The Synchronization Behaviors of Coupled Fractional-Order Neuronal Networks under Electromagnetic Radiation
Abstract
:1. Introduction
1.1. Literature Review
1.2. Description of Each Section
2. Model Description
3. Synchronization Behavior of Two Fractional-Order Coupled Neuronal Models under Electromagnetic Radiation
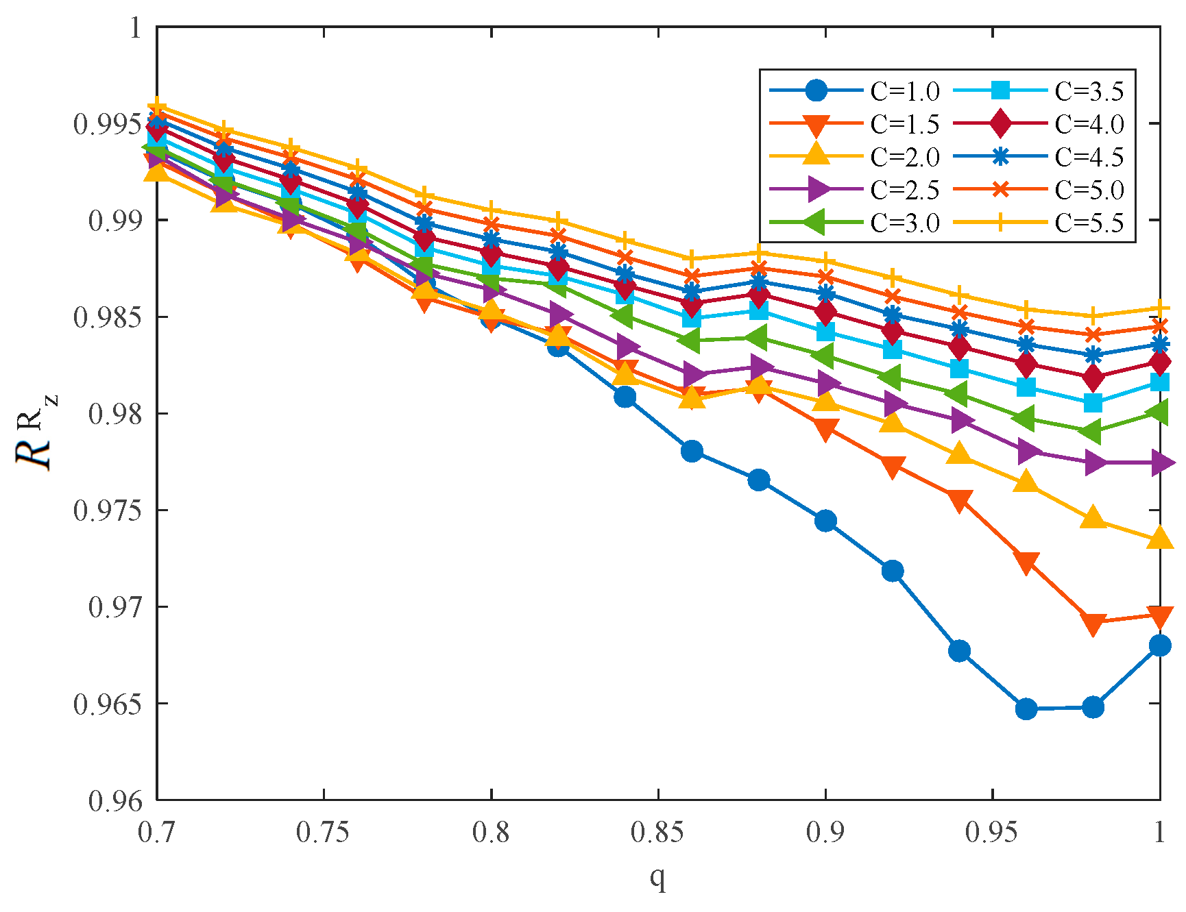
3.1. Effect of Fractional-Order and Coupling Strength on the Synchronization under Electromagnetic Radiation
3.2. Effect of the Parameter and the Coupling Strength on the Synchronization under Different Fractional Order
4. Synchronization Behavior of Fractional-Order Neuronal Ring Networks under Electromagnetic Radiation
4.1. Fractional-Order Neuronal Ring Network without Electromagnetic Radiation
4.2. Fractional-Order Neuronal Network under Electromagnetic Radiation
4.2.1. Synchronization Behavior of the Neuronal Network When
4.2.2. Synchronization Behavior of the Neuronal Network When
4.2.3. Synchronization Behavior of the Neuronal Network When
5. Conclusions
- (1)
- For the two coupled neuronal models under electromagnetic radiation:
- (a)
- With increasing fractional-order, the synchronous threshold of the coupling strength fluctuates first, then increases and finally decreases (in [34] (without electromagnetic radiation), the threshold of coupling strength only increases first and then decreases with increasing fractional-order).
- (b)
- The synchronization transitions of the coupled fractional-order neuronal models, which contain bursting synchronization, perfect synchronization, and phase synchronization, are observed when the fractional-order or parameter changes.
- (c)
- In addition, when the two coupled neuronal models are in perfect synchronization, the transition of perfect chaotic synchronization and perfect periodic synchronization is observed when changing the fractional order or parameter . From the ISI bifurcation diagram in Figure 12, when , the system has more diverse synchronization modes, which are perfect chaotic synchronization, perfect periodic-6 synchronization, perfect periodic-4 synchronization, perfect periodic-3 synchronization, and perfect periodic-2 synchronization when the value of is different. However, when , only perfect periodic-2 → spiking synchronization occurs with increasing . Compared with [28], more diverse synchronization behaviors and synchronization transition induced by fractional order and other parameters were found, like the synchronization transition of phase synchronization, perfect synchronization and bursting synchronization, and our work shows more details of the synchronization behaviors of coupled fractional-order neuronal networks under electromagnetic radiation.
- (2)
- For the ring network constructed by fractional-order HR models without electromagnetic radiation:
- (3)
- For the same ring network under electromagnetic radiation.
- Different from the results of [37] in which only the parameter changes the firing activities of neuronal models in the network, this paper focuses on the influence of the parameters , and fractional-order on the synchronization behaviors and synchronization transitions. Obviously different from the integer-order neuronal network and the fractional-order neuronal network without electromagnetic radiation, the fractional orders cannot change the firing activity of a single neuronal model in the fractional-order neuronal network with electromagnetic radiation. However, can influence the synchronization degree of ring fractional-order neuronal networks.
- (a)
- When , the synchronization degree decreases with increasing fractional-order. The parameter can induce the synchronization transition of perfect periodic-10 synchronization, perfect periodic-7 synchronization, perfect periodic-5 synchronization, and perfect periodic-4 synchronization.
- (b)
- When , it is difficult for the network to reach synchronization, and the fractional order has difficulty changing the synchronization degree.
- (c)
- In particular, when , the network has a sudden transition of asynchronization and perfect synchronization. The synchronization factor goes suddenly from 0.1 to 1. The larger the fractional order is, the larger the range of asynchronization is. The synchronization degree increases with increasing .
Author Contributions
Funding
Institutional Review Board Statement
Informed Consent Statement
Data Availability Statement
Conflicts of Interest
References
- Hodgkin, A.L.; Huxley, A.F. A quantitative description of membrane current and its application to conduction and excitation in nerve. J. Physiol. 1952, 117, 500–544. [Google Scholar] [CrossRef] [PubMed]
- FitzHugh, R. Impulses and physiological states in theoretical models of nerve membrane. Biophys. J. 1961, 1, 445–466. [Google Scholar] [CrossRef] [Green Version]
- Morris, C.; Lecar, H. Voltage oscillations in the barnacle giant muscle fiber. Biophys. J. 1981, 35, 193–213. [Google Scholar] [CrossRef] [Green Version]
- Hindmarsh, J.L.; Rose, R.M. A model of neuronal bursting using three coupled first order differential equations. Soc. Lond. B Biol. 1984, 221, 87–102. [Google Scholar]
- Levy, R.; Hutchison, W.D.; Lozano, A.M.; Dostrovsky, J.O. High-frequency synchronization of neuronal activity in the subthalamic nucleus of Parkinsonian Patients with Limb Tremor. J. Neurosci. 2000, 20, 7766–7775. [Google Scholar] [CrossRef] [Green Version]
- Ayala, G.F.; Dichter, M.R.; Gumnit, J.; Matsumoto, H.; Spencer, W.A. Genesis of epileptic interictal spikes. New knowledge of cortical feedback systems suggests a neurophysiological explanation of brief paroxysms. Brain Res. 1973, 52, 1–17. [Google Scholar] [CrossRef]
- Wang, Q.Y.; Lu, Q.S.; Wang, H.X. Transition to complete synchronization via near-synchronization in two coupled chaotic neurons. Chin. Phys. 2005, 14, 2189–2195. [Google Scholar]
- Wang, Q.Y.; Duan, Z.S.; Perc, M.; Chen, G.R. Synchronization transitions on small-world neuronal networks: Effects of information transmission delay and rewiring probability. Europhys. Lett. 2008, 83, 4404–4410. [Google Scholar] [CrossRef] [Green Version]
- Xu, F.; Zhang, J.; Fang, T. Synchronous dynamics in neural system coupled with memristive synapse. Nonlinear Dyn. 2018, 92, 1395–1402. [Google Scholar] [CrossRef]
- Ma, J.; Mi, L.; Zhou, P.; Xu, Y.; Hayat, T. Phase synchronization between two neurons induced by coupling of electromagnetic field. Appl. Math. Comput. 2017, 307, 321–328. [Google Scholar] [CrossRef]
- Parastesh, F.; Azarnoush, H.; Jafari, S.; Hatef, B.; Perc, M.; Repnik, R. Synchronizability of two neurons with switching in the coupling. Appl. Math. Comput. 2019, 350, 217–223. [Google Scholar] [CrossRef]
- Bandyopadhyay, A.; Kar, S. Impact of network structure on synchronization of Hindmarsh–Rose neurons coupled in structured network. Appl. Math. Comput. 2018, 333, 194–212. [Google Scholar] [CrossRef]
- Parastesh, F.; Chen, C.Y.; Azarnoush, H.; Jafari, S.; Hatef, B. Synchronization patterns in a blinking multilayer neuronal network. Eur. Phys. J. Spec. Top. 2019, 228, 2465–2474. [Google Scholar] [CrossRef]
- Budzinski, R.C.; Boaretto, B.R.R.; Prado, T.L.; Viana, R.L.; Lopes, S.R. Synchronous patterns and intermittency in a network induced by the rewiring of connections and coupling. Chaos 2019, 29, 123132. [Google Scholar] [CrossRef] [PubMed]
- Perez, T.; Garcia, G.C.; Eguiluz, V.M.; Vicente, R.; Pipa, G.; Mirasso, C. Effect of the Topology and Delayed Interactions in Neuronal Networks Synchronization. PLoS ONE 2011, 6, e19900. [Google Scholar] [CrossRef] [Green Version]
- Sun, X.J.; Perc, M.; Kurths, J. Effects of partial time delays on phase synchronization in Watts-Strogatz small-world neuronal networks. Chaos 2017, 27, 053113. [Google Scholar] [CrossRef] [PubMed]
- Sun, X.J.; Li, G.F. Synchronization transitions induced by partial time delay in an excitatory-inhibitory coupled neuronal network. Nonlinear Dyn. 2017, 89, 2509–2520. [Google Scholar] [CrossRef]
- Bao, B.C.; Yang, Q.F.; Zhu, D.; Zhang, Y.Z.; Xu, Q.; Chen, M. Initial-induced coexisting and synchronous firing activities in memristor synapse-coupled Morris-Lecar bi-neuron network. Nonlinear Dyn. 2020, 99, 2339–2354. [Google Scholar] [CrossRef]
- He, S.; Natiq, H.; Banerjee, S.; Sun, K. Complexity and Chimera States in a Network of Fractional-Order Laser Systems. Symmetry 2021, 13, 341. [Google Scholar] [CrossRef]
- Ge, M.Y.; Jia, Y.; Xu, Y.; Lu, L.L.; Wang, H.W.; Zhao, Y.J. Wave propagation and synchronization induced by chemical autapse in chain Hindmarsh-Rose neural network. Appl. Math. Comput. 2019, 352, 136–145. [Google Scholar] [CrossRef]
- Shi, J.C.; Luo, M.; Huang, C.S. Dependence of synchronization transitions on mean field approach in two-way coupled neural system. Indian J. Phys. 2018, 92, 1009–1016. [Google Scholar] [CrossRef]
- Ge, M.Y.; Jia, Y.; Kirunda, J.B.; Xu, Y.; Shen, J.; Lu, L.L. Propagation of firing rate by synchronization in a feed-forward multilayer Hindmarsh-Rose neural network. Neurocomputing 2018, 320, 60–68. [Google Scholar] [CrossRef]
- Gopal, R.; Chandrasekar, V.K.; Venkatesan, A.; Lakshmanan, M. Observation and characterization of chimera states in coupled dynamical systems with nonlocal coupling. Phys. Rev. E 2014, 89, 052914. [Google Scholar] [CrossRef] [PubMed] [Green Version]
- Kim, S.Y.; Lim, W. Burst synchronization in a scale-free neuronal network with inhibitory spike-timing-dependent plasticity. Cogn. Neurodyn. 2019, 13, 53–73. [Google Scholar] [CrossRef] [PubMed]
- Dong, J.; Zhang, G.J.; Xie, Y.; Yao, H.; Wang, J. Dynamic behavior analysis of fractional-order Hindmarsh-Rose neuronal model. Cogn. Neurodyn. 2014, 8, 167–175. [Google Scholar]
- Giresse, T.A.; Crepin, K.T.; Martin, T. Generalized synchronization of the extended Hindmarsh-Rose neuronal model with fractional order derivative. Chaos Soliton. Fract. 2019, 118, 311–319. [Google Scholar] [CrossRef]
- Meng, F.Q.; Zeng, X.Q.; Wang, Z.L.; Wang, X.J. Adaptive Synchronization of Fractional-Order Coupled Neurons Under Electromagnetic Radiation. Int. J. Bifurcat. Chaos 2020, 30, 2050044. [Google Scholar] [CrossRef]
- Meng, F.Q.; Zeng, X.Q.; Wang, Z.L. Dynamical behavior and synchronization in time-delay fractional-order coupled neurons under electromagnetic radiation. Nonlinear Dyn. 2019, 95, 1615–1625. [Google Scholar] [CrossRef]
- Lundstrom, B.N.; Higgs, M.H.; Spain, W.J. Fractional differentiation by neocortical pyramidal neurons. Nat. Neurosci. 2008, 1, 1335–1342. [Google Scholar] [CrossRef]
- Wang, Z.; Huang, X.; Shi, G.D. Analysis of nonlinear dynamics and chaos in a fractional order financial system with time delay. Comput. Math. Appl. 2011, 62, 1531–1539. [Google Scholar] [CrossRef] [Green Version]
- Fu, Y.X.; Kang, Y.M.; Chen, G. Stochastic Resonance Based Visual Perception Using Spiking Neural Networks. Front. Comput. Neurosci. 2020, 14, 24. [Google Scholar] [CrossRef] [PubMed]
- Anastasio, T.J. The fractional-order dynamics of brain-stem vestibulooculomotor neurons. Biol. Cybern. 1994, 72, 69–79. [Google Scholar] [CrossRef]
- Rajagopal, K.; Hasanzadeh, N.; Parastesh, F.; Hamarash, I.I.; Jafari, S.; Hussain, I. A fractional-order model for the novel coronavirus (COVID-19) outbreak. Nonlinear Dyn. 2020, 101, 711–718. [Google Scholar] [CrossRef]
- Li, R. Chaotic Synchronization of a Class of Fractional Order System; Air Force Engineering University: Xi’an, China, 2014. [Google Scholar]
- Mi, L.; Jun, M. Multiple modes of electrical activities in a new neuron model under electromagnetic radiation. Neurocomputing 2016, 205, 30289. [Google Scholar]
- Mi, L.; Wang, C.; Ren, G. Model of electrical activity in a neuron under magnetic flow effect. Nonlinear Dyn. 2016, 85, 1479–1490. [Google Scholar]
- Etémé, A.S.; Tabi, A. Mohamadou. Firing and synchronization modes in neural network under magnetic stimulation. Commun. Nonlinear Sci. 2019, 72, 432–440. [Google Scholar] [CrossRef]
- Bao, H.; Zhang, Y.; Liu, W.; Bao, B. Memristor synapse-coupled memristive neuron network: Synchronization transition and occurrence of chimera. Nonlinear Dyn. 2020, 100, 937–950. [Google Scholar] [CrossRef]
- Yi, G.S.; Wang, J.; Tsang, K.M. Spike-frequency adaptation of a two-compartment neuron modulated by extracellular electric fields. Biol. Cybern. 2015, 109, 287–306. [Google Scholar] [CrossRef] [PubMed]
- Yi, G.S.; Wang, J.; Tsang, K.M. Spiking patterns of a minimal neuron to ELF sinusoidal electric field. Appl. Math. Model. 2012, 36, 3673–3684. [Google Scholar] [CrossRef]
- Gu, H.G.; Pan, B.B. A four-dimensional neuronal model to describe the complex nonlinear dynamics observed in the firing patterns of a sciatic nerve chronic constriction injury model. Nonlinear Dyn. 2015, 81, 2107–2126. [Google Scholar] [CrossRef]
- Gu, H.G.; Xi, L.; Jia, B. Identification of a stochastic neural firing rhythm lying in period-adding bifurcation and resembling chaos. Acta Phys. Sin. 2012, 61, 080504. [Google Scholar]
- Wu, X.B.; Mo, J.; Yang, M.H. Two different bifurcation scenarios in neural firing rhythms discovered in biological experiments by adjusting two parameters. Chin. Phys. Lett. 2008, 25, 2799–2803. [Google Scholar]
- Gu, H.G.; Jia, B.; Chen, G.R. Experimental evidence of a chaotic region in a neural pacemaker. Phys. Lett. A 2013, 377, 718–720. [Google Scholar] [CrossRef]
- Gu, H.G.; Pan, B.B.; Chen, G.R. Biological experimental demonstration of bifurcations from bursting to spiking predicted by theoretical models. Nonlinear Dyn. 2014, 78, 391–407. [Google Scholar] [CrossRef]
- Fang, T.T.; Zhang, J.Q.; Huang, S.F.; Xu, F.; Wang, M.S.; Yang, H. Synchronous behavior among different regions of the neural system induced by electromagnetic radiation. Nonlinear Dyn. 2019, 98, 1267–1274. [Google Scholar] [CrossRef]
- Ma, J.; Wu, F.; Wang, C. Synchronization behaviors of coupled neurons under electromagnetic radiation. Int. J. Mod. Phys. B 2017, 31, 1650251. [Google Scholar] [CrossRef]
- Etémé, A.S.; Tabi, C.; Mohamadou, B.A.; Kofané, T.C. Long-range memory effects in a magnetized Hindmarsh-Rose neural network. Commun. Nonlinear Sci. 2020, 84, 3042. [Google Scholar] [CrossRef]
- Diethelm, K.; Ford, N.J.; Freed, A.D. A predictor-corrector approach for the numerical solution of fractional differential equations. Nonlinear Dyn. 2002, 29, 3–22. [Google Scholar] [CrossRef]
- Adomian, G. A Review of The Decomposition Method and Some Recent Results for Nonlinear Equations. Comput. Math. Appl. 1991, 21, 101–127. [Google Scholar] [CrossRef] [Green Version]
- He, S.; Sun, K.; Wang, H. Solution of the fractional-order chaotic system based on Adomian decomposition algorithm and its complexity analysis. Acta Phys. Sin. 2014, 63, 030502. [Google Scholar]
- Wu, H.; Zhang, X.; Xue, S.; Wang, L.; Wang, Y. LMI conditions to global Mittag-Leffler stability of fractional-order neural networks with impulses. Neurocomputing 2016, 193, 148–154. [Google Scholar] [CrossRef]
- Podlubny, I. Fractional Differential Equations; Academic Press: New York, NY, USA, 1999. [Google Scholar]
- Wang, F.; Yang, Y.Q.; Hu, A.H.; Xu, X.Y. Exponential synchronization of fractional-order complex networks via pinning impulsive control. Nonlinear Dyn. 2015, 82, 1979–1987. [Google Scholar] [CrossRef]
- Yong, Z.; Sun, X.; Yang, L.; Kurths, J. Phase synchronization dynamics of coupled neurons with coupling phase in the electromagnetic field. Nonlinear Dyn. 2018, 93, 1315–1324. [Google Scholar]

























Publisher’s Note: MDPI stays neutral with regard to jurisdictional claims in published maps and institutional affiliations. |
© 2021 by the authors. Licensee MDPI, Basel, Switzerland. This article is an open access article distributed under the terms and conditions of the Creative Commons Attribution (CC BY) license (https://creativecommons.org/licenses/by/4.0/).
Share and Cite
Yang, X.; Zhang, G.; Li, X.; Wang, D. The Synchronization Behaviors of Coupled Fractional-Order Neuronal Networks under Electromagnetic Radiation. Symmetry 2021, 13, 2204. https://doi.org/10.3390/sym13112204
Yang X, Zhang G, Li X, Wang D. The Synchronization Behaviors of Coupled Fractional-Order Neuronal Networks under Electromagnetic Radiation. Symmetry. 2021; 13(11):2204. https://doi.org/10.3390/sym13112204
Chicago/Turabian StyleYang, Xin, Guangjun Zhang, Xueren Li, and Dong Wang. 2021. "The Synchronization Behaviors of Coupled Fractional-Order Neuronal Networks under Electromagnetic Radiation" Symmetry 13, no. 11: 2204. https://doi.org/10.3390/sym13112204
APA StyleYang, X., Zhang, G., Li, X., & Wang, D. (2021). The Synchronization Behaviors of Coupled Fractional-Order Neuronal Networks under Electromagnetic Radiation. Symmetry, 13(11), 2204. https://doi.org/10.3390/sym13112204
