Lattice Constraints on the QCD Chiral Phase Transition at Finite Temperature and Baryon Density
Abstract
1. Introduction
2. Some Lattice Essentials
- The Wilson formulation: By adding irrelevant mass terms , the doubler degrees of freedom become heavy and decouple in the continuum limit. However, for any finite lattice spacing chiral symmetry is broken completely by these terms.
- The staggered formulation: Spin and flavour degrees of freedom are distributed to different lattice sites, which can be done so as to reduce the number of doublers. The remaining ones are removed by taking an appropriate root of the fermion determinant, which can only be fully valid in the continuum. In this formulation the original chiral symmetry is reduced from .
- Formulations with a lattice version of full chiral symmetry exist in the form of domain wall or overlap fermions, and are expected to eventually supersede the previous formulations. However, they require complicated non-local constructions and currently are more expensive to simulate by over an order of magnitude.
3. The Columbia Plot at Zero Baryon Density
3.1. The Deconfinement Transition
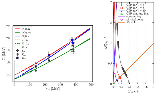
3.2. The Chiral Transition at Zero Baryon Density
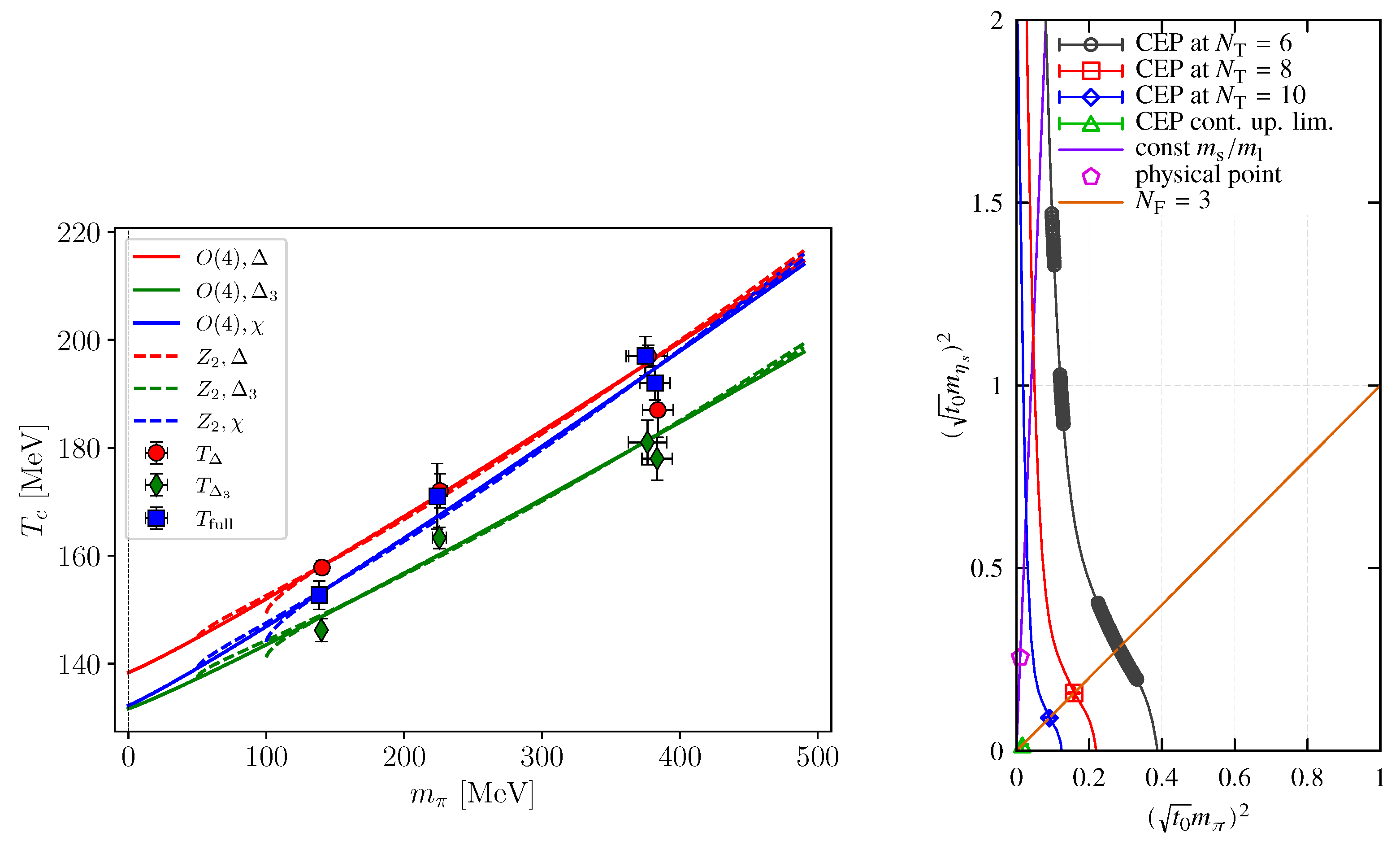
3.3. and
3.4. and
3.5. Three-State Coexistence and Tricritical Scaling
3.6. The Chiral Phase Transition as a Function of and
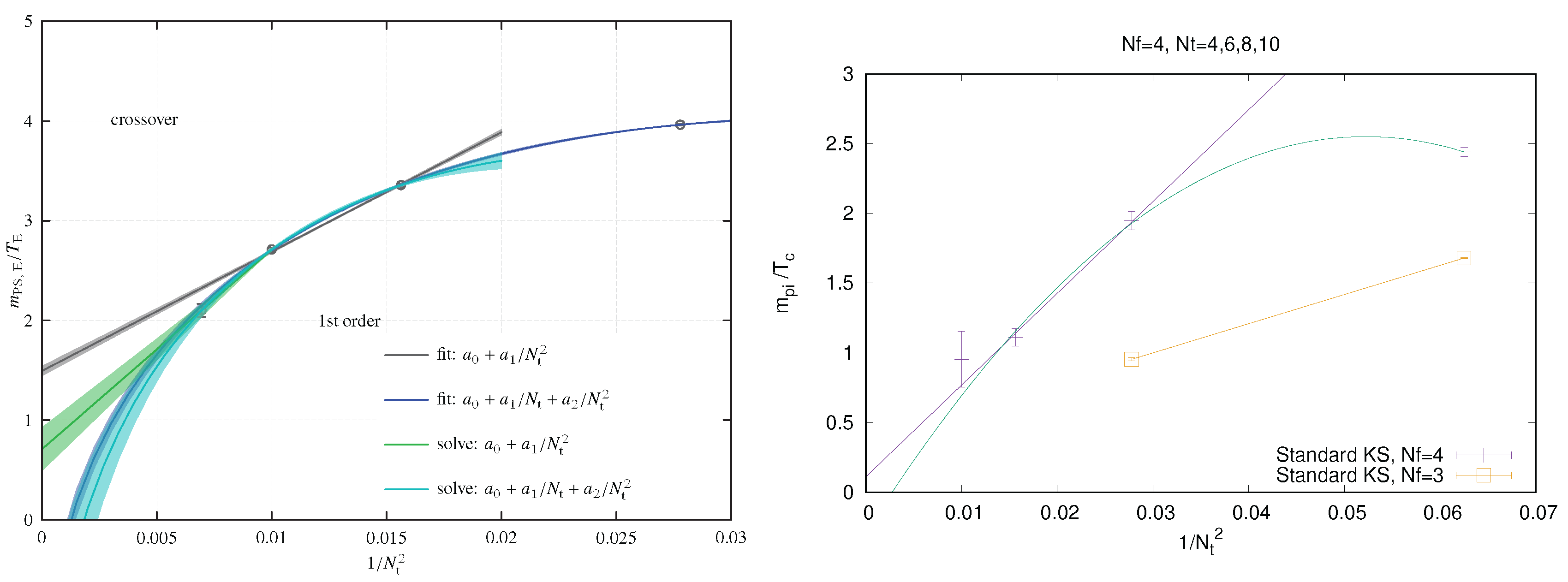
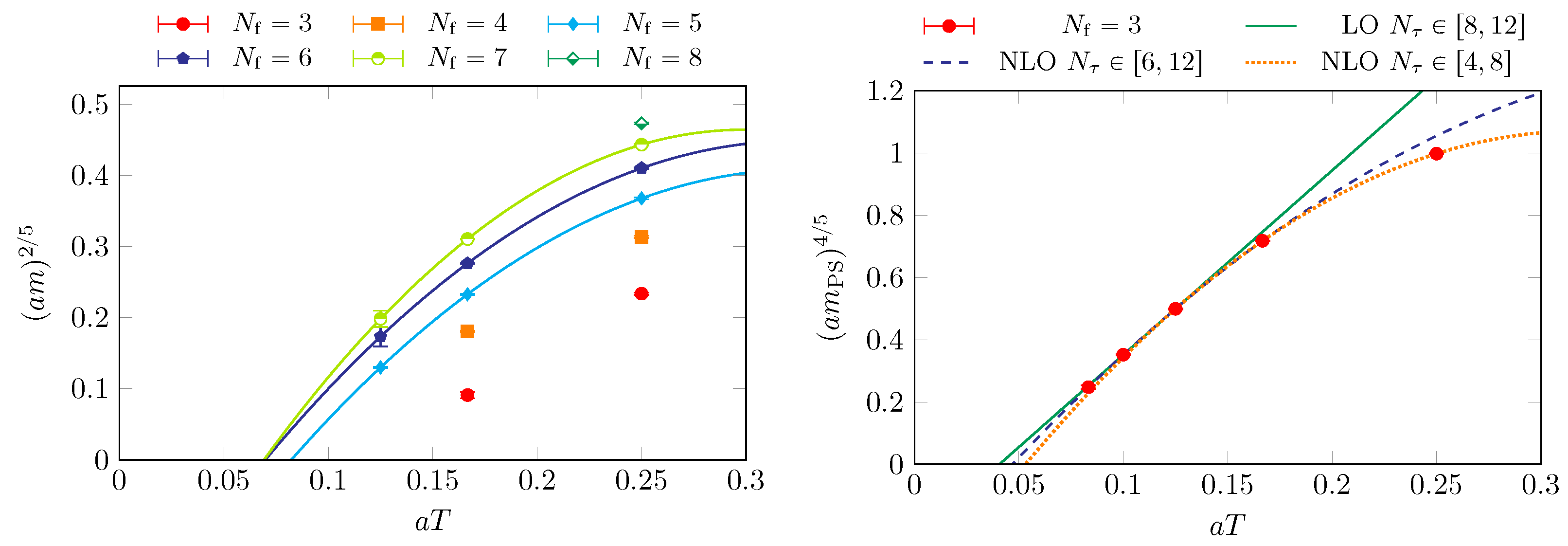
3.7. Tricritical Scaling for Wilson Fermions
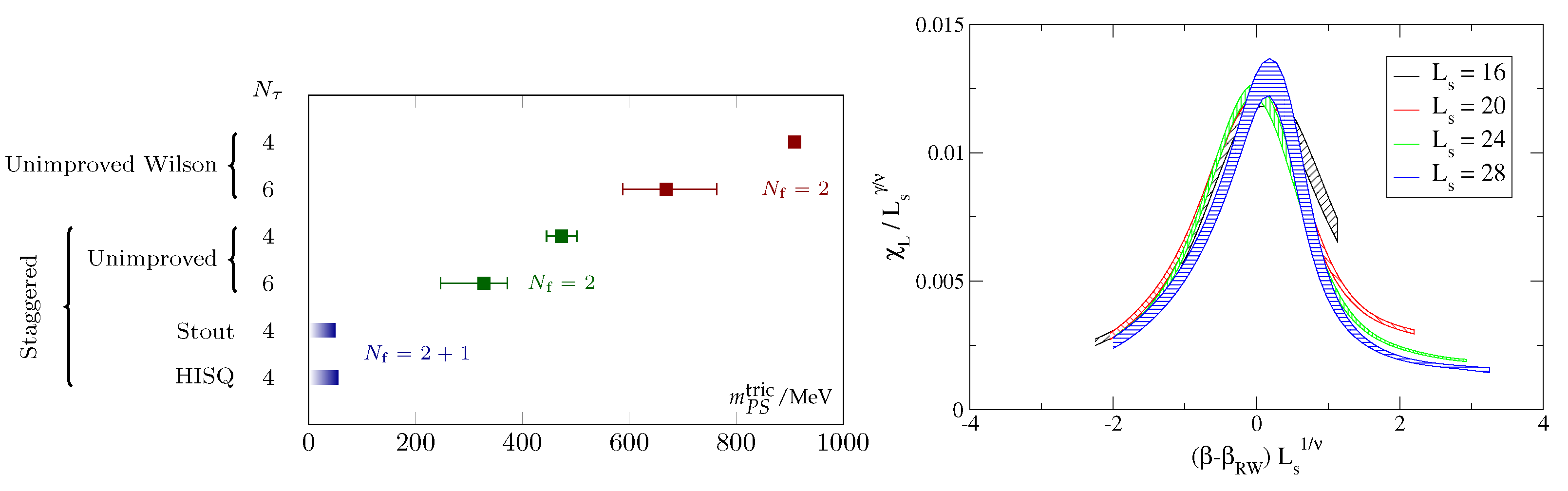
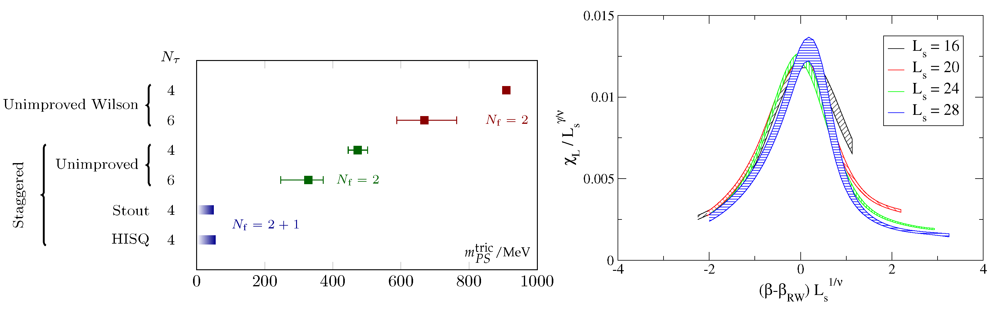
3.8. Conclusions for the Continuum Limit
- Qualitatively, the discretisation effects on the chiral phase transition are the same for unimproved staggered fermions and either unimproved or -improved Wilson fermions, making the transition stronger compared to the continuum.
- In both discretisations, the boundaries of the first-order transitions at finite lattice spacings exhibit tricritical scaling and extrapolate to a finite . This implies that the first-order region is not connected to the continuum limit. Thus, when the continuum limit is taken before the chiral limit, as is necessary to avoid lattice artefacts, both predict a second-order transition.
- Quantitatively, the cutoff effects are larger for Wilson fermions, resulting in a larger than in the case of staggered fermions. This might be explained by the fact that the respective discretisations break chiral symmetry fully or only partially.
4. The Columbia Plot with Chemical Potential
4.1. The Deconfinement Transition
4.2. The Chiral Transition
5. QCD at the Physical Point
5.1. The Crossover at Small Baryon Densities
5.2. The Search for a Critical Point
6. Conclusions
Funding
Conflicts of Interest
References
- Gasser, J.; Leutwyler, H. Chiral Perturbation Theory to One Loop. Ann. Phys. 1984, 158, 142. [Google Scholar] [CrossRef]
- Leutwyler, H. Principles of chiral perturbation theory. arXiv 1994, arXiv:hep-ph/9406283. [Google Scholar]
- Gattringer, C.; Lang, C.B. Quantum Chromodynamics on the Lattice; Springer: Berlin/Heidelberg, Germany, 2010; Volume 788. [Google Scholar] [CrossRef]
- Philipsen, O. Lattice QCD at non-zero temperature and baryon density. In Les Houches Summer School: Session 93: Modern Perspectives in Lattice QCD: Quantum Field Theory and High Performance Computing; Oxford Univesity Press: Oxford, UK, 2010; pp. 273–330. [Google Scholar]
- Aarts, G. Introductory lectures on lattice QCD at nonzero baryon number. J. Phys. Conf. Ser. 2016, 706, 022004. [Google Scholar] [CrossRef]
- Montvay, I.; Munster, G. Quantum Fields on a Lattice; Cambridge Monographs on Mathematical Physics; Cambridge University Press: Cambridge, UK, 1997. [Google Scholar] [CrossRef]
- DeGrand, T.; Detar, C.E. Lattice Methods for Quantum Chromodynamics; World Scientific: Singapore, 2006. [Google Scholar]
- Symanzik, K. Continuum Limit and Improved Action in Lattice Theories. 1. Principles and phi**4 Theory. Nucl. Phys. B 1983, 226, 187–204. [Google Scholar] [CrossRef]
- Nielsen, H.B.; Ninomiya, M. No Go Theorem for Regularizing Chiral Fermions. Phys. Lett. B 1981, 105, 219–223. [Google Scholar] [CrossRef]
- Yang, C.N.; Lee, T.D. Statistical theory of equations of state and phase transitions. 1. Theory of condensation. Phys. Rev. 1952, 87, 404–409. [Google Scholar] [CrossRef]
- Lee, T.D.; Yang, C.N. Statistical theory of equations of state and phase transitions. 2. Lattice gas and Ising model. Phys. Rev. 1952, 87, 410–419. [Google Scholar] [CrossRef]
- de Forcrand, P. Simulating QCD at finite density. PoS 2009, LAT2009, 010. [Google Scholar] [CrossRef]
- Aoki, Y.; Endrodi, G.; Fodor, Z.; Katz, S.D.; Szabo, K.K. The Order of the quantum chromodynamics transition predicted by the standard model of particle physics. Nature 2006, 443, 675–678. [Google Scholar] [CrossRef]
- Brown, F.R.; Butler, F.P.; Chen, H.; Christ, N.H.; Dong, Z.H.; Schaffer, W.; Unger, L.I.; Vaccarino, A. On the existence of a phase transition for QCD with three light quarks. Phys. Rev. Lett. 1990, 65, 2491–2494. [Google Scholar] [CrossRef]
- McLerran, L.D.; Svetitsky, B. Quark Liberation at High Temperature: A Monte Carlo Study of SU(2) Gauge Theory. Phys. Rev. D 1981, 24, 450. [Google Scholar] [CrossRef]
- Boyd, G.; Engels, J.; Karsch, F.; Laermann, E.; Legeland, C.; Lutgemeier, M.; Petersson, B. Thermodynamics of SU(3) lattice gauge theory. Nucl. Phys. B 1996, 469, 419–444. [Google Scholar] [CrossRef]
- Shirogane, M.; Ejiri, S.; Iwami, R.; Kanaya, K.; Kitazawa, M. Latent heat at the first order phase transition point of SU(3) gauge theory. Phys. Rev. D 2016, 94, 014506. [Google Scholar] [CrossRef]
- Saito, H.; Ejiri, S.; Aoki, S.; Hatsuda, T.; Kanaya, K.; Maezawa, Y.; Ohno, H.; Umeda, T. Phase structure of finite temperature QCD in the heavy quark region. Phys. Rev. D 2011, 84, 054502. [Google Scholar] [CrossRef]
- Ejiri, S.; Itagaki, S.; Iwami, R.; Kanaya, K.; Kitazawa, M.; Kiyohara, A.; Shirogane, M.; Umeda, T. End point of the first-order phase transition of QCD in the heavy quark region by reweighting from quenched QCD. Phys. Rev. D 2020, 101, 054505. [Google Scholar] [CrossRef]
- Cuteri, F.; Philipsen, O.; Schön, A.; Sciarra, A. Deconfinement critical point of lattice QCD with Nf=2 Wilson fermions. Phys. Rev. D 2021, 103, 014513. [Google Scholar] [CrossRef]
- Kiyohara, A.; Kitazawa, M.; Ejiri, S.; Kanaya, K. Finite-size scaling around the critical point in the heavy quark region of QCD. arXiv 2021, arXiv:2108.00118. [Google Scholar]
- Fischer, C.S.; Luecker, J.; Pawlowski, J.M. Phase structure of QCD for heavy quarks. Phys. Rev. D 2015, 91, 014024. [Google Scholar] [CrossRef]
- Fromm, M.; Langelage, J.; Lottini, S.; Philipsen, O. The QCD deconfinement transition for heavy quarks and all baryon chemical potentials. J. High Energy Phys. 2012, 2012, 42. [Google Scholar] [CrossRef]
- Fromm, M.; Langelage, J.; Lottini, S.; Neuman, M.; Philipsen, O. Onset Transition to Cold Nuclear Matter from Lattice QCD with Heavy Quarks. Phys. Rev. Lett. 2013, 110, 122001. [Google Scholar] [CrossRef]
- Pisarski, R.D.; Wilczek, F. Remarks on the Chiral Phase Transition in Chromodynamics. Phys. Rev. 1984, D29, 338–341. [Google Scholar] [CrossRef]
- Gausterer, H.; Sanielevici, S. Can the Chiral Transition in QCD Be Described by a Linear σ Model in Three-dimensions? Phys. Lett. B 1988, 209, 533–537. [Google Scholar] [CrossRef]
- Butti, A.; Pelissetto, A.; Vicari, E. On the nature of the finite temperature transition in QCD. J. High Energy Phys. 2003, 2003, 029. [Google Scholar] [CrossRef]
- Pelissetto, A.; Vicari, E. Relevance of the axial anomaly at the finite-temperature chiral transition in QCD. Phys. Rev. D 2013, 88, 105018. [Google Scholar] [CrossRef]
- Braun, J.; Fu, W.j.; Pawlowski, J.M.; Rennecke, F.; Rosenblüh, D.; Yin, S. Chiral susceptibility in (2+1)-flavor QCD. Phys. Rev. D 2020, 102, 056010. [Google Scholar] [CrossRef]
- Braun, J.; Leonhardt, M.; Pawlowski, J.M.; Rosenblüh, D. Chiral and effective U(1)A symmetry restoration in QCD. arXiv 2020, arXiv:2012.06231. [Google Scholar]
- Iwasaki, Y.; Kanaya, K.; Kaya, S.; Sakai, S.; Yoshie, T. Finite temperature transitions in lattice QCD with Wilson quarks: Chiral transitions and the influence of the strange quark. Phys. Rev. D 1996, 54, 7010–7031. [Google Scholar] [CrossRef] [PubMed]
- Bonati, C.; de Forcrand, P.; D’Elia, M.; Philipsen, O.; Sanfilippo, F. Chiral phase transition in two-flavor QCD from an imaginary chemical potential. Phys. Rev. 2014, D90, 074030. [Google Scholar] [CrossRef]
- Cuteri, F.; Philipsen, O.; Sciarra, A. QCD chiral phase transition from noninteger numbers of flavors. Phys. Rev. D 2018, 97, 114511. [Google Scholar] [CrossRef]
- Philipsen, O.; Pinke, C. The Nf=2 QCD chiral phase transition with Wilson fermions at zero and imaginary chemical potential. Phys. Rev. 2016, D93, 114507. [Google Scholar] [CrossRef]
- Ding, H.-T.; Hegde, P.; Kaczmarek, O.; Karsch, F.; Lahiri, A.; Li, S.-T.; Mukherjee, S.; Ohno, H.; Petreczky, P.; Schmidt, C.; et al. Chiral Phase Transition Temperature in (2+1)-Flavor QCD. Phys. Rev. Lett. 2019, 123, 062002. [Google Scholar] [CrossRef] [PubMed]
- Kaczmarek, O.; Karsch, F.; Lahiri, A.; Schmidt, C. Universal scaling properties of QCD close to the chiral limit. arXiv 2020, arXiv:2010.15593. [Google Scholar]
- Kotov, A.Y.; Lombardo, M.P.; Trunin, A. QCD transition at the physical point, and its scaling window from twisted mass Wilson fermions. arXiv 2021, arXiv:2105.09842. [Google Scholar]
- Nakamura, Y.; Kuramashi, Y.; Ohno, H.; Takeda, S. Critical endpoint in the continuum limit and critical endline at NT=6 of the finite temperature phase transition of QCD with clover fermions. PoS 2019, LATTICE2019, 053. [Google Scholar] [CrossRef]
- Clarke, D.A.; Kaczmarek, O.; Karsch, F.; Lahiri, A.; Sarkar, M. Sensitivity of the Polyakov loop and related observables to chiral symmetry restoration. Phys. Rev. D 2021, 103, L011501. [Google Scholar] [CrossRef]
- de Forcrand, P.; Kim, S.; Philipsen, O. A QCD chiral critical point at small chemical potential: Is it there or not? PoS 2007, LAT2007, 178. [Google Scholar]
- Varnhorst, L. The Nf=3 critical endpoint with smeared staggered quarks. PoS 2015, LATTICE2014, 193. [Google Scholar] [CrossRef]
- Karsch, F.; Laermann, E.; Schmidt, C. The Chiral critical point in three-flavor QCD. Phys. Lett. 2001, B520, 41–49. [Google Scholar] [CrossRef]
- Karsch, F.; Allton, C.R.; Ejiri, S.; Hands, S.J.; Kaczmarek, O.; Laermann, E.; Schmidt, C. Where is the chiral critical point in three flavor QCD? Nucl. Phys. B Proc. Suppl. 2004, 129, 614–616. [Google Scholar] [CrossRef]
- Bazavov, A.; Ding, H.T.; Hegde, P.; Karsch, F.; Laermann, E.; Mukherjee, S.; Petreczky, P.; Schmidt, C. Chiral phase structure of three flavor QCD at vanishing baryon number density. Phys. Rev. D 2017, 95, 074505. [Google Scholar] [CrossRef]
- Jin, X.Y.; Kuramashi, Y.; Nakamura, Y.; Takeda, S.; Ukawa, A. Critical endpoint of the finite temperature phase transition for three flavor QCD. Phys. Rev. D 2015, 91, 014508. [Google Scholar] [CrossRef]
- Jin, X.Y.; Kuramashi, Y.; Nakamura, Y.; Takeda, S.; Ukawa, A. Critical point phase transition for finite temperature 3-flavor QCD with non-perturbatively O(a) improved Wilson fermions at Nt = 10. Phys. Rev. 2017, D96, 034523. [Google Scholar] [CrossRef]
- Kuramashi, Y.; Nakamura, Y.; Ohno, H.; Takeda, S. Nature of the phase transition for finite temperature Nf = 3 QCD with nonperturbatively O(a) improved Wilson fermions at Nt = 12. Phys. Rev. D 2020, 101, 054509. [Google Scholar] [CrossRef]
- de Forcrand, P.; D’Elia, M. Continuum limit and universality of the Columbia plot. PoS 2017, LATTICE2016, 081. [Google Scholar]
- Ohno, H.; Kuramashi, Y.; Nakamura, Y.; Takeda, S. Continuum extrapolation of the critical endpoint in 4-flavor QCD with Wilson-Clover fermions. PoS 2018, LATTICE2018, 174. [Google Scholar] [CrossRef][Green Version]
- Rajagopal, K. The Chiral phase transition in QCD: Critical phenomena and long wavelength pion oscillations. World Sci. 1995. [Google Scholar] [CrossRef]
- Lawrie, I.; Sarbach, S. Theory of tricritical points. In Phase Transitions and Critical Phenomena; Domb, C., Lebowitz, J., Eds.; Academic Press: Cambridge, MA, USA, 1984; Volume 9, p. 1. [Google Scholar]
- de Forcrand, P.; Philipsen, O. The Chiral critical line of N(f) = 2+1 QCD at zero and non-zero baryon density. J. High Energy Phys. 2007, 0701, 077. [Google Scholar] [CrossRef]
- Cuteri, F.; Philipsen, O.; Sciarra, A. On the order of the QCD chiral phase transition for different numbers of quark flavours. arXiv 2021, arXiv:2107.12739. [Google Scholar]
- Aoki, S. New Phase Structure for Lattice QCD with Wilson Fermions. Phys. Rev. D 1984, 30, 2653. [Google Scholar] [CrossRef]
- Aoki, S. A Solution to the U(1) Problem on a Lattice. Phys. Rev. Lett. 1986, 57, 3136. [Google Scholar] [CrossRef]
- Sharpe, S.R.; Singleton, R.L., Jr. Spontaneous flavor and parity breaking with Wilson fermions. Phys. Rev. D 1998, 58, 074501. [Google Scholar] [CrossRef]
- Farchioni, F.; Frezzotti, R.; Jansen, K.; Montvay, I.; Rossi, G.C.; Scholz, E.; Shindler, A.; Ukita, N.; Urbach, C.; Wetzorke, I. Twisted mass quarks and the phase structure of lattice QCD. Eur. Phys. J. C 2005, 39, 421–433. [Google Scholar] [CrossRef][Green Version]
- Burger, F.; Ilgenfritz, E.M.; Kirchner, M.; Lombardo, M.P.; Müller-Preussker, M.; Philipsen, O.; Urbach, C.; Zeidlewicz, L. Thermal QCD transition with two flavors of twisted mass fermions. Phys. Rev. 2013, D87, 074508. [Google Scholar] [CrossRef]
- Khan, A.A.; Aoki, S.; Burkhalter, R.; Ejiri, S.; Fukugita, M.; Hashimoto, S.; Ishizuka, N.; Iwasaki, Y.; Kanaya, K.; Kaneko, T.; et al. Phase structure and critical temperature of two flavor QCD with renormalization group improved gauge action and clover improved Wilson quark action. Phys. Rev. D 2000, 63, 034502. [Google Scholar] [CrossRef]
- Tetradis, N.; Litim, D.F. Analytical solutions of exact renormalization group equations. Nucl. Phys. B 1996, 464, 492–511. [Google Scholar] [CrossRef]
- Del Debbio, L.; Keegan, L. RG flows in 3D scalar field theory. PoS 2011, LATTICE2011, 061. [Google Scholar] [CrossRef]
- Alford, M.G.; Kapustin, A.; Wilczek, F. Imaginary chemical potential and finite fermion density on the lattice. Phys. Rev. D 1999, 59, 054502. [Google Scholar] [CrossRef]
- de Forcrand, P.; Philipsen, O. The QCD phase diagram for small densities from imaginary chemical potential. Nucl. Phys. B 2002, 642, 290–306. [Google Scholar] [CrossRef]
- D’Elia, M.; Lombardo, M.P. Finite density QCD via imaginary chemical potential. Phys. Rev. D 2003, 67, 014505. [Google Scholar] [CrossRef]
- Roberge, A.; Weiss, N. Gauge Theories With Imaginary Chemical Potential and the Phases of QCD. Nucl. Phys. B 1986, 275, 734–745. [Google Scholar] [CrossRef]
- de Forcrand, P.; Philipsen, O. Constraining the QCD phase diagram by tricritical lines at imaginary chemical potential. Phys. Rev. Lett. 2010, 105, 152001. [Google Scholar] [CrossRef]
- Bonati, C.; Cossu, G.; D’Elia, M.; Sanfilippo, F. The Roberge-Weiss endpoint in Nf = 2 QCD. Phys. Rev. D 2011, 83, 054505. [Google Scholar] [CrossRef]
- Philipsen, O.; Pinke, C. Nature of the Roberge-Weiss transition in Nf = 2 QCD with Wilson fermions. Phys. Rev. D 2014, 89, 094504. [Google Scholar] [CrossRef]
- de Forcrand, P.; Philipsen, O. The Chiral critical point of N(f) = 3 QCD at finite density to the order (mu/T)**4. J. High Energy Phys. 2008, 11, 012. [Google Scholar] [CrossRef]
- Jin, X.Y.; Kuramashi, Y.; Nakamura, Y.; Takeda, S.; Ukawa, A. Curvature of the critical line on the plane of quark chemical potential and pseudoscalar meson mass for three-flavor QCD. Phys. Rev. 2015, D92, 114511. [Google Scholar] [CrossRef]
- Philipsen, O.; Sciarra, A. Finite Size and Cut-Off Effects on the Roberge-Weiss Transition in Nf = 2 QCD with Staggered Fermions. Phys. Rev. D 2020, 101, 014502. [Google Scholar] [CrossRef]
- Czaban, C.; Cuteri, F.; Philipsen, O.; Pinke, C.; Sciarra, A. Roberge-Weiss transition in Nf = 2 QCD with Wilson fermions and Nτ = 6. Phys. Rev. 2016, D93, 054507. [Google Scholar] [CrossRef]
- Bonati, C.; Calore, E.; D’Elia, M.; Mesiti, M.; Negro, F.; Sanfilippo, F.; Schifano, S.F.; Silvi, G.; Tripiccione, R. Roberge-Weiss endpoint and chiral symmetry restoration in Nf = 2 + 1 QCD. Phys. Rev. D 2019, 99, 014502. [Google Scholar] [CrossRef]
- Goswami, J.; Karsch, F.; Lahiri, A.; Neumann, M.; Schmidt, C. Critical end points in (2+1)-flavor QCD with imaginary chemical potential. PoS 2019, CORFU2018, 162. [Google Scholar] [CrossRef]
- Halasz, A.M.; Jackson, A.D.; Shrock, R.E.; Stephanov, M.A.; Verbaarschot, J.J.M. On the phase diagram of QCD. Phys. Rev. D 1998, 58, 096007. [Google Scholar] [CrossRef]
- Hatta, Y.; Ikeda, T. Universality, the QCD critical/tricritical point and the quark number susceptibility. Phys. Rev. D 2003, 67, 014028. [Google Scholar] [CrossRef]
- Stephanov, M.A.; Rajagopal, K.; Shuryak, E.V. Signatures of the tricritical point in QCD. Phys. Rev. Lett. 1998, 81, 4816–4819. [Google Scholar] [CrossRef]
- Brandes, L.; Kaiser, N.; Weise, W. Fluctuations and phases in baryonic matter. Eur. Phys. J. A 2021, 57, 243. [Google Scholar] [CrossRef]
- Fodor, Z.; Katz, S.D. A New method to study lattice QCD at finite temperature and chemical potential. Phys. Lett. B 2002, 534, 87–92. [Google Scholar] [CrossRef]
- Allton, C.R.; Ejiri, S.; Hands, S.J.; Kaczmarek, O.; Karsch, F.; Laermann, E.; Schmidt, C.; Scorzato, L. The QCD thermal phase transition in the presence of a small chemical potential. Phys. Rev. D 2002, 66, 074507. [Google Scholar] [CrossRef]
- Karsch, F.; Bazavov, A.; Ding, H.T.; Hegde, P.; Kaczmarek, O.; Laermann, E.; Mukherjee, S.; Ohno, H.; Petreczky, P.; Schmidt, S.; et al. Conserved Charge Fluctuations from Lattice QCD and the Beam Energy Scan. Nucl. Phys. A 2016, 956, 352–355. [Google Scholar] [CrossRef]
- Ratti, C. QCD at non-zero density and phenomenology. PoS 2019, LATTICE2018, 004. [Google Scholar] [CrossRef]
- Attanasio, F.; Jäger, B.; Ziegler, F.P.G. Complex Langevin simulations and the QCD phase diagram: Recent developments. Eur. Phys. J. A 2020, 56, 251. [Google Scholar] [CrossRef]
- Vovchenko, V.; Steinheimer, J.; Philipsen, O.; Pasztor, A.; Fodor, Z.; Katz, S.D.; Stoecker, H. Lattice-based QCD equation of state at finite baryon density: Cluster Expansion Model. Nucl. Phys. A 2019, 982, 859–862. [Google Scholar] [CrossRef]
- Bazavov, A.; Ding, H.T.; Hegde, P.; Kaczmarek, O.; Karsch, F.; Karthik, N.; Laermann, E.; Lahiri, A.; Larsen, R.; Li, S.-T.; et al. Chiral crossover in QCD at zero and non-zero chemical potentials. Phys. Lett. B 2019, 795, 15–21. [Google Scholar] [CrossRef]
- Bellwied, R.; Borsanyi, S.; Fodor, Z.; Günther, J.; Katz, S.D.; Ratti, C.; Szabo, K.K. The QCD phase diagram from analytic continuation. Phys. Lett. B 2015, 751, 559–564. [Google Scholar] [CrossRef]
- Bonati, C.; D’Elia, M.; Negro, F.; Sanfilippo, F.; Zambello, K. The curvature of the chiral pseudocritical line from LQCD: Analytic continuation and Taylor expansion compared. Nucl. Phys. A 2019, 982, 198–200. [Google Scholar] [CrossRef]
- Bonati, C.; D’Elia, M.; Negro, F.; Sanfilippo, F.; Zambello, K. Curvature of the pseudocritical line in QCD: Taylor expansion matches analytic continuation. Phys. Rev. D 2018, 98, 054510. [Google Scholar] [CrossRef]
- Bazavov, A.; Ding, H.T.; Hegde, P.; Kaczmarek, O.; Karsch, F.; Laermann, E.; Maezawa, Y.; Mukherjee, S.; Ohno, H.; Petreczky, P.; et al. The QCD Equation of State to O(μB6) from Lattice QCD. Phys. Rev. D 2017, 95, 054504. [Google Scholar] [CrossRef]
- Vovchenko, V.; Steinheimer, J.; Philipsen, O.; Stoecker, H. Cluster Expansion Model for QCD Baryon Number Fluctuations: No Phase Transition at μB/T < π. Phys. Rev. D 2018, 97, 114030. [Google Scholar] [CrossRef]
- Vovchenko, V.; Pasztor, A.; Fodor, Z.; Katz, S.D.; Stoecker, H. Repulsive baryonic interactions and lattice QCD observables at imaginary chemical potential. Phys. Lett. B 2017, 775, 71–78. [Google Scholar] [CrossRef]
- Giordano, M.; Pásztor, A. Reliable estimation of the radius of convergence in finite density QCD. Phys. Rev. D 2019, 99, 114510. [Google Scholar] [CrossRef]
- Fodor, Z.; Giordano, M.; Günther, J.N.; Kapás, K.; Katz, S.D.; Pásztor, A.; Portillo, I.; Ratti, C.; Sexty, D.; Szabó, K.K. Trying to constrain the location of the QCD critical endpoint with lattice simulations. Nucl. Phys. A 2019, 982, 843–846. [Google Scholar] [CrossRef]
- Almási, G.A.; Friman, B.; Morita, K.; Redlich, K. Fourier coefficients of the net baryon number density and their scaling properties near a phase transition. Phys. Lett. B 2019, 793, 19–25. [Google Scholar] [CrossRef]
- Parotto, P.; Bluhm, M.; Mroczek, D.; Nahrgang, M.; Noronha-Hostler, J.; Rajagopal, K.; Ratti, C.; Schäfer, T.; Stephanov, M. QCD equation of state matched to lattice data and exhibiting a critical point singularity. Phys. Rev. C 2020, 101, 034901. [Google Scholar] [CrossRef]
- Basar, G. Universality, Lee-Yang singularities and series expansions. arXiv 2021, arXiv:2105.08080. [Google Scholar]
- Mondal, S.; Mukherjee, S.; Hegde, P. Lattice QCD Equation of State for Nonvanishing Chemical Potential by Resumming Taylor Expansion. arXiv 2021, arXiv:2106.03165. [Google Scholar]
- Fodor, Z.; Katz, S.D. Lattice determination of the critical point of QCD at finite T and mu. J. High Energy Phys. 2002, 03, 014. [Google Scholar] [CrossRef]
- Giordano, M.; Kapas, K.; Katz, S.D.; Nogradi, D.; Pasztor, A. Radius of convergence in lattice QCD at finite μB with rooted staggered fermions. Phys. Rev. D 2020, 101, 074511. [Google Scholar] [CrossRef]
- Golterman, M.; Shamir, Y.; Svetitsky, B. Breakdown of staggered fermions at nonzero chemical potential. Phys. Rev. D 2006, 74, 071501. [Google Scholar] [CrossRef]
- Giordano, M.; Kapas, K.; Katz, S.D.; Nogradi, D.; Pasztor, A. New approach to lattice QCD at finite density; results for the critical end point on coarse lattices. J. High Energy Phys. 2020, 05, 088. [Google Scholar] [CrossRef]
- Borsanyi, S.; Fodor, Z.; Giordano, M.; Katz, S.D.; Nogradi, D.; Pasztor, A.; Wong, C.H. Lattice simulations of the QCD chiral transition at real baryon density. arXiv 2021, arXiv:2108.09213. [Google Scholar]















| Action | Ref. | Year | ||
|---|---|---|---|---|
| unimproved staggered | 4 | ∼290 MeV | [42] | 2001 |
| p4 staggered | 4 | ∼67 MeV | [43] | 2004 |
| unimproved staggered | 6 | ∼150 MeV | [40] | 2007 |
| HISQ staggered | 6 | ≲45 MeV | [44] | 2017 |
| stout staggered | 4–6 | ∼0? | [41] | 2014 |
| Wilson--impr. | 6–8 | ∼300 MeV | [45] | 2014 |
| Wilson--impr. | 4–10 | ≲170 MeV | [46] | 2017 |
| Wilson--impr. | 4–12 | ≲110 MeV | [47] | 2020 |
Publisher’s Note: MDPI stays neutral with regard to jurisdictional claims in published maps and institutional affiliations. |
© 2021 by the author. Licensee MDPI, Basel, Switzerland. This article is an open access article distributed under the terms and conditions of the Creative Commons Attribution (CC BY) license (https://creativecommons.org/licenses/by/4.0/).
Share and Cite
Philipsen, O. Lattice Constraints on the QCD Chiral Phase Transition at Finite Temperature and Baryon Density. Symmetry 2021, 13, 2079. https://doi.org/10.3390/sym13112079
Philipsen O. Lattice Constraints on the QCD Chiral Phase Transition at Finite Temperature and Baryon Density. Symmetry. 2021; 13(11):2079. https://doi.org/10.3390/sym13112079
Chicago/Turabian StylePhilipsen, Owe. 2021. "Lattice Constraints on the QCD Chiral Phase Transition at Finite Temperature and Baryon Density" Symmetry 13, no. 11: 2079. https://doi.org/10.3390/sym13112079
APA StylePhilipsen, O. (2021). Lattice Constraints on the QCD Chiral Phase Transition at Finite Temperature and Baryon Density. Symmetry, 13(11), 2079. https://doi.org/10.3390/sym13112079

