Walking on a Vertically Oscillating Platform with Simulated Gait Asymmetry
Abstract
1. Introduction
2. Materials and Methods
2.1. Participants
2.2. Apparatus/Equipment
2.3. Procedure
2.4. Data Analysis
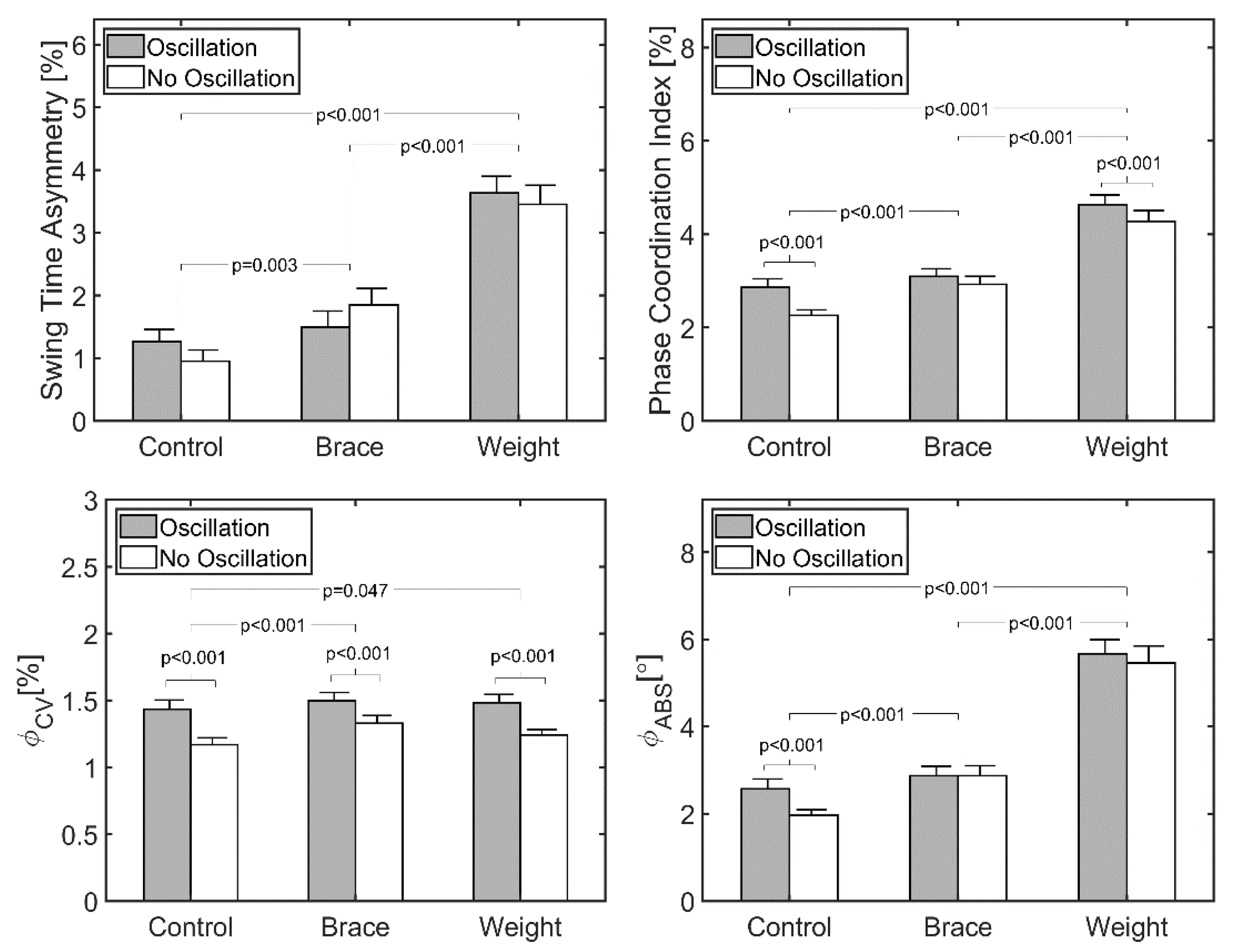
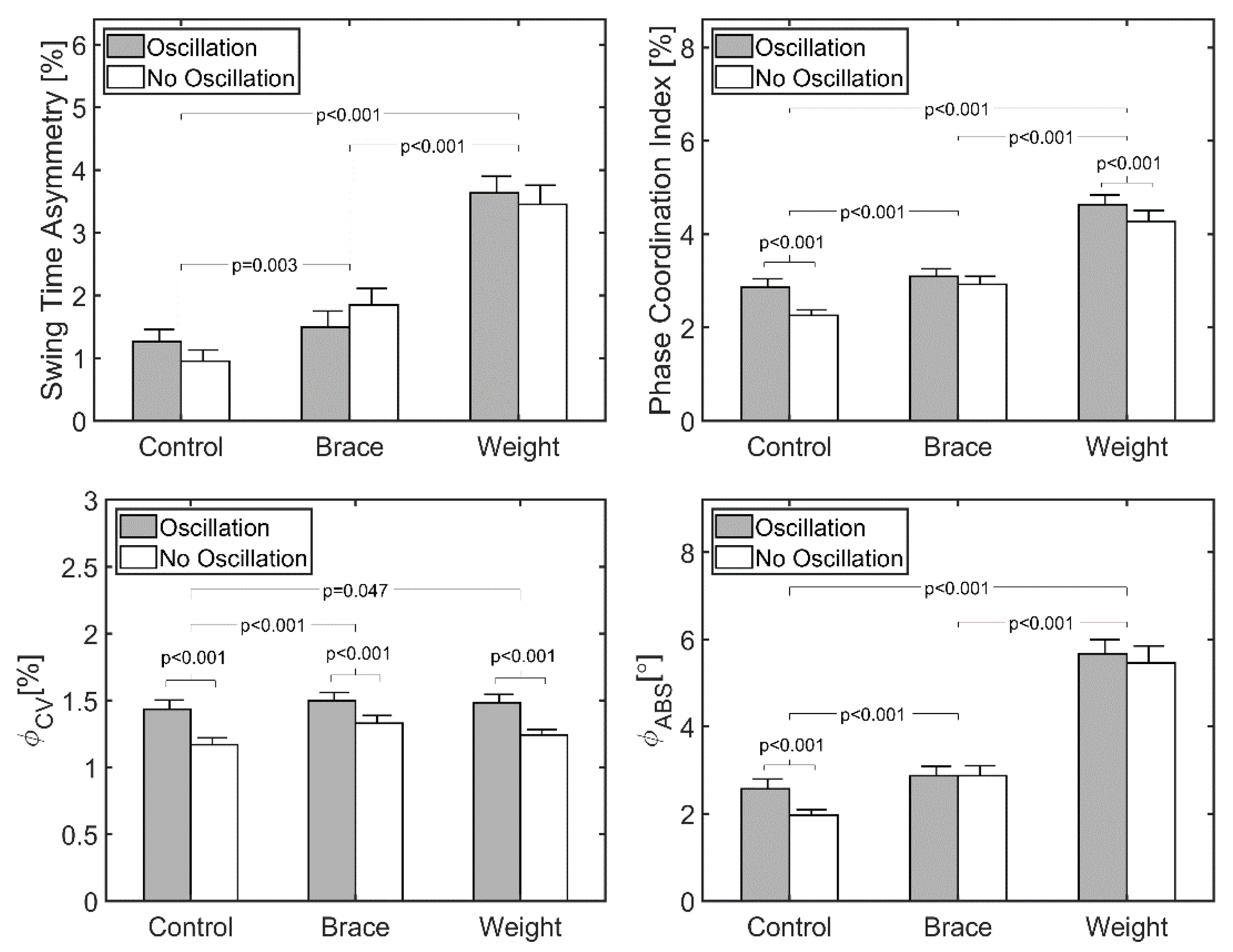
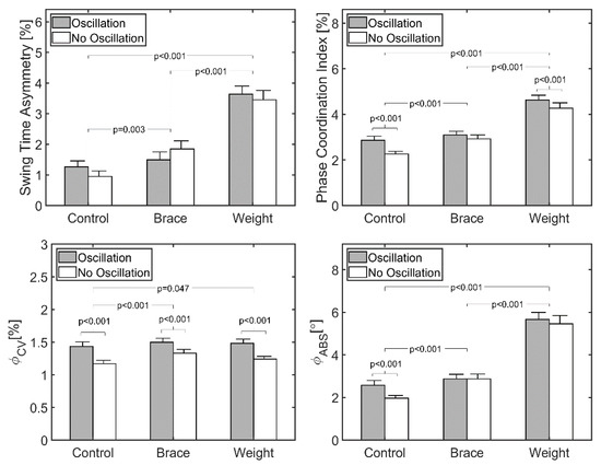
3. Results
3.1. Intrapersonal Coordination
3.2. Interpersonal Coordination
4. Discussion
4.1. Swing Time Asymmetry and PCI
4.2. Phase and Frequency Locking
4.3. Brace and Weight Asymmetry
4.4. Laminar Phase Lengths
4.5. Limitations
5. Conclusions
Author Contributions
Funding
Institutional Review Board Statement
Informed Consent Statement
Data Availability Statement
Conflicts of Interest
References
- Sanderson, D.J.; Martin, P.E. Lower extremity kinematic and kinetic adaptations in unilateral below-knee amputees during walking. Gait Posture 1997, 6, 126–136. [Google Scholar] [CrossRef]
- Kovac, I.; Medved, V.; Ostojic, L. Spatial, temporal and kinematic characteristics of traumatic transtibial amputees’ gait. Coll. Antropol. 2010, 34, 205–213. [Google Scholar]
- Rodgers, M.; Forrester, L.; Mizelle, C.; Harris-Love, M.L. Effects of gait velocity on COP symmetry measures in individuals with stroke. In Proceedings of the 28th Annual Meeting of the American Society of Biomechanics, Portland, OR, USA, 8–11 September 2004. [Google Scholar]
- Patterson, K.K.; Parafianowicz, I.; Danells, C.J.; Closson, V.; Verrier, M.C.; Staines, W.R.; McIlroy, W.E. Gait asymmetry in community-ambulating stroke survivors. Arch. Phys. Med. Rehabil. 2008, 89, 304–310. [Google Scholar] [CrossRef]
- Bradley, C.E.; Wutzke, C.J.; Zinder, S.M.; Lewek, M.D. Spatiotemporal gait asymmetry is related to balance/fall risk in individuals with chronic stroke. In Proceedings of the 36th Annual Meeting of the American Society of Biomechanics, Gainesville, FL, USA, 15–18 August 2012. [Google Scholar]
- Mahon, C.E.; Farris, D.J.; Sawicki, G.S.; Lewek, M.D. Individual limb mechanical analysis of gait following stroke. J. Biomech. 2015, 48, 984–989. [Google Scholar] [CrossRef]
- Hendrickson, J.; Patterson, K.K.; Inness, E.L.; McIlroy, W.E.; Mansfield, A. Relationship between asymmetry of quiet standing balance control and walking post-stroke. Gait Posture 2014, 39, 177–181. [Google Scholar] [CrossRef] [PubMed]
- Plotnik, M.; Giladi, N.; Hausdorff, J.M. A new measure for quantifying the bilateral coordination of human gait: Effects of aging and Parkinson’s disease. Exp. Brain Res. 2007, 181, 561–570. [Google Scholar] [CrossRef] [PubMed]
- Sant’Anna, A.; Salarian, A.; Wickstrom, N. A new measure of movement symmetry in early Parkinson’s disease patients using symbolic processign of inertial sensor data. IEEE Trans. Biomed. Eng. 2011, 58, 2127–2135. [Google Scholar] [CrossRef] [PubMed]
- Sturk, J.A.; Lemaire, E.D.; Sinitski, E.; Dudek, N.L.; Besemann, M.; Hebert, J.S.; Baddour, N. Gait differences between K3 and K4 persons with transfemoral amputation across level and non-level walking conditions. Prosthet. Orthot. Int. 2018, 42, 626–635. [Google Scholar] [CrossRef]
- Leijendekkers, R.A.; Marra, M.A.; Kolk, S.; van Bon, G.; Schreurs, B.W.; Weerdesteyn, V.; Verdonschot, N. Gait symmetry and hip strength in women with developmental dysplasia following hip arthroplasty compared to healthy subjects: A cross-sectional study. PLoS ONE 2018, 13, e0193487. [Google Scholar] [CrossRef] [PubMed]
- Castagneri, C.; Agostini, V.; Rosati, S.; Balestra, G.; Knaflitz, M. Asymmetry index in muscle activations. IEEE Trans. Neural Syst. Rehabil. Eng. 2019, 27, 772–779. [Google Scholar] [CrossRef]
- Shi, H.; Huang, H.; Ren, S.; Yu, Y.; Liang, Z.; Wang, Q.; Hu, Z.; Ao, Y. The relationship between quadriceps strength asymmetry and knee biomechanics asymmetry during walking in individuals with anterior cruciate ligament reconstruction. Gait Posture 2019, 73, 74–79. [Google Scholar] [CrossRef]
- Roelker, S.A.; Bowden, M.G.; Kautz, S.A.; Neptune, R.R. Paretic propulsion as a measure of walking performance and function motor recovery post-stroke: A review. Gait Posture 2019, 68, 6–14. [Google Scholar] [CrossRef]
- Allen, J.L.; Kautz, S.A.; Neptune, R.R. Forward propulsion asymmetry is indicative of changes in plantarflexor coordination during walking in individuals with post-stroke hemiparesis. Clin. Biomech. 2014, 29, 780–786. [Google Scholar] [CrossRef] [PubMed]
- Seithe, J.; D’Cruz, N.; Ginis, P.; Weisser, B.; Berg, D.; Gunther, D.; Nieuwboer, A.; Schlenstedt, C. Split-belt treadmill walking in patients with Parkinson’s disease: A systematic review. Gait Posture 2019, 69, 187–194. [Google Scholar] [CrossRef]
- Rogers, M.W.; Johnson, M.E.; Martinez, K.M.; Mille, M.L.; Hedman, L.D. Step training improves the speed of voluntary step initiation in aging. Gerontol. Ser. A 2003, 58, 46–51. [Google Scholar] [CrossRef]
- Raibert, M.H. Symmetry in running. Science 1986, 231, 1292–1294. [Google Scholar] [CrossRef]
- Nasirzade, A.; Sadeghi, H.; Mokhtarinia, H.R.; Rahimi, A. A review of selected factors affecting gait symmetry. Phys. Treat. Specif. Phys. Ther. J. 2017, 7, 3–12. [Google Scholar] [CrossRef]
- Ellis, R.G.; Howard, K.C.; Kram, R. The metabolic and mechanical costs of step time asymmetry in walking. Proc. R. Soc. Biol. Sci. 2013, 280, 20122784. [Google Scholar] [CrossRef] [PubMed]
- Wei, T.S.; Liu, P.T.; Chang, L.W.; Liu, S.Y. Gait asymmetry, ankle spasticity, and depression as independent predictors of falls in ambulatory stroke patients. PLoS ONE 2017, 12, e0177136. [Google Scholar]
- Nolan, L.; Dudzinski, K.; Lees, A.; Lake, M.; Wychowanski, M. Adjustments in gait symmetry with walking speed in trans-femoral and trans-tibial amputees. Gait Posture 2003, 17, 142–151. [Google Scholar] [CrossRef]
- Macfarlane, P.A.; Nielsen, D.H.; Shurr, D.G.; Meier, K. Gait comparisons for below-knee amputees using a Flex-Foot versus a conventional prosthetic foot. J. Prosthet. Orthot. 1991, 3, 150–161. [Google Scholar] [CrossRef]
- Wist, S.; Clivaz, J.; Sattelmayer, M. Muscle strengthening for hemiparesis after stroke: A meta-analysis. Ann. Phys. Rehabil. Med. 2016, 59, 114–124. [Google Scholar] [CrossRef] [PubMed]
- Mikkelsen, L.R.; Petersen, A.K.; Soballe, K.; Mikkelsen, S.S.; Mechlenburg, I. Asymmetry and pelvic movements 6 months after total hip replacement; secondary analyses from a randomized controlled trial. Acta Orthop. Belg. 2019, 85, 338–345. [Google Scholar]
- Huizenga, D.; Rashford, L.; Darcy, B.; Lundin, E.; Medas, R.; Shultz, S.T.; DuBose, E.; Reed, K.B. Wearable gait device for stroke gait rehabilitation at home. Top. Stroke Rehabil. 2020. [Google Scholar] [CrossRef]
- Seo, J.S.; Yang, H.S.; Jung, S.; Chang, S.K.; Jang, S.; Kim, D.H. Effect of reducing assistance during robot-assisted gait training on step length asymmetry in patients with hemiplegic stroke: A randomized controlled. Medicine 2018, 97, e11792. [Google Scholar] [CrossRef]
- Crosby, L.D.; Wong, J.S.; Chen, J.L.; Grahn, J.; Patterson, K.K. An initial investigation of the responsiveness of temporal gait asymmetry to rhythmic auditory stimulation and the relationship to rhythm ability following stroke. Front. Neurol. 2020, 11, 1214. [Google Scholar] [CrossRef]
- Thaut, M.H.; Leins, A.K.; Rice, R.R.; Argstatter, H.; Kenyon, G.P.; McIntosh, G.C.; Bolay, H.V.; Fetter, M. Rhythmic auditory stimulation improves gait more than NDT/Bobath training in near-ambulatory patients early poststroke: A single-blind, randomized trial. Neurorehab. Neural Repair 2007, 21, 455–459. [Google Scholar] [CrossRef]
- Yoo, G.; Kim, S. Rhythmic auditory cueing in motor rehabilitation for stroke patients: Systematic review and meta-analysis. J. Music Ther. 2016, 53, 149–177. [Google Scholar] [CrossRef] [PubMed]
- Nessler, J.A.; Gutierrez, V.; Werner, J.; Punsalan, A. Side by side treadmill walking reduces gait asymmetry induced by unilateral ankle weight. Hum. Mov. Sci. 2015, 41, 32–45. [Google Scholar] [CrossRef]
- van Ulzen, N.R.; Lamoth, C.J.; Daffertshofer, A.; Semin, G.R.; Beek, P.J. Characteristics of instructed and uninstructed interpersonal coordination while walking side by side. Neurosci. Lett. 2008, 432, 88–93. [Google Scholar] [CrossRef] [PubMed]
- Kao, J.C.; Ringenbach, S.D.; Martin, P.E. Gait transitions are not dependent on changes in intralimb coordination variability. J. Mot. Behav. 2003, 35, 211–214. [Google Scholar] [CrossRef]
- Nessler, J.A.; Heredia, S.; Belair, J.; Milton, J.G. Walking on a vertically oscillating treadmill: Phase synchronization and gait kinematics. PLoS ONE 2017, 12, e0169924. [Google Scholar] [CrossRef] [PubMed]
- Tackett, E.; Nessler, J.A. Sensorimotor synchronization during gait is altered by the addition of variability to an external cue. Hum. Mov. Sci. 2020, 71, 102626. [Google Scholar] [CrossRef]
- Dallard, P.; Fitzpatrick, T.; Flint, A.; Low, A.; Smith, R.R.; Willford, M.; Roche, M. London Millennium Bridge: Pedestrian-Induced Lateral Vibration. J. Bridge Eng. 2001, 6, 412–417. [Google Scholar] [CrossRef]
- Strogatz, S.H.; Abrams, D.M.; McRobie, A.; Eckhardt, B.; Ott, E. Theoretical mechanics: Crowd synchrony on the Millenium Bridge. Nature 2005, 438, 43–44. [Google Scholar] [CrossRef] [PubMed]
- Joshi, V.; Srinivasan, M. Walking crowds on a shaky surface: Stable walkers discover Millennium Bridge oscillations with and without pedestrian synchrony. Biol. Lett. 2018, 14, 20180564. [Google Scholar] [CrossRef]
- Noble, J.W.; Prentice, S.D. Adaptation to unilateral change in lower limb mechanical properties during human walking. Exp. Brain Res. 2006, 169, 482–495. [Google Scholar] [CrossRef]
- Romkes, J.; Schweizer, K. Immediate effects of unilateral restricted ankle motion on gait kinematics in healthy subjects. Gait Posture 2015, 41, 835–840. [Google Scholar] [CrossRef]
- Zelik, K.E.; Kuo, A.D. Human walking isn’t all hard work: Evidence of soft tissue contributions to energy dissipation and return. J. Exp. Biol. 2010, 213, 4257–4264. [Google Scholar] [CrossRef] [PubMed]
- Silverman, A.K.; Fey, N.P.; Portillo, A.; Walden, J.G.; Bosker, G.; Neptune, R.R. Compensatory mechanisms in below-knee amputee gait in response to increasing steady-state walking speeds. Gait Posture 2008, 28, 602–609. [Google Scholar] [CrossRef]
- Volpe, R. Alterations of gait in neuromuscular disease. Clin. Podiatr. Med. Surg. 1988, 5, 627–638. [Google Scholar] [PubMed]
- Morris, M.E.; Huxham, F.; McGinley, J.; Dodd, K.; Iansek, R. The biomechanics and motor control of gait in Parkinson’s disease. Clin. Biomech. 2001, 16, 459–470. [Google Scholar] [CrossRef]
- Plotnik, M.; Wagner, J.M.; Adusumilli, G.; Gottlieb, A.; Naismith, R.T. Gait asymmetry, and bilateral coordination of gait during a six-minute walk test in persons with multiple sclerosis. Sci. Rep. 2020, 10, 12382. [Google Scholar] [CrossRef] [PubMed]
- Kribus-Shmiel, L.; Zeilig, G.; Sokolovski, B.; Plotnik, M. How many strides are required for a reliable estimation of temporal gait parameters? Implementation of a new algorithm on the phase coordination index. PLoS ONE 2018, 13, e0192049. [Google Scholar] [CrossRef]
- Gimmon, Y.; Rashad, H.; Kurz, I.; Plotnik, M.; Riemer, R.; Ronen, D.; Shapiro, A.; Melzer, I. Gait coordination deteriorates in independent old-old adults. J. Aging Phys. Act. 2018, 26, 382–389. [Google Scholar] [CrossRef] [PubMed]
- Plotnik, M.; Bartsch, R.; Zeev, A.; Giladi, N.; Hausdorff, J.M. Effects of walking speed on asymmetry and bilateral coordination of gait. Gait Posture 2013, 38, 864–869. [Google Scholar] [CrossRef]
- Nessler, J.A.; Kephart, G.; Cowell, J.; De Leone, C.J. Varying treadmill speed and inclination affects spontaneous synchronization during side by side walking. J. Appl. Biomech. 2011, 27, 322–329. [Google Scholar] [CrossRef][Green Version]
- Nessler, J.A.; De Leone, C.J.; McMillan, D.; Schoulten, M.; Shallow, T.; Stewart, B. Side by side treadmill walking with intentionally desynchronized gait. Ann. Biomed. Eng. 2012, 41, 1680–1691. [Google Scholar] [CrossRef]
- Nessler, J.A.; Gillilland, S. Interpersonal synchonization during side by side treadmill walking is influenced by leg length differential and altered sensory feedback. Hum. Mov. Sci. 2009, 28, 772–785. [Google Scholar] [CrossRef]
- Cho, K.H.; Jeon, Y.; Lee, H. Range of motion of the ankle according to pusing force, gender, and knee position. Ann. Rehabil. Med. 2016, 40, 271–278. [Google Scholar] [CrossRef]
- Hunsaker, F.G.; Cioffi, D.A.; Amadio, P.C.; Wright, J.; Caughlin, B. The American Academy of Orthopaedic Surgeons Outcomes Instruments: NOrmative Values from the General Population. J. Bone Jt. Surg. 2002, 84, 208–215. [Google Scholar] [CrossRef] [PubMed]
- Kao, P.C.; Lewis, C.L.; Ferris, D.P. Joint kinetic response during unexpectedly reduced plantar flexor torque provided by a robotic ankle exoskeleton during walking. J. Biomech. 2010, 43, 1401–1407. [Google Scholar] [CrossRef][Green Version]
- Benjamini, Y.; Hochberg, Y. Controlling the false discovery rate: A practical and powerful approach to multiple testing. J. R. Stat. Soc. 1995, 57, 289–300. [Google Scholar] [CrossRef]
- Polk, J.D.; Stumpf, R.M.; Rosengren, K.S. Limb dominance, foot orientation and functional asymmetry during walking gait. Gait Posture 2017, 52, 140–146. [Google Scholar] [CrossRef] [PubMed]
- Nessler, J.A.; Gillilland, S. Kinematic analysis of side by side stepping with intentional and unintentional synchronization. Gait Posture 2010, 31, 527–529. [Google Scholar] [CrossRef]
- Hausdorff, J.M.; Purdon, P.L.; Peng, C.-K.; Ladin, Z.; Wei, J.Y.; Goldberger, A.L. Fractal dynamics of human gait: Stability of long-range correlations in stride interval fluctuations. J. Appl. Physiol. 1996, 80, 1448–1457. [Google Scholar] [CrossRef] [PubMed]
- Leow, L.A.; Parrott, T.; Grahn, J.A. Individual differences in beat perception affect gait responses to low- and high-groove music. Front. Hum. Neurosci. 2014, 8, 811. [Google Scholar] [CrossRef]
- Igaga, J.M.; Versey, J. Cultural differences in rhythmic perception. Psychol. Music 1977, 5, 23–27. [Google Scholar] [CrossRef]
- Igaga, J.M.; Versey, J. Cultural differences in rhythmic performance. Psychol. Music 1978, 6, 61–64. [Google Scholar] [CrossRef]
- Gibson, J.J. The Ecological Approach to Visual Perception; Houghton Mifflin: Boston, MA, USA, 1979. [Google Scholar]
- Warren, W.H. The Perception-Action Coupling; Kluwer Academic Publishers: Amsterdam, The Netherlands, 1990. [Google Scholar]
- Schoner, G.; Dijkstra, T.M.H.; Jeka, J.J. Action-perception patterns emerge from coupling and adaptation. Ecol. Psychol. 2011, 10, 323–346. [Google Scholar] [CrossRef]
- Goble, D.J.; Marino, G.W.; Potvin, J.R. The influence of horizontal velocity on interlimb symmetry in normal walking. Hum. Mov. Sci. 2003, 22, 271–283. [Google Scholar] [CrossRef]
- Beek, P.J.; Peper, C.E.; Stegeman, D.F. Dynamical models of movement coordination. Hum. Mov. Sci. 1995, 14, 573–608. [Google Scholar] [CrossRef]




| Age (Years) | Height (cm) | Leg Length (cm) | Mass (kg) | Ankle Mass (kg) | Treadmill Speed (m·s−1) | Stride Frequency (rad·sec−1) | Step Frequency (rad·sec−1) |
|---|---|---|---|---|---|---|---|
| 23.5 ± 3.5 | 166 ± 11 | 69.75 ± 5.20 | 64.23 ± 10.5 | 1.93 ± 0.3 | 1.12 ± 0.10 | 5.60 ± 0.31 | 11.21 ± 0.62 |
| Control | Brace | Weight | ||||
|---|---|---|---|---|---|---|
| With Oscillation | Without Oscillation | With Oscillation | Without Oscillation | With Oscillation | Without Oscillation | |
| STA (%) | 1.26 ± 0.97 | 0.95 ± 0.88 | 1.49 ± 1.27 | 1.85 ± 1.32 | 3.63 ± 1.33 | 3.45 ± 1.53 |
| PCI (%) | 2.86 ± 0.90 | 2.26 ± 0.57 | 3.09 ± 0.83 | 2.92 ± 0.86 | 4.63 ± 1.03 | 4.27 ± 1.17 |
| (°) | 2.57 ± 1.14 | 1.97 ± 0.62 | 2.87 ± 1.07 | 2.87 ± 1.17 | 5.67 ± 1.63 | 5.46 ± 1.96 |
| (%) | 1.44 ± 0.34 | 1.17 ± 0.26 | 1.50 ± 0.31 | 1.33 ± 0.30 | 1.48 ± 0.31 | 1.24 ± 0.21 |
| Phase Locking (%) | 35.49 ± 33.27 | 44.47 ± 31.28 | 43.09 ± 33.21 | |||
| Freq Locking (%) | 94.98 ± 17.79 | 88.94 ± 25.75 | 93.04 ± 19.20 | |||
| Phase Locked [% of Trial] | λ | β | Laminar Phase Length | ||
|---|---|---|---|---|---|
| Weibull | Arithmetic | ||||
| Control | 35.49 ± 33.27 | 0.375 | 0.565 | 9.278 | 11.413 |
| Weight | 43.09 ± 33.21 | 0.480 | 0.505 | 8.401 | 10.362 |
| Brace | 44.47 ± 31.28 | 0.380 | 0.625 | 6.723 | 8.897 |
| SBSW * | 59.16 ± 17.41 | 0.335 | 0.750 | 5.175 | 7.387 |
Publisher’s Note: MDPI stays neutral with regard to jurisdictional claims in published maps and institutional affiliations. |
© 2021 by the authors. Licensee MDPI, Basel, Switzerland. This article is an open access article distributed under the terms and conditions of the Creative Commons Attribution (CC BY) license (http://creativecommons.org/licenses/by/4.0/).
Share and Cite
Alyami, M.; Nessler, J.A. Walking on a Vertically Oscillating Platform with Simulated Gait Asymmetry. Symmetry 2021, 13, 555. https://doi.org/10.3390/sym13040555
Alyami M, Nessler JA. Walking on a Vertically Oscillating Platform with Simulated Gait Asymmetry. Symmetry. 2021; 13(4):555. https://doi.org/10.3390/sym13040555
Chicago/Turabian StyleAlyami, Mashaer, and Jeff A. Nessler. 2021. "Walking on a Vertically Oscillating Platform with Simulated Gait Asymmetry" Symmetry 13, no. 4: 555. https://doi.org/10.3390/sym13040555
APA StyleAlyami, M., & Nessler, J. A. (2021). Walking on a Vertically Oscillating Platform with Simulated Gait Asymmetry. Symmetry, 13(4), 555. https://doi.org/10.3390/sym13040555

