Next Article in Journal
Eigenvalue-Based Spectrum Sensing with Small Samples Using Circulant Matrix
Next Article in Special Issue
Hysteretic Behavior on Asymmetrical Composite Joints with Concrete-Filled Steel Tube Columns and Unequal High Steel Beams
Previous Article in Journal
Quantum Coherence of Atoms with Dipole–Dipole Interaction and Collective Damping in the Presence of an Optical Field
Previous Article in Special Issue
Optical Fiber Sensors for Monitoring Railway Infrastructures: A Review towards Smart Concept
 
 
Font Type:
Arial Georgia Verdana
Font Size:
Aa Aa Aa
Line Spacing:
Column Width:
Background:
Article

Lateral-Torsional Buckling Analysis for Doubly Symmetric Tubular Flange Composite Beams with Lateral Bracing under Concentrated Load

1
Heilongjiang Key Lab of Disaster Prevention, Mitigation and Protection Engineering, Northeast Petroleum University, Daqing 163318, China
2
School of Architecture Engineering, Nanjing Institute of Technology, Nanjing 211167, China
3
Handan Key Laboratory of Building Physical Environment and Regional Building Protection Technology, School of Architecture and Art, Hebei University of Engineering, Handan 056038, China
4
School of Management Engineering and Business, Hebei University of Engineering, Handan 056038, China
*
Authors to whom correspondence should be addressed.
Symmetry 2021, 13(12), 2328; https://doi.org/10.3390/sym13122328
Submission received: 29 October 2021 / Revised: 30 November 2021 / Accepted: 2 December 2021 / Published: 5 December 2021
(This article belongs to the Special Issue Symmetry in Applied Mechanics Analysis on Smart Optical Fiber Sensors)

Abstract

:
Tubular flange composite beams are increasingly applied in modern bridge structures. In order to investigate the overall stability behavior of doubly symmetric tubular flange composite beams with lateral bracing under concentrated load, the analysis of elastic lateral-torsional buckling is conducted by the energy variation method. The analytical solution of critical moment of doubly symmetric tubular flange composite beams with lateral bracing is obtained. Meanwhile, the simplified calculation formula of critical moment is fitted by 1stOpt software based on 26,000 groups of data, and the accuracy is verified by the finite element method. It is found that, the critical moment rises obviously with increasing lateral bracing stiffness, and adding lateral bracing to doubly symmetric tubular flange composite beams is beneficial to improve the overall stability in engineering practice. Finally, the influence of several parameters including concrete strength, span, steel ratio of flange and height-thickness ratio of web are studied. The results show that the concrete strength and the web height-thickness ratio have a weak influence on critical moment of elastic lateral-torsional buckling, while the influence of span-depth ratio and flange steel ratio is very significant.

1. Introduction

The tubular flange composite beam is a novel composite beam in highway bridges, which replaces flat flange of traditional I-shaped steel beam with concrete-filled steel tubular flange. This type of composite beam is advantageous for overall stability because of its higher strength and greater torsional stiffness [1,2,3]. In recent years, the flexural behavior and stability of doubly symmetric and monosymmetric tubular flange beams have been concerned by many scholars [4,5]. Kim and Sause et al. [6,7,8] studied the lateral-torsional buckling performance of tubular flange composite beams by carrying out flexural experiments and finite element analysis. Cho [9] investigated the flexural resistance of monosymmetric tubular flange composite beams by two-point loading tests on seven specimens. Theoretical equations to estimate the flexural strength of new type composite beams were presented, and their accuracy was examined by comparing the predictions of the equations with the test results. Rana [10] researched mechanical properties of monosymmetric tubular flange composite beams under the combined action of bending and tensile axial force. Based on the finite element analysis results, the moment-axial force interaction relationship was revealed, and a simplified calculation formula was presented. Yan [11] put forward a simplified formula for calculating the flexural capacity of monosymmetric tubular flange composite beams based on the mechanical properties and failure mechanism. Zhang et al. [12,13,14,15] proposed the calculation formulas of elastic and plastic flexural capacity of four kinds of monosymmetric tubular flange composite beams by the experimental and theoretical studies, and the formulas for calculating the critical moment of lateral-torsional buckling were provided based on the plate-beam theory. Wang et al. [16] deduced the simplified calculation formulas of yield moment and ultimate flexural capacity of doubly symmetric and monosymmetric tubular flange composite beams. Gao et al. [17] investigated lateral-torsional buckling behavior of high-strength steel tubular flange composite beams by experimental and numerical methods. The research suggested that the infilled concrete could improve the resistance to flange distortion and the flange depth influenced on the lateral-torsional buckling strength remarkably.
In practical engineering, the steel beams as lateral bracings are connected between the tubular flange composite beams, which can provide lateral constraints and improve stability. Many studies on the stability of steel beams with lateral bracing have been carried out. Taylor [18] and Tong [19] studied the stability performance of doubly symmetric I-shaped simply supported steel beams with lateral bracing and proposed the analytical solution of the critical moment of the elastic lateral-torsional buckling. Wu [20] and Zou [21] discussed the influence of lateral bracing on the overall stability of doubly symmetric I-beam under different loads. Zhang et al. [22,23] proposed the formulas for calculating the critical moment of elastic lateral-torsional buckling of two-span doubly symmetric steel beams and I-shaped cantilever steel beams with lateral bracing by energy variation method. Based on the plate-beam theory, Deng [24] researched the stability performance of monosymmetric tubular flange composite beams and fitted the calculation formula of the elastic critical moment. At present, there are few studies on the stability of doubly symmetric tubular flange composite beams with lateral bracing.
Based on this background, the elastic stability of doubly symmetric tubular flange composite beams with lateral bracing are carried out and provide the critical moment calculation formula in this paper. Firstly, the total potential energy equation of the elastic lateral-torsional buckling for doubly symmetric tubular flange composite beams with lateral bracing under concentrated load is established by the energy variation method. The dimensionless parameters are introduced to calculate the analytical solution of the critical moment. Furthermore, the critical moment calculation formula of elastic lateral-torsional buckling is fitted through 1stOpt software, and the accuracy of the formula is verified by finite element analysis, which can provide technical support for the subsequent research and application of this type of beam. Finally, the effect of concrete strength, span, steel ratio of flange and height-thickness ratio of web on the elastic lateral-torsional buckling critical moment of doubly symmetric tubular flange composite beams are discussed.

2. Lateral-Torsional Buckling Equation

2.1. Basic Information

The calculation diagram of doubly symmetric tubular flange composite beams with lateral bracing under concentrated load is shown in Figure 1. Lateral bracing is set at the upper flange of mid-span. Where Py is the concentrated load acting on the upper flange, L is the span of doubly symmetric tubular flange composite beams, h is the distance between the upper and lower tubular flange centroid, and kL is the lateral bracing stiffness.
The sectional geometric parameters of doubly symmetric tubular flange composite beams are shown in Figure 2a. The section of tubular flange composite beams is biaxial symmetry, where H is the cross-sectional height, bf is the width of the tubular flange, tf is the height of the tubular flange, t is the thickness of the tubular flange, tw is the thickness of web, and hw is the height of web.
The lateral-torsional deformation of doubly symmetric tubular flange composite beams with lateral bracing under concentrated load is shown in Figure 2b. The section of beam is doubly symmetric, then shear center S and centroid O is coincident. Where u is the lateral displacement of the shear center, θ is the torsion angle of the section around the shear center, a is the distance from the load point to the shear center.

2.2. Basic Assumptions

The following assumptions are adopted for the lateral-torsional buckling of tubular flange composite beams:
1. The deformation shape of the cross section of the beam conforms to rigid peripheral assumption.
2. The torsional deformation of webs can be decomposed into in-plane deformation and out-of-plane deformation, and the corresponding strain energy is determined by Euler beam model and Kirchhoff plate model respectively;
3. The torsional deformation of concrete-filled steel tubular flange can be decomposed into in-plane deformation and out-of-plane deformation, and the corresponding strain energy is determined by the Euler beam mechanical model and Saint-Venant torsional mechanical model separately.
4. The relative slip between steel tube and concrete is not considered, and the deformation between them is coordinated.

2.3. Total Potential Energy Equation

The total potential energy equation of doubly symmetric tubular flange composite beam under concentrated load without lateral bracing can be expressed as [25,26,27]:
Π 1 = 1 2 0 L [ ( E I y ) comp u 2 + ( E I ω ) comp θ 2 + ( G J k ) comp θ 2 2 M x u θ ] d z 1 2 P i a i θ i 2
where (EIy)comp is the flexural stiffness around weak axis of composite beam, (GJk)comp is the free torsional stiffness, (EIω)comp is the restrained torsional stiffness, and Mx is the moment of doubly symmetric tubular flange composite beam under concentrated load.
Due to the complexity of the open and closed cross-section, the existing theory cannot solve this problem accurately. Therefore, according to the plate-beam theory proposed by Zhang [12], the formulas of (EIy)comp, (EIω)comp and (GJk)comp can be expressed as [13]:
( E I y ) comp = E s 1 μ s 2 ( h w t w 3 12 ) + 2 [ E s ( t f b 3 f 12 t fc b 3 fc 12 ) + E c ( t fc b 3 fc 12 ) ] ( E I w ) comp = E s 1 μ s 2 ( h w 3 t w 3 144 ) + 2 ( h 2 ) 2 [ E s ( t f b 3 f 12 t fc b 3 fc 12 ) +   E c t fc b 3 fc 12 ] ( G J k ) comp = G J kw + 2 G J kf G J kw = G s h w t 3 w 3 G J kf = t f 4 G s [ 0.8206 2 s 2 r 2 ( r + s ) 0.3649 1 r 2 + 3 r 4 s 3 + 32 r 2 s 5 + 3 s 7 9 m r 7 + 126 m r 5 s 2 + 126 m r 3 s 4 + 9 m r s 6 ]
where GJkw is the free torsional stiffness of web and GJkf is the free torsional stiffness of tubular flange, t fc = t f 2 t , b fc = b f 2 t , r = t f / t , s = b f / t , m = G s / G c , Es is the elastic modulus of steel, Ec is the elastic modulus of concrete, μs is the Poisson’s ratio of steel, Gs is the shear modulus of steel, and Gc is the shear modulus of concrete.
The total potential energy equation of lateral bracing can be expressed as:
Π 2 = 1 2 k L [ u ( L 2 ) + a θ ( L 2 ) ] 2

2.4. Displacement Function

In the case of lateral-torsional deformation of doubly symmetric tubular flange composite beams, the functions of lateral displacement u(z) and rotation angle θ(z) are chosen in the form of six-term trigonometric series, which can be expressed as:
u ( z ) = i = 1 6 A i h sin ( i π z L )
θ ( z ) = i = 1 6 B i sin ( i π z L )
where Ai and Bi are undetermined coefficients.
Obviously, the selected lateral displacement u(z) and rotation angle θ(z) functions should satisfy the geometric boundary conditions of doubly symmetric tubular flange composite beam:
u ( 0 ) = u ( L ) = 0   ; u ( 0 ) = u ( L ) = 0 θ ( 0 ) = θ ( L ) = 0   ; θ ( 0 ) = θ ( L ) = 0

2.5. Expression of Moment

The moment M x of doubly symmetric tubular flange composite beams with lateral bracing under concentrated load can be expressed as:
M x ( z ) = 1 2 P y z                                                   0 < z L 2 M x ( z ) = 1 2   P y ( L z )                         L 2 < z L }
By substituting Equations (4)–(7) into Equation (1), the total potential energy without bracing can be expressed as:
Π 1 = 1 2 [ ( E I y ) comp h 2 π 4 A 1 2 2 L 3 + ( E I w ) comp π 4 B 1 2 2 L 3 + ( G J k ) comp π 2 B 1 2 2 L + h P ( 4 + π 2 ) 8 A 1 B 1 a P B 1 2 ]
By substituting Equations (4) and (5) into Equation (3), the bracing potential energy can be further expressed as:
Π 2 = 1 2 [ a ( B 1 B 3 + B 5 ) + A 1 H A 3 H + A 5 H ] 2 k L
Therefore, the total potential energy of doubly symmetric tubular flange composite beam with lateral bracing under concentrated load can be expressed as:
Π = Π 1 + Π 2 = 1 2 [ ( E I y ) comp h 2 π 4 A 1 2 2 L 3 + ( E I w ) comp π 4 B 1 2 2 L 3 + ( G J k ) comp π 2 B 1 2 2 L + h P y ( 4 + π 2 ) 8 A 1 B 1 a P y B 1 2 ] + 1 2 [ a ( B 1 B 3 + B 5 ) + A 1 H A 3 H + A 5 H ] 2 k L

2.6. Dimensionless Buckling Equation

According to the stationary value principle of minimum potential energy [25]:
Π A i = 0                   ( i = 1 , 2 , 3 , 4 , 5 , 6 )   ; Π B i = 0             ( i = 1 , 2 , 3 , 4 , 5 , 6 ) .
The definition of dimensionless parameters is introduced as [13,28,29]:
M ˜ cr = M cr [ π 2 ( E I y ) comp L 2 ] h ;               a ˜ = a h ;             k ˜ L = k L L 3 ( E I y ) comp ; K = π 2 ( E I w ) comp ( G J k ) comp L 2 ;                 S = ( E I y ) comp h 2 ( E I w ) comp ;         P y = 4 M cr L .
where M cr is the critical moment of doubly symmetric tubular flange composite beam with lateral bracing under concentrated load; M ˜ cr is the dimensionless critical moment; a ˜ is the dimensionless position of load; k L is the lateral bracing stiffness; k ˜ L is the dimensionless lateral bracing stiffness; K is the torsional stiffness parameter; S is the parameter introduced to characterize the relationship between the bending stiffness around the weak axis and the constrained torsional stiffness.
Multiplying Equation (11) by L3/[(EIy)comp h2] and substituting dimensionless parameters of Equation (12) into Equation (11), the dimensionless buckling equation can be obtained, which can be expressed in the form of the matrix:
[ R 0 S 0 T 0 Q 0 ] { A B } = M ˜ cr [ R 1 S 1 T 1 Q 1 ] { A B }
The minimum eigenvalue obtained from Equation (13) is the analytical solution of critical moment of elastic lateral-torsional buckling of doubly symmetric tubular flange composite beam with lateral bracing under concentrated load.
From the above derivation, a series of dimensionless critical moment M ˜ cr can be obtained by calculating the parameters of a ˜ , k ˜ L , S, and K, which are used in the regression of critical moment formula.

3. Critical Moment Formula

In this paper, MATLAB software is applied to write a program to calculate the dimensionless critical moment M ˜ cr of doubly symmetric tubular flange composite beams with lateral bracing under concentrated load, and M ˜ cr can be calculated by inputting different values of a ˜ , k ˜ L , and K. Through trial calculation, it is found that when the value of k ˜ L reaches the dimensionless threshold stiffness k ˜ LT [30], the dimensionless critical moment M ˜ cr does not increase any more. Because the threshold stiffness of each beam is different, the change step of dimensionless lateral bracing stiffness k ˜ L is set as 5 in order to obtain more accurate data. A total 26,000 data of dimensionless critical moment are obtained through calculation for regression of the dimensionless critical moment formula.
Based on the data obtained above, it is found that the dimensionless critical moment of doubly symmetric tubular flange composite beams with lateral bracing continuously increases with the increase of the dimensionless lateral bracing stiffness. When the lateral bracing stiffness reaches the dimensionless threshold stiffness, the critical moment does not increase any more, and its relationship curve is shown in Figure 3.
The nonlinear regression of dimensionless critical moment is carried out by using 1stOpt software [31,32], and the calculation formula of dimensionless critical moment of doubly symmetric tubular flange composite beams with lateral bracing under concentrated load is fitted:
M ˜ cr = c 1 M ˜ cr 0 + c 2 ( M ˜ cr T M ˜ cr 0 ) ( k ˜ L k ˜ LT ) 0.8       [ 1 + c 3 ( k ˜ L k ˜ LT ) c 4 ( k ˜ L k ˜ LT ) 2 + c 5 ( k ˜ L k ˜ LT ) 3 + c 6 ( k ˜ L k ˜ LT ) 4 ] + c 7   ( 0 < k ˜ L < k ˜ LT )
where c1, c2, c3, c4, c5, c6 and c7 are coefficients and the values of coefficients are shown in Table 1. M ˜ cr 0 is the calculation formula of elastic lateral-torsional buckling of doubly symmetric tubular flange composite beams under concentrated load without lateral bracing, which can be expressed as [33]:
M ˜ cr 0 = β 1 [ β 2 a ˜ + β 3 K 1 +   ( β 2 a ˜ ) 2 + S ( 1 + K 2 ) + β 4 K 1 ]
where β1, β2, β3 and β4 are coefficients and the values are shown in Table 2.
M ˜ crT is the dimensionless critical moment when k ˜ L reaches the dimensionless threshold stiffness k ˜ LT , which can be expressed as:
M ˜ crT = β 1 T [ β 2 T a ˜ + β 3 T K 1 + β 4 T k ˜ L T 1 4 +   ( β 2 T a ˜ ) 2 + S ( 1 + K 2 ) + β 5 T K 1 ]
where the value of β1T, β2T, β3T, β4T, and β5T are shown in Table 3 and the calculation formula of the dimensionless threshold stiffness k ˜ LT is:
k ˜ L T = 16 π 3 ( 8 + α 1 ) ( 4 + α 2 ) 1.5 1.75 [ π α 3 ( 8 + α 4 ) 4 + α 5 + 32 ]
where α 1 = γ 1 K 2 , α 2 = γ 2 K 2 , α 3 = γ 3 K 2 , α 4 = γ 4 K 2 , α 5 = γ 5 K 2 . The value of the coefficient γ 1 , γ 2 , γ 3 , γ 4 and γ 5 are shown in Table 4.

4. Finite Element Verification

In order to verify the correctness of the above theoretical analysis formula, the elastic lateral-torsional buckling analysis of the doubly symmetric tubular flange composite beams with lateral bracing is carried out by ANSYS finite element software. The finite element solutions of critical moment for the doubly symmetric tubular flange composite beams with lateral bracing under concentrated load are obtained.

4.1. Establishment of Finite Element Model

The section of tubular flange composite beam is composed of concrete-filled steel tubes and steel web. The materials include two types: steel and concrete. SHELL181 element is used to simulate steel tubes and web of the beam. SOLID65 solid element is used to simulate concrete in steel tube. CONTA173 element is selected as the contact element, which is covered on the concrete solid element and the value of KEYOPT (12) option is set to five, so as to realize the binding contact with the target surface and ensure that the outer normal of the contact surface points to the target surface. TARGE170 element is selected as the target element, which is used to describe the target surface related to the contact element. In the model, the target surface is the inner surface of the steel tube [34]. In order to acquire adequate accuracy, different mesh sizes are considered. The steel tube flanges and web are divided into thirty parts along the span, the steel tube along the width is divided into four parts, the steel tube along the height is divided into two parts, and the meshing of internal concrete is coincident with steel tube flange, so that contact pairs can be established at their interface. The web along the height is divided into eight parts.
COMBIN14 spring element is used to simulate the elastic lateral bracing and the lateral bracing stiffness is defined by real constants. The finite element model (FEM) is established, as shown in Figure 4. In order to satisfy the assumption of rigid perimeter, CERIG command is used to establish constraint equations around the z axis to ensure all nodes of the section have the same rotation degree of freedom. The distribution of rigid perimeter along the beam length is shown in Figure 5.
In order to satisfy the boundary conditions of ideal clamping, the rigid peripheral region in left and right end supports are established by using the constraint equation. The master node is the centroid of the end section. The master nodes are restrained against in-plane vertical deflection (uy), out-of-plane horizontal deflection (ux), and twisting rotation (rotz). And the master node of the left end is only restrained against longitudinal horizontal displacement (uz). The left and right boundary conditions are shown in Figure 6.

4.2. Verification of Results

Two doubly symmetric tubular flange composite beams (DSTFCB-1 and DSTFCB-2) of different dimensions are selected for comparative verification, and the geometric dimensions are shown in Table 5.
The dimensionless threshold stiffness values of DSTFCB-1 and DSTFCB-2 are 1,158,028 and 895,768 respectively. The elastic modulus of steel Es is 2.06 × 105 MPa, and Poisson’s ratio μs is 0.3. The strength grade of concrete is C40, and elastic modulus of concrete Ec is 3.25 × 104 MPa. The eigenvalue buckling analysis is conducted by ANSYS, and the critical moments are obtained, which are compared with the critical moments of the theoretical Equation (14). The comparison results are shown in Table 6 and Figure 7, the buckling modes of doubly symmetric tubular flange composite beams with lateral bracing are shown in Figure 8.
From Table 6 and Figure 7, it is clear that the results calculated by theoretical Equation (14) are close to those obtained by finite element analysis, with the errors less than 5%. This indicates that the accuracy is very high. Moreover, the critical moment increases with the increase of lateral bracing stiffness. When the lateral bracing stiffness exceeds the threshold stiffness, the critical moment hardly increases. From Figure 8, when lateral bracing stiffness is less than the threshold stiffness, its buckling mode is similar to a sinusoidal half wave, which is symmetric buckling. When the bracing stiffness is greater than the threshold stiffness, the buckling mode is two half waves, which is antisymmetric buckling. It is present that lateral bracing stiffness influences the buckling mode of doubly symmetric tubular flange composite beams.

5. Parameter Analysis

In order to further understand the factors affecting elastic lateral-torsional buckling critical moment of doubly symmetric tubular flange composite beams with lateral bracing, the parameters such as concrete strength, span, steel ratio of flange and height-thickness ratio of web are analyzed to obtain the influence law on the critical moment.

5.1. Effect of Concrete Strength

The yield strength of steel for doubly symmetric tubular flange composite beam is 345 MPa, the elastic modulus Es is 2.06 × 105 MPa, the Poisson’s ratio μs is 0.3, and the concrete strength grades are C40, C50, and C60, respectively [35,36]. The calculation results of elastic lateral-torsional buckling critical moment of doubly symmetric tubular flange composite beams are shown in Figure 9.
From Figure 9, it is clear that the elastic lateral-torsional buckling critical moment of doubly symmetric tubular flange composite beams increases marginally with the increase of concrete strength. The elastic modulus of C40, C50, and C60 concrete are 3.25 × 104 MPa, 3.45 × 104 MPa, and 3.60 × 104 MPa, respectively. Since the elastic lateral-torsional analysis of beam is carried out in this paper, the impact of concrete on beam is mainly reflected in the change of its elastic modulus. When the concrete strength grade increases from C40 to C60, the change of elastic modulus is very small, so the change of concrete strength grade has little effect on the critical moment.

5.2. Effect of Span

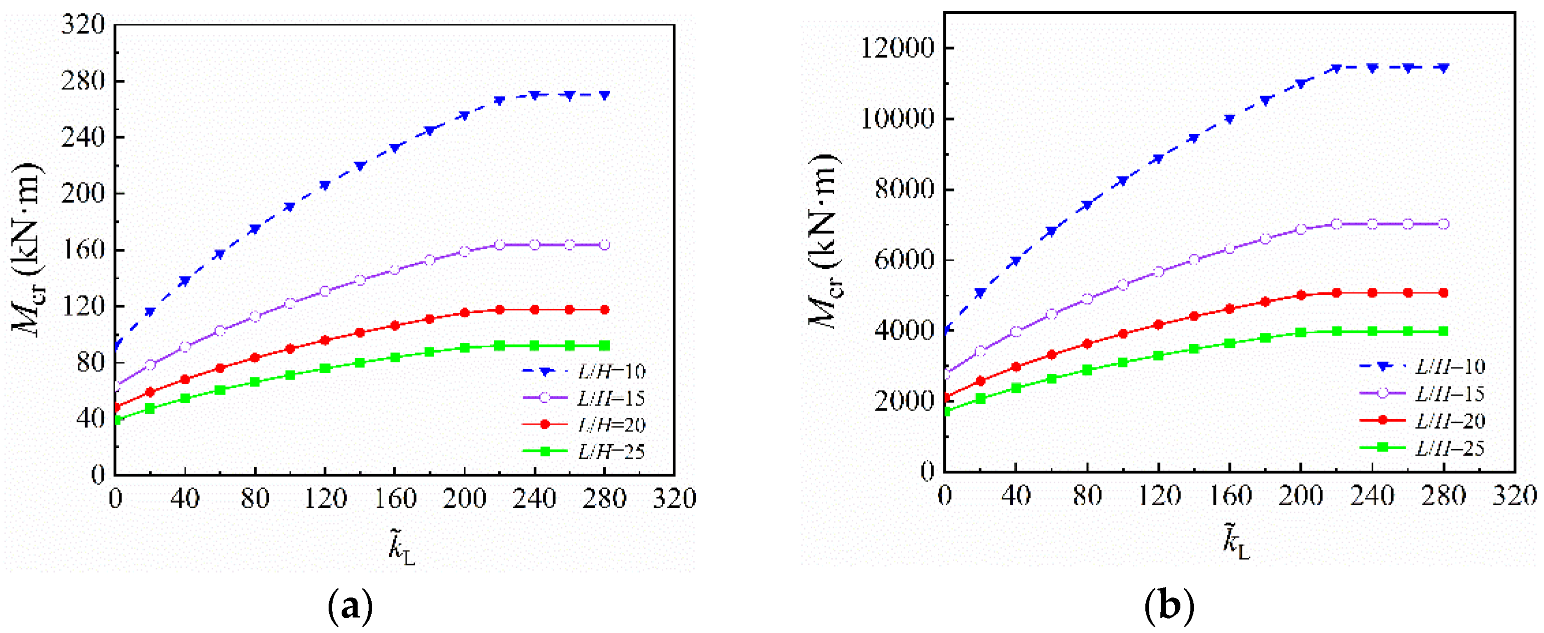
The effect of span-depth ratio on elastic lateral-torsional buckling critical moment of doubly symmetric tubular flange composite beams is studied. The span-depth ratios are shown in Table 7. The yield strength of steel is 345 MPa and the concrete strength grade is C40. The calculation results of critical moment are shown in Figure 10.
From Figure 10, it is clear that the critical moment decreases substantially with the increase of span-depth ratio. When the span-depth ratio increases from 10 to 25, the critical moment decreases range from 34.8% to 68.8%. It indicates that the effect of span-depth ratio on critical moment is significant.

5.3. Effect of Steel Ratio of Flange

The steel ratio of flange can be adjusted by changing the thickness of the steel tube (denoted by symbol α here, α is Afs/Afc), and the values are shown in Table 8. In the analysis, the yield strength of steel is 345 MPa and the strength grade of concrete is C40, and other parameters are unchanged. The calculation results of critical moment are shown in Figure 11.
From Figure 11, it is clear that the critical moment increases significantly with the increase of steel ratio of flange. When the steel ratio of flange increases from 23.6% to 57.3%, the critical moment increases range from 14.8% to 53.4%. It indicates that the effect of steel ratio of flange on critical moment is remarkable.

5.4. Effect of Height-Thickness Ratio of Web

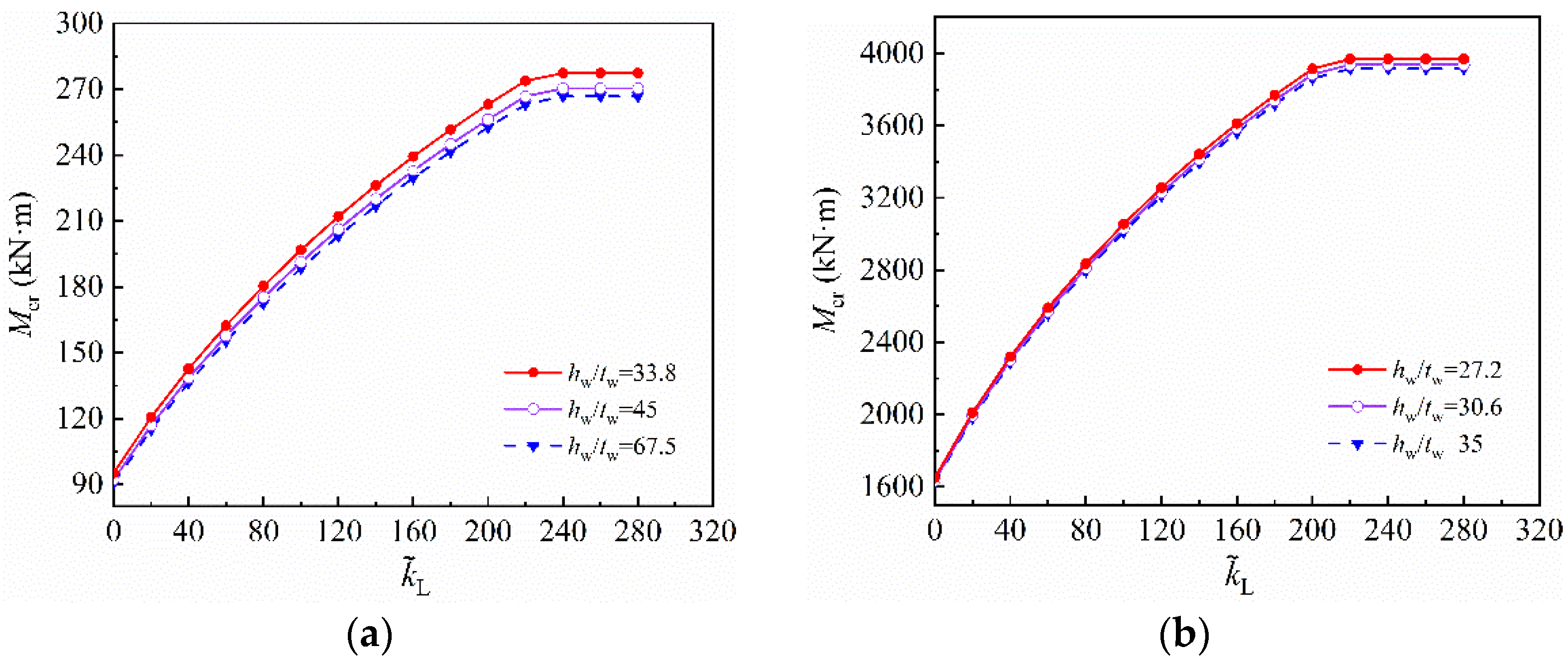
By changing the thickness of web to adjust the height-thickness ratio of web, the values are shown in Table 9. The yield strength of steel is 345 MPa, the strength grade of concrete is C40, and other parameters are unchanged. The calculation results of critical moment are shown in Figure 12.
From Figure 12, it is clear that the critical moment increases slightly with the decrease of the height-thickness ratio of web. When the height-thickness ratio of web increases from 27.2% to 67.5%, the critical moment decreases range from 1.3% to 5.1%. This indicates that the effect of height-thickness ratio of web on critical moment is weak.

6. Conclusions

This paper focuses on the elastic lateral-torsional buckling for doubly symmetric tubular flange composite beams with lateral bracing under concentrated load. Theoretical and numerical simulation studies are carried out and the following conclusions are obtained:
(1) By establishing the total potential energy equation and introducing dimensionless parameters, the analytical solution of the critical moment of doubly symmetric tubular flange composite beams with lateral bracing under concentrated load is obtained.
(2) Considering the multiple parameters, the dimensionless critical moment calculation formula of doubly symmetric tubular flange composite beams with lateral bracing is fitted by 1stOpt software, and the accuracy is verified by finite element analysis. This provides a simple method for predicting and analyzing stability behavior of doubly symmetric tubular flange composite beams with lateral bracing.
(3) The calculation formula of dimensionless threshold stiffness k ˜ LT is given in this paper. When k ˜ L < k ˜ LT , the critical moment rises noticeably with increasing lateral bracing stiffness. When the lateral bracing stiffness reaches the threshold stiffness, the critical moment tends to be stable, and it is 63% higher than the critical moment of tubular flange composite beams without lateral bracing. It proves that lateral bracing is beneficial to the overall stability of doubly symmetric tubular flange composite beams.
(4) The increase in concrete strength and web height-thickness ratio has a weaker effect on the critical moment. However, span-depth ratio and flange steel ratio exhibit the significant effect on the critical moment. The results can provide a reference for improving the stability of doubly symmetric tubular flange composite beams with lateral bracing.

Author Contributions

Conceptualization, Y.L. (Yingchun Liu); Formal analysis, W.Z.; Methodology, Y.L. (Yingchun Liu) and W.Z.; Software, Z.H., Y.L. (Yuchen Liu), Z.W. and R.W.; Validation, J.J. and Y.L. (Yuchen Liu); Writing—original draft, Y.L. (Yingchun Liu) and Z.H.; Writing—review & editing, J.J., R.W., K.Y. and Z.Z. All authors have read and agreed to the published version of the manuscript.

Funding

The authors are grateful for the financial support received from the National Natural Science Foundation of China (52178143 and 51578120); The Natural Science Foundation of Heilongjiang Province, grant number LH2020E018; 2021 Social Science Development Research Project of Hebei Province grant number 20210301135; Humanities and Social Science Research Project of Higher Education institutions of Hebei Province, grant number SQ2021115; The Northeast Petroleum University Guided Innovation Fund, grant number 2020YDL-02.

Institutional Review Board Statement

Not applicable.

Informed Consent Statement

Not applicable.

Data Availability Statement

The data used to support the findings of this study are available from the corresponding author upon request.

Conflicts of Interest

The authors declare no conflict of interest.

References

  1. Smith, A. Design of HPS Bridge Birders with Tubular Flanges. Master’s Thesis, Lehigh University, Bethlehem, PA, USA, 2001. [Google Scholar]
  2. Malikan, M.; Krasheninnikov, M.; Eremeyev, V.A. Torsional stability capacity of a nano-composite shell based on a nonlocal strain gradient shell model under a three-dimensional magnetic field. Int. J. Eng. Sci. 2020, 148, 103210. [Google Scholar] [CrossRef]
  3. Malikan, M.; Eremeyev, V.A.; Żur, K.K. Effect of Axial Porosities on Flexomagnetic Response of In-Plane Compressed Piezomagnetic Nanobeams. Symmetry 2020, 12, 1935. [Google Scholar] [CrossRef]
  4. Anapayan, T.; Mahendran, M. Numerical Modelling and Design of Litesteel Beams Subject to Lateral Buckling. J. Constr. Steel. Res. 2012, 70, 51–64. [Google Scholar] [CrossRef] [Green Version]
  5. Anapayan, T.; Mahendran, M. Improving the moment capacities of hollow flange cold-formed Litesteel Beams using web stiffeners. In Proceedings of the Rehabilitation and Restoration of Structures: Proceedings of an International Conference held at the Indian Institute of Technology Madras, Chennai, India, 13–16 February 2013; pp. 423–434. [Google Scholar]
  6. Kim, B.G.; Sause, R. High performance steel girders with tubular flanges. Int. J. Steel. Struct. 2005, 5, 253–263. [Google Scholar]
  7. Sause, R.; Kim, B.G.; Wimer, M.R. Experimental study of tubular flange girders. J. Struct. Eng. 2008, 134, 384–392. [Google Scholar] [CrossRef]
  8. Sause, R. Innovative steel bridge girders with tubular flanges. Struct. Infrastruct. E 2015, 11, 450–465. [Google Scholar] [CrossRef]
  9. Cho, B.H.; Lee, J.S.; Kim, Y.H.; Kim, D.J.; Hsieh, W.H. Flexural Capacity of a New Composite Beam with Concrete-Infilled Tubular Lower Flange. Appl. Sci. 2017, 7, 57. [Google Scholar] [CrossRef] [Green Version]
  10. Rana, A.D.; Katherine, C.A. Design and analysis of concrete-filled tubular flange girders under combined loading. Adv. Struct. Eng. 2021, 24, 2512–2528. [Google Scholar]
  11. Yan, X.J. Experimental Investigation of Bending Behavior for Steel and High Performance Concrete Composite Girders with Concrete Filled Rectangular Up-Flanges. Master’s Thesis, Chang’an University, Xi’an, China, 2009. [Google Scholar]
  12. Ren, Y.W. Experimental and Theoretical Investigation of Bending Behavior for Rectangular Steel Tubular Flanges Beams. Master’s Thesis, Northeast Petroleum University, Daqing, China, 2015. [Google Scholar]
  13. Liang, W.F. Experimental Research on Global Stability Behavior of I-Beams with Top Flange of Rectangular Concrete-Filled Steel Tube. Master’s Thesis, Northeast Petroleum University, Daqing, China, 2016. [Google Scholar]
  14. Zhang, W.F. Out-of-Plane Stability Theory of Steel Structures, 1st ed.; Wuhan University of Technology Press: Wuhan, China, 2018. [Google Scholar]
  15. Chen, K.S. Theoretical Research on Combined Torsion and Flexural-Torsional Buckling of the I-Shaped Beams with Concrete-Filled Steel Tubular Flange Based on the Plate-Beam Theory. Master’s Thesis, Northeast Petroleum University, Daqing, China, 2017. [Google Scholar]
  16. Wang, C.S.; Zhu, J.W.; Zhai, X.L.; Wang, X.P.; Liu, H. Flexural behavior experiment of steel and concrete composite girder with double tubular flanges. China J. Highw. Transp. 2017, 30, 147–158. [Google Scholar]
  17. Gao, F.; Yang, F.; Zhu, H.P.; Liang, H.J. Lateral-torsional Buckling Behavior of Concrete-filled High-strength Steel Tubular Flange Beams under Mid-span Load. J. Constr. Steel. Res. 2021, 176, 1–15. [Google Scholar] [CrossRef]
  18. Taylor, A.C.; Ojalvo, M. Torsional restraint of lateral buckling. J. Struct. Div-ASCE 1966, 92, 115–129. [Google Scholar] [CrossRef]
  19. Tong, G.S.; Cheng, S.F. Buckling of laterally and torsional braced beams. J. Constr. Steel. Res. 1988, 11, 41–55. [Google Scholar]
  20. Wu, Y.J. The Effect to Stability of Steel Members by Bracing Location. Master’s Thesis, Hehai University, Nanjing, China, 2005. [Google Scholar]
  21. Zou, H.Z. Research on the Influence of Lateral Supporting Conditions on the Overall Stability Carrying Capacity of Steel Beams. Master’s Thesis, Hunan University, Changsha, China, 2011. [Google Scholar]
  22. Zhang, W.F.; Sui, H.Y.; Wang, Z. Buckling Analysis of Two-Span Continuous Beams with Lateral Elastic Brace under Uniform Load. Adv. Mat. Res. 2011, 1067, 641–645. [Google Scholar] [CrossRef]
  23. Zhang, W.F.; Liu, Y.C.; Hou, G.L. Lateral-torsional buckling analysis of cantilever beam with tip lateral elastic brace under uniform and concentrated load. Int. J. Steel. Struct. 2016, 16, 1161–1173. [Google Scholar] [CrossRef]
  24. Deng, S.L. Research on Overall Stability Behavior of Concrete-Filled Rectangular Tubular Flange I-Shaped Beam with Elastic Bracing. Master’s Thesis, Northeast Petroleum University, Daqing, China, 2018. [Google Scholar]
  25. Tong, G.S. Out-Plane Stability of Steel Structures, 1st ed.; China Architecture & Building Press: Beijing, China, 2006. [Google Scholar]
  26. Chen, J. Stability of Steel Theory and Design, 6th ed.; Beijing Science Press: Beijing, China, 2014. [Google Scholar]
  27. Achref, H.; Foudil, M.; Cherif, B. Higher buckling and lateral buckling strength of unrestrained and braced thin-walled beams: Analytical, numerical and design approach applications. J. Constr. Steel. Res. 2019, 155, 1–19. [Google Scholar] [CrossRef]
  28. Zhang, W.F.; Liu, Y.C.; Chen, K.S. Dimensionless analytical solution and new design formula for lateral-torsional buckling of I-beams under linear distributed moment via linear stability theory. Math. Probl. Eng. 2017, 2007, 4838613. [Google Scholar] [CrossRef] [Green Version]
  29. Zhang, W.F.; Hang, Z.M.; Liu, Y.C.; Zhao, W.Y.; Yan, W.; Hua, J.K. Study on the exact solution for critical flexural torsional buckling moments of fixed beams under combined action of uniform load and concentrated load. Struct. Eng. 2021, 37, 33–41. [Google Scholar]
  30. Dietrich, M.Z.; Calenzani, A.F.G.; Fakury, R.H. Analysis of rotational stiffness of steel-concrete composite beams for lateral-torsional buckling. Eng. Struct. 2019, 198, 109554. [Google Scholar] [CrossRef]
  31. 1stOpt User Manual, 7D Soft High Technology Inc., China, 2006. Available online: http://www.7d-soft.com/index.htm (accessed on 4 December 2021).
  32. Ma, Z.Y.; Wang, P.F.; Wu, Z.Q.; Wu, D.L.; Su, Y. A Method for Solving the Refractive Index Temperature Coefficient Empirical Formula Constants of Optical Glasses Based on 1stOpt. Acta Photon. Sin. 2017, 46, 616002. [Google Scholar]
  33. Liu, Y.C.; Hang, Z.M.; Zhang, W.F. Analytical solution for lateral-torsional buckling of concrete-filled tubular flange girders with torsional bracing. Adv. Civil Eng. 2020, 2020. [Google Scholar] [CrossRef]
  34. Wang, Y.M.; Shao, Y.B.; Chen, C. Prediction of flexural and shear yielding strength of short span I-girders with concrete-filled tubular flanges and corrugated web-II: Numerical simulation and theoretical analysis. Thin. Wall. Struct. 2020, 148, 106593. [Google Scholar] [CrossRef]
  35. Ji, J.; Xu, Z.C.; Jiang, L.Q.; Yuan, C.Q.; Zhang, Y.F.; Zhou, L.J.; Zhang, S.L. Nonlinear Buckling Analysis of H-Type Honeycombed Composite Column with Rectangular Concrete-Filled Steel Tube Flanges. Int. J. Steel. Struct. 2018, 18, 1153–1166. [Google Scholar] [CrossRef]
  36. Ji, J.; Xu, Z.C.; Jiang, L.Q.; Liu, Y.C.; Yu, D.Y.; Yang, M.M. Experimental study on compression behavior of H-shaped composite short column with rectangular CFST flanges and honeycombed steel web subjected to axial load. J. Build. Struct. 2019, 9, 63–73. [Google Scholar]
Figure 1. Calculation diagram of doubly symmetric tubular flange composite beams with lateral bracing under concentrated load.
Figure 1. Calculation diagram of doubly symmetric tubular flange composite beams with lateral bracing under concentrated load.
Symmetry 13 02328 g001
Figure 2. Section size and lateral-torsional buckling deformation diagram of doubly symmetric tubular flange composite beams: (a) Section size. (b) Lateral-torsional deformation.
Figure 2. Section size and lateral-torsional buckling deformation diagram of doubly symmetric tubular flange composite beams: (a) Section size. (b) Lateral-torsional deformation.
Symmetry 13 02328 g002
Figure 3. Relationship between dimensionless critical moment and dimensionless torsional stiffness.
Figure 3. Relationship between dimensionless critical moment and dimensionless torsional stiffness.
Symmetry 13 02328 g003
Figure 4. FEM of doubly symmetric tubular flange composite beam with lateral bracing.
Figure 4. FEM of doubly symmetric tubular flange composite beam with lateral bracing.
Symmetry 13 02328 g004
Figure 5. Rigid perimeter distributed along the beam: (a) Rigid region. (b) Master and slave node.
Figure 5. Rigid perimeter distributed along the beam: (a) Rigid region. (b) Master and slave node.
Symmetry 13 02328 g005
Figure 6. Boundary conditions: (a) Left end support. (b) Right end support.
Figure 6. Boundary conditions: (a) Left end support. (b) Right end support.
Symmetry 13 02328 g006
Figure 7. Critical moment comparison of doubly symmetric tubular flange composite beams with lateral bracing: (a) DSTFCB-1; (b) DSTFCB-2.
Figure 7. Critical moment comparison of doubly symmetric tubular flange composite beams with lateral bracing: (a) DSTFCB-1; (b) DSTFCB-2.
Symmetry 13 02328 g007
Figure 8. Buckling modes of doubly symmetric tubular flange composite beams with lateral bracing: (a) k ˜ L < k ˜ LT . (b) k ˜ L k ˜ LT .
Figure 8. Buckling modes of doubly symmetric tubular flange composite beams with lateral bracing: (a) k ˜ L < k ˜ LT . (b) k ˜ L k ˜ LT .
Symmetry 13 02328 g008
Figure 9. Effect of concrete strength on critical moments. (a) DSTFCB-1; (b) DSTFCB-2.
Figure 9. Effect of concrete strength on critical moments. (a) DSTFCB-1; (b) DSTFCB-2.
Symmetry 13 02328 g009
Figure 10. Effect of span-depth ratio on critical moments. (a) DSTFCB-1; (b) DSTFCB-2.
Figure 10. Effect of span-depth ratio on critical moments. (a) DSTFCB-1; (b) DSTFCB-2.
Symmetry 13 02328 g010
Figure 11. Effect of steel ratio of flange on critical moments. (a) DSTFCB-1; (b) DSTFCB-2.
Figure 11. Effect of steel ratio of flange on critical moments. (a) DSTFCB-1; (b) DSTFCB-2.
Symmetry 13 02328 g011
Figure 12. Effect of height-thickness ratio of web on critical moments. (a) DSTFCB-1; (b) DSTFCB-2.
Figure 12. Effect of height-thickness ratio of web on critical moments. (a) DSTFCB-1; (b) DSTFCB-2.
Symmetry 13 02328 g012
Table 1. The values of parameters of Equation (14).
Table 1. The values of parameters of Equation (14).
Parameterc1c2c3c4c5c6c7
Value0.9951.0600.7051.9941.983−0.735−0.080
Table 2. The values of parameters of Equation (15).
Table 2. The values of parameters of Equation (15).
Parameterβ1β2β3β4
Value0.213−4.0861.1531.127
Table 3. The values of parameters of Equation (16).
Table 3. The values of parameters of Equation (16).
Parameterβ1Tβ2Tβ3Tβ4Tβ5T
Value0.073−26.07317.6198.096−41.472
Table 4. The values of parameters of Equation (17).
Table 4. The values of parameters of Equation (17).
Parameterγ1γ2γ3γ4γ5
Value−0.2181.7012.014−0.2181.285
Table 5. Geometrical dimensions.
Table 5. Geometrical dimensions.
ParameterL (mm)H (mm)bf (mm)Tf (mm)T (mm)hw (mm)tw (mm)
DSTFCB-13300330603042706
DSTFCB-213,8006901801001249014
Table 6. Comparison of critical moments of doubly symmetric tubular flange composite beams with lateral bracing.
Table 6. Comparison of critical moments of doubly symmetric tubular flange composite beams with lateral bracing.
DSTFCB-1DSTFCB-2
k ˜ L Mcr (FEM) (kN·m)Mcr (Equation (14)) (kN·m)Relative Error (%) k ˜ L Mcr (FEM) (kN·m)Mcr (Equation (14)) (kN·m)Relative Error (%)
090891.11020182113−4.71
201161132.592024552578−5.01
401381352.174028542970−4.06
601571541.916031973319−3.82
801741721.158034993631−3.77
1001891880.5310037673912−3.85
1202032020.4912040094167−3.94
140214215−0.4714042264402−4.16
160226228−0.8816044244620−4.43
180236239−1.2718046044822−4.74
200245250−2.0420047685002−4.91
220254260−2.3622049185101−3.72
240261266−1.9224050565119−1.25
260263268−1.9026051025136−0.67
280266269−1.1328051215152−0.61
300267271−1.5030051475167−0.39
Note. The error is calculated by the formula ( M cr ( FEM ) M cr ( Equation ( 14 ) ) ) × 100 % / M cr ( FEM ) .
Table 7. Span-depth ratios of DSTFCB-1 and DSTFCB-2.
Table 7. Span-depth ratios of DSTFCB-1 and DSTFCB-2.
ParameterDSTFCB-1DSTFCB-2
Span L(m)3.34.956.68.256.910.3513.817.25
span-depth ratio (L/H)1015202510152025
Table 8. Steel ratios of flange of DSTFCB-1 and DSTFCB-2.
Table 8. Steel ratios of flange of DSTFCB-1 and DSTFCB-2.
ParameterDSTFCB-1DSTFCB-2
Steel tube thickness (mm)23481012
Steel content α (%)23.638.957.330.740.651.8
Table 9. Height-thickness ratios of web of DSTFCB-1 and DSTFCB-2.
Table 9. Height-thickness ratios of web of DSTFCB-1 and DSTFCB-2.
ParameterDSTFCB-1DSTFCB-2
Thickness of web (mm)46881418
Height-thickness ratio67.54533.7561.253527.2
Publisher’s Note: MDPI stays neutral with regard to jurisdictional claims in published maps and institutional affiliations.

Share and Cite

MDPI and ACS Style

Liu, Y.; He, Z.; Zhang, W.; Ji, J.; Liu, Y.; Wang, Z.; Wang, R.; Yang, K.; Zhang, Z. Lateral-Torsional Buckling Analysis for Doubly Symmetric Tubular Flange Composite Beams with Lateral Bracing under Concentrated Load. Symmetry 2021, 13, 2328. https://doi.org/10.3390/sym13122328

AMA Style

Liu Y, He Z, Zhang W, Ji J, Liu Y, Wang Z, Wang R, Yang K, Zhang Z. Lateral-Torsional Buckling Analysis for Doubly Symmetric Tubular Flange Composite Beams with Lateral Bracing under Concentrated Load. Symmetry. 2021; 13(12):2328. https://doi.org/10.3390/sym13122328

Chicago/Turabian Style

Liu, Yingchun, Ziwen He, Wenfu Zhang, Jing Ji, Yuchen Liu, Zizhen Wang, Ruili Wang, Kailin Yang, and Zhichao Zhang. 2021. "Lateral-Torsional Buckling Analysis for Doubly Symmetric Tubular Flange Composite Beams with Lateral Bracing under Concentrated Load" Symmetry 13, no. 12: 2328. https://doi.org/10.3390/sym13122328

APA Style

Liu, Y., He, Z., Zhang, W., Ji, J., Liu, Y., Wang, Z., Wang, R., Yang, K., & Zhang, Z. (2021). Lateral-Torsional Buckling Analysis for Doubly Symmetric Tubular Flange Composite Beams with Lateral Bracing under Concentrated Load. Symmetry, 13(12), 2328. https://doi.org/10.3390/sym13122328

Note that from the first issue of 2016, this journal uses article numbers instead of page numbers. See further details here.

Article Metrics

Back to TopTop