Zeroth-Order Nucleation Transition under Nanoscale Phase Separation
Abstract
1. Introduction
2. Spatial Phase Separation
3. System Statistical Operator
4. Averaging over Phase Configurations
5. Hamiltonian in Spin Representation
6. Free Energy of Mixture
7. Stability Conditions
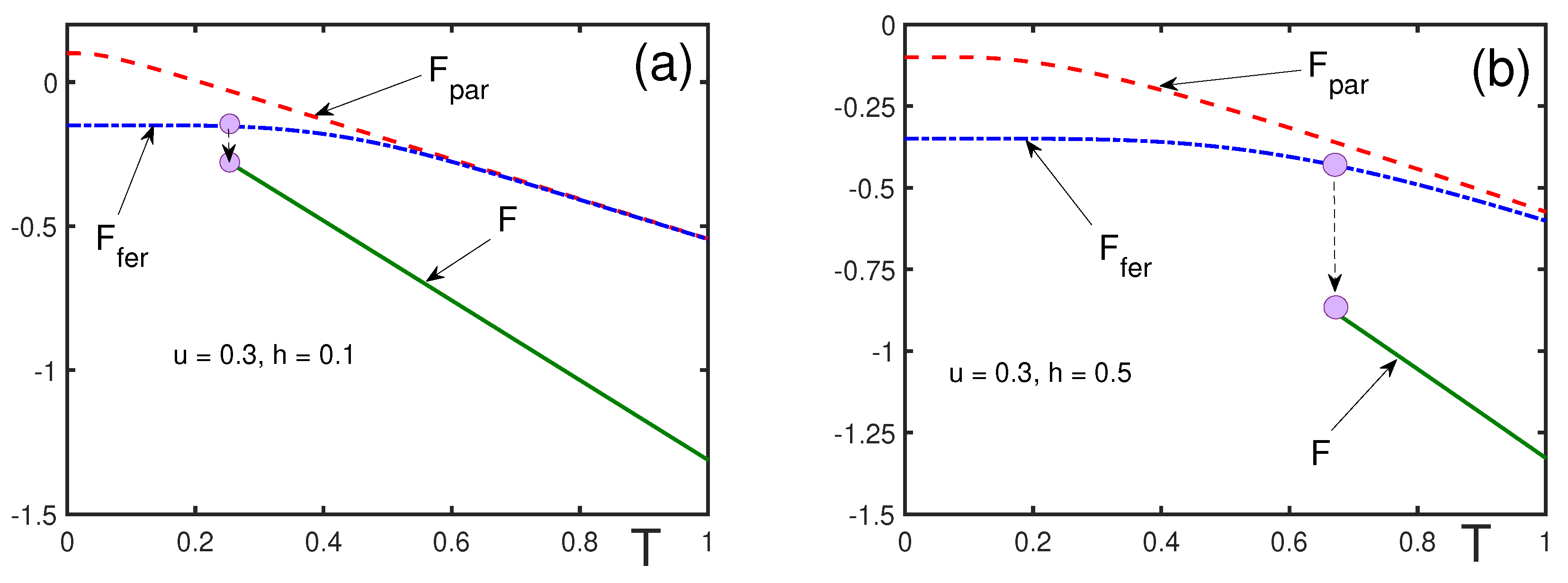
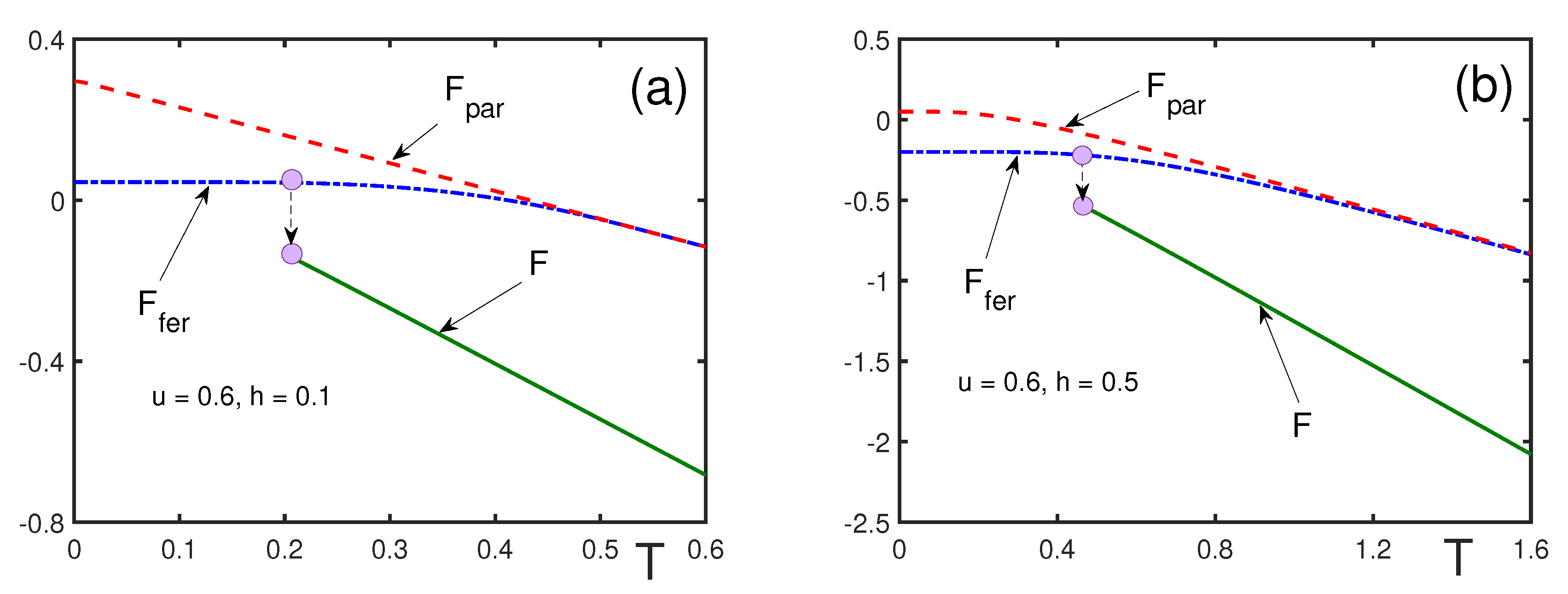
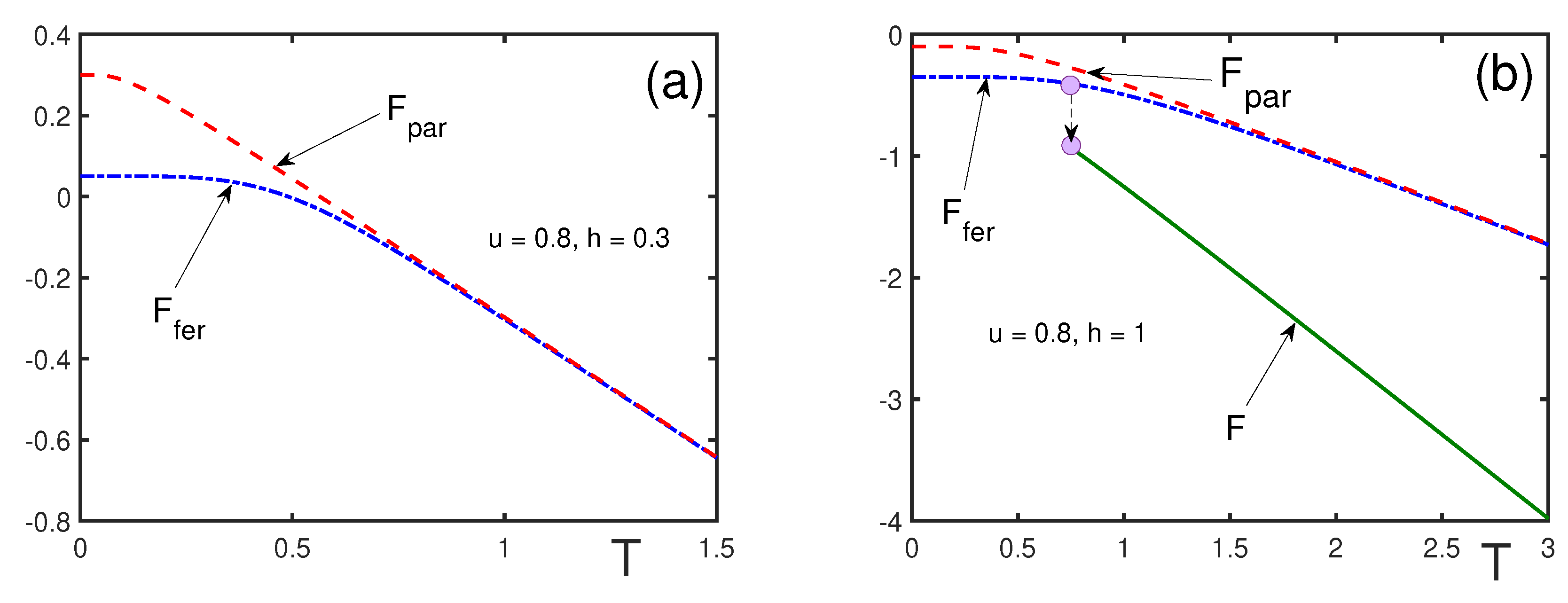
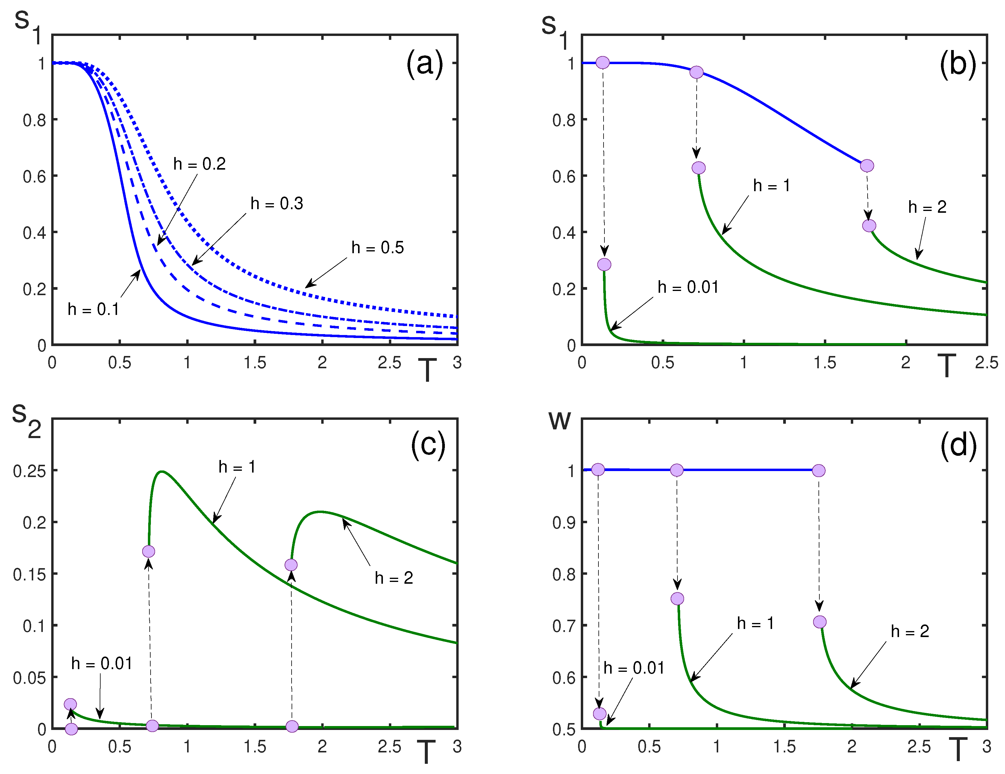
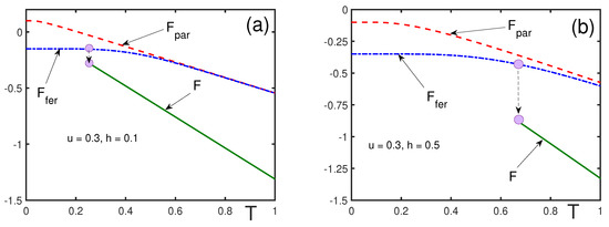
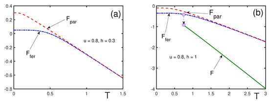
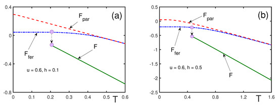
8. Results and Discussion
- (i)
- At low temperatures, the system is a pure ferromagnet described by the free energy and the order parameter , with . When increasing temperature, gradually approaches corresponding to a paramagnet. The order parameter has the form typical of the ferromagnetic magnetization. This behavior, for instance, happens for and all .
- (ii)
- For , at low temperatures, below the nucleation temperature , the system is a pure ferromagnet, with the free energy , the order parameter , and . At the nucleation temperature , there appears a solution for the mixed state with the free energy F and the order parameters and . The free energy F is lower than , but does not intersect it so that the nucleation is to be classified as a zeroth-order transition.
Author Contributions
Funding
Institutional Review Board Statement
Informed Consent Statement
Data Availability Statement
Conflicts of Interest
References
- Kubo, R. Thermodynamics; North-Holland: Amsterdam, The Netherlands, 1968. [Google Scholar]
- Maslov, V.P. Zeroth-order phase transitions. Math. Notes 2004, 76, 697–710. [Google Scholar] [CrossRef]
- Gunasekaran, S.; Kubiznak, D.; Mann, R.B. Extended phase space thermodynamics for charged and rotating black holes and Born-Infeld vacuum polarization. J. High Energy Phys. 2012, 2012, 110. [Google Scholar] [CrossRef]
- Altamirano, N.; Kubiznak, D.; Mann, R.B. Reentrant phase transitions in rotating anti-de Sitter black holes. Phys. Rev. D 2013, 88, 101502. [Google Scholar] [CrossRef]
- Altamirano, N.; Kubiznak, D.; Mann, R.B.; Sherkatghanad, Z. Kerr-AdS analogue of triple point and solid/liquid/gas phase transition. Class. Quantum Grav. 2014, 31, 042001. [Google Scholar] [CrossRef]
- Frassino, A.M.; Kubiznak, D.; Mann, R.B.; Simovic, F. Multiple reentrant phase transitions and triple points in Lovelock thermodynamics. J. High Energy Phys. 2014, 2014, 1–47. [Google Scholar] [CrossRef]
- Hennigar, R.A.; Brenna, W.G.; Mann, R.B. P − V criticality in quasitopological gravity. J. High Energy Phys. 2015, 2015, 77. [Google Scholar] [CrossRef]
- Hennigar, R.A.; Mann, R.B. Reentrant phase transitions and van der Waals behaviour for hairy black holes. Entropy 2015, 17, 8056. [Google Scholar] [CrossRef]
- Kubiznak, D.; Simovic, F. Thermodynamics of horizons: De Sitter black holes and reentrant phase transitions. Class. Quantum Grav. 2016, 33, 245001. [Google Scholar] [CrossRef]
- Dehyadegari, A.; Sheykhi, A.; Montakhab, A. Novel phase transition in charged dilaton black holes. Phys. Rev. D 2017, 96, 084012. [Google Scholar] [CrossRef]
- Dehyadegari, A.; Sheykhi, A. Reentrant phase transition of Born-Infeld-AdS black holes. Phys. Rev. D 2018, 98, 024011. [Google Scholar] [CrossRef]
- Zeng, H.B. Possible Anderson localization in a holographic superconductor. Phys. Rev. D 2013, 88, 126004. [Google Scholar] [CrossRef]
- Cai, R.G.; Li, L.; Li, L.F. A holographic P-wave superconductor model. J. High. Energy Phys. 2014, 1401, 032. [Google Scholar] [CrossRef]
- Cai, R.G.; Li, L.; Li, L.F.; Yang, R.Q. Towards complete phase diagrams of a holographic P-wave superconductor model. J. High. Energy Phys. 2014, 1404, 016. [Google Scholar] [CrossRef]
- Zeng, H.B.; Zhang, H.Q. Zeroth order phase transition in a holographic superconductor with single impurity. Nucl. Phys. B 2015, 897, 276–288. [Google Scholar] [CrossRef][Green Version]
- Cai, R.G.; Yang, R.Q. Paramagnetism-ferromagnetism phase transition in a dyonic black hole. Phys. Rev. D 2014, 90, 081901. [Google Scholar] [CrossRef]
- Cai, R.G.; Yang, R.Q. Holographic model for the paramagnetism-antiferromagnetism phase transition. Phys. Rev. D 2015, 91, 086001. [Google Scholar] [CrossRef]
- Hou, J.X. Zeroth order phase transition induced by ergodicity breaking in a mean-field system. Eur. Phys. J. B 2021, 94, 6. [Google Scholar] [CrossRef]
- Hou, J.X. Zeroth-order phase transition in the Blume-Emery-Griffiths model without bilinear exchange coupling. Phys. Rev. E 2021, 104, 024114. [Google Scholar] [CrossRef]
- Touchette, H. Equivalence and nonequivalence of ensembles: Thermodynamic, macrostate, and measure levels. J. Stat. Phys. 2015, 159, 987–1016. [Google Scholar] [CrossRef]
- Bar, T.; Choudhary, S.K.; Ashraf, M.A.; Sujith, K.S.; Puri, S.; Raj, S.; Bansal, B. Kinetic spinodal instabilities in the Mott transition in V2O3: Evidence from hysteresis scaling and dissipative phase ordering. Phys. Rev. Lett. 2018, 121, 045701. [Google Scholar] [CrossRef]
- Kundu, S.; Bar, T.; Nayak, R.K.; Bansal, B. Critical slowing down at the abrupt Mott transition: When the first-order phase transition becomes zeroth order and looks like second order. Phys. Rev. Lett. 2020, 124, 095703. [Google Scholar] [CrossRef] [PubMed]
- Liu, S.; Phillabaum, B.; Carlson, E.W.; Dahmen, K.A.; Vidhyadhiraja, N.S.; Qazilbash, M.M.; Basov, D.N. Random field driven spatial complexity at the Mott transition in VO2. Phys. Rev. Lett. 2016, 116, 036401. [Google Scholar] [CrossRef]
- Yukalov, V.I. Phase transitions and heterophase fluctuations. Phys. Rep. 1991, 208, 395–489. [Google Scholar] [CrossRef]
- Yukalov, V.I. Mesoscopic phase fluctuations: General phenomenon in condensed matter. Int. J. Mod. Phys. B 2003, 17, 2333–2358. [Google Scholar] [CrossRef]
- Yukalov, V.I. Systems with symmetry breaking and restoration. Symmetry 2010, 2, 40–68. [Google Scholar] [CrossRef]
- Kagan, M.Y.; Kugel, K.I.; Rakhmanov, A.L. Electronic phase separation: Recent progress in the old problem. arXiv 2021, arXiv:2109.12684. [Google Scholar] [CrossRef]
- Kuklov, A.B.; Prokof’ev, N.V.; Svistunov, B.V. How solid is supersolid? Physics 2011, 4, 109. [Google Scholar] [CrossRef]
- Boninsegni, M.; Prokof’ev, N.V. Supersolids: What and where are they? Rev. Mod. Phys. 2012, 84, 759–776. [Google Scholar] [CrossRef]
- Yukalov, V.I. Saga of superfluid solids. Physics 2020, 2, 6. [Google Scholar] [CrossRef]
- Buggy, N.C.; Du, Y.; Kuo, M.C.; Seifert, S.; Gasvoda, R.J.; Agarwal, S.; Coughlin, E.B.; Herring, A.M. Designing anion-exchange ionomers with oriented nanoscale phase separation at a Silver interface. J. Phys. Chem. C 2021, 125, 20592–20605. [Google Scholar] [CrossRef]
- Batys, P.; Fedorov, D.; Mohammadi, P.; Lemetti, L.; Linder, M.B.; Sammalkorpi, M. Self-assembly of silk-like protein into nanoscale bicontinuous networks under phase-separation conditions. Biomacromolecules 2021, 22, 690–700. [Google Scholar] [CrossRef]
- Park, J.; Zhao, H.; Kang, S.D. Fictitious phase separation in Li layered oxides driven by electro-autocatalysis. Nat. Mater. 2021, 20, 991–999. [Google Scholar] [CrossRef] [PubMed]
- Martin, E.W.; Harmon, T.S.; Hopkins, J.B. A multi-step nucleation process determines the kinetics of prion-like domain phase separation. Nat. Commun. 2021, 12, 4513. [Google Scholar] [CrossRef] [PubMed]
- Kyndiah, A.; Checa, M.; Leonardi, F.; Millan-Solsona, R.; Di, M.; Tanwar, S.; Fumagalli, L.; Mas-Torrent, M.; Gomila, G. Nanoscale mapping of the conductivity and interfacial capacitance of an electrolyte-gated organic field-effect transistor under operation. Funct. Mater. 2021, 31, 2008032. [Google Scholar] [CrossRef]
- Bertelsen, U.; Knudsen, J.; Krogh, H. Mössbauer effect in FeF3. Phys. Status Solidi 1967, 22, 59–64. [Google Scholar] [CrossRef]
- Yamamoto, H.; Osaka, T.; Watanabe, H.; Fukase, M. Mössbauer effect study of spin relaxation in CaFe2O4. J. Phys. Soc. Jpn. 1968, 24, 275–279. [Google Scholar] [CrossRef]
- Eibschütz, M.; Shtrikman, S.; Treves, D. Mössbauer studies of Fe57 in orthoferrites. Phys. Rev. 1967, 156, 562–577. [Google Scholar] [CrossRef]
- Levinson, L.; Luban, M.; Shtrikman, S. Mössbauer studies of Fe57 near the Curie temperature. Phys. Rev. 1969, 177, 864–870. [Google Scholar] [CrossRef]
- Krivoglaz, M.A. Fluctuon states of electrons. Phys. Usp. 1974, 16, 856–877. [Google Scholar] [CrossRef]
- Nagaev, E.L. Ferromagnetic and antiferromagnetic semiconductors. Phys. Usp. 1975, 18, 863–892. [Google Scholar] [CrossRef]
- Belov, K.P. Rare-Earth Magnets and Their Applications; Nauka: Moscow, Russia, 1980. [Google Scholar]
- Belov, K.P.; Tretyakov, Y.D.; Gordeev, I.V.; Koroleva, L.I.; Kesler, Y.A. Magnetic Semiconductors–Chalcogenide Spinels; Moscow State University: Moscow, Russia, 1981. [Google Scholar]
- Reissner, M.; Steiner, W.; Kappler, J.; Bauer, P.; Besnus, M. Magnetic behaviour of Y(FexAl1−x)2 alloys. J. Phys. F 1984, 14, 1249–1260. [Google Scholar] [CrossRef]
- Kumeishin, V.F.; Ivanov, O.A. Investigation of relaxation processes in nickel near the Curie temperature by means of nuclear gamma-resonance. Phys. Met. Metallogr. 1975, 40, 1295–1299. [Google Scholar]
- Baryakhtar, V.G.; Vitebsky, I.M.; Yablonsky, D.A. Theory of creation of nuclei at magnetic first order phase tarnsition between paramagnetic and magneto-ordered phases. Phys. Solid State. 1977, 19, 347–352. [Google Scholar]
- Goldman, M. Nuclear dipolar magnetic ordering. Phys. Rep. 1977, 32, 1–47. [Google Scholar] [CrossRef]
- Reimann, H.; Hagen, H.; Waldner, F.; Arend, H. Observation of excitation of the antiferromagnetic mode in the paramagnetic state of (C2H5NH3)2CuCl4. Phys. Rev. Lett. 1978, 40, 1344–1346. [Google Scholar] [CrossRef]
- Bhargava, S.; Zeeman, N. Mössbauer study of Ni0.25Zn0.75Fe2O4: Spin fluctuations. Phys. Rev. B 1980, 21, 1717–1724. [Google Scholar] [CrossRef]
- Uen, T.M.; Tseng, P.K. Mössbauer-effect studies on the magnetic properties of the Ni-Zn-ferrite system. Phys. Rev. B 1982, 25, 1848–1859. [Google Scholar] [CrossRef]
- Srivastava, J.; Muraleedharan, K.; Vijayaraghavan, R. On anomalous Mössbauer spectra in spinel ferrites. Phys. Lett. A 1984, 104, 482–486. [Google Scholar] [CrossRef]
- Hälg, B.; Furrer, A.; Vogt, O. Coexistence of different short-range-ordered spin fluctuations in Ce1−x(LaY)xSb. Phys. Rev. Lett. 1985, 54, 1388–1391. [Google Scholar] [CrossRef] [PubMed]
- Lynn, J.W. Temperature dependence of the magnetic excitations in iron. Phys. Rev. B 1975, 11, 2624–2637. [Google Scholar] [CrossRef]
- Liu, S.H. Magnetic excitations above the critical temperature. Phys. Rev. B 1976, 13, 2979–2985. [Google Scholar] [CrossRef]
- Lynn, J.W.; Mook, H.A. Temperature dependence of the dynamic susceptibiity of nickel. Phys. Rev. B 1981, 23, 198–206. [Google Scholar] [CrossRef]
- Cable, J.W.; Nicklow, R.M.; Wakabayashi, N. Temperature dependence of the magnetic excitations in gadolinium. Phys. Rev. B 1986, 32, 1710–1719. [Google Scholar] [CrossRef] [PubMed]
- Lynn, J.W.; Mook, H.A. Nature of the magnetic excitations above Tc in Ni anf Fe. J. Magn. Magn. Mater. 1986, 54, 1169–1170. [Google Scholar] [CrossRef]
- Cable, J.W.; Nicklow, R.M. Spin dynamics of Gd at high temperatures. Phys. Rev. B 1989, 39, 11732–11741. [Google Scholar] [CrossRef]
- Goto, T.; Sakakabara, T.; Yamaguchi, M. Coexistence of nonmagnetic and ferromagnetic Co in Y2Co7 and YCo3 hydrides. J. Magn. Magn. Mater. 1986, 54, 1085–1086. [Google Scholar] [CrossRef]
- Shinogi, A.; Saito, T.; Endo, K. Coexistence of nonmagnetic and magnetic Co in cubic Laves phase compounds Lu(Co1−xAlx)2. J. Phys. Soc. Jpn. 1987, 56, 2633–2636. [Google Scholar] [CrossRef]
- Jaime, M.; Lin, P.; Chun, S.H.; Salamon, M.B.; Dorsey, P.; Rubinshtein, M. Coexistence of localized and itinerant carriers near TC in calcium-doped manganites. Phys. Rev. B 1999, 60, 1028–1032. [Google Scholar] [CrossRef]
- Merithew, R.D.; Weissman, M.B.; Hess, F.M.; Spradling, P.; Nowak, E.R.; O’Donnell, J.; Ekstein, J.M.; Tokura, Y.; Tomioka, Y. Mesoscopic thermodynamics of an inhomogeneous colossal-magnetoresistive phase. Phys. Rev. Lett. 2000, 84, 3442–3445. [Google Scholar] [CrossRef]
- Baio, J.; Barucca, G.; Caciuffo, R.; Rinaldi, D.; Mira, J.; Rivas, J.; Senaris-Rodriguez, M.A.; Fiorani, D. Phase separation, thermal history and magnetic behavior of Sr dopped LaCoO3. J. Phys. Condens. Matter 2000, 12, 9761–9770. [Google Scholar] [CrossRef]
- Sun, J.R.; Shen, B.G.; Gao, J.; Fei, Y.; Nie, Y.P. Presence of a paramagnetic phase well below the ferromagnetic onset in La0.67−xBixCa0.33MnO3. Eur. Phys. Lett. 2003, 62, 732–738. [Google Scholar] [CrossRef][Green Version]
- Batko, I.; Batkova, M.; Tran, V.H.; Keiderling, U.; Filipov, V.B. Evidence for magnetic phase separation in colossal magnetoresistence compound EuB5.99C0.01. Solid State Commun. 2014, 190, 23–27. [Google Scholar] [CrossRef]
- Gibbs, J.W. Collected Works; Longmans: New York, NY, USA, 1928. [Google Scholar]
- Kullback, S.; Leibler, R.A. On information and sufficiency. Ann. Math. Stat. 1951, 22, 79–86. [Google Scholar] [CrossRef]
- Kullback, S. Information Theory and Statistics; Wiley: New York, NY, USA, 1959. [Google Scholar]
- Yukalov, V.I. Theory of melting and crystallization. Phys. Rev. B 1985, 32, 436–446. [Google Scholar] [CrossRef]
- Yukalov, V.I. Effective Hamiltonians for systems with mixed symmetry. Physica A 1986, 136, 575–587. [Google Scholar] [CrossRef]
- Yukalov, V.I. Renormalization of quasi-Hamiltonians under heterophase averaging. Phys. Lett. A 1987, 125, 95–100. [Google Scholar] [CrossRef]
- Yukalov, V.I. Procedure of quasiaveraging for heterophase mixtures. Physica A 1987, 141, 352–374. [Google Scholar] [CrossRef]
- Yukalov, V.I. Lattice mixtures of fluctuating phases. Physica A 1987, 144, 369–389. [Google Scholar] [CrossRef]
- Marzari, N.; Mostofi, A.A.; Yates, J.R.; Souza, I.; Vanderbilt, D. Maximally localized Wannier functions: Theory and applications. Rev. Mod. Phys. 2012, 84, 1419–1475. [Google Scholar] [CrossRef]
- Bogolubov, N.N. Lectures on Quantum Statistics; Gordon and Breach: New York, NY, USA, 1967; Volume 1. [Google Scholar]
- Bogolubov, N.N. Lectures on Quantum Statistics; Gordon and Breach: New York, NY, USA, 1970; Volume 2. [Google Scholar]
- Bogolubov, N.N. Quantum Statistical Mechanics; World Scientific: Singapore, 2015. [Google Scholar]
- Yukalov, V.I. Microscopic theory of spin reorientations: General analysis. Physica A 1990, 167, 861–876. [Google Scholar] [CrossRef]
- Yukalov, V.I.; Yukalova, E.P. Statistics of multiscale fluctuations in macromolecular systems. J. Phys. Chem. B 2012, 116, 8435–8448. [Google Scholar] [CrossRef] [PubMed][Green Version]
- Yukalov, V.I.; Yukalova, E.P. Mesoscopic disorder in double well optical lattices. Laser Phys. 2011, 21, 1448–1458. [Google Scholar] [CrossRef]
- Ono, S.; Kondo, S. Molecular Theory of Surface Tension in Liquids; Springer: Berlin, Germany, 1960. [Google Scholar]
- Rusanov, A.I. Problems of surface thermodynamics. Pure Appl. Chem. 1992, 64, 111–124. [Google Scholar] [CrossRef]
- Kjelstrup, S.; Bedeaux, D. Non-Equilibrium Thermodynamics of Heterogeneous Systems; World Scientific: Singapore, 2008. [Google Scholar]








Publisher’s Note: MDPI stays neutral with regard to jurisdictional claims in published maps and institutional affiliations. |
© 2021 by the authors. Licensee MDPI, Basel, Switzerland. This article is an open access article distributed under the terms and conditions of the Creative Commons Attribution (CC BY) license (https://creativecommons.org/licenses/by/4.0/).
Share and Cite
Yukalov, V.I.; Yukalova, E.P. Zeroth-Order Nucleation Transition under Nanoscale Phase Separation. Symmetry 2021, 13, 2379. https://doi.org/10.3390/sym13122379
Yukalov VI, Yukalova EP. Zeroth-Order Nucleation Transition under Nanoscale Phase Separation. Symmetry. 2021; 13(12):2379. https://doi.org/10.3390/sym13122379
Chicago/Turabian StyleYukalov, Vyacheslav I., and Elizaveta P. Yukalova. 2021. "Zeroth-Order Nucleation Transition under Nanoscale Phase Separation" Symmetry 13, no. 12: 2379. https://doi.org/10.3390/sym13122379
APA StyleYukalov, V. I., & Yukalova, E. P. (2021). Zeroth-Order Nucleation Transition under Nanoscale Phase Separation. Symmetry, 13(12), 2379. https://doi.org/10.3390/sym13122379

