t*) = (2,12,0.42) was found from the output of our software. The critical value C L 0 = 0.7063278 and the minimum total cost of TC = 15.834 units could also be found from the output.
The testing procedure of C L was conducted as follows:
Step 1: A random sample of size n = 12 was taken from the dataset. The progressive type I interval censored sample was (X1,X2) = (3,6) at the time points (t1,t2) = (042,0.84) under the progressive censoring schemes of (R1,R2) = (0,3).
Step 2: Based on the progressive type I interval censored sample given in step 1, the MLE of k was found to be k ^ = 1.875922 by solving Equation (6).
Step 3: The test statistic was C ^ L = 1 k ^ L = 1 − 1.875922 × 0.05 = 0.9062039.
Step 4: we observed that C ^ L = 0.9062039 > C L 0 = 0.7063278. Based on this observation, the same claim was made with the previous two cases.

4. Conclusions

This model of Weibull distribution is widely used for reliability engineering and failure analyses. The lifetime performance index can be used to assess the capability performance of a manufacturing process, especially for Weibull products. Based on the progressive type I interval censored sample, we investigated the required minimum sample size under a given power for the level α test for testing the capability of the manufacturing process based on the lifetime performance index. We also provided the required minimum sample size and number of inspection intervals when the termination time of the experiment was fixed to reach given power and the minimum total cost for the level α test. When the termination time of the experiment was not fixed, the required minimum sample size, number of inspection intervals and the inspection interval time length were determined in this paper to reach the given power with the minimum total cost for the level α test under progressive type I interval censoring.

Author Contributions

Conceptualization, S.-F.W.; methodology, S.-F.W.; software, S.-F.W., Y.-C.W., C.-H.W. and W.-T.C.; validation, Y.-C.W., C.-H.W. and W.-T.C.; formal analysis, S.-F.W.; investigation, S.-F.W., W.-T.C., C.-H.W. and W.-T.C.; resources, S.-F.W.; data curation, S.-F.W., Y.-C.W., C.-H.W. and W.-T.C.; writing—original draft preparation, S.-F.W. and W.-T.C.; writing—review and editing, S.-F.W.; visualization, Y.-C.W., C.-H.W. and W.-T.C.; supervision, S.-F.W.; project administration, S.-F.W. and funding acquisition, S.-F.W. All authors have read and agreed to the published version of the manuscript.

Funding

This research was funded by the Ministry of Science and Technology, Taiwan MOST 108-2118-M-032-001- and MOST 109-2118-M-032-001-MY2, and the APC was funded by MOST 109-2118-M-032-001-MY2.

Institutional Review Board Statement

Not applicable.

Informed Consent Statement

Not applicable.

Data Availability Statement

The data are available in a publicly accessible repository. The data presented in this study are openly available in Caroni [20].

Conflicts of Interest

The authors declare no conflict of interest.

References

  1. Montgomery, D.C. Introduction to Statistical Quality Control; John Wiley and Sons Inc.: New York, NY, USA, 1985. [Google Scholar]
  2. Tong, L.I.; Chen, K.S.; Chen, H.T. Statistical testing for assessing the performance of lifetime index of electronic components with exponential distribution. Int. J. Qual. Reliab. Manag. 2002, 19, 812–824. [Google Scholar] [CrossRef]
  3. Yadav, A.S.; Goual, H.; Alotaibi, R.M.; Rezk, H.; Ali, M.M.; Yousof, H.M. Validation of the Topp-Leone-Lomax Model via a Modified Nikulin-Rao-Robson Goodness-of-Fit Test with Dierent Methods of Estimation. Symmetry 2020, 12, 57. [Google Scholar] [CrossRef] [Green Version]
  4. Jäntschi, L.; Sestras, R.E.; Bolboaca, S.D. Modeling the Antioxidant Capacity of Red Wine from Different Production Years and Sources under Censoring. Comput. Math. Methods Med. 2013, 2013, 267360. [Google Scholar] [CrossRef] [PubMed] [Green Version]
  5. Chen, S.; Gui, W. Statistical Analysis of a Lifetime Distribution with a Bathtub-Shaped Failure Rate Function under Adaptive Progressive Type-II Censoring. Mathematics 2020, 8, 670. [Google Scholar] [CrossRef]
  6. Balakrishnan, N.; Aggarwala, R. Progressive Censoring: Theory, Methods and Applications; Birkhäuser: Boston, MA, USA, 2000. [Google Scholar]
  7. Aggarwala, R. Progressive interval censoring: Some mathematical results with applications to inference. Commun. Stat. Theory Methods 2001, 30, 1921–1935. [Google Scholar] [CrossRef]
  8. Lee, W.C.; Wu, J.W.; Hong, C.W. Assessing the lifetime performance index of products with the exponential distribution under progressively type II right censored samples. J. Comput. Appl. Math. 2009, 231, 648–656. [Google Scholar] [CrossRef] [Green Version]
  9. Wu, S.J.; Lin, Y.P.; Chen, Y.J. Planning step-stress life test with progressively type-I group-censored exponential data. Stat. Neerl. 2006, 60, 46–56. [Google Scholar] [CrossRef]
  10. Wu, S.J.; Lin, Y.P.; Chen, S.T. Optimal step-stress test under type I progressive group-censoring with random removals. J. Stat. Plan. Inference 2008, 138, 817–826. [Google Scholar] [CrossRef]
  11. Lee, H.M.; Wu, J.W.; Lei, C.L. Assessing the Lifetime Performance Index of Exponential Products with Step-Stress Accelerated Life-Testing Data. IEEE Trans. Reliab. 2013, 62, 296–304. [Google Scholar] [CrossRef]
  12. Wu, S.F.; Lin, Y.P. Computational testing algorithmic procedure of assessment for lifetime performance index of products with one-parameter exponential distribution under progressive type I interval censoring. Math. Comput. Simul. 2016, 120, 79–90. [Google Scholar] [CrossRef]
  13. Wu, S.F.; Hsieh, Y.T. The assessment on the lifetime performance index of products with Gompertz distribution based on the progressive type I interval censored sample. J. Comput. Appl. Math. 2019, 351, 66–76. [Google Scholar] [CrossRef]
  14. Wu, S.F.; Xie, Y.J.; Liao, M.F.; Chang, W.T. Reliability sampling design for the lifetime performance index of Gompertz lifetime distribution under progressive type I interval censoring. Mathematics 2021, 9, 2109. [Google Scholar] [CrossRef]
  15. Wu, S.F.; Lin, M.J. Computational testing algorithmic procedure of assessment for lifetime performance index of products with weibull distribution under progressive type I interval censoring. J. Comput. Appl. Math. 2017, 311, 364–374. [Google Scholar] [CrossRef]
  16. Durán, O.; Afonso, P.; Minatogawa, V. Analysis of Long-Term Impact of Maintenance Policy on Maintenance Capacity Using a Time-Driven Activity-Based Life-Cycle Costing. Mathematics 2020, 8, 2208. [Google Scholar] [CrossRef]
  17. Shi, X.; Zhang, C.; Zhou, X. The Statistical Damage Constitutive Model of the Mechanical Properties of Alkali-Resistant Glass Fiber Reinforced Concrete. Symmetry 2020, 12, 1139. [Google Scholar] [CrossRef]
  18. Almarashi, A.M.; Elgarhy, M.; Jamal, F.; Chesneau, C. The Exponentiated Truncated Inverse Weibull-Generated Family of Distributions with Applications. Symmetry 2020, 12, 650. [Google Scholar] [CrossRef] [Green Version]
  19. Huang, S.R.; Wu, S.J. Reliability sampling plans under progressive type-I interval censoring using cost functions. IEEE Trans. Reliab. 2008, 57, 445–451. [Google Scholar] [CrossRef]
  20. Caroni, C. The correct “ball bearings” data. Lifetime Data Anal. 2002, 8, 395–399. [Google Scholar] [CrossRef] [PubMed]
  21. Gail, M.H.; Gastwirth, J.L. A scale-free goodness of fit test for the exponential distribution based on the Gini Statistic. J. R. Stat. Soc. B 1978, 40, 350–357. [Google Scholar] [CrossRef]
  22. Jäntschi, L. A Test Detecting the Outliers for Continuous Distributions Based on the Cumulative Distribution Function of the Data Being Tested. Symmetry 2019, 11, 835. [Google Scholar] [CrossRef] [Green Version]
  23. Jäntschi, L. Detecting Extreme Values with Order Statistics in Samples from Continuous Distributions. Mathematics 2020, 8, 216. [Google Scholar] [CrossRef] [Green Version]
Figure 1. Minimum sample size for the test at β = 0.2 under p = 0.05 and m = 5.
Figure 1. Minimum sample size for the test at β = 0.2 under p = 0.05 and m = 5.
Symmetry 13 01691 g001
Figure 2. Minimum sample size for the test at α = 0.05 under β = 0.20 and p = 0.05.
Figure 2. Minimum sample size for the test at α = 0.05 under β = 0.20 and p = 0.05.
Symmetry 13 01691 g002
Figure 3. Minimum sample size for the test at α = 0.05 under β = 0.15 and m = 8.
Figure 3. Minimum sample size for the test at α = 0.05 under β = 0.15 and m = 8.
Symmetry 13 01691 g003
Figure 4. Minimum sample size for the test at α = 0.05 under p = 0.05 and m = 5.
Figure 4. Minimum sample size for the test at α = 0.05 under p = 0.05 and m = 5.
Symmetry 13 01691 g004
Figure 5. (a) Total cost versus m = 2:m0. (b) Total cost versus m = 2:m0.
Figure 5. (a) Total cost versus m = 2:m0. (b) Total cost versus m = 2:m0.
Symmetry 13 01691 g005
Figure 6. (a) Total cost versus m = 2:m0. (b) Total cost versus m = 1:m0.
Figure 6. (a) Total cost versus m = 2:m0. (b) Total cost versus m = 1:m0.
Symmetry 13 01691 g006
Table 1. The minimum sample size for c1 = 0.825, 0.850, 0.875, 0.90, 0.925, 0.95, 0.96, 0.975 and 0.98; m = 5, 6, 7 and 8 and p = 0.05, 0.075 and 0.1 under α = 0.01, L = 0.3, T = 3.0 and c0 = 0.8.
Table 1. The minimum sample size for c1 = 0.825, 0.850, 0.875, 0.90, 0.925, 0.95, 0.96, 0.975 and 0.98; m = 5, 6, 7 and 8 and p = 0.05, 0.075 and 0.1 under α = 0.01, L = 0.3, T = 3.0 and c0 = 0.8.
c1
βmp0.8250.850.8750.90.9250.950.960.9750.98
0.2550.050415107492818121199
0.075429111502919131199
0.1004421145230191312109
60.050414107492818121199
0.075431111512919131199
0.1004491165330191412109
70.050416108492818131199
0.0754371135129191312109
0.1004601195431201412109
80.050420109492818131199
0.0754451155230191312109
0.10047212256322014121010
0.250.050419109502918131199
0.0754331135129191311109
0.1004471165330201412109
60.050418109502818131199
0.0754361135230191312109
0.1004541185431201412109
70.050420109502918131199
0.0754421155330191312109
0.10046412155322014121010
80.050424110512919131199
0.0754501175431201412109
0.10047712457332114131010
0.1550.050424111512919131199
0.0754381155330191312109
0.1004521195431201412109
60.050423111512919131199
0.0754411165330201412109
0.10045912155322014121010
70.050425112512919131199
0.0754471175431201412109
0.10047012357332114131010
80.050429113523019131299
0.0754551205531201412109
0.10048312758332215131110
Table 2. The minimum sample size for c1 = 0.825, 0.850, 0.875, 0.90, 0.925, 0.95, 0.96, 0.975 and 0.98; m = 5, 6, 7 and 8 and p = 0.05, 0.075 and 0.1 under α = 0.05, L = 0.3, T = 3.0 and c0 = 0.8.
Table 2. The minimum sample size for c1 = 0.825, 0.850, 0.875, 0.90, 0.925, 0.95, 0.96, 0.975 and 0.98; m = 5, 6, 7 and 8 and p = 0.05, 0.075 and 0.1 under α = 0.05, L = 0.3, T = 3.0 and c0 = 0.8.
c1
βmp0.8250.850.8750.90.9250.950.960.9750.98
0.2550.050211552615107655
0.075218572615107655
0.100225592716107655
60.050211552515107655
0.075220582715107655
0.100229602816107655
70.050212562615107655
0.075223582716107655
0.100234612816117655
80.050214562615107655
0.075227602716107655
0.100240632917118765
0.250.050214572615107655
0.075221592716107655
0.100228612816107655
60.050214572615107655
0.075223592716107655
0.100232612816117655
70.050215572615107655
0.075226602816107655
0.100237632917118765
80.050217572715107655
0.075230612816117655
0.100244653017118765
0.1550.050218582716107655
0.075225602816117655
0.100232622917118755
60.050217582716107655
0.075226612816117655
0.100236632917118765
70.050218592716107655
0.075230622917117755
0.100241653017118765
80.050221592816107655
0.075234632917118755
0.100248663118128765
Table 3. The minimum sample size for c1 = 0.825, 0.850, 0.875, 0.90, 0.925, 0.95, 0.96, 0.975 and 0.98; m = 5, 6, 7 and 8 and p = 0.05, 0.075 and 0.1 under α = 0.1, L = 0.3, T = 3.0 and c0 = 0.8.
Table 3. The minimum sample size for c1 = 0.825, 0.850, 0.875, 0.90, 0.925, 0.95, 0.96, 0.975 and 0.98; m = 5, 6, 7 and 8 and p = 0.05, 0.075 and 0.1 under α = 0.1, L = 0.3, T = 3.0 and c0 = 0.8.
c1
βmp0.8250.850.8750.90.9250.950.960.9750.98
0.2550.0501313516964433
0.07513536171065433
0.10013937171075433
60.0501303516964433
0.07513636171065433
0.10014138181075433
70.0501313516964433
0.07513837171075433
0.10014539181075443
80.05013235161064433
0.07514037171075433
0.10014940181175443
0.250.05013336171065433
0.07513737171075433
0.10014238181075433
60.05013336171065433
0.07513837171075433
0.10014439181175443
70.05013336171065433
0.07514038181075433
0.10014740191175443
80.05013536171075433
0.07514338181175443
0.10015141191175444
0.1550.05013637181075433
0.07514038181175433
0.10014540191175443
60.05013537181075433
0.07514139181175443
0.10014740191175443
70.05013637181075433
0.07514339191175443
0.10015041191175543
80.05013738181075433
0.07514640191175443
0.10015542201285544
Table 4. The optimal (m*,n*), total cost TC and critical value C L 0 for c1 = 0.825 and 0.850 and p = 0.05, 0.075 and 0.1 under α = 0.1, L = 0.3, T = 3.0 and c0 = 0.8.
Table 4. The optimal (m*,n*), total cost TC and critical value C L 0 for c1 = 0.825 and 0.850 and p = 0.05, 0.075 and 0.1 under α = 0.1, L = 0.3, T = 3.0 and c0 = 0.8.
c1 0.825 0.85
αβp m * n * T C C L 0 m * n * T C C L 0
0.010.250.05054154240.7778151071160.75644
0.07554294380.7791541121200.75884
0.10044434510.7803541141220.76142
0.200.05054194280.7779251091180.75677
0.07554334420.7792541141220.75911
0.10044474550.7804641161240.76174
0.150.05054244330.7780551111200.75725
0.07554384470.7793741161240.75963
0.10044524600.7805741191270.76215
0.050.250.05052112200.77801555640.75693
0.07552182270.77932458660.75950
0.10042252330.78052459670.76205
0.200.05052142230.77818458660.75714
0.07552212300.77949459670.76000
0.10042292370.78068460680.76246
0.150.05052182270.77834459670.75775
0.07552252340.77966461690.76049
0.10042322400.78084462700.76304
0.100.250.05051311400.77822435430.75720
0.07541361440.77944436440.75993
0.10041391470.78070338450.76172
0.200.05051331420.77842437450.75818
0.07551371460.77970437450.76073
0.10041421500.78088438460.76308
0.150.05051361450.77862438460.75865
0.07551401490.77992340470.76054
0.10041451530.78109341480.76330
Table 5. The optimal (m*,n*), total cost TC and critical value C L 0 for c1 = 0.875 and 0.90 and p = 0.05, 0.075 and 0.1 under L = 0.3, T = 3.0 and c0 = 0.8.
Table 5. The optimal (m*,n*), total cost TC and critical value C L 0 for c1 = 0.875 and 0.90 and p = 0.05, 0.075 and 0.1 under L = 0.3, T = 3.0 and c0 = 0.8.
c1 0.875 0.90
αβp m * n * T C C L 0 m * n * T C C L 0
0.010.250.050450580.73444428360.71364
0.075451590.73871330370.71755
0.100452600.74280331380.72265
0.200.050451590.73553429370.71488
0.075452600.73958331380.71856
0.100453610.74350331380.72348
0.150.050452600.73605331380.71361
0.075453610.74041430380.72144
0.100454620.74416332390.72505
0.050.250.050327340.73418316230.71362
0.075328350.73855316230.71954
0.100328350.74276316230.72428
0.200.050328350.73521316230.71592
0.075427350.74082316230.72139
0.100329360.74408317240.72581
0.150.050329360.73620317240.71592
0.075428360.74236317240.72312
0.100330370.74470317240.72725
0.100.250.050317240.73615310170.71390
0.075318250.74010310170.72033
0.100318250.74438310170.72775
0.200.050318250.73769212180.71155
0.075318250.74136212180.71803
0.100319260.74538212180.72325
0.150.050319260.73769212180.71502
0.075319260.74255212180.72081
0.100319260.74633311180.72991
Table 6. The optimal (m*,t*,n*), total cost TC and critical value C L 0 for c1 = 0.825 and 0.850 and p = 0.05, 0.075 and 0.1 under L = 0.3, T = 3.0 and c0 = 0.8.
Table 6. The optimal (m*,t*,n*), total cost TC and critical value C L 0 for c1 = 0.825 and 0.850 and p = 0.05, 0.075 and 0.1 under L = 0.3, T = 3.0 and c0 = 0.8.
c1 0.825 0.85
αβp m * t * n * T C C L 0 m * t * n * T C C L 0
0.010.250.05060.53413423.1610.77552 50.53107115.6590.75198
0.07550.6428437.0040.77552 40.65111118.5910.75177
0.10040.68442449.7020.77549 40.66114121.6370.75177
0.200.05050.55419427.7590.77558 40.62110117.4810.75218
0.07550.58433441.8770.77562 40.64113120.5680.75218
0.10050.65445454.2260.77565 40.66116123.6390.75219
0.150.05050.55424432.7610.77573 50.54111119.6960.75287
0.07550.58438446.9050.77576 40.6116123.4060.75267
0.10040.67452459.6880.77576 30.8120126.3990.75266
0.050.250.05050.55211219.7250.77573 40.585663.3190.75248
0.07540.66219226.6540.77567 30.715965.1170.75251
0.10040.66225232.650.77573 30.736066.1860.75249
0.200.05050.55214222.7440.77590 40.625764.4820.75303
0.07550.58221229.9120.77590 30.746066.2310.75264
0.10040.68228235.7130.77590 30.76268.0970.75346
0.150.05050.53218226.6410.77605 40.585966.3240.75370
0.07540.65226233.6070.77605 30.726268.1550.75373
0.10040.67232239.6680.77610 30.756369.2440.75371
0.100.250.05040.6132139.40.77574 30.713642.120.75316
0.07540.6136143.4140.77592 30.693743.0720.75315
0.10040.65139146.6070.77592 30.683844.0480.75375
0.200.05050.52133141.5950.77615 30.723743.1720.75384
0.07540.63138145.5080.77615 30.713844.1150.75390
0.10040.63142149.5220.77606 30.73945.0890.75391
0.150.05040.62137144.4780.77640 30.663944.9950.75408
0.07540.62141148.4960.77639 30.753945.2570.75521
0.10040.63145152.5270.77631 30.734046.1950.75576
Table 7. The optimal (m*,t*,n*), total cost TC and critical value C L 0 for c1 = 0.875 and 0.90 and p = 0.05, 0.075 and 0.1 under L = 0.3, T = 3.0 and c0 = 0.8.
Table 7. The optimal (m*,t*,n*), total cost TC and critical value C L 0 for c1 = 0.875 and 0.90 and p = 0.05, 0.075 and 0.1 under L = 0.3, T = 3.0 and c0 = 0.8.
c1 0.825 0.85
αβp m * t * n * T C C L 0 m * t * n * T C C L 0
0.010.250.05040.614956.4510.72832 30.692935.0650.70665
0.07530.75258.1090.72837 30.663035.990.70658
0.10030.725359.1490.72843 30.733036.190.70652
0.200.05040.635057.5180.72910 30.663035.9940.70618
0.07530.725359.1450.72922 30.743036.2250.70607
0.10030.735460.1910.72917 30.73137.1080.70764
0.150.05030.735359.1960.73004 30.663136.9690.70618
0.07530.755460.2530.73003 30.723137.160.70745
0.10040.685461.7210.73061 30.693238.0830.70890
0.050.250.05030.642732.9280.73102 30.711521.1380.70983
0.07530.72733.1020.73098 30.621621.8750.71470
0.10030.672834.0060.72980 30.671622.0020.71478
0.200.05030.742733.2170.73198 30.641621.9180.70875
0.07530.692834.0550.73209 30.691622.070.71380
0.10030.662934.9840.73086 30.631722.8790.71151
0.150.05030.732834.1920.73313 30.751622.2550.71274
0.07530.692935.060.73323 30.651722.9420.71311
0.10030.673035.9960.73218 30.71723.0890.71525
0.100.250.05030.641722.9240.73297 30.61015.8150.70895
0.07530.71723.0920.73472 30.641015.9250.71318
0.10030.631823.8960.73289 30.691016.0680.71678
0.200.05030.611823.8430.73237 30.681016.0320.71495
0.07530.661823.9660.73426 30.761016.270.71827
0.10030.711824.1380.73573 30.611116.8260.71497
0.150.05030.711824.1220.73553 30.611116.8150.71349
0.07530.641924.920.73561 30.641116.9190.71687
0.10030.691925.0630.73709 30.681117.050.72543
Publisher’s Note: MDPI stays neutral with regard to jurisdictional claims in published maps and institutional affiliations.

Share and Cite

MDPI and ACS Style

Wu, S.-F.; Wu, Y.-C.; Wu, C.-H.; Chang, W.-T. Experimental Design for the Lifetime Performance Index of Weibull Products Based on the Progressive Type I Interval Censored Sample. Symmetry 2021, 13, 1691. https://doi.org/10.3390/sym13091691

AMA Style

Wu S-F, Wu Y-C, Wu C-H, Chang W-T. Experimental Design for the Lifetime Performance Index of Weibull Products Based on the Progressive Type I Interval Censored Sample. Symmetry. 2021; 13(9):1691. https://doi.org/10.3390/sym13091691

Chicago/Turabian Style

Wu, Shu-Fei, Yu-Cheng Wu, Chi-Han Wu, and Wei-Tsung Chang. 2021. "Experimental Design for the Lifetime Performance Index of Weibull Products Based on the Progressive Type I Interval Censored Sample" Symmetry 13, no. 9: 1691. https://doi.org/10.3390/sym13091691

APA Style

Wu, S.-F., Wu, Y.-C., Wu, C.-H., & Chang, W.-T. (2021). Experimental Design for the Lifetime Performance Index of Weibull Products Based on the Progressive Type I Interval Censored Sample. Symmetry, 13(9), 1691. https://doi.org/10.3390/sym13091691

Note that from the first issue of 2016, this journal uses article numbers instead of page numbers. See further details here.

Article Metrics

Back to TopTop