A First Order Phase Transition Studied by an Ising-Like Model Solved by Entropic Sampling Monte Carlo Method
Abstract
1. Introduction
2. Spin Crossover Phenomenon with a Typical First-Order Phase Transition
3. Monte-Carlo Entropic Sampling Method
4. Results and Discussion
4.1. 2D Square Lattice: Size Effects under Temperature
4.1.1. The Case L = 0
4.1.2. The Case L ≠ 0
4.2. 2D Rectangular Lattice: Shape Effects under Temperature
4.3. Case of Triangular Interactions
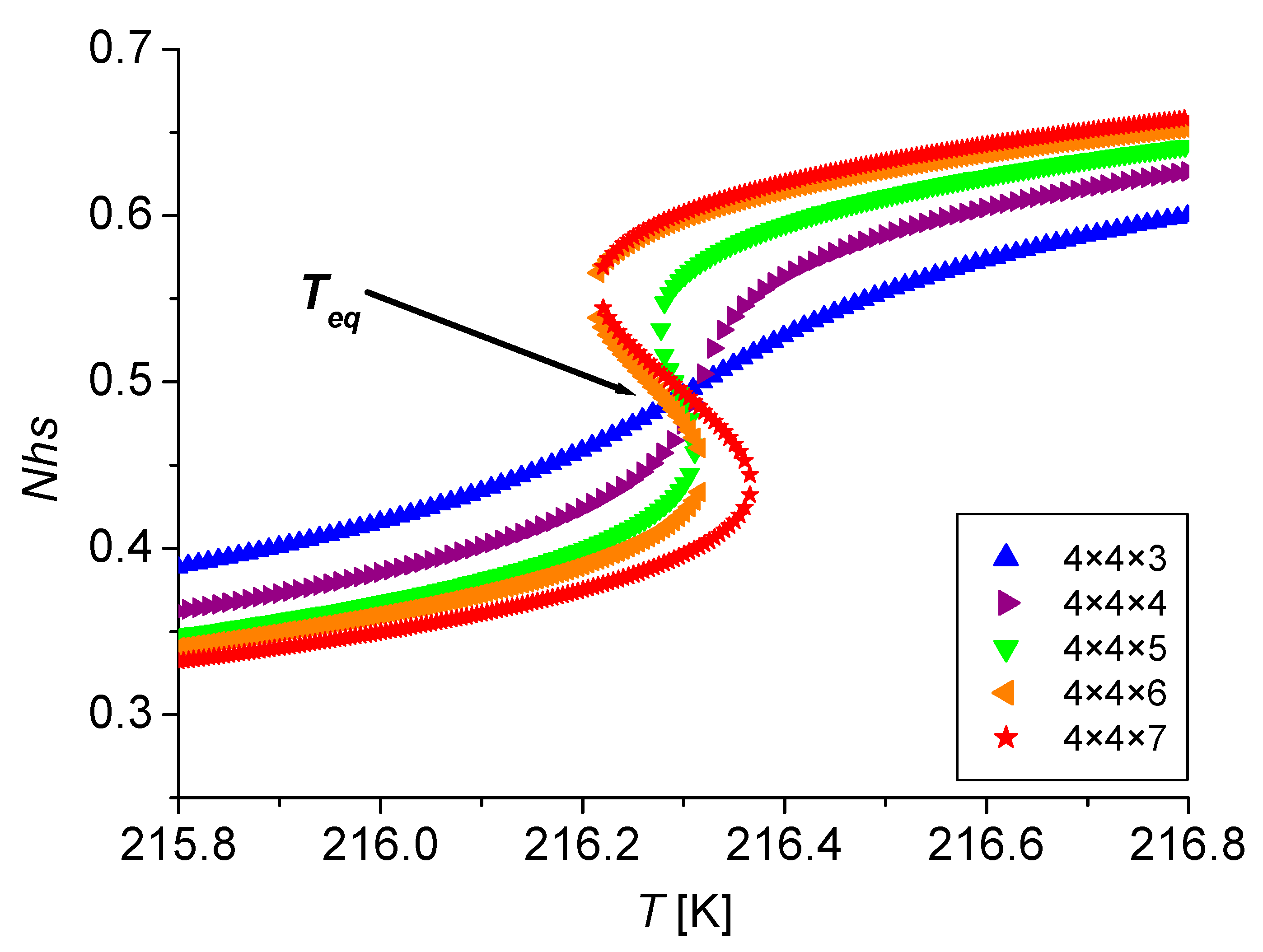
4.4. 3D Parallelepiped Lattice: Shape Effects under Temperature
4.4.1. The Case L = 0
4.4.2. The Case L ≠ 0
5. Conclusions
Author Contributions
Funding
Institutional Review Board Statement
Informed Consent Statement
Data Availability Statement
Acknowledgments
Conflicts of Interest
References
- Gütlich, P.; Hauser, A.; Spiering, H. Thermal and Optical Switching of Iron (II) Complexes. Angew. Chem. 1994, 33, 2024–2054. [Google Scholar] [CrossRef]
- Toftlund, H. Spin equilibria in iron (II) complexes. Coord. Chem. Rev. 1989, 94, 67–108. [Google Scholar] [CrossRef]
- Coronado, E. Molecular magnetism: From chemical design to spin control in molecules, materials and devices. Nat. Rev. Mater. 2019, 5, 87–104. [Google Scholar] [CrossRef]
- Gütlich, P.; Goodwin, H.A. Spin Crossover—An Overall Perspective. In Spin Crossover in Transition Metal Compounds I; Gütlich, P., Goodwin, H.A., Eds.; Springer: Berlin/Heidelberg, Germany, 2004; Volume 233, pp. 1–47. [Google Scholar] [CrossRef]
- Loutete-Dangui, E.D.; Varret, F.; Codjovi, E.; Dahoo, P.R.; Tokoro, H.; Ohkoski, S.; Eypert, C.; Letard, J.F.; Coanga, J.M.; Bou-kheddaden, K. Thermal spin transition in [Fe(NH2-trz)3]Br2 investigated by spectroscopic ellipsometry. Phys. Rev. B 2007, 75, 184425. [Google Scholar] [CrossRef]
- Loutete-Dangui, E.D.; Codjovi, E.; Tokoro, H.; Dahoo, P.R.; Ohkoski, S.; Boukheddaden, K. Spectroscopic ellipsometry investigations of the thermally induced first order transition of RbMn [Fe(CN)6]n derivative. Phys. Rev. B 2008, 78, 014303. [Google Scholar] [CrossRef]
- Chiruta, D.; Linares, J.; Dahoo, P.R.; Dimian, M. Analysis of long-range interaction effects on phase transitions in two-step spin-crossover chains by using Ising-type systems and Monte Carlo entropic sampling technique. J. Appl. Phys. 2012, 112, 074906. [Google Scholar] [CrossRef]
- Enachescu, C.; Menendez, N.; Codjovi, E.; Linares, J.; Varret, F.; Stancu, A. Static and light induced hysteresis in spin-crossover compounds: Experimental data and application of Preisach type model. Phys. B Condens. Matter. 2001, 306, 155–160. [Google Scholar] [CrossRef]
- Boca, R.; Salitros, I.; Kozisek, J.; Linares, J.; Moncol, J.; Renz, F. Spin-crossover in a heptanuclear mixed-valence iron complex. Dalton Trans. 2010, 39, 2198–2200. [Google Scholar] [CrossRef]
- Rotaru, A.; Dirtu, M.M.; Enachescu, C.; Tanasa, R.; Linares, J.; Stancu, A. Calorimetric measurements of diluted spin crossover complexes [FexM1−x(btr)2(NCS)2]H2O with MII = Zn and Ni. Polyhedron 2009, 28, 2531–2536. [Google Scholar] [CrossRef]
- Chiruta, D.; Linares, J.; Dahoo, P.R.; Dimian, M. Influence of pressure and interactions strength on hysteretic behavior in two-dimensional polymeric spin crossover compounds. Phys. B Condens. Matter. 2014, 435, 76–79. [Google Scholar] [CrossRef]
- Chiruta, D.; Jureschi, C.M.; Linares, J.; Dahoo, P.R.; Garcia, Y.; Rotaru, A. On the origin of multi-step spin transition behaviour in 1D nanoparticles. Eur. Phys. J. B 2015, 88, 233–235. [Google Scholar] [CrossRef]
- Cambi, L.; Cagnasso, A. Iron dithiocarbamates and nitrosodithicarbamates. Atti. Accad. Naz. Lincei. 1931, 13, 809–813. [Google Scholar]
- Cambi, L.; Malatesta, L. Magnetismus und Polymorphie innerer Komplexsalze: Eisensalze der Dithiocarbamidsaüren. Ber. Dtsch. Chem. Ges. 1937, 70, 2067–2078. [Google Scholar] [CrossRef]
- Madeja, K.; König, E. Zur frage der bindungsverhältnise in komplexverbindungen des eisen(II) mit 1,10-phenanthrolin. J. Inorg. Nucl. Chem. 1963, 25, 377–388. [Google Scholar] [CrossRef]
- Baker, W.A.; Bobonich, H.M. Magnetic Properties of Some High-Spin Complexes of Iron (II). Inorg. Chem. 1964, 3, 1184–1188. [Google Scholar] [CrossRef]
- Ewald, A.H.; Martin, R.L.; Ross, I.G.; White, A.H. Anomalous behaviour at the 6A1-2T2 crossover in iron (III) complexes. Proc. Roy. Soc. A 1964, 280, 235–257. [Google Scholar] [CrossRef]
- Wajnflasz, J.; Pick, R. Transitions « Low spin »-« High spin» dans les complexes de Fe2+. J. Phys. Colloques. 1971, 32, 91–92. [Google Scholar] [CrossRef]
- Slimani, A.; Boukheddaden, K.; Varret, F.; Oubouchou, H.; Nishino, M.; Miyashita, S. Microscopic spin-distortion model for switchable molecular solids: Spatiotemporal study of the deformation field and local stress at the thermal spin transition. Phys. Rev. B 2013, 87, 014111–014120. [Google Scholar] [CrossRef]
- Nishino, M.; Enachescu, C.; Miyashita, S.; Rikvold, P.; Boukheddaden, K.; Varret, F. Macroscopic nucleation phenomena in continuum media with long-range interactions. Sci. Rep. 2011, 1, 162–166. [Google Scholar] [CrossRef]
- Enachescu, C.; Stoleriu, L.; Stancu, A.; Hauser, A. Model for elastic relaxation phenomena in finite 2D hexagonal molecular lattices. Phys. Rev. Lett. 2009, 102, 257204–257208. [Google Scholar] [CrossRef]
- Boukheddaden, K.; Slimani, A.; Sy, M.; Varret, F.; Oubouchou, H.; Traiche, R. Magnetic Structures of 2D and 3D Nanoparticles, Properties and Applications; Levy, J.C.S., Ed.; Jenny Stanford Publishing: Singapore, 2016; p. 333. [Google Scholar]
- Ndiaye, M.; Singh, Y.; Fourati, H.; Sy, M.; Bassirou, L.; Boukheddaden, K. Isomorphism between the Electro-Elastic Modelling of the Spin Transition and Ising-like Model with Competing Interactions. J. Appl. Phys. 2021, (in press).
- Linares, J.; Spiering, H.; Varret, F. Analytical solution of 1-D Ising-like systems modified by weak long range interaction: Application to spin crossover compounds. Eur. Phys. J. B 1999, 10, 271–275. [Google Scholar] [CrossRef]
- Boukheddaden, K.; Linares, J.; Spiering, H.; Varret, F. One-dimensional Ising-like systems: An anlytical investigation of the static and dynamic properties, applied to spin-crossover relaxation. Eur. Phys. J. B 2000, 15, 317–326. [Google Scholar] [CrossRef]
- Linares, J.; Jureschi, C.M.; Boukheddaden, K. Surface Effects Leading to Unusual Size Dependence of the Thermal Hysteresis Behavior in Spin-Crossover Nanoparticles. Magnetochemistry 2016, 2, 24–35. [Google Scholar] [CrossRef]
- Linares, J.; Cazelles, C.; Dahoo, P.R.; Sohier, D.; Dufaud, T.; Boukheddaden, K. Shape, size, pressure and matrix effects on 2D spin crossover nanomaterials studied using density of states obtained by dynamic programming. Comp. Mat. Sci. 2021, 187, 110061. [Google Scholar] [CrossRef]
- Jureschi, C.M.; Linares, J.; Dahoo, P.R.; Alayli, Y. Monte Carlo entropic sampling applied to Ising-like model for 2D and 3D systems. J. Phys. Conf. Ser. 2016, 738, 012051. [Google Scholar] [CrossRef]
- Lee, J. New Monte Carlo algorithm: Entropic sampling. Phys. Rev. Lett. 1993, 71, 211–214. [Google Scholar] [CrossRef] [PubMed]
- Shteto, I.; Linares, J.; Varret, F. Monte Carlo entropic sampling for the study of metastable states and relaxation paths. Phys. Rev. E 1997, 56, 5128–5137. [Google Scholar] [CrossRef]
- Linares, J.; Enachescu, C.; Boukheddaden, K.; Varret, F. Monte Carlo entropic sampling applied to spin crossover solids: The squareness of the thermal hysteresis loop. Polyhedron 2003, 22, 2453–2456. [Google Scholar] [CrossRef]
- Peng, H.; Tricard, S.; Félix, G.; Molnár, G.; Nicolazzi, W.; Salmon, L.; Bousseksou, A. Re-Appearance of Cooperativity in Ultra-Small Spin-Crossover [Fe(pz){Ni(CN)4}] Nanoparticles. Angew. Chem. Int. Ed. 2014, 53, 10894–10898. [Google Scholar] [CrossRef]












| Shape | Tdown (K) | Tup (K) | Tup − Tdown (K) | t = Ns/Ntot |
|---|---|---|---|---|
| 12 × 12 | 204.93 | 205.46 | 0.53 | 0.30 |
| 8 × 18 | 204.00 | 204.00 | 0 | 0.33 |
| 6 × 24 | 201.70 | 201.70 | 0 | 0.38 |
| 4 × 36 | 195.55 | 195.93 | 0.38 | 0.52 |
| 3 × 48 | 188.37 | 189.91 | 1.54 | 0.68 |
| 2 × 72 | 171.46 | 179.87 | 8.41 | 1 |
| Size of the System | Ntot = Total Number of Atoms | t = Ns/Ntot |
|---|---|---|
| H3 | 19 | 0.63 |
| H4 | 37 | 0.48 |
| H5 | 61 | 0.39 |
| H6 | 91 | 0.32 |
| H7 | 127 | 0.28 |
| Size of the System | Ns | NT | t = Ns/Ntot |
|---|---|---|---|
| 4 × 4 × 3 | 44 | 48 | 0.91 |
| 4 × 4 × 4 | 56 | 64 | 0.87 |
| 4 × 4 × 5 | 68 | 80 | 0.85 |
| 4 × 4 × 6 | 80 | 96 | 0.83 |
Publisher’s Note: MDPI stays neutral with regard to jurisdictional claims in published maps and institutional affiliations. |
© 2021 by the authors. Licensee MDPI, Basel, Switzerland. This article is an open access article distributed under the terms and conditions of the Creative Commons Attribution (CC BY) license (https://creativecommons.org/licenses/by/4.0/).
Share and Cite
Linares, J.; Cazelles, C.; Dahoo, P.-R.; Boukheddaden, K. A First Order Phase Transition Studied by an Ising-Like Model Solved by Entropic Sampling Monte Carlo Method. Symmetry 2021, 13, 587. https://doi.org/10.3390/sym13040587
Linares J, Cazelles C, Dahoo P-R, Boukheddaden K. A First Order Phase Transition Studied by an Ising-Like Model Solved by Entropic Sampling Monte Carlo Method. Symmetry. 2021; 13(4):587. https://doi.org/10.3390/sym13040587
Chicago/Turabian StyleLinares, Jorge, Catherine Cazelles, Pierre-Richard Dahoo, and Kamel Boukheddaden. 2021. "A First Order Phase Transition Studied by an Ising-Like Model Solved by Entropic Sampling Monte Carlo Method" Symmetry 13, no. 4: 587. https://doi.org/10.3390/sym13040587
APA StyleLinares, J., Cazelles, C., Dahoo, P.-R., & Boukheddaden, K. (2021). A First Order Phase Transition Studied by an Ising-Like Model Solved by Entropic Sampling Monte Carlo Method. Symmetry, 13(4), 587. https://doi.org/10.3390/sym13040587

