Next Article in Journal
A New Formulation of Maxwell’s Equations
Next Article in Special Issue
A Simulation on Relation between Power Distribution of Low-Frequency Field Potentials and Conducting Direction of Rhythm Generator Flowing through 3D Asymmetrical Brain Tissue
Previous Article in Journal
Machine Learning-Based Botnet Detection in Software-Defined Network: A Systematic Review
Previous Article in Special Issue
Atypical Brain Asymmetry in Human Situs Inversus: Gut Feeling or Real Evidence?
 
 
Font Type:
Arial Georgia Verdana
Font Size:
Aa Aa Aa
Line Spacing:
Column Width:
Background:
Article

Brain Size Associated with Foot Preferences in Australian Parrots

School of Science and Technology, University of New England, Armidale, NSW 2351, Australia
*
Authors to whom correspondence should be addressed.
Symmetry 2021, 13(5), 867; https://doi.org/10.3390/sym13050867
Submission received: 14 April 2021 / Revised: 8 May 2021 / Accepted: 10 May 2021 / Published: 12 May 2021
(This article belongs to the Special Issue Cognitive and Neurophysiological Models of Brain Asymmetry)

Abstract

Since foot preference of cockatoos and parrots to hold and manipulate food and other objects has been associated with better ability to perform certain tasks, we predicted that either strength or direction of foot preference would correlate with brain size. Our study of 25 psittacine species of Australia found that species with larger absolute brain mass have stronger foot preferences and that percent left-footedness is correlated positively with brain mass. In a sub-sample of 11 species, we found an association between foot preference and size of the nidopallial region of the telencephalon, an area equivalent to the mammalian cortex and including regions with executive function and other higher-level functions. Our analysis showed that percent left-foot use correlates positively and significantly with size of the nidopallium relative to the whole brain, but not with the relative size of the optic tecta. Psittacine species with stronger left-foot preferences have larger brains, with the nidopallium making up a greater proportion of those brains. Our results are the first to show an association between brain size and asymmetrical limb use by parrots and cockatoos. Our results support the hypothesis that limb preference enhances brain capacity and higher (nidopallial) functioning.

1. Introduction

Hand and foot preferences (footedness) have often been used as proxy measures of brain lateralization although there is little evidence that these preferences correlate with structural differences in the brain [1]. In humans, however, non-right handedness has been associated with particular dysfunctional conditions, although not consistently [2,3,4,5]. In non-human species, absence of hand or limb preference has been considered to indicate weak or absent asymmetry of the brain [6,7]. However, although hand-preference, or limb-preference, reflects which hemisphere is in control of motor behaviour [8], its presence or absence cannot not necessarily be used as a measure of the strength or direction of asymmetry in the brain itself, either at the individual level or the population level. For example, in any group of marmosets, approximately half the individuals have a left-hand preference and the other half a right-hand preference [9]. Nevertheless, almost all individuals have the same eye preference for viewing particular stimuli [10]. Furthermore, left-handed marmosets have a negative cognitive bias, whereas right-handed marmosets have a positive cognitive bias [11]: a result explained by specialised processing of the hemisphere contralateral to the preferred hand. In marmosets, hand preference is an individual characteristic, whereas eye preference has a population bias. Even when no consistent limb preference is present, a species may still have population asymmetry for processing sensory information in the brain.
Some researchers adhere to the hypothesis that hand preference in humans is stronger than any hand or limb preference in non-human species [12]. By extrapolation, it has also been argued that brain lateralization is stronger in humans, thereby adhering to a view of a significant discontinuity of brain function between humans and other animals [13,14] but see [15]. Although there is some support for this idea when only the evidence for hand preference in primates is considered, that too has been contested [14,16]. In fact, we now know that limb preferences present as population-level asymmetries are quite common in vertebrate species [12]. They occur in some amphibians [17,18], and footedness has been reported for several avian orders (wildfowl and waders [19], yellow-bellied tits, Pardaliparus venustulus, [20] and many species of parrots [21,22]). Cockatoos also display foot preferences [21,23,24,25] and, in some species, foot preference is as strong as hand preference in humans [21]. Furthermore, the well-studied laterality of a broad range of perceptual functions in chickens and pigeons is as strong as laterality in humans [26,27,28,29].
Having a lateralized brain has been shown to increase the processing capacity of the brain, to permit complementary and parallel processing of sensory information and to improve motor control [27]. Consistent with this, psittacine species that display foot preferences have better ability to perform certain tasks than species with weak on no foot preference [30,31]. This raises questions about potential associations between brain size and foot preference in different psittacine species. Do species with footedness have larger brains, or is footedness a way of compensating for having a smaller brain?
In this paper we are concerned with species-level population lateralization of foot use in a range of species of Australian parrots and cockatoos. Psittaciformes are usually subdivided into three superfamilies Cacatuoidea (cockatoos), Psittacoidea (true parrots) and Strigopoidea [32]. Species in Strigopoidea were not included here because they are extant New Zealand parrots. Worldwide, there are about 375 species of parrots, of which about 56 species (depending on taxonomical consideration of counting some birds as subspecies or separate species) are native to Australia. Modern extant parrots and songbirds are of particular interest for evolutionary reasons [33]. Both orders have their origin in East-Gondwana, now Australia [34]. While radiations and departures from the continent eventually occurred, the evolution of the two superfamilies from ancestral surviving lineages has been uninterrupted to this day, despite the mass extinction events of 65 million years ago [33,35].
Large-brained psittacines, as cockatoos are, have a unique cerebrotype compared to large-brained songbirds: they have a relatively larger subpallium within the telencephalon, containing more telencephalic neurons [36]. The subpallium is responsible for neural regulation of feeding, reproduction, voluntary movement, and agonistic and stress behaviours. It is also associated with reward, memory and learning [37].
Parrots are an anomaly amongst avian species in that their brains are lavishly equipped with nuclei for vocalizations, having the same seven nuclei of the song control system as songbirds, although they are not songbirds. Parrots are well-known for their extraordinary ability to mimic and to retain the memory of a large number of sounds that are not species-specific. Why this capacity has developed is not clear because it has so far not been confirmed that parrots use mimicry in the wild on a regular or even just occasional basis. Even more puzzling, from a functional point of view, is, as Chakraborty and colleagues [38,39] discovered, that parrots have a core and shell song systems, i.e., an additional set of nuclei not present in songbirds. It seems to be a structure unique to the parrot brain but its function is still not entirely clear. We now know, however, that within the song control system the magnocellular nucleus of the medial striatum (MMSt) is a prime target for somato-motor outputs from the hyperpallium apicale of the rostral Wulst, the avian equivalent of the mammalian motor cortex [40]. This projection may be significant in parrots as it potentially mediates control of the body and limbs along with vocalization during elaborate, ritualized visual displays [41]. One notes that the song nuclei are largely located in the nidopallium, the part of the forebrain that is involved in cognition.
We report associations between foot preference (footedness) in species of Australian parrots and brain size, measured as whole brain mass and as whole brain mass relative to body mass, and between footedness and the size of two regions of the brain, the nidopallium, including the primary visual centre (entopallium), and the optic tectum. The avian nidopallium (see Figure 1), an analogue to the mammalian cortex, is an important area of the cortical telencephalon of the avian forebrain. Some of its sub-regions, such as the caudal nidopallium, the nidopallium caudocentral (NCC), caudomedial (NCM) and caudolateral (NCL), are considered vital for many complex, higher order cognitive functions in birds [42,43,44]. Indeed, the NCL is the seat of executive function, functionally equivalent to the prefrontal cortex of mammals [44,45] and, amongst other connections, it is reciprocally connected to sensory areas in all modalities and to basal ganglia and premotor areas [46]. It plays a key role in cognitive control of a number of functions, including roles in reward systems [47] and choice behaviour [48]. Although no studies of NCL have yet been conducted using parrots, this region of the nidopallium is almost certainly involved in feeding using the feet.
The optic tectum is part of the main visual input system of birds and must be involved in foot/eye coordination. However, Niederleitner et al. [51] discovered a relay nucleus between the inferior colliculus and the optic tectum in the chicken, providing a solid basis for demonstrating visual–auditory integration.
We were interested in testing whether limb preference might be associated with the size of these of the optic tectum and the nidopallium because eye preferences and foot preferences are linked, as Brown and Magat showed in 16 species of Australian parrots [52].

2. Materials and Methods

2.1. Subjects

Psittaciformes are subdivided into the superfamilies Strigopoidea (New Zealand parrots), Cacatuoidea (cockatoos) and Psittacoidea (true parrots). Species in our samples, which did not include the New Zealand parrots, belonged to the two superfamilies of cockatoos (Cacatuoidea) and true parrots (Psittacoidea). Those examined here are exclusively native Australian species, excluding closely related cockatoo species endemic to islands north of Australia (such as New Guinea, including the Bismarck Archipelago, the Solomon Islands, or Tanimbar Islands Archipelago (Indonesia). The subjects used were those for which published data on brain mass, body mass and foot preference are available (see next section) but for which no previous study exists that has tested a potential association between these variables.

2.2. Source of Data

Data on body mass, brain mass and volumes of brain regions were obtained from Franklin et al. [53] and Iwaniuk et al. [54]. We compared published data on foot preferences (see below) with published data on brain mass, relative brain mass and the size of two regions of the forebrain, the nidopallium and the optic tectum.
Foot preference in 25 species of Australian parrots was obtained from three publications. Data for nine species were obtained from a previous study by the co-author of this paper, Rogers [21]. Scores for the budgerigar came from Rogers and Workman [55] and for another 15 species from Brown and Magat [22] (see Table 1). We used data for two measures of footedness: (1) percent use of the left foot and (2) strength of foot preference, regardless of whether the left or right foot is used.
The number of individuals scored varied considerably between species (see Table 1) due to differences in availability of birds to test. Both caged and wild birds were tested and, for all species apart from the budgerigar, data were collected from multiple locations in order to make the scores representative of the species.
The behavioural score was percent left-foot use to hold food. Brown and Magat [22] determined foot preferences by scoring the foot used to grasp food items, with 10 trials per individual bird. Rogers [21] scored the foot used to hold food while eating (Figure 2), the number of scores per individual varying from 1 to 6. Since budgerigars rarely hold food in a foot, in this species preferred foot was determined by placing a small piece of adhesive tape on the dorsal surface of the beak and then scoring the foot used in attempts to remove the tape (10 scores per bird) [55].
The formula (L/L + R) × 100 was used to determine % Left, where L refers to the number of times the left foot was used and R to the number of times the right foot was used. At least five subjects per species were assessed (Table 1). The scores determined were mean percentages for each species; hence, they represented the %L for each species, considered as a group or population.
Strength of foot preference was determined as the difference between the scored % Left and 50% (no preference). Hence, it was an absolute score, not taking into account the direction of the foot preference. These scores ranged from 0% to 50%.
Out of our main group of species, we selected for more detailed examination 11 species for which the volume of various brain regions, relative to the volume of the whole brain, had been determined using histological sections and Nissl staining by Iwaniuk and Hurd [56] (see Table 2). We selected to compare % Left and strength of foot preference with two brain regions: viz., the nidopallium (N) and the optic tectum. Data for these two regions were given as proportions of the total brain volume.

2.3. Statistical Tests

Pearson correlations (in Excel) were performed between % Left and brain mass relative to body mass (Brain mass/body mass × 1000) and, in the smaller group, between % Left and the volumes of the two brain regions relative to total brain volume. Where needed, due to multiple comparisons, Bonferroni corrections were applied. Correlations were also made using scores for the strength of footedness (absolute value of difference between score and no preference, 50%).

3. Results

3.1. Association between Foot Preference and Body Mass

First, we tested our data to see whether they showed results similar to those of Brown and Magat [22] and, consistent with that report, strength of foot preference correlated significantly with body mass (R (25) = 0.5339, p = 0.0059, Bonferroni correction α = 0.0166) and strongly with log10 Body mass (R(25) = 0.7166, p = 0.000056). The larger the bird, the stronger the foot preference.

3.2. Association between Foot Preference and Brain Mass

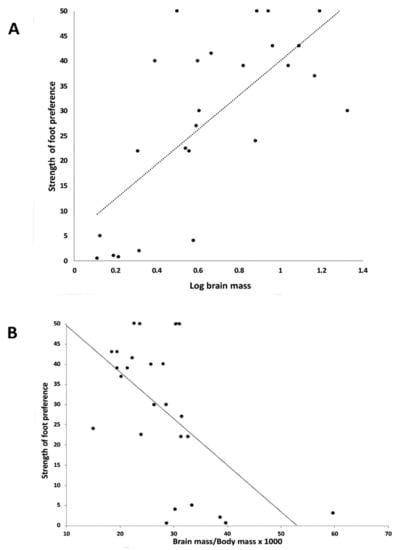
Strength of foot preference correlated significantly with brain mass (R (25) = 0.5259, p = 0.0069, Bonferroni correction α = 0.0166) and with log10 Brain mass (R (25) = 0.7166, p = 0.00005; Figure 3A). Species with larger brains have stronger foot preferences. There was also a significant association between % Left and Brain mass (R (25) = 0.4857, p = 0.01384) and log10 Brain mass (R (25) = 0.4525, p = 0.02111). Hence, left-footedness is stronger in species with a larger brain.

3.3. Association between Foot Preference and Brain Mass Relative to Body Mass

There was no significant correlation between % Left and brain mass/body mass (R(25) = −0.1655, p = 0.4291). However, the correlation between strength of foot preference and brain mass/body mass was significant (R (25) = −0.6032, p = 0.0014, Bonferroni correction α = 0.0166: Figure 3B). The larger the size (or mass) of the brain relative to body size (or mass), the weaker the foot preference. This result comes about because body mass increases across species at a greater rate than does brain weight. Hence, species with larger bodies, and larger brains per se, but not relative to body mass, have stronger foot preferences.

3.4. Association between Foot Preference and Brain Mass in the Smaller Sample

First, this subset of 11 species was tested for Pearson correlation between the strength of foot preference and brain mass. As for the larger sample, this set showed a significant positive correlation (R (11) = 0.6410, p = 0.0335). This result shows that the subset was representative of the larger sample.
A Pearson correlation was applied to % Left scores versus relative volume of the nidopallial region and a positive association was found (R (11) = 0.7674, p = 0.0058, Bonferroni corrected α = 0.025; Figure 4A). Hence, the larger the volume of the nidopallium compared to the whole brain, the stronger the left foot preference.
A negative correlation was found between % Left and the relative volume of the optic tecta but it failed to be significant once the Bonferroni correction was applied (R(11) = −0.6129, p = 0.0449, Bonferroni correction α = 0.025; Figure 4B).
Strength of foot preference did not correlate significantly with the volumes of either the nidopallium or optic tecta regions (nidopallium, R(11) = 0.3393, p = 0.3072; optic tecta, R(8) = −0.5908, p = 0.0556, Bonferroni correction α = 0.025).

4. Discussion

First, we analysed the data to see whether they supported the finding of Brown and Margat [22] that, in species of Australian parrots, strength of foot preference correlates positively with body length, the latter being taken to indicate body size. As we were able to examine strength of foot preference versus body mass, this gave a better indication of the relationship between strength of foot preference and body size. By doing so, we found a significant positive correlation, which supports the findings of Magat and Brown [22]: the larger the species of parrot, the stronger is the foot preference. Magat and Brown [22] provided some evidence that this relationship may be due to larger parrots feeding on larger seeds. Such feeding would require more eye-foot manipulation. In fact, larger species often hold a whole seed pod in one foot and manipulate it carefully in order to extract the seeds (see Figure 1 in [57], p. 27, showing a yellow-tailed black cockatoo feeding on a large Banksia pod).
We also found a positive correlation between strength of foot preference and brain mass (Figure 3). The larger the brain size, the stronger the preference to hold food or objects in a preferred foot. In turn, this reflects control by the hemisphere opposite the preferred foot and use of the specific specialised functions of that hemisphere. However, the association between strength of foot-preference and brain mass relative to body mass is negative (Figure 3). To summarise the results so far, although larger birds have stronger foot preferences and larger brains, they have smaller brain mass relative to body mass: this means that, across species, the body size increases at a greater rate than does brain size.
These measures may also correlate with other factors; for example, with genome size and, hence, neuronal complexity of the brain. In fact, Andrews and Gregory [58] found that, in 54 species of parrots and cockatoos, genome size correlated negatively with relative brain size. They attributed this to species differences in neuronal complexity: the larger the genome, the more complex are the neural connections in the brain [58]. It would now be worth investigating whether a similar association between brain size and genome size holds for the species we tested. Since we have found a negative correlation between strength of footedness and relative brain mass, strength of foot preference may correlate positively with genome size, and hence, complexity of brain structure. This is merely a thought for future research. We are aware that whole brain size is a rough measure to associate with behaviour [59] but it is a starting point leading to investigation of more specific brain regions associated with particular patterns of behaviour.
Our findings also illustrate the difference between using absolute brain size compared to relative brain size when drawing links between brain and behaviour [60]. We suggest that absolute brain size (or mass) is a better measure to associate with foot preference, and possibly also with cognitive behaviour, than is brain mass relative to body mass. As Herculano-Houzel [61] emphasised, body mass is very variable and not tightly correlated with the number of neurones in the brain. Nevertheless, although it is preferrable not to use body mass as a measure related to behaviour or cognition, within Psittaciformes, Herculano-Houzel [61] did report a positive relationship between the number of neurones in the brain and body mass and, more specifically, between the number of neurones in the pallium and body mass. To extrapolate to our data, since foot preferences are stronger in larger parrots with larger brains, these features may go along with more neurones in the brain and with higher computational capacity or “cognitive power” [36].
The positive relationship between strength of foot preference and brain mass was also present in our subgroup of 11 species selected in order to examine correlations between foot preference and regional areas of the brain. In this representative subgroup, we also found that % Left correlated positively with volume of the nidopallium relative to whole brain volume (Figure 4). Parrots with proportionately larger nidopallial regions express stronger left-foot preferences, and hence use of the right hemisphere. Put simply, the nidopallium is larger in left-footed species than it is in right-footed species.
The nidopallial region measured by Iwaniuk and Hurd [56] included all of the subregions (nucleus basorostralis pallii, entopallium and arcopallium) as well as area temporo-parieto-occipitalis. The entopallium is a primary visual centre, receiving inputs from the retina, via the optic tectum and nucleus rotundus, and sending outputs to the arcopallium (see Figure 1), which in turn sends outputs to the brain stem and controls motor function (summarised in [28]). It is a visuo–motor system clearly involved in eye–foot co-ordination. It is not known whether these regions of the nidopallial complex differ in size between the hemispheres, and so may be associated with asymmetry of limb use, but research on pigeons has shown that asymmetry is present in the visual pathway sending inputs to the entopallium: the entopallium in the left hemisphere receives strong inputs from both eyes, whereas the same region in the right hemisphere receives inputs mainly from the left eye [28,62,63]. In left-footed birds, therefore, the right hemisphere is being used rather exclusively to carry out eye-foot co-ordination needed to hold and manipulate food items [52].
Recently, Morandi-Raikova et al. [64] reported asymmetry in entopallial neurones in domestic chicks: they found more parvalbumin-expressing neurones, most likely GABAergic inhibitory neurones, in the entopallium of right hemisphere than in the same region of the left hemisphere. This suggests that primary visual inputs are processed differently in the left and right hemispheres. Furthermore, as shown in the pigeon, there is asymmetry in the arcopallial regions, due to differences in left-to-right versus right-to-left exchange of visual information via the anterior commissure [65].
We found a trend for a negative correlation between % Left and the relative size of the optic tecta (Figure 4) but it was not significant in our sample, perhaps due to our small sample size. Nevertheless, the larger nidopallium, as we found in species with stronger foot preferences, is not matched by any difference between species in size of the optic tecta. It seems, therefore, that visual processing in the optic tecta may well be similar across species. Hence, there is regional specificity in size increase of the nidopallium related to foot preference. Our data provide an example, across species, of brain structures contributing differently to whole brain size, a consideration discussed in detail by Willemet [60].
It is not known whether evolution of the bird brain involved coordination between the telencephalon and non-telencephalic regions [54] but this seems highly unlikely. The latter is not necessarily related to cognition. From Striedter and Charvet’s work [66], we have evidence that certain areas of the brain differ in size relative to the rest of the bird’s brain in different species from embryonic stage onwards. In a morphometric comparison between budgerigars, Melopsittacus undulatus, and quails, Colinus virginianus, the researchers showed [66] that species differences in telencephalon and optic tectum size occur right from the beginning of development of the embryo: the optic tectum being much larger in the quail than in the budgerigar, whereas the telencephalon occupies more than 60% of the budgerigar brain and slightly more than 40% in the quail [66]. These differences reflect the cognitive differences between budgerigars and quails.
The evidence is already clear that parrots have brain/body ratios and encephalization quotients similar to those of primates [54]. However, in most research on the size of the telencephalon and sub-structures, there has been no consideration of differences between the left and the right hemispheres. Apart from a recent study of cichlid fish, showing associations between lateralized behaviour and brain structures, as well as gene expression [67], research on asymmetry in non-human species has focused on left–right differences in function rather than structure.
In a range of species, the left hemisphere has been shown to be responsible for top-down control (such as routine behaviour) and the right hemisphere for environmentally elicited behaviour such as response to threats and social partners [68]. Social play behaviour in parrots and other clades is correlated positively with brain size [69] but, for this behaviour, there has been no study of differences between the hemispheres. By contrast, social recognition is known to be largely right-hemisphere controlled [70,71] and, as Yamazaki at al. [72] concluded, cognition overall may be largely asymmetrical [73].
The significant results shown here concern the relationship between footedness and the size of the nidopallium, a region of the forebrain with executive and other higher-level functions. Our finding, coupled with the evidence of parrots’ exceptional vocal and cognitive abilities, indicates that the nidopallium deserves more and detailed attention. Our finding of a significant positive correlation between % Left foot use and the size of the nidopallium further suggests that it would be worth looking in future for asymmetries in the size of the nidopallial regions of the hemispheres and, particularly, the areas that are included in that region, the entopallium, arcopallium and NCL. We hope that our findings might encourage future research on left–right differences, not only of gross structure, but also of neural processing [74], subcellular structures [64] and gene expression [67].

Author Contributions

Conceptualization, G.K. and L.J.R.; Data curation, G.K. and L.J.R.; Formal analysis, G.K. and L.J.R.; Investigation, G.K. and L.J.R.; Methodology, G.K. and L.J.R.; Project administration, G.K. and L.J.R.; Writing—original draft, G.K. and L.J.R.; Writing—review & editing, G.K. and L.J.R. All authors have read and agreed to the published version of the manuscript.

Funding

No funding was requested for this research.

Institutional Review Board Statement

Not applicable.

Informed Consent Statement

Not applicable.

Data Availability Statement

The data have been published previously in papers cited in the Methods.

Acknowledgments

We thank the authors of papers from which we could select data for analysis.

Conflicts of Interest

The authors declare no conflict of interest.

References

  1. Ocklenburg, S.; Metzen, D.; Schlüter, C.; Fraenz, C.; Arning, L.; Streit, F.; Güntürkün, O.; Kumsta, R.; Genc, E. Polygenic scores for handedness and their association with asymmetries in brain structure. Res. Sq. 2021. [Google Scholar] [CrossRef]
  2. Dragovic, M.; Hammond, G. Handedness in schizophrenia: A quantitative review of evidence. Acta Psychiatr. Scand. 2005, 111, 410–419. [Google Scholar] [CrossRef]
  3. Ocklenburg, S.; Güntürkün, O.; Hugdahl, K.; Hirnstein, M. Laterality and mental disorders in the postgenomic age—A closer look at schizophrenia and language lateralization. Neurosci. Biobehav. Rev. 2015, 59, 100–110. [Google Scholar] [CrossRef] [PubMed]
  4. Packheiser, J.; Schmitz, J.; Stein, C.C.; Pfeifer, L.S.; Berretz, G.; Papadatou-Pastou, M.; Peterburs, J.; Ocklenburg, S. Handedness and depression: A meta-analysis across 87 studies. PsyArXiv 2021. [Google Scholar] [CrossRef]
  5. Sommer, I.E.C.; Aleman, A.; Ramsey, N.; Bouma, A.; Kahn, R. Handedness, language lateralisation and anatomical asymmetry in schizophrenia—Meta-analysis. Br. J. Psychiatr. 2001, 178, 344–351. [Google Scholar] [CrossRef]
  6. Chance, S.A.; Crow, T.J. Distinctively human: Cerebral lateralisation and language in Homo sapiens. J. Anthropol. Sci. 2007, 85, 83–100. [Google Scholar]
  7. McGrew, W.C.; Marchant, L.F. On the other hand: Current issues in and meta-analysis of the behavioral laterality of hand function in nonhuman primates. Yearb. Phys. Anthropol. 1997, 40, 201–232. [Google Scholar] [CrossRef]
  8. Hopkins, W.D.; Cantalupo, C. Handedness in chimpanzees (Pan troglodytes) is associated with asymmetries of the primary motor cortex but not with homologous language areas. Behav. Neurosci. 2004, 118, 1176–1183. [Google Scholar] [CrossRef][Green Version]
  9. Hook, M.A.; Rogers, L.J. Visuospatial reaching preferences of common marmosets: An assessment of individual biases across a variety of tasks. J. Comp. Psychol. 2008, 122, 41–51. [Google Scholar] [CrossRef]
  10. Hook-Costigan, M.A.; Rogers, L.J. Eye preferences in common marmosets (Callithrix jacchus): Influence of age, stimulus and hand preference. Laterality 1998, 3, 109–130. [Google Scholar] [CrossRef] [PubMed]
  11. Gordon, D.J.; Rogers, L.J. Cognitive bias, hand preference and welfare in common marmosets. Behav. Brain Res. 2015, 287, 100–108. [Google Scholar] [CrossRef] [PubMed]
  12. Ströckens, F.; Güntürkün, O.; Ocklenburg, S. Limb preferences in non-human vertebrates. Laterality 2013, 18, 536–575. [Google Scholar] [CrossRef]
  13. Crow, T.J. Why cerebral asymmetry is the key to the origin of Homo sapiens: How to find the gene of eliminate the theory. Curr. Psychol. Cogn. 1998, 17, 1237–1277. [Google Scholar]
  14. Corballis, M.C. Cerebral asymmetry and human uniqueness. In The Evolution of Hemispheric Specialization in Primates; Special Topics in Primatology; Hopkins, W.D., Ed.; Elsevier: Amsterdam, The Netherlands, 2007; Volume 5, pp. 1–21. [Google Scholar]
  15. Corballis, M.C. Bilaterally symmetrical: To be or not to be? Symmetry 2020, 12, 326. [Google Scholar] [CrossRef]
  16. Corballis, M.C. Humanity and the left hemisphere: The story of half a brain. Laterality 2020, 26. [Google Scholar] [CrossRef]
  17. Malashichev, Y.B.; Wassersug, R.J. Left and right in the amphibian world: Which way to develop and where to turn? BioEssays 2004, 26, 512–522. [Google Scholar] [CrossRef] [PubMed]
  18. Stancher, G.; Sovrano, V.A.; Vallortigara, G. Motor asymmetries in fishes, amphibians, and reptiles. Proc. Brain Res. 2018, 238, 33–56. [Google Scholar]
  19. Randler, C. Foot preferences during resting in wildfowl and waders. Laterality 2007, 12, 191–197. [Google Scholar] [CrossRef]
  20. Yu, G.; Guo, J.; Xie, W.; Wang, J.; Wu, Y.; Zhang, J.; Xu, J.; Li, J. Footedness predicts escape performance in a passerine bird. Ecol. Evol. 2020, 10, 4251–4260. [Google Scholar] [CrossRef] [PubMed]
  21. Rogers, L.J. Lateralisation in the avian brain. Bird Behav. 1980, 2, 1–12. [Google Scholar] [CrossRef]
  22. Brown, C.; Magat, M. The evolution of lateralized foot use in parrots: A phylogenetic approach. Behav. Ecol. 2011, 22, 1201–1208. [Google Scholar] [CrossRef][Green Version]
  23. Rogers, L.J. Laterality in animals. Int. J. Comp. Psychol. 1989, 3, 5–25. [Google Scholar]
  24. Magrath, D.I. Footedness in the glossy black-cockatoo: Some observations and a review of the literature with a note on the husking of Allocasuarina cones by this species. Corella 1994, 18, 21–24. [Google Scholar]
  25. Woodall, P.F.; Woodall, L.B. Little and long-billed Corellas feeding on hoop pine seeds, and their ‘footedness’. Sunbird J. Qld. Ornithol. Soc. 2001, 31, 30–32. [Google Scholar]
  26. Rogers, L.J.; Vallortigara, G.; Andrew, R.J. Divided Brains: The Biology and Behaviour of Brain Asymmetries; Cambridge University Press: Cambridge, UK, 2013. [Google Scholar]
  27. Vallortigara, G.; Rogers, L.J. A function for the bicameral mind. Cortex 2020, 124, 274–285. [Google Scholar] [CrossRef] [PubMed]
  28. Güntürkün, O.; Strökens, F.; Ocklenburg, S. Brain lateralization: A comparative perspective. Physiol. Rev. 2020, 100, 1019–1063. [Google Scholar] [CrossRef] [PubMed]
  29. Ocklenburg, S.; Güntürkün, O. The Lateralized Brain: The Neuroscience and Evolution of Hemispheric Asymmetries; Academic Press: London, UK, 2018. [Google Scholar]
  30. Magat, M.; Brown, C. Laterality enhances cognition in Australian parrots. Proc. R. Soc. B 2009, 276, 4155–4162. [Google Scholar] [CrossRef] [PubMed]
  31. Cussen, V.A.; Mench, J.A. Performance on the Hamilton search task, and the influence of lateralization, in captive orange-winged Amazon parrots (Amazona amazonica). Anim. Cogn. 2014, 17, 901–909. [Google Scholar] [CrossRef] [PubMed]
  32. Joseph, L.; Toon, A.; Schirtzinger, R.E.; Wright, T.F.; Schodde, R. A revised nomenclature and classification for family-group taxa of parrots (Psittaciformes). Zootaxa 2012, 40, 26–40. [Google Scholar] [CrossRef]
  33. Barker, F.K.; Cibois, A.; Schikler, P.A.; Feinstein, J.; Cracraft, J. Phylogeny and diversification of the largest avian radiation. Proc. Nat. Acad. Sci. USA 2004, 101, 11040–11045. [Google Scholar] [CrossRef]
  34. Edwards, S.V.; Bowles, W.E. Out of Gondwana: The origin of passerine birds. Trends Ecol. Evol. 2002, 17, 347–349. [Google Scholar] [CrossRef]
  35. Wright, T.F.; Schirtzinger, E.E.; Matsumoto, T.; Eberhard, J.R.; Graves, G.R.; Sanchez, J.J.; Capelli, S.; Müller, H.; Scharpegge, J.; Chambers, G.K.; et al. A multilocus molecular phylogeny of the parrots (Psittaciformes): Support for a Gondwanan origin during the Cretaceous. Mol. Biol. Evol. 2008, 25, 2141–2156. [Google Scholar] [CrossRef] [PubMed]
  36. Olkowicz, S.; Kocourek, M.; Lučan, R.K.; Porteš, M.; Fitch, W.T.; Herculano-Houzel, S.; Němec, P. Birds have primate-like numbers of neurons in the forebrain. Proc. Natl. Acad. Sci. USA 2016, 113, 7255–7260. [Google Scholar] [CrossRef]
  37. Kuenzel, W.J. The Avian subpallium and autonomic nervous system. In Sturkie’s Avian Physiology, 6th ed.; Elsevier: Amsterdam, The Netherlands, 2014; pp. 135–163. [Google Scholar]
  38. Chakraborty, M.; Jarvis, E.D. Brain evolution by brain pathway duplication. Philos. Trans. R. Soc. Lond. B 2015, 370, 20150056. [Google Scholar] [CrossRef]
  39. Chakraborty, M.; Walløe, S.; Nedergaard, S.; Fridel, E.E.; Dabelsteen, T.; Pakkenberg, B.; Bertelsen, M.F.; Dorrestein, G.M.; Brauth, S.E.; Durand, S.; et al. Core and shell song systems unique to the parrot brain. PLoS ONE 2015, 10, e0118496. [Google Scholar] [CrossRef]
  40. Wild, J.M.; Williams, M.N. Rostral Wulst in passerine birds. 1. Origin, course, and terminations of an avian pyramidal tract. J. Comp. Neurol. 2000, 416, 429–450. [Google Scholar] [CrossRef]
  41. Wild, J.M. Neural pathways for the control of birdsong production. J. Neurobiol. 1997, 33, 653–670. [Google Scholar] [CrossRef]
  42. Güntürkün, O. The avian ’prefrontal cortex’ and cognition. Curr. Opin. Neurobiol. 2005, 15, 686–693. [Google Scholar] [CrossRef] [PubMed]
  43. Güntürkün, O. The convergent evolution of neural substrates for cognition. Psychol. Res. 2012, 76, 212–219. [Google Scholar] [CrossRef]
  44. Herold, C.; Palomero-Gallagher, N.; Hellmann, B.; Kröner, S.; Theiss, C.; Güntürkün, O.; Zilles, K. The receptor architecture of the pigeons’ nidopallium caudolaterale: An avian analogue to the mammalian prefrontal cortex. Brain Struct. Funct. 2011, 216, 239–254. [Google Scholar] [CrossRef]
  45. Von Eugen, K.; Tabrik, S.; Güntürkün, O.; Strökens, F. A comparative analaysis of the dopaminergic innervation of the executive caudal nidopallium in pigeon, chicken, zebra finch, and carrion crow. J. Comp. Neurol. 2020, 528, 2929–2955. [Google Scholar] [CrossRef]
  46. Kröner, S.; Güntürkün, O. Afferent and efferent connections of the caudolateral neostriatum in the pigeon (Columba livia): A retro-and antero-grade pathway tracing study. J. Comp. Neurol. 1999, 407, 228–260. [Google Scholar] [CrossRef]
  47. Dykes, M.; Klarer, A.; Porter, B.; Rose, J.; Colombo, M. Neurons in the pigeon nidopallium caudolaterale display value-related activity. Sci. Rep. 2018, 8, 5377. [Google Scholar] [CrossRef] [PubMed]
  48. Kalenscher, T.; Windmann, S.; Diekamp, B.; Rose, J.; Güntürkün, O.; Colombo, M. Single units in the pigeon brain integrate reward amount and time-to-reward in an impulsive choice task. Curr. Biol. 2005, 15, 594–602. [Google Scholar] [CrossRef]
  49. Kuenzel, W.J.; Medina, L.; Csillag, A.; Perkel, D.J.; Reiner, A. The avian subpallium: New insights into structural and functional subdivisions occupying the lateral subpallial wall and their embryological origins. Brain Res. 2011, 1424, 67–101. [Google Scholar] [CrossRef]
  50. Reiner, A.; Perkel, D.J.; Bruce, L.L.; Butler, A.B.; Csillag, A.; Kuenzel, W.; Medina, L.; Paxinos, G.; Shimizu, T.; Striedter, G.; et al. Revised nomenclature for avian telencephalon and some related brainstem nuclei. J Comp. Neurol. 2004, 473, 377–414. [Google Scholar] [CrossRef]
  51. Niederleitner, B.; Gutierrez-Ibanez, C.; Krabichler, Q.; Weigel, S.; Luksch, H. A novel relay nucleus between the inferior colliculus and the optic tectum in the chicken (Gallus gallus). J. Comp. Neurol. 2017, 525, 513–534. [Google Scholar] [CrossRef]
  52. Brown, C.; Magat, M. Cerebral lateralization determines hand preferences in Australian parrots. Biol. Letts 2011, 7, 496–498. [Google Scholar] [CrossRef] [PubMed]
  53. Franklin, D.C.; Garnett, S.T.; Luck, G.W.; Gutierrez-Ibanez, C.; Iwaniuk, A.N. Relative brain size in Australian birds. Emu 2014, 114. [Google Scholar] [CrossRef]
  54. Iwaniuk, A.N.; Dean, K.M.; Nelson, J.E. Interspecific allometry of the brain and brain regions in parrots (Psittaciformes): Comparisons with other birds and primates. Brain Behav. Evol. 2005, 65, 40–59. [Google Scholar] [CrossRef] [PubMed]
  55. Rogers, L.J.; Workman, L. Footedness in birds. Anim. Behav. 1993, 45, 409–411. [Google Scholar] [CrossRef]
  56. Iwaniuk, A.N.; Hurd, P.L. The evolution of cerebrotypes in birds. Brain Behav. Evol. 2005, 65, 215–230. [Google Scholar] [CrossRef] [PubMed]
  57. Rogers, L.J. Lateralization in its many forms, and its evolution and development. In The Evolution of Hemispheric Specialization in Primates; Special Topics in Primatology; Hopkins, W.D., Ed.; Elsevier: Amsterdam, The Netherlands, 2007; Volume 5, pp. 23–56. [Google Scholar]
  58. Andrews, C.B.; Gregory, T.R. Genome size is inversely correlated with relative brain size in parrots and cockatoos. Genome 2009, 52, 261–267. [Google Scholar] [CrossRef] [PubMed]
  59. Healy, S.D.; Rowe, C. A critique of comparative brain studies of brain size. Proc. R. Soc. B 2007, 274, 453–464. [Google Scholar] [CrossRef]
  60. Willemet, R. Reconsidering the evolution of brain, cognition, and behavior in birds and mammals. Front. Psychol. 2013, 4, 396. [Google Scholar] [CrossRef] [PubMed]
  61. Herculano-Houzel, S. Numbers of neurons as biological correlates of cognitive capability. Curr. Opin. Behav. Sci. 2017, 16, 1–7. [Google Scholar] [CrossRef]
  62. Güntürkün, O.; Hellmann, B.; Melsbach, G.; Prior, H. Asymmetries of representation in the visual system of pigeons. Neuroreport 1998, 9, 4127–4130. [Google Scholar] [CrossRef]
  63. Güntürkün, O.; Stüttgen, M.C.; Manns, M. Pigeons as a model species for cognitive neuroscience. Neuroforum 2014, 5, 86–92. [Google Scholar] [CrossRef]
  64. Morandi-Raikova, A.; Danieli, K.; Lorenzi, E.; Rosa-Salva, O.; Mayer, U. Anatomical asymmetries in the tectofugal pathway of dark-incubated domestic chicks: Rightwards lateralization of parvalbumin neurons in the entopallium. Laterality 2021, 26. [Google Scholar] [CrossRef] [PubMed]
  65. Xiao, Q.; Güntürkün, O. The commissura anterior compensates asymmetries of visual representation in pigeons. Laterality 2021, 26. [Google Scholar] [CrossRef]
  66. Striedter, G.F.; Charvet, C.J. Developmental origins of species differences in telencephalon and tectum size: Morphometric comparisons between a par-akeet (Melopsittacus undulatus) and a quail (Colinus virgianus). J. Comp. Neurol. 2008, 507, 1663–1675. [Google Scholar] [CrossRef]
  67. Lee, H.J.; Schneider, R.F.; Manousaki, T.; Kang, J.H.; Lein, E.; Franchini, P.; Meyer, A. Lateralized feeding behavior is associated with asymmetrical neuroanatomy and lateralized gene expressions in the brain in scale-eating cichlid fish. Genome Biol. Evol. 2017, 9, 3122–3136. [Google Scholar] [CrossRef]
  68. MacNeilage, P.; Rogers, L.J.; Vallortigara, G. Origins of the left and right brain. Sci. Am. 2009, 301, 60–67. [Google Scholar] [CrossRef]
  69. Kaplan, G. Play behaviour, not tool using, relates to brain mass in a sample of birds. Sci. Rep. 2020, 10, 20437. [Google Scholar] [CrossRef]
  70. Zucca, P.; Sovrano, V.A. Animal lateralization and social recognition: Quails use their left visual hemifield when approaching a companion and their right visual hemifield when approaching a stranger. Cortex 2008, 44, 13–20. [Google Scholar] [CrossRef] [PubMed]
  71. Salva, O.R.; Regolin, L.; Mascalzoni, E.; Vallortigara, G. Cerebral and behavioural asymmetries in animal social recognition. Comp. Cogn. Behav. Rev. 2012, 7, 110–138. [Google Scholar] [CrossRef]
  72. Yamazaki, Y.; Aust, U.; Huber, L.; Hausmann, M.; Güntürkün, O. Lateralized cognition: Asymmetrical and complementary strategies of pigeons during discrimination of the “human concept”. Cognition 2007, 104, 315–344. [Google Scholar] [CrossRef]
  73. Kaplan, G. Audition and hemispheric specialization in songbirds and new evidence from Australian magpies. Symmetry 2017, 9, 99. [Google Scholar] [CrossRef]
  74. Costalunga, G.; Kobylkov, D.; Rosa-Salva, O.; Vallortigara, G.; Mayer, U. Light-Incubation effects on lateralisation of single unit responses in the visual Wulst of domestic chicks. Brain Struct. Funct. 2021. [Google Scholar] [CrossRef] [PubMed]
Figure 1. Brain regions of the parrot brain. Our text focusses on the Nidopallium and Optic tectum, as marked. Note that the optic tectum is located laterally on each side of the brain and in this Figure it obscures the midbrain and most of the hypothalamus. The darker section indicates the forebrain (telencephalon). Abbreviations: Hp = Hippocampus, NCM = Caudiomedial nidopallium; MSt = medial striatum; E = Entopallium; OB = Olfactory bulb. Adapted from Chakraborty and Jarvis [39], Kuenzel et al. [49] and Reiner et al. [50]. The Nidopallium includes NCM, E and Arcoplallium, as well as other regions discussed in the text.
Figure 1. Brain regions of the parrot brain. Our text focusses on the Nidopallium and Optic tectum, as marked. Note that the optic tectum is located laterally on each side of the brain and in this Figure it obscures the midbrain and most of the hypothalamus. The darker section indicates the forebrain (telencephalon). Abbreviations: Hp = Hippocampus, NCM = Caudiomedial nidopallium; MSt = medial striatum; E = Entopallium; OB = Olfactory bulb. Adapted from Chakraborty and Jarvis [39], Kuenzel et al. [49] and Reiner et al. [50]. The Nidopallium includes NCM, E and Arcoplallium, as well as other regions discussed in the text.
Symmetry 13 00867 g001
Figure 2. Two left-footed cockatoos. Left: female red-tailed black cockatoo (Calyptorhynchus banksia). Right: male sulphur-crested cockatoo (Cacatua galerita). Note that the left foot grasps the food item and the entire leg is lifted to the beak (Photo credits: left: B. Machini, right: G. Kaplan).
Figure 2. Two left-footed cockatoos. Left: female red-tailed black cockatoo (Calyptorhynchus banksia). Right: male sulphur-crested cockatoo (Cacatua galerita). Note that the left foot grasps the food item and the entire leg is lifted to the beak (Photo credits: left: B. Machini, right: G. Kaplan).
Symmetry 13 00867 g002
Figure 3. Strength of foot preference for the larger sample (n = 25) plotted against (A). Log10 of Brain mass, and (B). Brain mass/Body mass × 1000. The correlation between Strength of foot preference and brain mass is significant and positive (see text) and between strength of foot preference and Brain mass/Body mass is negative and significant (see text).
Figure 3. Strength of foot preference for the larger sample (n = 25) plotted against (A). Log10 of Brain mass, and (B). Brain mass/Body mass × 1000. The correlation between Strength of foot preference and brain mass is significant and positive (see text) and between strength of foot preference and Brain mass/Body mass is negative and significant (see text).
Symmetry 13 00867 g003
Figure 4. Percent left foot preference plotted against volume of the nidopallium relative to volume of the whole brain (A), and volume of the optic tecta relative to the volume of the whole brain (B). The positive correlation in A is significant: the nidopallium is larger, relative to the whole brain, in left footed parrots, and it is smaller in right-footed parrots. There is a trend for the opposite association between foot preference and size of the optic tecta but it is not significant after Bonferroni correction (see text).
Figure 4. Percent left foot preference plotted against volume of the nidopallium relative to volume of the whole brain (A), and volume of the optic tecta relative to the volume of the whole brain (B). The positive correlation in A is significant: the nidopallium is larger, relative to the whole brain, in left footed parrots, and it is smaller in right-footed parrots. There is a trend for the opposite association between foot preference and size of the optic tecta but it is not significant after Bonferroni correction (see text).
Symmetry 13 00867 g004
Table 1. Psittacine species used. No = number of individuals scored, % Left = (Left/Left + Right) ×100, and the ratio of brain mass/body mass × 1000.
Table 1. Psittacine species used. No = number of individuals scored, % Left = (Left/Left + Right) ×100, and the ratio of brain mass/body mass × 1000.
Common NameLatin Species NameNo% LeftStrengthBrain Mass
/Body Mass × 1000
GalahEolophus roseicapella58893921.3509
Sulphur-crested cockatooCacatua galerita98873720.2646
Little corellaCacatua sanguinea14934319.5567
Long-billed corellaCacatua tenuirostris17893919.5098
Pink cockatooCacatua leadbeateri241005022.6742
Yellow-tailed black cockatooCalyptorhynchus funereus71005023.6710
Gang-gang cockatooCallocephalon fimbriatum381005030.9971
Yellow rosellaPlatycercus f. flaveolus61005030.6296
Crimson rosellaPlatycercus elegans17232731.5813
BudgerigarMelopsittacus undulatus951159.7692
CockatielNymphicus hollandicus20904028.0889
Red-tailed black cockatooCalyptorhynchus banksii20934318.4779
King parrotAlisterus scapularis208.541.522.4216
Palm cockatooProbosciger aterrimus5803026.3499
Eclectus parrotEclectus roratus20262415.0394
Turquoise parrotNeophema pulchella1045533.4110
Red-winged parrotAprosmictus erythropterus10104025.7329
Australian ringneckBarnardius zonarius5203028.6071
Red-capped parrotPurpureicephalus spurius5722231.4403
Superb parrotPlytelis swainsonii2027.522.523.9352
Red-rumped parrotPsephotus haematonotus20722232.6547
Little lorikeetGlossopsitta pusilla1549.30.739.6925
Varied lorikeetPsitteuleles versicolor548238.6567
Rainbow lorikeetTrichoglossus moluccanus2046430.3341
Bourke’s parrotNeopsephotus bourkii2049.50.528.7778
Table 2. A list of the species in the sub-group tested for correlation between % Left foot use and the volumes of the nidopallium and the optic tecta relative to the volume of the whole brain (i.e., the scores are proportions). The figures for the two brain regions are given as proportions of the whole brain, sourced from Iwaniuk and Hurd [56].
Table 2. A list of the species in the sub-group tested for correlation between % Left foot use and the volumes of the nidopallium and the optic tecta relative to the volume of the whole brain (i.e., the scores are proportions). The figures for the two brain regions are given as proportions of the whole brain, sourced from Iwaniuk and Hurd [56].
Common Name Scientific Name% LeftNidopalliumOptic Tectum
GalahEolophus roseicapella890.36180.0314
Yellow-tailed black cockatooCalyptorhynchus funereus1000.38870.0196
CockatielNymphicus hollandicus900.35710.0350
Crimson rosellaPlatycerus elegans230.34010.0429
BudgerigarMelopsittacus undulatus530.32100.0514
Superb parrotPlytelis swainsonii27.50.32000.0556
Red-rumped parrot Psephotus haematonotus720.35400.0387
Rainbow lorikeetTrichoglossus haematodus460.33700.0339
Bourke’s parrotNeopsephotus bourkii49.50.35860.0482
Australian king parrotAlisterus scapularis8.50.30980.0424
Eclectus parrotEclectus roratus260.35340.0351
Publisher’s Note: MDPI stays neutral with regard to jurisdictional claims in published maps and institutional affiliations.

Share and Cite

MDPI and ACS Style

Kaplan, G.; Rogers, L.J. Brain Size Associated with Foot Preferences in Australian Parrots. Symmetry 2021, 13, 867. https://doi.org/10.3390/sym13050867

AMA Style

Kaplan G, Rogers LJ. Brain Size Associated with Foot Preferences in Australian Parrots. Symmetry. 2021; 13(5):867. https://doi.org/10.3390/sym13050867

Chicago/Turabian Style

Kaplan, Gisela, and Lesley J. Rogers. 2021. "Brain Size Associated with Foot Preferences in Australian Parrots" Symmetry 13, no. 5: 867. https://doi.org/10.3390/sym13050867

APA Style

Kaplan, G., & Rogers, L. J. (2021). Brain Size Associated with Foot Preferences in Australian Parrots. Symmetry, 13(5), 867. https://doi.org/10.3390/sym13050867

Note that from the first issue of 2016, this journal uses article numbers instead of page numbers. See further details here.

Article Metrics

Back to TopTop