Heavy Quark Expansion of Λb→Λ*(1520) Form Factors beyond Leading Order
Abstract
1. Introduction
2. Setup
The Heavy Quark Expansion
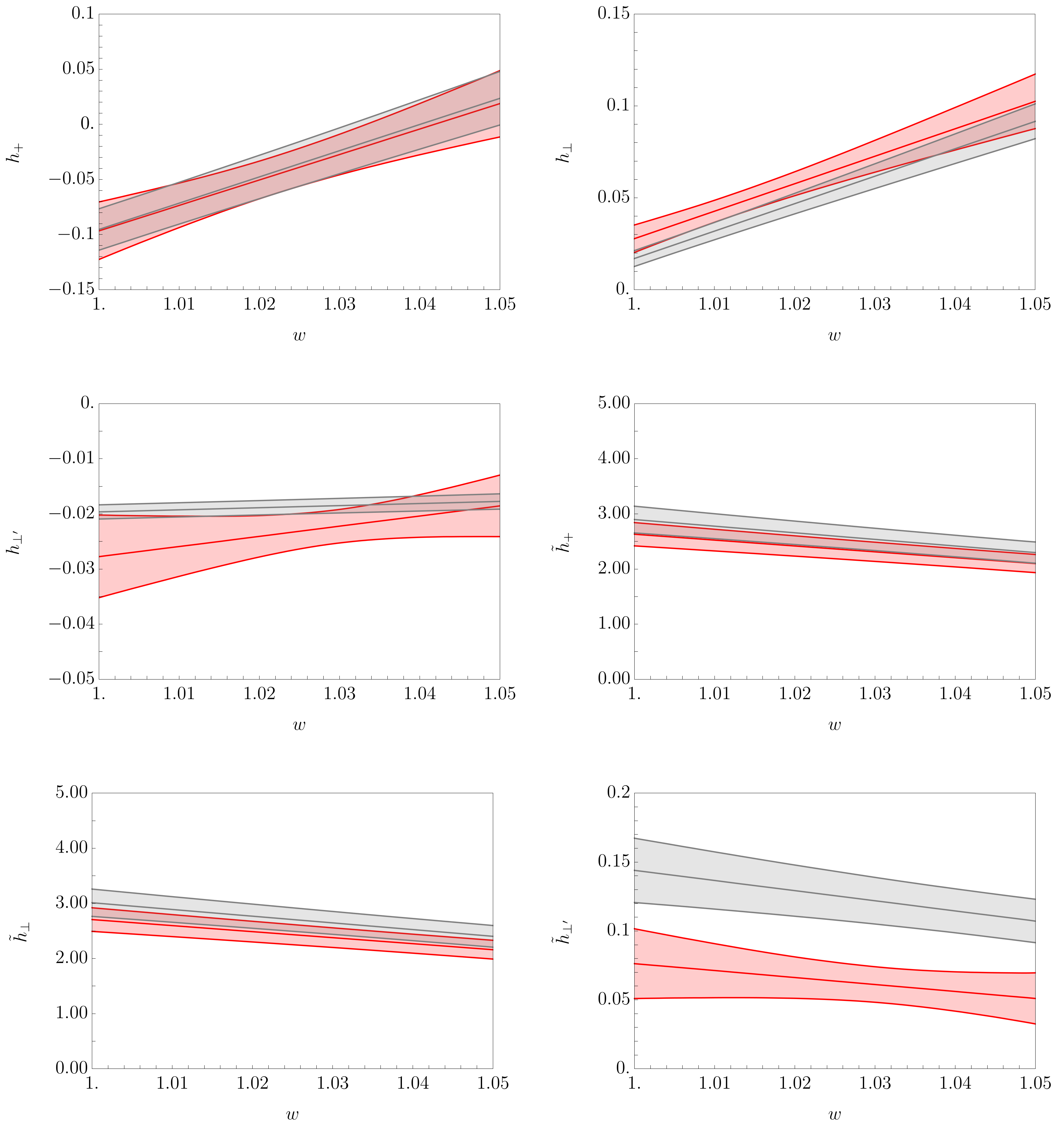
3. Form Factors Relations and Comparison with Lattice QCD Results
3.1. Relations in the Zero-Recoil Point
3.2. Form Factors Parametrisation and Fit
- Given the available information in Ref. [22], it is possible to use two pseudo-points for each form factor. I choose to evaluate them at and . Given that the HQE parametrisation depends on fewer parameters than the lattice QCD one, it is possible to perform a fit to only a subset of the lattice QCD data. In particular, I choose to employ the data on the vector and axial-vector form factors and provide predictions for the tensor and pseudo-tensor form factors based on the fit results. I comment on the consequences of this choice in the following. I stress that this is a common procedure and has been already employed in Ref. [31].
- The HQE based form factors are affected by uncertainties due to the unknown contributions from higher orders of expansion. By naive dimensional arguments these contributions are expected to be roughly . Hence, I introduce an uncorrelated uncertainty on all HQE expressions of the form factors to take these effects into account. Comments on this choice can be found later in the text.
4. Conclusions
Funding
Data Availability Statement
Acknowledgments
Conflicts of Interest
Appendix A. Details on the Form Factor Parametrisation
Appendix B. Relations with Lattice Form Factors
Appendix C. Correlations between the Fit Parameters
| 1 | |||||||||
| 1 | |||||||||
| 1 | |||||||||
| 1 | |||||||||
| 1 | |||||||||
| 1 | |||||||||
| 1 | |||||||||
| 1 | |||||||||
| 1 | |||||||||
| 1 |
References
- Aaij, R.; Mazeliauskas, A. Search for lepton-universality violation in B+→K+ℓ+ℓ− decays. Phys. Rev. Lett. 2019, 122, 191801. [Google Scholar] [CrossRef] [PubMed]
- Aaij, R.; Adeva, B.; Adinolfi, M.; Ajaltouni, Z.; Akar, S.; Albrecht, J.; Alessio, F.; Alexander, M.; Ali, S.; Alkhazov, G.; et al. Test of lepton universality with B0→K*0ℓ+ℓ− decays. J. High Energy Phys. 2017, 8, 55. [Google Scholar] [CrossRef]
- Aaij, R.; Adeva, B.; Adinolfi, M.; Affolder, A.; Ajaltouni, Z.; Akar, S.; Albrecht, J.; Alessio, F.; Alexander, M.; Ali, S.; et al. Test of lepton universality using B+→K+ℓ+ℓ− decays. Phys. Rev. Lett. 2014, 113, 151601. [Google Scholar] [CrossRef] [PubMed]
- Aaij, R.; Beteta, C.A.; Ackernley, T.; Adeva, B.; Adinolfi, M.; Afsharnia, H. Measurement of CP-Averaged Observables in the B0→K*0μ+μ− Decay. Phys. Rev. Lett. 2020, 125, 011802. [Google Scholar] [CrossRef]
- The Lhcb Collaboration. Angular analysis of the B0→K*0μ+μ− decay using 3 fb−1 of integrated luminosity. J. High Energy Phys. 2016, 2, 104. [Google Scholar] [CrossRef]
- LHCb Collaboration. Measurement of Form-Factor-Independent Observables in the Decay B0→K*0μ+μ−. Phys. Rev. Lett. 2013, 111, 191801. [Google Scholar] [CrossRef]
- Aebischer, J.; Altmannshofer, W.; Guadagnoli, D.; Reboud, M.; Stangl, P.; Straub, D.M. B-decay discrepancies after Moriond 2019. Eur. Phys. J. C 2020, 80, 252. [Google Scholar] [CrossRef]
- Algueró, M.; Capdevila, B.; Crivellin, A.; Descotes-Genon, S.; Masjuan, P.; Matias, J.; Novoa Brunet, M.; Virto, J. Emerging patterns of New Physics with and without Lepton Flavour Universal contributions. Eur. Phys. J. C 2019, 79, 714. [Google Scholar] [CrossRef]
- Hurth, T.; Mahmoudi, F.; Neshatpour, S. Implications of the new LHCb angular analysis of B→K*μ+μ−: Hadronic effects or new physics? Phys. Rev. D 2020, 102, 055001. [Google Scholar] [CrossRef]
- Ciuchini, M.; Fedele, M.; Franco, E.; Paul, A.; Silvestrini, L.; Valli, M. Lessons from the B0,+→K*0,+μ+μ− angular analyses. Phys. Rev. D 2021, 103, 015030. [Google Scholar] [CrossRef]
- Aaij, R.; Adeva, B.; Adinolfi, M.; Affolder, A.; Ajaltouni, Z.; Akar, S.; Albrecht, J.; Alessio, F.; Alexander, M.; Ali, S.; et al. Differential branching fraction and angular analysis of Λb0→Λμ+μ− decays. J. High Energy Phys. 2018, 6, 115, Erratum in 2018, 9, 145. [Google Scholar] [CrossRef]
- Aaij, R.; Adeva, B.; Adinolfi, M. Angular moments of the decay Λb0→Λμ+μ− at low hadronic recoil. J. High Energy Phys. 2018, 09, 146. [Google Scholar] [CrossRef]
- Detmold, W.; Meinel, S. Λb→Λℓ+ℓ− form factors, differential branching fraction, and angular observables from lattice QCD with relativistic b quarks. Phys. Rev. D 2016, 93, 074501. [Google Scholar] [CrossRef]
- Meinel, S.; van Dyk, D. Using Λb→Λμ+μ− data within a Bayesian analysis of |ΔB|=|ΔS|=1 decays. Phys. Rev. D 2016, 94, 013007. [Google Scholar] [CrossRef]
- Blake, T.; Meinel, S.; van Dyk, D. Bayesian Analysis of b→sμ+μ− Wilson Coefficients using the Full Angular Distribution of Λb→Λ(→pπ−)μ+μ− Decays. Phys. Rev. D 2020, 101, 035023. [Google Scholar] [CrossRef]
- Bernet, R.; Muller, K.; Owen, P.; Serra, N.; Steinkamp, O.; LHCb Collaboration. Test of lepton universality with Λb0→pK−ℓ+ℓ− decays. J. High Energy Phys. 2020, 05, 040. [Google Scholar] [CrossRef]
- Aaij, R. Observation of J/ψp Resonances Consistent with Pentaquark States in Λb0→J/ψK−p Decays. Phys. Rev. Lett. 2015, 115, 072001. [Google Scholar] [CrossRef] [PubMed]
- Hiller, G.; Knecht, M.; Legger, F.; Schietinger, T. Photon polarization from helicity suppression in radiative decays of polarized Lambda(b) to spin-3/2 baryons. Phys. Lett. B 2007, 649, 152–158. [Google Scholar] [CrossRef][Green Version]
- Mott, L.; Roberts, W. Rare dileptonic decays of Λb in a quark model. Int. J. Mod. Phys. A 2012, 27, 1250016. [Google Scholar] [CrossRef]
- Descotes-Genon, S.; Novoa-Brunet, M. Angular analysis of the rare decay Λb→Λ(1520)(→NK)ℓ+ℓ−. J. High Energy Phys. 2019, 06, 136, Erratum in 2019, 6, 102. [Google Scholar] [CrossRef]
- Das, D.; Das, J. The Λb→Λ*(1520)(→NK¯)ℓ+ℓ− decay at low-recoil in HQET. J. High Energy Phys. 2020, 07, 002. [Google Scholar] [CrossRef]
- Meinel, S.; Rendon, G. Λb→Λ*(1520)ℓ+ℓ- form factors from lattice QCD. 2020. [Google Scholar]
- Falk, A.F. Hadrons of arbitrary spin in the heavy quark effective theory. Nucl. Phys. B 1992, 378, 79–94. [Google Scholar] [CrossRef]
- Böer, P.; Bordone, M.; Graverini, E.; Owen, P.; Rotondo, M.; Van Dyk, D. Testing lepton flavour universality in semileptonic Λb→Λc* decays. J. High Energy Phys. 2018, 6, 155. [Google Scholar] [CrossRef]
- Neubert, M. Heavy quark symmetry. Phys. Rept. 1994, 245, 259–396. [Google Scholar] [CrossRef]
- Grinstein, B.; Pirjol, D. Exclusive rare B→K*ℓ+ℓ− decays at low recoil: Controlling the long-distance effects. Phys. Rev. D 2004, 70, 114005. [Google Scholar] [CrossRef]
- Böer, P.; Feldmann, T.; van Dyk, D. Angular Analysis of the Decay Λb→Λ(→Nπ)ℓ+ℓ−. J. High Energy Phys. 2015, 1, 155. [Google Scholar] [CrossRef][Green Version]
- Falk, A.F.; Neubert, M. Second order power corrections in the heavy quark effective theory. 2. Baryon form-factors. Phys. Rev. D 1993, 47, 2982–2990. [Google Scholar] [CrossRef]
- Falk, A.F.; Neubert, M. Second order power corrections in the heavy quark effective theory. 1. Formalism and meson form-factors. Phys. Rev. D 1993, 47, 2965–2981. [Google Scholar] [CrossRef]
- Leibovich, A.K.; Stewart, I.W. Semileptonic Lambda(b) decay to excited Lambda(c) baryons at order Lambda(QCD) / m(Q). Phys. Rev. D 1998, 57, 5620–5631. [Google Scholar] [CrossRef]
- Bernlochner, F.U.; Ligeti, Z.; Robinson, D.J.; Sutcliffe, W.L. New predictions for Λb→Λc semileptonic decays and tests of heavy quark symmetry. Phys. Rev. Lett. 2018, 121, 202001. [Google Scholar] [CrossRef]



| Parameter | Best Fit Point |
|---|---|
Publisher’s Note: MDPI stays neutral with regard to jurisdictional claims in published maps and institutional affiliations. |
© 2021 by the author. Licensee MDPI, Basel, Switzerland. This article is an open access article distributed under the terms and conditions of the Creative Commons Attribution (CC BY) license (http://creativecommons.org/licenses/by/4.0/).
Share and Cite
Bordone, M. Heavy Quark Expansion of Λb→Λ*(1520) Form Factors beyond Leading Order. Symmetry 2021, 13, 531. https://doi.org/10.3390/sym13040531
Bordone M. Heavy Quark Expansion of Λb→Λ*(1520) Form Factors beyond Leading Order. Symmetry. 2021; 13(4):531. https://doi.org/10.3390/sym13040531
Chicago/Turabian StyleBordone, Marzia. 2021. "Heavy Quark Expansion of Λb→Λ*(1520) Form Factors beyond Leading Order" Symmetry 13, no. 4: 531. https://doi.org/10.3390/sym13040531
APA StyleBordone, M. (2021). Heavy Quark Expansion of Λb→Λ*(1520) Form Factors beyond Leading Order. Symmetry, 13(4), 531. https://doi.org/10.3390/sym13040531

