Next Article in Journal
A New Linear Regression Kalman Filter with Symmetric Samples
Next Article in Special Issue
Nonlocal Neumann Boundary Value Problem for Fractional Symmetric Hahn Integrodifference Equations
Previous Article in Journal
Preliminary Design and Experimental Study of a Steel-Batten Ribbed Cable Dome
Previous Article in Special Issue
A Note on Solitons with Generalized Geodesic Vector Field
 
 
Font Type:
Arial Georgia Verdana
Font Size:
Aa Aa Aa
Line Spacing:
Column Width:
Background:
Article

On a Conjecture for the One-Dimensional Perturbed Gelfand Problem for the Combustion Theory

1
The Institute of Applied Mathematics, Shandong University of Technology, Zibo 255000, China
2
Department of Mathematical and Digital Sciences, Bloomsburg University, Bloomsburg, PA 17815, USA
*
Author to whom correspondence should be addressed.
Symmetry 2021, 13(11), 2137; https://doi.org/10.3390/sym13112137
Submission received: 7 October 2021 / Revised: 2 November 2021 / Accepted: 4 November 2021 / Published: 10 November 2021
(This article belongs to the Special Issue Differential/Difference Equations and Its Application)

Abstract

We investigate the well-known one-dimensional perturbed Gelfand boundary value problem and approximate the values of α 0 , λ * and λ * such that this problem has a unique solution when 0 < α < α 0 and λ > 0 , and has three solutions when α > α 0 and λ * < λ < λ * . The solutions of this problem are always even functions due to its symmetric boundary values and autonomous characteristics. We use numerical computation to show that 4.0686722336 < α 0 < 4.0686722344 . This result improves the existing result for α 0 4.069 and increases the accuracy of α 0 to 10 8 . We developed an algorithm that reduces errors and increases efficiency in our computation. The interval of λ for this problem to have three solutions for given values of α is also computed with accuracy up to 10 14 .

1. Introduction

We study the well-known one-dimensional perturbed Gelfand two-point boundary value problem (BVP) [1,2]
u ( t ) + λ exp α u α + u = 0 , 1 < t < 1 u ( 1 ) = u ( 1 ) = 0 ( 1 )
where λ > 0 is the Frank-Kamenetskii parameter, or ignition parameter, α > 0 is the activation energy parameter, u ( t ) is the dimensionless temperature, and the reaction term exp a u a + u is the temperature dependence obeying the simple arrhenius reaction-rate law in irreversible chemical reaction kinetics. It has been a long-standing conjecture [3,4,5,6,7,8,9,10,11,12,13,14,15,16] about the shapes of evolutionary bifurcation curves and the exact multiplicity of positive solutions of (1) with α > 0 . In particular, Hastings and McLeod [3] proved the bifurcation curve is S-shaped on the ( λ , | | u | | ) plane when α is large enough. Therefore, for each λ > 0 , there exist at least two positive solutions when α is sufficiently large. Brown et al. [4] obtained a better result by finding an estimation of α > 4.25 . Wang [5] proved that BVP (1) has multiple solutions when α > 4.4967 . This upper bound was improved to 4.35 by Korman and Li [6]. The most recent result about this problem is from S. Y. Huang and S. H. Wang [8,9], proving that BVP (1) has three solutions when α > 4.069 . We prove that this problem has a unique solution for α < 4.0686722336 and has three solutions when α > 4.0686722344 . The interval of λ for BVP (1) to have three solutions for given α value is also computed with accuracy up to 10 14 .
It is well-known that the solutions of this problem are always even functions due to its symmetric boundary values and autonomous characteristics. Since the equation in (1) is a quasi-linear differential equation, we will find an implicit general solution of this problem first and apply the boundary values to it. Because u ( t ) < 0 is always true and u ( 1 ) = u ( 1 ) = 0 , u ( t ) has only one stagnation point that must be a maximum. For developing our algorithm, we first use this property and basic calculus techniques to convert BVP (1.1) to an integral equation.
Assuming that t 0 is the stagnation point for 1 < t 0 < 1 , we consider the following initial value problem
u ( t ) + λ exp α u ( t ) α + u ( t ) = 0 , u ( t 0 ) = C , u ( t 0 ) = 0 . ( 2 )
Integrating the equation in (2) once, we get the following integral equation
u 2 ( t ) + 2 λ t 0 t exp α u ( s ) α + u ( s ) u ( s ) d s = 0 ( 3 )
or
u 2 ( t ) = 2 λ C u ( t ) exp α v α + v d v > 0 . ( 4 )
Since u ( t 0 ) = C is the maximum, one has that u ( t ) 0 for 1 < t < t 0 and u ( t ) 0 for t 0 < t < 1 . Hence we can write (4) as follows:
u ( t ) = 2 λ u ( t ) C exp α v α + v d v , 1 < t < t 0 , 2 λ u ( t ) C exp α v α + v d v , t 0 < t < 1 . ( 5 )
Integrating (5) again, we get the implicit solution of (2) as follows:
t 0 t u ( t ) C exp α v α + v d v 1 / 2 u ( t ) d t = 2 λ ( t t 0 ) , 1 < t < t 0 2 λ ( t t 0 ) , t 0 < t < 1 ( 6 )
or
C u ( t ) w C exp α v α + v d v 1 / 2 d w = 2 λ ( t t 0 ) , 1 < t < t 0 2 λ ( t t 0 ) , t 0 < t < 1 . ( 7 )
Applying the boundary conditions of (1) to (7), we get
C 0 w C exp α v α + v d v 1 / 2 d w = 2 λ ( 1 t 0 ) , ( 8 )
and
C 0 w C exp α v α + v d v 1 / 2 d w = 2 λ ( 1 t 0 ) . ( 9 )
It follows (8) and (9) that t 0 = 0 and
C u ( t ) w C exp α v α + v d v 1 / 2 d w = 2 λ t , 1 < t < 0 , 2 λ t , 0 < t < 1 . ( 10 )
Hence, we have
0 C w C exp α v α + v d v 1 / 2 d w = 2 λ . ( 11 )
Equation (11) has a unique solution C for certain values of α and λ if and only if BVP (1) has a unique solution u ( t ) for the same values of α and λ . Furthermore, the number of solutions C to Equation (11) is corresponding to the number of solutions of BVP (1) for the given values of α and λ . In the following sections, we investigate the values of α 0 , λ * and λ * such that (11) has a unique solution when 0 < α < α 0 and λ > 0 , and has three solutions when α > α 0 and λ * < λ < λ * . In Section 2, we prove that BVP (1) has three solutions when α 4.06867225 for some values of λ and provide the graphical solutions for some values of α and λ . In Section 3, we prove that there is a positive number ϵ such that BVP (1) has a unique solution for all values of λ > 0 and α ( 0 , 4 + ϵ ) . Based on the results in Section 2 and Section 3, an α 0 must exist. We prove that α 0 is between 4.0686722336 and 4.0686722344 in Section 4. In Section 5, we calculate and draw a graph that displays a region of α and λ in which BVP (1) has three solutions. This region shows a clear relationship between α , λ * and λ * . We also draw the two corresponding solutions when λ 2 is exactly the maximum or minimum of H ( x , α ) . The article is concluded at Section 6.

2. Three Solutions of BVP (1), Their Graphical Representations and the Corresponding λ Interval when α 4 . 06867225

As we have explained in the previous section, we will work with Equation (11). All the calculations in this article use 32 bit precision.
Since numerical computation of double integrals is time-consuming and also causes large errors, we first convert the left-side of (11) into a single integral. In fact, this is a crucial move for this computation to be possible. Using power series expansion, we have
w C exp α v α + v d v = e a w C exp α 2 α + v d v = e a w C n = 0 ( 1 ) n α 2 n n ! ( a + v ) n d v = e α g ( w , C , α ) , ( 12 )
where
g ( w , x , α ) = x w α 2 ln a + x a + w + n = 2 ( 1 ) n 1 α 2 n ( n 1 ) n ! 1 ( a + x ) n 1 1 ( a + w ) n 1 ( 13 )
and
d d x g ( w , x , α ) = exp α 2 α + x = exp α exp α x α + x , d d w g ( w , x , α ) = exp α 2 α + w = exp α exp α w α + w . ( 14 )
Putting (12) into (11), we have
e α 2 0 C d w g ( w , C , α ) = 2 λ . ( 15 )
When w approaches C, the denominator of the integrand in (15) approaches 0, which causes very large error of the computation. To overcome this problem, we use (12) and integrate by parts to get
0 C 1 g ( w , C , α ) d w = 2 e a 0 C exp α w α + w d g ( w , C , α ) = 2 e a g ( 0 , C , α ) 2 α 2 e a 0 C exp α w α + w ( α + w ) 2 g ( w , C , α ) d w . ( 16 )
Putting (16) into (15), we have
H ( C , α ) = λ 2 , ( 17 )
where
H ( x , α ) = e α 2 g ( 0 , x , α ) α 2 e α 2 0 x e α 2 α + w g ( w , x , α ) ( α + w ) 2 d w . ( 18 )
It follows (11) that H ( x , α ) > 0 for x > 0 , lim x 0 H ( x , α ) = 0 and lim x H ( x , α ) = . Therefore, Equation (17) has at least one solution for any λ > 0 , and whether Equation (17) has multiple positive roots depends on the number of extreme values of H ( x , α ) and the value of λ . If H ( x , α ) has one maximum and one minimum, and λ 2 is between them, (17) must have three roots. If λ 2 is exactly the maximum or minimum of H ( x , α ) , (17) has exactly two roots (the horizontal line at value λ 2 meets the curve of H ( x , α ) at this maximum point and also cuts the curve at a point to the right of the maximum point, or meets the curve of H ( x , α ) at this minimum point and cuts the curve at a point to the left of the minimum point). Otherwise there is only one root.
Due to the fact that H ( x , α ) is a function with an integral, it is difficult to find the extremum by analysis. We now use numerical method to find the extrema, or stagnation points of H ( x , α ) . Let
H ( x , α ) = 0 , ( 19 )
where
H ( x , α ) = 1 2 g ( 0 , x , α ) e α x α + x α 2 α 2 e α x α + x 3 α 2 2 0 x e α 2 α + w ( α + w ) 2 g ( w , x , α ) d w = e α x α + x α 2 2 g ( 0 , x , α ) e α x α + x + α 2 g ( 0 , x , α ) + 2 α 2 e α x α + x 3 α 2 0 x ( α 2 + α + w ) exp 2 α 2 α + w g ( w , x , α ) ( α + w ) 4 d w . ( 20 )
Taking out the common factor, we consider the following equivalent equation of (19):
H 1 ( x , α ) = 0 ( 21 )
where
H 1 ( x , α ) = 1 2 e α α 2 e 2 α 2 g ( 0 , x , α ) 0 x e α 2 α + w ( α + w ) 2 g ( w , x , α ) d w = e α 2 + 2 α 2 e 2 α g ( 0 , x , α ) 0 x ( α 2 + α + w ) e 2 α 2 α + w g ( w , x , α ) ( α + w ) 4 d w g ( 0 , x , α ) . ( 22 )
We will find the roots of (21) by Newton’s method with the following iteration formula:
C n + 1 = C n H 1 ( C n , α ) H 1 ( C n , α ) , ( 23 )
where
H 1 ( x , α ) = α 2 e 2 α g ( 0 , x , α ) 0 x ( α 2 + α + w ) e 2 α 2 α + w ( α + w ) 4 g ( w , x , α ) + g ( 0 , x , α ) g ( w , x , α ) d w 1 e α 2 α + x . ( 24 )
We implemented our algorithm using Mathematica to compute the x values where the extremum values occur and the corresponding extremum values of H ( x , α ) for several values of α nearby and greater than 4, and results are recorded in the following table.
Table 1 shows that when α gets closer and closer to 4, the two extremum points of H ( x , α ) get closer and closer, with the extremum points converging to a value between 4.8959271892 and 4.8971687273 , and the extremum values converging to a value between 0.8085089852527 and 0.80850895253056 .
When α 406867225 100000000 and the value of λ 2 is between H min ( α ) and H max ( α ) , where H min ( α ) and H max ( α ) are the minimum value and the maximum value of H ( x , α ) , respectively, Equation (17) has three roots, which are separated by the extreme points. When α changes from 4.07 to 4.06867225 and λ 2 ( H min , H max ) or λ ( 2 H min 2 ( α ) , 2 H max 2 ( α ) ) , 2 H max 2 ( α ) 2 H min 2 ( α ) is very small and the allowable error decreases from 10 6 to 10 13 , which means that δ decreases from 10 6 to 10 13 as α decreases from 4.07 to 4.06867225 when we set 2 H max 2 ( α ) 2 H min 2 ( α ) < δ in our numerical calculation. This is almost impossible if λ is chosen randomly, but we can manage to work it out by selecting λ = H max ( α ) + H min ( α ) 2 2 .
When α 406867225 100000000 , we use Newton’s method and the Mathematica language to find the roots of (17) by choosing λ = H max ( α ) + H min ( α ) 2 2 , i.e., λ 2 = H max ( α ) + H min ( α ) 2 . The iteration formula here is as follows:
C n + 1 = C n H ( C n , α ) λ / 2 H ( C n , α ) , ( 25 )
where H ( x , α ) and H ( x , α ) are calculated with (18) and (20), respectively. For several values of α that are near and greater than 4, we performed some computation. The range of each λ in this table is the value of λ for which Equation (17) has three roots with the corresponding value of α . The three roots in the table are the roots of Equation (17) corresponding to the given values of α and λ 2 . Our results are recorded in the following table.
Remark 1.
When α = 4.06876225 ,  Table 2 shows that if we take λ for λ 2 to be between the maximum and the minimum of H ( x , α ) , H ( x , α ) λ / 2 < 2.6 × 10 13 for x near the three roots. In fact, Newton’s method does not work for finding the roots of (17) in this case so we have to switch to the dichotomy method. λ 2 is taken as a fraction for ensuring the accuracy of calculation, otherwise it is difficult to get the three roots in high precision. This method is also used in the following drawings. To draw the solution curve of BVP (1) by using the inverse function mapping method, we rewrite Equation (10) as follows:
t = 1 2 λ e a u C 1 g ( w , C , α ) d w 1 , t < 0 1 , t > 0 . ( 26 )
We use some internal functions of Mathematica to draw the three solutions of BVP (1) corresponding to the first six sets of data from Table 2 and present them in Figure 1. It is difficult to distinguish the solutions of BVP (1) graphically corresponding to the last two sets of data in Table 2 because the maximum values of the solutions approaches 4.89.

3. The Interval of α for BVP (1) to Have a Unique Solution

It is easy to prove the following lemma.
Lemma 1.
Let f ( x , α ) = e α x α + x . Then the function g ( x , α ) = f ( x , α ) x has the following properties.
(1). lim x 0 + g ( x , a ) = and lim x + g ( x , a ) = 0 .
(2). When α 4 , it is decreasing over ( 0 , ) .
(3). When α > 4 , it has a local minimum at x 1 = α 2 2 α α 4 4 α 3 2 and a local maximum at x 2 = α 2 2 α + α 4 4 α 3 2 .
(4). When α > 4 , g ( x 1 ) is increasing and e 2 4 < g ( x 1 ) < e 2 2 .
First we refine the idea of Brown, Ibrahim and Shivaji [4]. Let f ( x , α ) = e α x α + x , F ( x , α ) = 0 x f ( v , α ) d v . Then, Equation (11) can be written as
x 0 1 ( F ( x , α ) F ( x s , α ) ) 1 2 d s = 2 λ . ( 27 )
Now, we denote the left side of (27) by G ( x , α ) and take its derivative with respect to x :
G x ( x , α ) = 0 1 L ( x , α ) L ( x s , α ) [ F ( x , α ) F ( x s , α ) ] 3 2 d s , ( 28 )
where L ( x , α ) = F ( x , α ) 1 2 x f ( x , α ) . For the solution of BVP (1) to be unique, we need G ( x , α ) to be monotone. We take the derivative of L ( x , α ) with respect to x :
L x ( x , α ) = 1 2 f ( x , α ) 1 2 x f x ( x , α ) ( 29 ) = x 2 2 d d x f ( x , α ) x > 0 when α 4 .
Therefore, L ( x , α ) L ( x s , α ) 0 when 0 < α 4 and 0 < s < 1 , and in turn we have G x ( x , α ) 0 for all x 0 and 0 < α 4 . Therefore, Equation (27) or BVP (1) has a unique solution when 0 < α 4 .
The integrand of an integral does not need to be always nonnegative for the integral to be nonnegative. Heuristically, we should be able to get G x ( x , α ) 0 if the function L ( x , α ) L ( x s , α ) in the integral of (28) is negative in a “small” interval. That means we should be able to allow α to pass the value 4 for some “small” interval for Equation (27) or BVP (1) to have a unique solution. Based on this heuristic idea, we give the following theorem.
Theorem 1.
There exists an ϵ > 0 such that G x ( x , α ) > 0 for all 0 < α < 4 + ϵ and x 4.5 .
Proof. 
Since we only need to consider the behavior of G x ( x , α ) for all x 4.5 in a neighborhood of α > 4 , we may assume that 4 α < 5 . First, we expand the integrand of the integral expression in G x ( x , α ) around s = 1 :
L ( x , α ) L ( x s , α ) [ F ( x , α ) F ( x s , α ) ] 3 2 = ( α x ) 2 + α x ( 4 α ) 2 x f ( x , α ) ( x + α ) 2 ( 1 s ) 1 2 + O ( ( 1 s ) 1 2 ) . ( 30 )
Assume that G x ( x , α ) < 0 and x [ 4.5 , b ] for a constant b and 4 < α < 4.1 or BVP (1) has three solutions for all values of 4 < α < 4.1 . The existence of constant b is guaranteed by the fact that G x ( x , α ) must change to positive from negative at some value of x because Equation (11) has three solutions. First, we break the integral expression of G x ( x , α ) into three parts:
0 1 L ( x , α ) L ( x s , α ) [ F ( x , α ) F ( x s , α ) ] 3 2 d s = 0 δ L ( x , α ) L ( x s , α ) [ F ( x , α ) F ( x s , α ) ] 3 2 d s δ 1 ( α x ) 2 + α x ( 4 α ) 2 x f ( x , α ) ( x + α ) 2 ( 1 s ) 1 2 d s + δ 1 L ( x , α ) L ( x s , α ) [ F ( x , α ) F ( x s , α ) ] 3 2 ( α x ) 2 + α x ( 4 α ) 2 x f ( x , α ) ( x + α ) 2 ( 1 s ) 1 2 d s = I 1 + I 2 + I 3 .
Since the integrand of I 3 is of order O ( ( 1 s ) 1 2 ) at s = 1 and it is defined over closed intervals for α and x , there is a positive constant C 1 such that I 3 < C 1 ( 1 δ ) 3 2 . Since lim α 4 ( α x ) 2 + α x ( 4 α ) 2 x f ( x , α ) ( x + α ) 2 lim α 4 ( 4 4.5 ) 2 2 b f ( b , α ) ( b + α ) 2 = 0.25 2 b f ( b , 4 ) ( b + 4 ) 2 , we can take ϵ 1 > 0 such that I 2 0.25 4 b f ( b , 4 ) ( b + 4 ) 2 2 ( 1 δ ) 1 2 when 4 < α < 4 + ϵ 1 . Now, we can choose a small enough δ such that I 2 + I 3 0.25 4 b f ( b , 4 ) ( b + 4 ) 2 ( 1 δ ) 1 2 . As we know that lim α 4 I 1 0 , we can choose an 0 < ϵ ϵ 1 such that I 1 0.25 8 b f ( b , 4 ) ( b + 4 ) 2 ( 1 δ ) 1 2 for all 4 < α < 4 + ϵ , which implies that I 1 + I 2 + I 3 0.25 8 b f ( b , 4 ) ( b + 4 ) 2 ( 1 δ ) 1 2 . This is clearly a contradiction and the proof of the Theorem is complete. □
Remark 2.
Theoretically, our next step is to prove that x > 4.5 if G ( x , α ) < 0 when α is close to 4 . Because we do have difficulties to do this analytically, we now use our numerical result in Table 1 for help. The data in table one shows that the maximum point of H ( x , α ) or G ( x , α ) increases from 4.7211990632 and the minimum point of H ( x , α ) or G ( x , α ) decreases from 5.0817448775 when the value of α decreases from 4.07 . Thus the numerical result shows that the interval of x in which G ( x , α ) < 0 must start with a number larger than 4.5 . Applying this result to above theorem, it shows that there is a positive value ϵ such that BVP (1) has a unique solution for all 0 < α < 4 + ϵ .

4. The Value of α 0

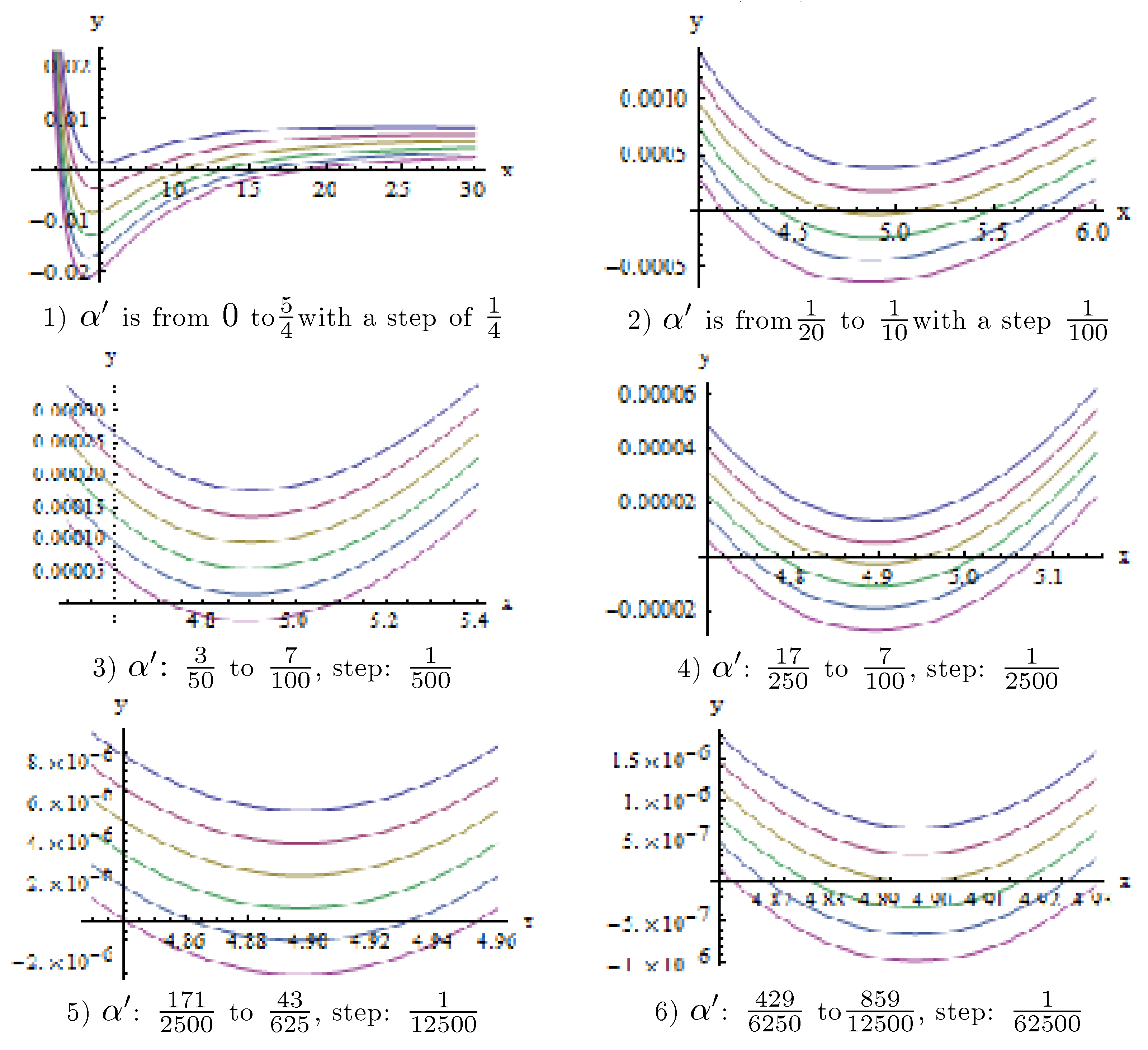
Now we get back to Equations (19) and (20) and use some internal functions of Mathematica and our algorithm to draw the graphs of y = H ( x , α ) for several values of α = α 4 and present them in Figure 2.
In these sets of graphs, the graph of y = H ( x , α ) moves down one curve as α increases one given step. From these figures, we can see that H ( x , α ) is above the x axis entirely and therefore the function H ( x , α ) increases monotonously on ( 0 , ) when α or α increases above some points. We can clearly see that the third curve ( α = 4.068672 ) from the top of set (6) is almost tangent to the x axis, based on which we may claim that α 0 4.068672 . For getting a clear view, we refine the graph of y = H ( x , α ) for the value of α between 4.06867220 and 4.06867225 .
From the left set of Figure 3, one can clearly see that the second graph from the bottom intersects the x-axis, and the third graph is above the x-axis, which shows that 4.06867223 < α 0 < 4.06867224 . The right set of Figure 3 shows that the third graph from the bottom intersects the x-axis, and the fourth curve is above the x-axis, which shows 4.0686722336 < α 0 < 4.0686722344 . Now, we can conclude that the value of α 0 is between 4.0686722336 and 4.0686722344 for BVP (1) to have a unique solution when 0 < α α 0 and three solutions when α 0 < α < + . As we have mentioned earlier, the distance between the three solutions is within 6.5 × 10 14 even if there are three different solutions when the value of α is less than 4.0686722344 . We can reasonably say that BVP (1) has a unique solution when 0 < α < 4.0686722344 for practical purposes.

5. Multiple Solution Region Determined by α and λ

When α > α 0 and 2 H min 2 ( α ) < λ < 2 H max 2 ( α ) , Equation (17) has three roots, and in turn BVP (1) has three solutions. We want to draw the curves of 2 H min 2 ( α ) and 2 H max 2 ( α ) by curve fitting for displaying the dependence of the values of α , λ * and λ * . Because the data in Table 1 are not enough for fitting these two curves, we use Mathematica language and our algorithm to generate more data in addition to those in Table 1, and record it in Table 3 below.
Using some internal functions of Mathematica and the data in Table 1 and Table 3, the curves of λ = 2 H max 2 ( α ) and λ = 2 H min 2 ( α ) are fitted out in Figure 4, where
λ = 2 H max 2 ( α ) = 0.948687 + 7.44803 α 2 0.374545 α , 0 < α < 10 0.878865 + 1.96024 α 2 + 0.892728 α , α 10 ( 31 )
and
λ = 2 H min 2 ( α ) = 0.159105 2012.94 α 4 + 920.173 α 3 85.7181 α 2 + 0.0399875 α , 0 < α < 10 0.0036898 + 609.536 α 4 42.5637 α 3 + 1.84242 α 2 + 0.195639 α , 10 α 40 0 , α > 40 . ( 32 )
Figure 4 shows a clear relationship of the values of α and λ for BVP (1) to have three solutions.
When α > α 0 , λ < 2 H min 2 ( α ) or λ > 2 H max 2 ( α ) , Equation (17) has only one root, thus BVP (1) has a unique solution. When α > α 0 , λ = 2 H min 2 ( α ) or λ = 2 H max 2 ( α ) , Equation (17) has two roots, thus BVP (1) has two solutions. Now, we try to graph the two solutions corresponding to some values of λ and α .
Let α = 11 , λ = 2 H max 2 ( 11 ) 0.69854478 , the two roots of Equation (17) are C 1 = 1.4313165496772853657 and C 2 = 29048.91353365085797 . Using the values of C 1 and C 2 , we get the corresponding solutions of BVP (1) using (26). Their images are shown in Figure 5 with the corresponding graph of y = H ( x , α ) λ 2 above them.
Let α = 6.5 , λ = 2 H max 2 ( 6.5 ) 0.35941826 , the two roots of Equation (17) are C 1 = 0.21369260234569 and C 2 = 33.275 . Using these values of C 1 and C 2 , we get the corresponding two solutions of BVP (1) using (26). Their images are shown in Figure 6 with the corresponding graph of y = H ( x , α ) λ 2 above them.
It can be seen from (2) in Figure 6 that the function y = H [ x , α ) λ 2 changes gently near the minimum point. If λ deviates slightly, it will enter the three positive solution region or the unique solution region. Therefore, it is quite challenging to find two positive solutions in the lower boundary of the three positive solution region.

6. Conclusions

In this article, we studied the well-known one-dimensional perturbed Gelfand two-point boundary value problem (1). We first converted it to equivalent integral representation (11). By reducing (11) to a single integral and combining Newton’s method with the dichotomy method, we developed a very efficient algorithm with high precision for computing the values of α 0 , λ * and λ * such that this problem has a unique solution when 0 < α < α 0 and λ > 0 , and has three solutions when α > α 0 and λ * < λ < λ * . Our result improves the the existing result by Huang and Wang [8,9] from α 0 4.069 to α 0 4.0686722336 . This improvement of approximation is essential for finding the exact value of α 0 in future works. We also used a separate section to prove that there is a positive number ϵ such that BVP (1) has a unique solution for all values of λ > 0 and α ( 0 , 4 + ϵ ) . Once the value of α 0 is found, finding the values of λ * and λ * becomes necessary. We used our algorithm to approximate these values with accuracy up to 10 14 corresponding to a few values of α 0 . A region illustrating the dependence of the values of α , λ * and λ * is graphed. Hopefully, this pattern of dependence can help future researchers to figure out the precise dependence of these values. During the revision process of this article, we have noticed that the method of optimal fourth order multiple root solvers without using derivatives developed by Sharma, Kumar and Jäntschi [16] may be applied to this problem. We will certainly explore this alternate route and try to improve our result further in our future work.

Author Contributions

Both authors contributed equally. All authors have read and agreed to the published version of the manuscript.

Funding

This work is supported by the National Natural Science Foundation of China (Grant No. 61379009 and No. 61771010).

Institutional Review Board Statement

Not applicable.

Informed Consent Statement

Not applicable.

Data Availability Statement

The programming code needed for computation and the data generated are available upon request.

Acknowledgments

The authors express their many thanks to the reviewers for spending their precious time to review the paper and provide valuable comments, suggestions and corrections. Special thanks also go to James Pomfret and Zhen Lu for reading our paper and correcting the English errors.

Conflicts of Interest

The authors declare that they have no conflict of interest/competing interest.

References

  1. Bebernes, J.; Eberly, D. Mathematical Problems from Combustion Theory; Springer: New York, NY, USA, 1989. [Google Scholar]
  2. Boddington, T.; Gray, P.; Robinson, C. Thermal explosion and the disappearance of criticality at small activation energies: exact results for the slab. Proc. R. Soc. Lond. Ser. A Math. Phus. Eng. Sci. 1979, 368, 441–461. [Google Scholar]
  3. Hastings, S.P.; McLeod, J.B. The number of solutions to an equation from catalysis. Proc. R. Soc. Edinb. Sect. Math. 1985, 101, 213–230. [Google Scholar] [CrossRef]
  4. Brown, K.J.; Ibrahim, M.M.A.; Shivaji, R. S-Shaped bifurcation curves. Nonlinear Anal. 1981, 5, 475–486. [Google Scholar] [CrossRef]
  5. Wang, S.H. On S-shaped bifurcation curves. Nonlinear Anal. 1994, 22, 1475–1485. [Google Scholar] [CrossRef]
  6. Korman, P.; Li, Y. On the exactness of an S-Shaped bifurcation curve. Proc. Am. Math. Soc. 1999, 127, 1011–1020. [Google Scholar] [CrossRef]
  7. Hung, K.C.; Wang, S.H. A theorem on S-shaped bifurcation curve for a positone problem with convex, concave nonlinearity and its applications to the perturbed Gelfand problem. J. Differ. Equ. 2011, 251, 223–237. [Google Scholar] [CrossRef]
  8. Huang, S.Y.; Wang, S.H. On s-shaped bifurcation curves for a two-point boundary value problem arising in a theory of thermal explosion. Discret. Contin. Dyn. Syst. 2015, 35, 4839–4858. [Google Scholar] [CrossRef]
  9. Huang, S.Y.; Wang, S.H. Proof of a conjecture for the one-dimensional perturbed Gelfand Problem from combustion theory. Arch. Rational Mech. Anal. 2016, 222, 769–825. [Google Scholar] [CrossRef]
  10. Kang, S.; Lu, Y.; Feng, W. λ-Interval of Triple Positive Solutions for the Perturbed Gelfand Problem. Symmetry 2021, 13, 1606. [Google Scholar] [CrossRef]
  11. Du, Y. Exact multiplicity and S-shaped bifurcation curve for some semilinear elliptic problems from combustion theory. SIAM J. Math. Anal. 2000, 32, 707–733. [Google Scholar] [CrossRef]
  12. Du, Y.; Lou, Y. Proof of a conjecture for the perturbed Gelfand equation from combustion theory. J. Differ. Equ. 2001, 173, 213–230. [Google Scholar] [CrossRef][Green Version]
  13. Korman, P.; Li, Y.; Ouyang, T. Computing the location and direction of bifurcation. Math. Res. Lett. 2005, 12, 933–944. [Google Scholar] [CrossRef]
  14. Shi, J. Persistence and bifurcation of degenerate solutions. J. Funct. Anal. 1999, 169, 494–521. [Google Scholar] [CrossRef]
  15. Shivaji, R. Remarks on an S-shaped bifurcation curve. J. Math. Anal. Appl. 1985, 111, 374–387. [Google Scholar] [CrossRef]
  16. Sharma, J.R.; Kumar, S.; Jäntschi, L. On a class of optimal fourth order multiple root solvers without using derivatives. Symmetry 2019, 26, 1452. [Google Scholar] [CrossRef]
Figure 1. Graphical solutions for some values of λ and α .
Figure 1. Graphical solutions for some values of λ and α .
Symmetry 13 02137 g001
Figure 2. Graphs of y = H ( x , α ) .
Figure 2. Graphs of y = H ( x , α ) .
Symmetry 13 02137 g002
Figure 3. Graphs of y = H ( x , α ) .
Figure 3. Graphs of y = H ( x , α ) .
Symmetry 13 02137 g003
Figure 4. Regions of multiple solutions and unique solution for BVP (1).
Figure 4. Regions of multiple solutions and unique solution for BVP (1).
Symmetry 13 02137 g004
Figure 5. Graphs of y = H ( x , α ) λ 2 and (26) for α = 11 , λ = 0.69854478 .
Figure 5. Graphs of y = H ( x , α ) λ 2 and (26) for α = 11 , λ = 0.69854478 .
Symmetry 13 02137 g005
Figure 6. Graphs of y = H ( x , α ) λ 2 and (26) for α = 6.5 , λ = 0.35941826 .
Figure 6. Graphs of y = H ( x , α ) λ 2 and (26) for α = 6.5 , λ = 0.35941826 .
Symmetry 13 02137 g006
Table 1. Extrema distribution of H ( x , α ) .
Table 1. Extrema distribution of H ( x , α ) .
α Maximum Point, Maximum ValueMinimum Point, Minimum Value
α = 5 2.35412603926,0.762226837064315.4140975304,0.6623753601164
α = 41 10 4.12779060841,0.80567582702085.89882206503,0.8049337881022
α = 407 100 4.72119906322,0.80837666976845.08174477492,0.8083701558394
α = 4069 1000 4.80822906947,0.80847592118374.98729736470,0.8084751221088
α = 40687 10000 4.87059453904,0.80850616185074.92270715483,0.8085061421477
α = 4068675 1000000 4.88833456795,0.80850870479014.90478174091,0.8085087041707
α = 40686725 10000000 4.89399971797,0.80850895973734.89909805248,0.8085089597189
α = 406867225 100000000 4.8959271892,0.808508952530564.89716872734,0.8085089852527
Table 2. The range of λ and three roots of (17).
Table 2. The range of λ and three roots of (17).
α λ / 2 The Range of λ Root 1, 2, 3
α = 5 356150549 500000000 ( 0.87748223507259 , 1.16197948072369 ) 1.09189215963 5.87905880437 34.52806380173
α = 4.1 805304807 1000000000 ( 1.29583680370177 , 1.29822705386534 ) 3.62057846489 4.93384850317 6.728088610684
α = 4.07 202093353 250000000 ( 1.30692459882204 , 1.30694564886551 ) 4.59572431713 4.89816242573 5.220548885614
α = 4.069 808475521 1000000000 ( 1.30726666264396 , 1.30726662643969 ) 4.74426525351 4.89703613358 5.054459545107
α = 4.0687 101063269 125000000 ( 1.30736435683539 , 1.30736442151589 ) 4.85165963375 4.89657982586 4.941922379703
α = 4.068675 5053179403 6250000000 ( 1.30737263595138 , 1.30737263595138 ) 4.88232441087 4.89655914415 4.910811803522
α = 4.0686725 19871566453 100000000000 ( 1.30737344446020 , 1.30737344446020 ) 4.89200681245 4.8968169797 4.910811803522
α = 4.06867225 80850898525291 100000000000000 ( 1.30737354148128 , 1.30737354148128 ) 4.89545350632 4.89658768621 4.897602801184
Table 3. Extrema distribution of H ( x , α ) for α > 5 .
Table 3. Extrema distribution of H ( x , α ) for α > 5 .
α x α , 1 , H ( x α , 1 , α ) x α , 2 , H ( x α , 2 , α )
α = 40 1.25301760448467,0.67171261025458 1863.6216520667076 , 1.5 * 10 7
α = 28 1.28429966769793,0.67574695575337890.7302648690519,0.0000425531142
α = 22 1.31449211684876,0.67952292381322537.1422651607531,0.0006676773062
α = 17 1.35898307028123,0.68488600917206310.133861485143,0.00623427026945
α = 13 1.42574378468659,0.69251111177893172.787457627501,0.03482427254640
α = 10 1.52435591220294,0.7029252462778695.5658692004087,0.11821275724685
α = 8 1.65400752694614,0.7152490345149456.3243197953691,0.25248737845250
α = 7 1.76675466787322,0.72485668835322540.3468564350250,0.35925984152783
α = 6 1.95576086475593,0.7389773160062426.7542708531433,0.49770116722831
Publisher’s Note: MDPI stays neutral with regard to jurisdictional claims in published maps and institutional affiliations.

Share and Cite

MDPI and ACS Style

Qin, H.; Lu, Y. On a Conjecture for the One-Dimensional Perturbed Gelfand Problem for the Combustion Theory. Symmetry 2021, 13, 2137. https://doi.org/10.3390/sym13112137

AMA Style

Qin H, Lu Y. On a Conjecture for the One-Dimensional Perturbed Gelfand Problem for the Combustion Theory. Symmetry. 2021; 13(11):2137. https://doi.org/10.3390/sym13112137

Chicago/Turabian Style

Qin, Huizeng, and Youmin Lu. 2021. "On a Conjecture for the One-Dimensional Perturbed Gelfand Problem for the Combustion Theory" Symmetry 13, no. 11: 2137. https://doi.org/10.3390/sym13112137

APA Style

Qin, H., & Lu, Y. (2021). On a Conjecture for the One-Dimensional Perturbed Gelfand Problem for the Combustion Theory. Symmetry, 13(11), 2137. https://doi.org/10.3390/sym13112137

Note that from the first issue of 2016, this journal uses article numbers instead of page numbers. See further details here.

Article Metrics

Back to TopTop