Next Article in Journal
Sensitivity of Neutron-Rich Nuclear Isomer Behavior to Uncertainties in Direct Transitions
Next Article in Special Issue
Lattice Constraints on the QCD Chiral Phase Transition at Finite Temperature and Baryon Density
Previous Article in Journal
Polar Alkoxy Group and Pyridyl Effects on the Mesomorphic Behavior of New Non-Symmetrical Schiff Base Liquid Crystals
Previous Article in Special Issue
Degeneracy Patterns of Chiral Companions at Finite Temperature
 
 
Font Type:
Arial Georgia Verdana
Font Size:
Aa Aa Aa
Line Spacing:
Column Width:
Background:
Article

Gliding Down the QCD Transition Line, from Nf = 2 till the Onset of Conformality

by
Andrey Yu Kotov
1,2,
Maria Paola Lombardo
3,* and
Anton Trunin
4
1
Juelich Supercomputing Centre, Forschungszentrum Juelich, D-52428 Juelich, Germany
2
Bogoliubov Laboratory of Theoretical Physics, Joint Institute for Nuclear Research, 141980 Dubna, Russia
3
INFN, Sezione di Firenze, 50019 Sesto Fiorentino, Italy
4
Physics Department, Samara National Research University, 443086 Samara, Russia
*
Author to whom correspondence should be addressed.
Symmetry 2021, 13(10), 1833; https://doi.org/10.3390/sym13101833
Submission received: 22 June 2021 / Revised: 18 August 2021 / Accepted: 2 September 2021 / Published: 1 October 2021
(This article belongs to the Special Issue Advances on Chiral Symmetry and Its Restoration)

Abstract

We review the hot QCD transition with varying number of flavours, from two till the onset of the conformal window. We discuss the universality class for N f = 2 , along the critical line for two massless light flavours, and a third flavour whose mass serves as an interpolator between N f = 2 and N f = 3 . We identify a possible scaling window for the 3D O ( 4 ) universality class transition, and its crossover to a mean field behaviour. We follow the transition from N f = 3 to larger N f , when it remains of first order, with an increasing coupling strength; we summarise its known properties, including possible cosmological applications as a model for a strong electroweak transition. The first order transition, and its accompanying second order endpoint, finally morphs into the essential singularity at the onset of the conformal window, following the singular behaviour predicted by the functional renormalisation group.

1. Phases of QCD and Critical Behaviour

Strong interactions have different phases in the space of the number of flavours N f , quark mass, temperature [1,2]. At low temperatures and low number of flavours their chiral symmetry is spontaneously broken. The hot symmetric phase is known as quark gluon plasma; in the chiral limit the phase transitions may be of a second order for N f = 2 , probably in the universality class of the three dimensional O ( 4 ) ferromagnet. The addition of a third flavour to the N f = 2 theory produces the so-called N f = 2 + 1 theory, which interpolates between N f = 2 and N f = 3 [3]. The strength of the transition increases with N f [4], and it is unclear when it turns into a first order transition [5,6,7]. At zero temperature the symmetric phase is conformal: it is separated from the broken phase by a conformal phase transition [2,8]—similar to a Berezinskii–Kosterlitz–Thouless (BKT) transition: the scaling of the order parameter reveals an essential singularity. It is not clear—to our knowledge—how the line of first order phase transitions expected at large N f would turn into a conformal transition, and indeed other scenarios are possible, including a power-law scaling [9] and even a first order transition [10,11].
The critical line of QCD (Figure 1) separates the hadronic phase from a hot phase where chiral symmetry is restored—for physical values of the quark masses, this is the phase explored in heavy ion collisions, much explored also on the lattice [12,13]. At zero temperature, in the broken phase, we have the Goldstone singularity. Above a critical number of flavours the theory is conformal, with anomalous dimension [2]. The global symmetry of QCD: U ( n ) L × U ( n ) R S U ( n ) × S U ( n ) × U ( 1 ) V × U ( 1 ) A valid at classical level is broken by topological fluctuations, for which the η mass gives an experimental evidence. The remaining symmetry is then U ( n ) L × U ( n ) R / U ( 1 ) S U ( n ) × S U ( n ) × U ( 1 ) V . This prompted the question [14]: Which chiral symmetry is restored at high temperature?
U ( 1 ) A will always be broken, but the amount of breaking may well be sensitive to the temperature, leading to an approximate restoration, and a natural question arises on the interrelation of the S U ( N ) × S U ( N ) symmetry with the U ( 1 ) A symmetry. Since the chiral condensate breaks the U ( 1 ) A symmetry, the only possibilities are a near-coincidence of the two transitions, or an axial breaking persisting beyond chiral restoration.
The axial symmetry is discriminating: if its breaking is not much sensitive to the chiral restoration, the breaking pattern for N f = 2 is indeed S U ( 2 ) L × S U ( 2 ) R S U ( 2 ) V or O ( 4 ) O ( 3 ) [1]. Due to the associate diverging correlation length, the theory is effectively three dimensional, leading to the well known 3D O ( 4 ) universality class. If instead axial symmetry is correlated with chiral symmetry, the relevant breaking pattern is U ( 2 ) L × U ( 2 ) R U ( 2 ) V , hinting either at a first or even at a second order transition with different exponents [15].
Beyond two flavours, the issue of the anomaly becomes more subtle: the definition of a proper order parameter for axial symmetry is entangled with different susceptibilities associated with different flavours [16]. Some studies indicate restoration above T c [17,18,19,20,21,22,23,24,25,26,27,28,29,30,31], others find hints of a near-coincidence of the two transitions [5,29]. Our recent study [32], which will be reviewed in detail in Section 4, attempts at quantifying the limit of the scaling window and finds compatibility with 3D O ( 4 ) , thus implicitly suggesting a separation between the two transitions. However, we have also observed a correlation between the η meson mass and the chiral condensate around the transition, which may also be compatible with their coincidence [33,34]. Figure 2 and Figure 3 illustrate two possible scenarios for the critical behaviour and scaling window between N f = 2 and N f = 3 . We will discuss them in detail in Section 3 and Section 4.
For N f = 3 , 4 the standard lore is a first order transition, even if some contrasting evidence has been reported [5]. The strength of the transition increases with N f [4,35,36,37], and this has been used as a possible paradigm for the generation of gravitational waves at a strong electroweak transition in models with composite Higgs [38].
All the phenomena above are intrinsically non-perturbative, and the lattice approach has been extensively used to address them. They are often discussed from different viewpoints, having in mind different applications. Here, we would like to present a general overview, attempting at a synthesis. The remaining of this report is organised as follows: in the next Section we review the theoretical knowledge about the critical line. The following two Sections contain results for N f = 2 and N f = 2 + 1 . In these Sections we rely mostly on our work, and, for the latter case, we include some unpublished analysis. In addition, we use this case to illustrate some recent proposal for the study of the critical behavior. Section 5 reviews the effort towards the identification of the critical endpoint of a first order transition for N f = 3 , 4 . Section 6 is devoted to large N f and to the approach to the conformal window. We conclude with a brief summing up.

2. Universal Approach to Phase Transitions

We summarise here a few general aspects of the different critical behaviours encountered along the critical line, while the numerical evidence for the different possibilities is discussed in the following Sections.
To make this discussion self-contained, let us summarise a few facts about phase transitions and critical behaviour, see, e.g., Ref. [39] for a complete discussion. We consider a system undergoing a phase transition between phases characterised by different symmetries, under the action of an external parameter (temperature, for instance). Early descriptions of such systems were made in the framework of the Landau mean-field theory, which is based on a local, space homogeneous order parameter M. The free energy F is analytic in M and in the temperature T, and it is truncated to fourth order in M: F ( M , T ) = F ( 0 , T ) + V a ( T ) M 2 + V b ( T ) M 4 , with a ( T ) = a 0 τ and b = b 0 , and a 0 , b 0 are positive. τ is the reduced temperature τ = ( T T c ) / T . Under these assumptions, the minimisation of the free energy gives the well-known power-law behaviour for the order parameter with M ( T ) = M 0 τ β , β = 1 / 2 . The Landau theory is readily generalised to include an external field linearly coupled to the order parameter, F ( M , T ) = F ( 0 , T ) + V a ( T ) M 2 + V b ( T ) M 4 V M h . The power-law singularity at h = 0 , T = T c is washed out, while a singular behaviour at T c is manifest in the scaling of the order parameter M h δ , δ = 1 / 3 . Experiments, however, show that the mean field exponents are not accurate: to address this, a phenomenological scaling theory has been developed, which still produces a power-law behaviour for the order parameter, but with different exponents. A pivotal assumption, theoretically motivated within a renormalisation group approach, is that the behaviour of the system is completely controlled by a diverging correlation length at the critical point. The essence of the behaviour is captured by the universal Equation of State (EoS), which is characteristic of a given combination of symmetry breaking pattern and dimensionality:
M / h 1 / δ = f ( t / h 1 / β δ ) .
In the QCD EoS we will identify M ψ ¯ ψ , h m q , t T T c , m q is the quark mass, and T c is the critical temperature in the chiral limit: the bare quark mass and the chiral condensate play the role of the external breaking field and of the spontaneous magnetisation. Note that there are two arbitrary normalisations for M and for T. A detailed discussion together with explicit calculations in spin models may be found, e.g., in Ref. [40]. f is a regular function: by expanding it to first order, and setting β = 0.5 , δ = 3 one recovers the Landau mean field behaviour. The question now is, what triggers the crossover from mean field to the critical behaviour? A short answer is to follow the Ginzburg criterium [41]: the correlation length increases towards the critical point, and at some point the fluctuations take over, the details of the microscopic behaviour do not matter, and the system shows the appropriate universal behaviour. Interestingly, the same reasoning applies to weakly first order transitions [42]. In short summary, when approaching a critical region, one may observe first a mean-field behaviour, then, when the Ginzburg criterium is satisfied, the true critical behaviour will appear. The crossover between the interaction-dominated region, which follows mean-field predictions, to the true critical regime, dominated by the diverging correlation length, has been extensively studied in condensed matter systems [15,43]. In the following, we will search for it in the QCD transition where it is much less explored.
Let us consider first the case of a continuous, second order transition. The discussion is general, we will use, however, as concrete examples the mean field and the three dimensional O ( 4 ) universality class.
To describe the critical behaviour, it is convenient to use an alternative, equivalent form of the EoS for the order parameter:
M = h 1 / δ f G ( t / h 1 / β δ ) .
The high x and low x expansions
f G ( x ) = x γ n = 0 d n x 2 n Δ , x + = ( x ) β n = 0 c n ( x ) n Δ / 2 , x
with x t / h 1 / β δ , Δ β δ , γ = β ( δ 1 ) are known [44], and the coefficients have been computed in spin models for the O ( 4 ) continuous universality class [44]. Ref. [44] found a good interpolating form around x = 0 :
f G ( x ) = b 1 + 2 b 2 x + 3 b 3 x 2 + 4 b 4 x 3 + 5 b 5 x 4 + 6 b 6 x 5 ,
whose coefficients are tabulated in the paper [44].
To identify the critical scaling, and the critical temperature in the chiral limit, at finite temperatures there are basically three (interrelated) strategies:
  • Direct comparison with the Equation of State;
  • The study of the dependence of the pseudo-critical temperatures on the breaking field, also known as scaling of pseudo-critical temperatures;
  • Definition of RG invariant quantities, which do not depend on the breaking field at the critical point.
The second one is probably the most popular: in practice, one relies on pseudo-critical temperatures associated with features of the order parameter, or related observables. For instance, considering the expression for the susceptibilities
χ L = ψ ¯ ψ m , χ Δ = ψ ¯ ψ T
derived from the EoS, one finds that for the O ( 4 ) universality class they peak at t / h 1 / β δ = 1.35 ( 3 ) and t / h 1 / β δ = 0.74 ( 4 ) , respectively. The corresponding pseudo-critical temperatures
T c s ( m π ) = T c ( 0 ) + k s m π 2 / β δ
(where s labels the different observables) should scale with the pion mass m π with the same exponent 2 / β δ , but with different k s s , whose ratio is a prediction of universality. The longitudinal and transverse susceptibility χ L and χ T , where χ T ψ ¯ ψ / m , may be used to implement the third approach, based on RG invariant quantities [45,46,47].
All these approaches are prone to suffer from the contamination of regular terms, especially when the pseudo-critical temperature T c s associated with the particular observable s under consideration has a strong dependence on the breaking field, i.e., on the pion mass (see also Refs. [17,32]). These considerations suggest an alternative order parameter [32], see also [48,49], free from linear contributions:
ψ ¯ ψ 3 m ( χ T χ L ) ψ ¯ ψ m χ L ψ ¯ ψ m ψ ¯ ψ m .
We dubbed this order parameter ψ ¯ ψ 3 to highlight the fact that the leading m correction in its Taylor expansion, when defined, is m 3 . Longitudinal and transverse susceptibility become degenerate at the transition in the chiral limit, hence their difference is an order parameter.
The m factor has been included to avoid divergences in the chiral limit in the broken phase. The associated Equation of State reads:
ψ ¯ ψ 3 m 1 / δ = f G ( x ) ( 1 1 / δ ) + x β δ f G ( x ) .
Interestingly, the high temperature leading term is ψ ¯ ψ 3 t γ 2 β δ rather than ψ ¯ ψ t γ : the decay is rather fast, not surprisingly given that this observable is closer to the chiral condensate in the chiral limit.
In Figure 4 we compare the EoS for ψ ¯ ψ 3 with the one for ψ ¯ ψ for the 3D O ( 4 ) Universality class, and for mean field. Note the sharper decrease in ψ ¯ ψ 3 , consistent with it being closer to the critical behaviour. Away from criticality dimensional reduction is less and less justified, and the system remains four dimensional and possibly closer to mean field. For instance, mean field scaling has been reported in large-N Gross–Neveu [50], where the scaling window shrinks to zero, and also in weak first order transitions [42]. The extent of the scaling window is a non-universal feature—a recent analysis for spin models is in Ref. [51]. It is then very natural to compare the 3D O ( 4 ) Equation of State with the prediction of mean field: mean field is indeed very close to 3D O ( 4 ) (see again Figure 1), so the transition from the scaling window to a regime with small fluctuations could be very smooth.
From the Equation of State data we can estimate the inflection point, which will drive the behaviour of the pseudo-critical temperature associated with ψ ¯ ψ 3 , x infl = 0.55 ( 1 ) where the error has been estimated from the dispersion of different fits interpolating the high and low temperature branches. Table 1 summarises the finding for the k s s for the different chiral observables.
As we will discuss in Section 4, as of today, N f = 2 is serious candidate for a second order behaviour.
We move from second to first order transition by increasing N f . One way to interpolate continuously between different N f ’s is by tuning the mass of the ’extra’ flavour. The original discussion is Ref. [3], and refers to the horizontal axis of Figure 2: there is a first order transition for N f = 3 , terminating at a critical point in the Z 2 universality class at m s = m crit s . For m s m crit s , m s merely renormalises the coefficients of the effective action, resulting in a shift of the critical temperature, without changing the critical behaviour [3]. In this case, one conventionally assumes that there is a line of second order transition > m s > m crit s , T c = T c ( m s ) . The question is, how the scaling window for N f = 2 morphs into the scaling window around m crit s . Figure 2 presents a simplistic scenario: the scaling windows in m l on either sides shrink till they almost disappear in the middle. Therefore, the two scaling windows basically do not communicate. A more compelling answer would require an analysis of the pseudo-critical behaviour around m crit s [52]. Interestingly, in Ref. [16] the standard subtracted condensate
χ S χ K = 2 m s m s 2 m l 2 q ¯ q l ( T ) 2 m l m s s ¯ s ( T )
has been advocated as a diagnostic tool for the behaviour with a finite m s . Figure 3 shows the alternative first order scenario, which is also a generic prototype for larger N f .
The first order region for larger N f is ’uneventful’ from the perspective of the critical behaviour. Its important feature is the endpoint: when the breaking field becomes stronger, the transition weakens, and finally it becomes a continuous one. The weakening of the first order transition has been studied in detail in q-state Potts models [42], where the strength of the transition has been linked to the position of the spinodal point—the apparent divergence point of the correlation length. At the endpoint of the first order transition the strength becomes zero, and the spinodal points collapse on the critical point. The axes are no longer the usual ones, and are defined by the directions of the first order line. A clean observation of the endpoint is essential to complete the analysis of a first order behaviour.
When N f increases, the coupling at the transition is known to become stronger [36,37]. The zero temperature theory has scale separation, and may be used to model a composite Higgs [38]. The high temperature first order transition may offer a model of a strong electroweak transition [53], a very attractive possibility for gravitational wave generation.
The zero temperature quantum phase transition is expected to be conformal [2], although other possibilities cannot be excluded, including a first order transition [10,11], and a power-law scaling [9]. It occurs for a non-integer number of flavours, and observing it by extrapolation needs a control on the scaling setting procedure for different theories. The behaviour with a finite mass is less established in this case. It is studied in Ref. [54], but to our knowledge this general scaling has not been directly applied to the case at hand. The universal behaviour of a conformal transition with a breaking field remains an open problem.

3. N f = 2

A much discussed scenario for N f = 2 is a second order transition, see Figure 2. The search for universality is mostly done via the scaling of the pseudo-critical temperature according to Equation (6). The scaling works, within the large errors: basically, the data are consistent with a linear scaling of the pseudo-critical temperature with the pion mass, to be compared with the predicted power law scaling with T c ( m π ) m π 2 / δ m π 1.08 for the 3D O ( 4 ) universality class. The U ( 2 ) × U ( 2 ) U ( 2 ) pattern predicts a very similar scaling, m π 2 / δ m π 1.16 , leading to an indistinguishable behaviour within the current errors.
The possibility of a first order transition is also explicitly considered for two flavours. In such scenario, depicted in Figure 3, the first transition region stretches all the way till there N f = 3 , bordered by a line of Z 2 endpoints [5].
The Z 2 endpoint has been extensively searched for in QCD with three flavours (see next Section), and it has proven to be elusive and very sensitive to lattice details. As a part of these uncertainties, there is no clear indication of mixing at the critical point, so in practical analysis the mixing is ignored. The search for a first order scenario then relies on direct searches, so far unsuccessful, at small masses, as well as on the scaling of the pseudo-critical temperature:
T c s ( m π ) = T c + k s A ( m π 2 m c 2 ) 1 / β δ
with 1 / β δ = 0.64 for the Z 2 universality class [55].
The outcome of these analysis [56] is that there is no evidence for m c . A recent study [29] confirms these findings, after performing a careful comparison of the different breaking patterns. Summing up, it is impossible to discriminate among different universality classes on the basis of the scaling of T c ( m π ) alone. On the positive side, the critical temperature in the chiral limit is robust against different choices: T c ( 0 ) ( O ( 4 ) ) = 163 ( 27 ) MeV and T C ( 0 ) ( U ( 2 ) × U ( 2 ) ) = 167 ( 25 ) MeV, which compares well with the twisted mass results T c = 152 ( 26 ) [56].
On the analytic side, interesting studies in four dimensions [9] have suggested scaling behaviour only for pion masses below 1 MeV. There is, however, an apparent scaling for much larger masses, and it would be interesting to see whether the apparent scaling for larger masses is compatible with a mean field analysis.
Important complementary information comes from the analysis of screening masses [14]: some studies find the axial breaking much reduced at the chiral transition. A detailed discussion is found in Ref. [28], but the issue remains open as different observables appear to give different information.

4. N f = 2 + 1 , and the Physical Point

This is a much studied theory, as it includes the physical case of a strange mass (see Figure 2) with hope that the light quarks will still be within, or not too far from, the scaling window. We note that the results in the chiral limit may have a phenomenological relevance, according to low energy effective theory computations: the two massless flavour chiral transition temperature is an upper bound for the temperature of the critical endpoint [47]. Clearly only a full ab-initio computation may confirm or disprove this, and, in turn, such observation would be a validation of these models.
This Section is mostly based on our recent work [32], where we have made use of the ad-hoc order parameter introduced in Section 2. The results are obtained with a dynamical charm. However, around the critical temperature a dynamical charm is completely decoupled, hence we are effectively discussing the N f = 2 + 1 theory, with a physical strange mass. We have simulated four different pion masses, from the physical value till 470 MeV. Our simulations are performed in the fixed scale approach, where we keep the bare lattice parameters fixed and vary temperature by varying the number of lattice spacings in the temporal direction, to cover a temperature span ranging from 120 MeV till 800 MeV, approximatively. Our ensembles, as well as more details, can be found in Refs. [32,33,34].
Before turning to our results, let us briefly summarise the current status. By use of a subtracted condensate and related susceptibilities, as well as finite volume scaling, Refs. [13,17] find a satisfactory O ( 4 ) scaling up to nearly physical pion mass, with T c = 132 6 + 3 MeV. A recent FRG study [57] confirms these findings, but with a slightly larger T c = 142 MeV in the chiral limit.
For the discussion of the universality class and the chiral limit we consider the chiral condensate, the connected and the full susceptibility. These observables suffer from an additive renormalisation, which, in our fixed scale approach, does not affect the estimate of the pseudocritical point. However, it hampers the direct comparison with the Equation of State, and blurs the behaviour of the pseudo-critical temperatures, which receive mass corrections. By contrast, the observable ψ ¯ ψ 3 :
ψ ¯ ψ 3 = ψ ¯ ψ m l χ L
is free from linear additive renormalisation, as well as from linear correction to scaling.
We use various functional forms to parameterise our observables in various intervals, and to identify the associated pseudo-critical temperature. We then use the difference among results from different intervals and fitting forms to estimate the systematic error. In some cases, in particular for the full susceptibility, no explicit parameterisation fared well through the data. In this case, we have also used cubic splines as smooth interpolators, estimating statistical uncertainty by adding random Gaussian noise to each point, weighted by statistical uncertainty of our data points. The details can be seen in our recent publication [32].
In Table 2, reproduced from Ref. [32], we summarise our results for the pseudo-critical temperatures extracted from different chiral observables.
The fits for the pseudo-critical temperatures proceed exactly as for the N f = 2 case, so we do not repeat the discussion here, and simply show the summary plots, from Ref. [32], in Figure 5. Mutatis mutandis, it remains true that the results in the chiral limit do not depend on the universality class.
An interesting added feature is the possibility to check the ratio of the k s s : the scaling is not quantitatively accurate, but to some extent consistent with 3D O ( 4 ) .
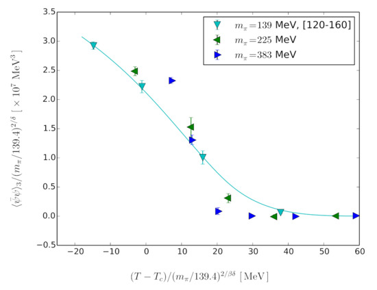
Since ψ ¯ ψ 3 is free from additive renormalisation, and the multiplicative renormalisation is available, we can convert it to physical units. This also allows us to attempt a semi-quantitative check of critical scaling. One first simple way of doing this is to identify the scaling of the condensate at T c :
ψ ¯ ψ 3 ( m ) m π 2 / δ .
The results for the chiral condensate rescaled by m π 2 / δ should cross at the critical point in the chiral limit. The curves for two lightest masses cross around T = 138 MeV [32], which may be taken as a tentative estimate of the critical temperature. We can then try to draw the (would be) scale invariant plot ψ ¯ ψ 3 / m π 2 / δ versus ( T 138 MeV ) / m π 2 β δ for different masses. Indeed, the results fall more or less on the same curve, see Figure 6, and we have observed that this approximate scaling behaviour degrades rapidly when T c is varied by more than a couple of MeV around T c = 138 MeV. However, a fit to the 3D O ( 4 ) Equation of State and a constrained T c = 138 MeV works nicely only for the physical pion, see the continuous line in Figure 6. This behaviour is reminiscent of that observed in Ref. [62], where an apparently good scaling is observed at larger masses, which is, however, distinct from the predicted three dimensional O ( 4 ) scaling. In conclusion, after constraining the critical temperature to the best estimate in the chiral limit coming from the empirical universal scaling, we observe a qualitative scaling for the reduced variables, but the would-be universal curve is clearly different from that predicted by the 3D O ( 4 ) universality.
Next, we fit to the 3D O ( 4 ) Equation of State with an open critical temperature, and (pion mass dependent) scaling parameters. The fits are satisfactory, but the would be critical temperature T c depends heavily on the pion mass: we find T c = 142(2), 159(3), 174(2) MeV, from light to heavy masses. Interestingly, for the physical pion mass the result for the critical temperature in the chiral limit is consistent with the estimate from the mass scaling of the condensate.
Summarising: we obtain a good scaling with a common temperature T c = 138 MeV, but at the price of violating the universal EoS. Or, we fit all the masses to the universal EoS, but at the price of forfeiting the parameters’ scaling. The only consistency is for the lowest pion mass, which may be taken as an indication of the onset of the scaling behaviour for masses around the physical values.
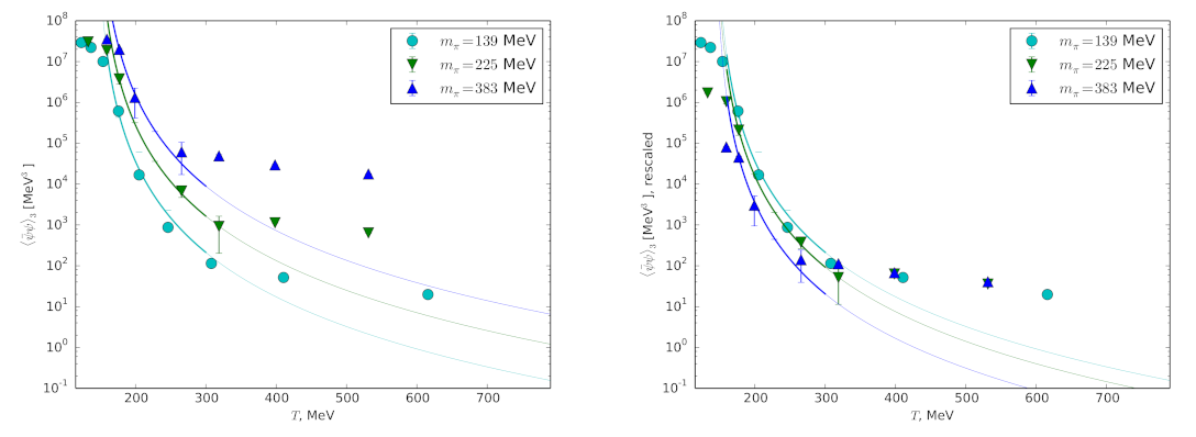
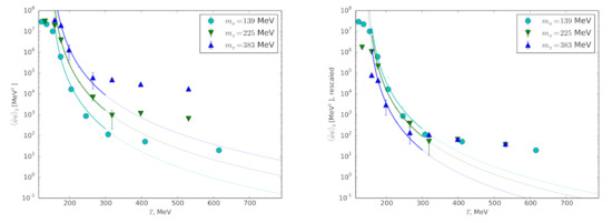
Finally, we consider the high temperature limit: in Figure 7, left, show fits to a constrained O ( 4 ) behaviour, for our preferred critical temperature in the chiral limit T c = 138 MeV (the sensitivity to T c is very mild in this case): the results in the interval of temperatures [160:300] MeV (marked bold) fare nicely through the data. For T > 300 MeV the behaviour is distinctly different: in the right-hand plot (from Ref. [32]) we show the data rescaled according to m q 3 m π 6 , the anticipated high temperature leading behaviour, and indeed we see that the scaling is nicely satisfied above 300 MeV. This suggests that the temperature extent of the scaling window above T c extends up to about 300 MeV, and then a simple regular behaviour follows, unrelated with criticality. In a previous study [63,64], we have found that this is also the threshold for a behaviour consistent with the dilute instanton gas approximation.
One final comment concerns the U ( 1 ) A symmetry: given its prominent role, it is natural to resort to its analysis to try to shed more light on the symmetry pattern. However, again, the problem remains open: the current understanding is that it seems to be effectively restored above T c [17,18,19,20,21,22,23,24,25,26,27,28,29,30,31], but there is no consensus on the restoration temperature. For instance, Ref. [17] finds the axial symmetry still broken at T 1.6 T c , while Ref. [29] suggests a near-coincidence of axial and chiral transition. An interesting probe of the interrelation of the axial and chiral symmetry is the η meson, which seems to be well correlated with the chiral condensate also around T c , favouring to some extent a close interrelation of the different symmetries [34].
As a summary of this discussion, we plot the results in the m π , m s , T space in Figure 8.

5. N f = 3 , 4 : Between the Physical Region and the Pre-Conformal Window

Much of the effort in these cases focuses on the search for the critical endpoint of the expected first order transition. Nice overviews of recent results can be found in [5,65], including an extensive bibliography. The main conclusion (shared by all authors) is that the precise location of the critical endpoint is hard to pinpoint, and very sensitive to the lattice discretisation. Recent results from Ref. [66] indicate m π c 110 MeV and T c 134 ( 3 ) MeV. This value, rather close to the estimated critical temperature of the N f = 2 + 1 flavour, is obviously an upper bound to the critical temperature in the chiral limit for the N f = 3 theory. Assuming—rather arbitrarily—that the slope of the critical first order line is not too different from the slope of the pseudo-critical line of the N f = 2 + 1 + 1 theory, one may estimate a critical temperature for the N f = 3 theory at T c ( N f = 3 ) 120 MeV. (We note that some recent unpublished studies presented at the latest Lattice conference indicate a lower value T c ( N f = 3 ) 100 MeV [67]).
The candidate endpoint, as well as the guess at the critical temperature in the chiral limit are both marked in Figure 9 as a blue and cyan triangles, respectively.
Since most studies for N f = 3 have been carried out with staggered fermions, a suggestion was made [65] that the rooting needed at N f = 3 may be the source of the strong lattice artifacts observed. This motivated an analysis of the N f = 4 theory, which is free from the rooting issue. However, also in this case it was not possible to locate the critical point with confidence.
In the most recent study [68] an extensive investigation with unimproved staggered fermions covering the whole range of N f = 2 to N f = 8 was reported. The results suggest that for all studied values of N f the first order region significantly shrinks upon taking the continuum limit and eventually the chiral transition in the chiral limit might be second-order (although a tiny first-order region cannot be excluded).

6. Large N f

From now on, we approach the conformal window: a region of the phase diagram where chiral symmetry remains unbroken also at zero temperature. Let us then take one step backwards, and ask: what triggers the breaking of the S U ( N f ) × S U ( N f ) symmetry? In the following, we briefly summarise the original model calculations leading to the discovery of the conformal window [2,69]. It is clear that, since these phenomena are strongly-coupled, non-perturbative ones, ab-initio studies, such as lattice QCD simulations, are needed to confirm, or disprove, analytic predictions.
Let us consider the renormalisation group equation for the running coupling:
μ μ α ( μ ) = β ( α ) b α 2 ( μ ) c α 3 ( μ ) ,
where α ( μ ) = g 2 ( μ ) / 4 π . With N colors and N f fermions in the fundamental representation
b = 1 6 π 11 N 2 N f ,
c = 1 24 π 2 34 N 2 10 N N f 3 N 2 1 N N f .
Hence, the theory is asymptotically free if b > 0 , i.e., N f < 11 2 N , and it has an infrared stable, non-trivial fixed point (FP) α * = b / c if b > 0 and c < 0 . This happens for 34 N 3 13 N 2 + 3 < N f < 11 2 N , in short N f < N f < N f .
With the infrared FP for N f < N f < N f the RG equation for the running coupling can be written as
b log q μ = 1 α 1 α ( μ ) 1 α * log α α ( μ ) α * α ( μ ) α α * ,
where α = α ( q ) .
For α , α ( μ ) < α * we can introduce a scale defined by
Λ = μ exp 1 b α * log α * α ( μ ) α ( μ ) 1 b α ( μ ) ,
so that 1 α = b log q Λ + 1 α * log α α * α . Then, for q Λ the running coupling displays the usual perturbative behaviour: α 1 b log q Λ , while for q Λ it approaches the fixed point α * : α α * 1 + 1 e q Λ b α * .
These considerations, already present in the famous Banks-Zaks paper [70], lead to the discovery of the conformal window [69], once one takes into account the condition for chiral breaking. The analysis of two-loop effective potential finds that chiral symmetry breaking is favoured when
α c π 3 C 2 ( R ) = 2 π N 3 N 2 1 ,
where C 2 ( R ) is the quadratic Casimir of the representation.
Till there are no zeros of the beta function, this large value is always reached: as long as N f is below the value N f c at which α * = α c , chiral symmetry is spontaneously broken. When the breaking happens, it washes out the IR fixed point and there is the usual running. For N f > N f c the chirally symmetric theory is infrared conformal [2], with anomalous dimension. The transition at N f c is similar to the BKT one. Below, but not too far from N f c , there is scale separation: in ordinary massless QCD dimensional transmutation generates a dimensional parameter Λ Q C D which is the natural mass scale of the theory. Close to the conformal window the coupling ’walks’ rather than running, between two scales—above the UV scale there is the usual running, below the IR scale confinement sets in. In between the behaviour is near-conformal. This behaviour, known as scale separation (referring the the distinction between IR and UV scale) offers [35] the possibility to build models for a composite Higgs. Lattice studies have scrutinised in detail the model with N f = 8 [71,72,73,74,75], finding evidences of scale separation: the lightest massive state, the scalar of the model, is suited for phenomenology —it could be the Higgs meson. We emphasise that at T = 0 , it is very hard to distinguish a chirally broken theory from a mass-deformed conformal theory, see, for instance, Refs. [76,77,78].
Other vector states lie much above—this is where scale separation is needed—which is why they have not been observed so far [38,74].
Coming back to the main motivation of this write-up, and so to Figure 1, we are now interested in the thermal transition in the near-conformal region. The first complete sketch of Figure 1 was obtained with FRG methods in Ref. [79]. Lattice studies have focused on the very existence of the transition: indeed, not knowing exactly where the conformal phase begins, the observation of a thermal transition is per se an evidence of a broken phase [73], while within the conformal window temperature merely breaks conformality, and there is no thermal phase transition [80].
A systematic study of the thermal phase transition as a function of the number of flavours has been carried out in Refs. [36,37]. The pseudo-critical temperature has been identified by performing lattice simulations for N f = 4 , 6 , 8 . After a suitable choice of a common scale among the different theories, it was possible to extrapolate T c ( N f ) to zero, thus identifying the candidate critical number of flavour. Here, an interesting issue appears: shall T c follow an essential scaling, as expected of the conformal nature of the transition, or, rather, a power law scaling [9]? Again, the quality of the numerical results does not give a clear answer on the nature of the critical behaviour. However, again, luckily, the estimated critical number of flavour does not depend on the parametrisation chosen, within the largish errors [35].
In Figure 9 we show the results in the N f , T plane. We have used the input from Ref. [9], which predicts a linear behaviour of the critical line for small N f , and an estimate of the critical temperature for N f = 3 in the chiral limit to convert the result in the chiral limit for light quarks, and a physical strange mass, to a non-integer number of flavor N f 2.6 . The results for N f = 4 , 6 , 8 are normalized in such a way that T c ( N f = 4 ) follows the linear behaviour predicted for a small number of flavors. The continuous line is the predicted scaling of the critical temperature [79]:
T c = K ( N f c N f ) 2 b 0 2 ( N f c ) / b 1 ( N f c )
with a fixed N f c = 12 (of course this does not depend on the normalization chosen). The exponent 2 b 0 2 ( N f c ) / b 1 ( N f c ) 1.64 should be contrasted with the theoretical prediction 2 b 0 2 ( 12 ) / b 1 ( 12 ) = 1.05 and would correspond to N f c 12.9 [79].
We are not aware of any theoretical modeling which explains how the first order behaviour for smaller N f eventually develops into the conformal transition. One possible scenario is that the second order Z 2 line, which terminates the first order region above the thermal line, shrinks to zero at N f c . Another possibility is a first order transition [10,11]: in such a case the would-be critical number of flavour would correspond to a spinodal point, and the critical line would terminate at 8 < N f 1 s t < 12 , where the lower bound stems from the clean observation of chiral breaking in the eight flavour theory. One interesting observation emerging from the data is the strength of the phase transition: it has been found that it becomes stronger and stronger when approaching the conformal window [4,5,36]. Moreover, at the critical point the coupling at the thermal transitions equals the coupling at the infrared fixed point appearing there [36]. Although the critical behaviour remains unclear, the dynamical scenario seems thus well understood. In particular, the N f = 8 theory remains an interesting candidate for physics beyond the Standard Model [71], and its strong first order transition may then be used to model a strong Electroweak transition and the generation of gravitational waves [53].

7. Summary

The study of the critical line of strong interactions has several interesting points and remaining unknowns.
We started from Figure 1 and we progressively filled in the qualitative summary plot Figure 9 with numerical results. The linear, low N f part of the critical line has been imposed, by aligning the N f = 2 + 1 results with the N f = 2 and N f = 3 , and by suitably renormalising the results for large N f .
A detailed view for a small number of flavours is given in Figure 8. In that plot, we have concentrated on the beginning of the chiral critical line, between N f = 2 and N f = 3 . We have reviewed our results for N f = 2 and for N f = 2 + 1 + 1 , with the strange flavour serving as an interpolator between N f = 2 and N f = 3 . We have discussed the results at the physical point, as well as the different scenarios for the chiral limit in the light sector for N f = 2 , and N f = 2 + 1 . We have identified a candidate scaling window for the 3D O ( 4 ) theory: the physical pion mass maybe right at the onset of scaling, which extends up to temperatures of about 300 MeV.
N f = 3 is an interesting unphysical model which would greatly help understanding the critical behaviour for N f = 2 + 1 : we have briefly reviewed the status of the search of the endpoint for three quarks of equal masses. Such an endpoint would belong to the same Z 2 critical line as the m l = 0 , m s c point in Figure 2. Establishing (or ruling out) such a line would greatly contribute to building a consistent scenario for universality in the physical case.
We have then explored the large N f region, and discussed the approach to the conformal window. Clearly the results for the thermodynamics of these large number of flavours are much less developed than in the other cases, however, there is at least a good compatibility between the anticipated critical behaviour and the data, as well as between the estimated critical number of flavours for the onset of conformality, and the one inferred from the T = 0 studies. It is confirmed that N f = 12 is a subtle, borderline case, which justifies the use of N f = 8 as a model for a walking theory, and related phenomenology.
It remains to be understood how the transition changes its nature for first to second order, towards N f = 2 . From the first order to BKT transition, at the onset of the conformal window, if indeed the BKT transition is realised—the possibility of a first order conformal transition has been discussed as well [10,11], as well as of a second order transition persisting for large N f [68], and this remains an open issue. In either cases this transition may well happen for non-integer number of flavours, or, correspondingly, for a finite value of the interpolating mass in the N f + 1 model. The fate of the anomaly plays an important role in this discussion, and a close comparison between numerical and analytic results may well hold the key to a complete understanding of the properties of the chiral line of strong interactions.

Author Contributions

Conceptualization, all; unpublished analysis, all; writing—original draft preparation, M.P.L.; writing—review and editing, all. All authors have read and agreed to the published version of the manuscript.

Funding

This work is partially supported by STRONG-2020, a European Union’s Horizon 2020 research and innovation programme under grant agreement No. 824093. The work of A.Yu.K. and A.T. was supported by RFBR grant 18-02-40126. A.T. acknowledges support from the “BASIS” foundation. Numerical simulations have been carried out using computing resources of CINECA (based on the agreement between INFN and CINECA, on the ISCRA project IsB20), the supercomputer of Joint Institute for Nuclear Research “Govorun”, and the computing resources of the federal collective usage center Complex for Simulation and Data Processing for Mega-science Facilities at NRC `Kurchatov Institute”, http://ckp.nrcki.ru/ (accessed on 1 June 2021).

Conflicts of Interest

The authors declare no conflict of interest.

References and Note

  1. Pisarski, R.D.; Wilczek, F. Remarks on the Chiral Phase Transition in Chromodynamics. Phys. Rev. D 1984, 29, 338–341. [Google Scholar] [CrossRef]
  2. Miransky, V.A.; Yamawaki, K. Conformal phase transition in gauge theories. Phys. Rev. D 1997, 55, 5051–5066, Erratum in 1997, 56, 3768. [Google Scholar] [CrossRef]
  3. Rajagopal, K.; Wilczek, F. Static and dynamic critical phenomena at a second order QCD phase transition. Nucl. Phys. B 1993, 399, 395–425. [Google Scholar] [CrossRef]
  4. Shuryak, E. QCD with many fermions and QCD topology. J. Phys. Conf. Ser. 2013, 432, 012022. [Google Scholar] [CrossRef]
  5. Philipsen, O. Constraining the phase diagram of QCD at finite temperature and density. In Proceedings of the 37th International Symposium on Lattice Field Theory, (LATTICE 2019), Wuhan, China, 16–22 June 2019; p. 273. [Google Scholar] [CrossRef]
  6. Cuteri, F.; Philipsen, O.; Sciarra, A. Progress on the nature of the QCD thermal transition as a function of quark flavors and masses. In Proceedings of the 36th Annual International Symposium on Lattice Field Theory, (LATTICE 2018), East Lansing, MI, USA, 22–28 July 2018; p. 170. [Google Scholar] [CrossRef][Green Version]
  7. Cuteri, F.; Philipsen, O.; Sciarra, A. QCD chiral phase transition from noninteger numbers of flavors. Phys. Rev. D 2018, 97, 114511. [Google Scholar] [CrossRef]
  8. Miransky, V.A. Conformal phase transition in QCD like theories and beyond. Int. J. Mod. Phys. A 2010, 25, 5105–5113. [Google Scholar] [CrossRef]
  9. Braun, J.; Fischer, C.S.; Gies, H. Beyond Miransky Scaling. Phys. Rev. D 2011, 84, 034045. [Google Scholar] [CrossRef]
  10. Antipin, O.; Mojaza, M.; Sannino, F. Jumping out of the light-Higgs conformal window. Phys. Rev. D 2013, 87, 096005. [Google Scholar] [CrossRef]
  11. Sannino, F. Jumping Dynamics. Mod. Phys. Lett. A 2013, 28, 1350127. [Google Scholar] [CrossRef]
  12. Ratti, C. Lattice QCD and heavy ion collisions: A review of recent progress. Rep. Prog. Phys. 2018, 81, 084301. [Google Scholar] [CrossRef]
  13. Ding, H.T. New developments in lattice QCD on equilibrium physics and phase diagram. In Proceedings of the 28th International Conference on Ultrarelativistic Nucleus-Nucleus Collisions, Wuhan, China, 3–9 November 2020. [Google Scholar]
  14. Shuryak, E.V. Which chiral symmetry is restored in hot QCD? Comments Nucl. Part. Phys. 1994, 21, 235–248. [Google Scholar]
  15. Pelissetto, A.; Vicari, E. Relevance of the axial anomaly at the finite-temperature chiral transition in QCD. Phys. Rev. D 2013, 88, 105018. [Google Scholar] [CrossRef]
  16. Nicola, A.G.; Ruiz de Elvira, J.; Vioque-Rodríguez, A.; Álvarez-Herrero, D. The role of strangeness in chiral and U(1)A restoration. Eur. Phys. J. 2020, 81, 637. [Google Scholar] [CrossRef]
  17. Ding, H.T.; Li, S.T.; Mukherjee, S.; Tomiya, A.; Wang, X.D.; Zhang, Y. Correlated Dirac Eigenvalues and Axial Anomaly in Chiral Symmetric QCD. Phys. Rev. Lett. 2021, 126, 082001. [Google Scholar] [CrossRef]
  18. Kaczmarek, O.; Mazur, L.; Sharma, S. Eigenvalue spectra of QCD and the fate of UA(1) breaking towards the chiral limit. arXiv 2021, arXiv:2102.06136. [Google Scholar]
  19. Kaczmarek, O.; Karsch, F.; Lahiri, A.; Mazur, L.; Schmidt, C. QCD phase transition in the chiral limit. arXiv 2020, arXiv:2003.07920. [Google Scholar]
  20. Aoki, S.; Aoki, Y.; Fukaya, H.; Hashimoto, S.; Rohrhofer, C.; Suzuki, K. Role of axial U(1) anomaly in chiral susceptibility of QCD at high temperature. arXiv 2021, arXiv:2103.05954. [Google Scholar]
  21. Aoki, S.; Aoki, Y.; Cossu, G.; Fukaya, H.; Hashimoto, S.; Kaneko, T.; Rohrhofer, C.; Suzuki, K. Study of the axial U(1) anomaly at high temperature with lattice chiral fermions. Phys. Rev. D 2021, 103, 074506. [Google Scholar] [CrossRef]
  22. Mazur, L.; Kaczmarek, O.; Laermann, E.; Sharma, S. The fate of axial U(1) in 2 + 1 flavor QCD towards the chiral limit. In Proceedings of the 36th Annual International Symposium on Lattice Field Theory, (LATTICE 2018), East Lansing, MI, USA, 22–28 July 2018; p. 153. [Google Scholar] [CrossRef]
  23. Buchoff, M.I.; Cheng, M.; Christ, N.H.; Ding, H.T.; Jung, C.; Karsch, F.; Lin, Z.; Mawhinney, R.D.; Mukherjee, S.; Petreczky, P.; et al. QCD chiral transition, U(1)A symmetry and the Dirac spectrum using domain wall fermions. Phys. Rev. D 2014, 89, 054514. [Google Scholar] [CrossRef]
  24. Suzuki, K.; Aoki, S.; Aoki, Y.; Cossu, G.; Fukaya, H.; Hashimoto, S.; Rohrhofer, C. Axial U(1) symmetry and mesonic correlators at high temperature in Nf = 2 lattice QCD. In Proceedings of the 37th International Symposium on Lattice Field Theory, Wuhan, China, 16–22 June 2019. [Google Scholar]
  25. Kanazawa, T.; Yamamoto, N. U (1) axial symmetry and Dirac spectra in QCD at high temperature. JHEP 2016, 1, 141. [Google Scholar] [CrossRef]
  26. Aoki, S.; Fukaya, H.; Taniguchi, Y. Chiral symmetry restoration, eigenvalue density of Dirac operator and axial U(1) anomaly at finite temperature. Phys. Rev. D 2012, 86, 114512. [Google Scholar] [CrossRef]
  27. Tomiya, A.; Cossu, G.; Aoki, S.; Fukaya, H.; Hashimoto, S.; Kaneko, T.; Noaki, J. Evidence of effective axial U(1) symmetry restoration at high temperature QCD. Phys. Rev. D 2017, 96, 034509, Erratum in 2017, 96, 079902. [Google Scholar] [CrossRef]
  28. Brandt, B.B.; Cè, M.; Francis, A.; Harris, T.; Meyer, H.B.; Wittig, H.; Philipsen, O. Testing the strength of the UA(1) anomaly at the chiral phase transition in two-flavour QCD. In Proceedings of the 9th International Workshop on Chiral Dynamics, Durham, NC, USA, 17–21 September 2019; Volume CD2018, p. 55. [Google Scholar] [CrossRef]
  29. Brandt, B.B.; Francis, A.; Meyer, H.B.; Philipsen, O.; Robaina, D.; Wittig, H. On the strength of the UA(1) anomaly at the chiral phase transition in Nf = 2 QCD. JHEP 2016, 12, 158. [Google Scholar] [CrossRef]
  30. Cossu, G.; Aoki, S.; Fukaya, H.; Hashimoto, S.; Kaneko, T.; Matsufuru, H.; Noaki, J.I. Finite temperature study of the axial U(1) symmetry on the lattice with overlap fermion formulation. Phys. Rev. D 2013, 87, 114514, Erratum in 2013, 88, 019901. [Google Scholar] [CrossRef]
  31. Chiu, T.W.; Chen, W.P.; Chen, Y.C.; Chou, H.Y.; Hsieh, T.H. Chiral symmetry and axial U(1) symmetry in finite temperature QCD with domain-wall fermion. In Proceedings of the 31st International Symposium on Lattice Field Theory (LATTICE 2013), Mainz, Germany, 29 July–3 August 2014; p. 165. [Google Scholar] [CrossRef][Green Version]
  32. Kotov, A.Y.; Lombardo, M.P.; Trunin, A. QCD transition at the physical point, and its scaling window from twisted mass Wilson fermions. arXiv 2021, arXiv:2105.09842. [Google Scholar]
  33. Kotov, A.Y.; Lombardo, M.P.; Trunin, A.M. Finite temperature QCD with Nf = 2 + 1 + 1 Wilson twisted mass fermions at physical pion, strange and charm masses. Eur. Phys. J. 2020, A56, 203. [Google Scholar] [CrossRef]
  34. Kotov, A.Y.; Lombardo, M.P.; Trunin, A.M. Fate of the η′ in the quark gluon plasma. Phys. Lett. B 2019, 794, 83–88. [Google Scholar] [CrossRef]
  35. Lombardo, M.P.; Miura, K.; Nunes da Silva, T.J.; Pallante, E. One, two, zero: Scales of strong interactions. Int. J. Mod. Phys. A 2014, 29, 1445007. [Google Scholar] [CrossRef]
  36. Miura, K.; Lombardo, M.P. Lattice Monte-Carlo study of pre-conformal dynamics in strongly flavoured QCD in the light of the chiral phase transition at finite temperature. Nucl. Phys. B 2013, 871, 52–81. [Google Scholar] [CrossRef]
  37. Miura, K.; Lombardo, M.P.; Pallante, E. Chiral phase transition at finite temperature and conformal dynamics in large Nf QCD. Phys. Lett. B 2012, 710, 676–682. [Google Scholar] [CrossRef]
  38. Cacciapaglia, G.; Pica, C.; Sannino, F. Fundamental Composite Dynamics: A Review. Phys. Rep. 2020, 877, 1–70. [Google Scholar] [CrossRef]
  39. Pelissetto, A.; Vicari, E. Critical phenomena and renormalization group theory. Phys. Rep. 2002, 368, 549–727. [Google Scholar] [CrossRef]
  40. Engels, J.; Mendes, T. Goldstone mode effects and scaling function for the three-dimensional O(4) model. Nucl. Phys. 2000, B572, 289–304. [Google Scholar] [CrossRef]
  41. Ginzburg, V. On the theory of superfluidity of helium II near the λ point. Fiz. Tverd. Tela 1960, 2, 1824. [Google Scholar] [CrossRef]
  42. Fernandez, L.A.; Ruiz-Lorenzo, J.J.; Lombardo, M.P.; Tarancon, A. Weak first order transitions: The Two-dimensional Potts model. Phys. Lett. B 1992, 277, 485–490. [Google Scholar] [CrossRef]
  43. Hohenberg, P.; Krekhov, A. An introduction to the Ginzburg–Landau theory of phase transitions and nonequilibrium patterns. Phys. Rep. 2015, 572, 1–42. [Google Scholar] [CrossRef]
  44. Engels, J.; Karsch, F. The scaling functions of the free energy density and its derivatives for the 3d O(4) model. Phys. Rev. 2012, D85, 094506. [Google Scholar] [CrossRef]
  45. Kocic, A.; Kogut, J.B.; Lombardo, M.P. Universal properties of chiral symmetry breaking. Nucl. Phys. 1993, B398, 376–404. [Google Scholar] [CrossRef][Green Version]
  46. Karsch, F.; Laermann, E. Susceptibilities, the specific heat and a cumulant in two flavor QCD. Phys. Rev. D 1994, 50, 6954–6962. [Google Scholar] [CrossRef]
  47. Ding, H.; Hegde, O.; Kaczmarek, F.; Karsch, F.; Lahiri, A.; Li, S.-T.; Mukherjee, S.; Ohno, H.; Petreczky, P.; Schmidt, C.; et al. Chiral Phase Transition Temperature in (2 + 1)-Flavor QCD. Phys. Rev. Lett. 2019, 123, 062002. [Google Scholar] [CrossRef]
  48. Kogut, J.B.; Lagae, J.F.; Sinclair, D.K. Topology, fermionic zero modes and flavor singlet correlators in finite temperature QCD. Phys. Rev. 1998, D58, 054504. [Google Scholar] [CrossRef]
  49. Unger, W. The Chiral Phase Transition of QCD with 2 + 1 Flavors: A Lattice Study on Goldstone Modes and Universal Scaling. Ph.D. Thesis, Bielefeld University, Bielefeld, Germany, 2010. [Google Scholar]
  50. Kocic, A.; Kogut, J.B. Phase transitions at finite temperature and dimensional reduction for fermions and bosons. Nucl. Phys. B 1995, 455, 229–273. [Google Scholar] [CrossRef]
  51. Caselle, M.; Sorba, M. Charting the scaling region of the Ising universality class in two and three dimensions. Phys. Rev. D 2020, 102, 014505. [Google Scholar] [CrossRef]
  52. We thank Rob Pisarski for discussions on this point
  53. Miura, K.; Ohki, H.; Otani, S.; Yamawaki, K. Gravitational Waves from Walking Technicolor. JHEP 2019, 10, 194. [Google Scholar] [CrossRef]
  54. Nogawa, T.; Hasegawa, T.; Nemoto, K. Generalized Scaling Theory for Critical Phenomena Including Essential Singularities and Infinite Dimensionality. Phys. Rev. Lett. 2012, 108, 255703. [Google Scholar] [CrossRef]
  55. Vicari, E.; Panagopoulos, H. Theta dependence of SU(N) gauge theories in the presence of a topological term. Phys. Rep. 2009, 470, 93–150. [Google Scholar] [CrossRef]
  56. Burger, F.; Ilgenfritz, E.M.; Kirchner, M.; Lombardo, M.P.; Müller-Preussker, M.; Philipsen, O.; Urbach, C.; Zeidlewicz, L. Thermal QCD transition with two flavors of twisted mass fermions. Phys. Rev. D 2013, 87, 074508. [Google Scholar] [CrossRef]
  57. Braun, J.; Fu, W.J.; Pawlowski, J.M.; Rennecke, F.; Rosenblüh, D.; Yin, S. Chiral Susceptibility in (2 + 1)-flavour QCD. arXiv 2020, arXiv:2003.13112. [Google Scholar]
  58. Bazavov, A.; Ding, H.-T.; Hegde, P.; Kaczmarek, O.; Karsch, F.; Karthik, N.; Laermann, E.; Lahiri, A.; Larsen, R.; Li, S.-T.; et al. Chiral crossover in QCD at zero and non-zero chemical potentials. Phys. Lett. 2019, B795, 15–21. [Google Scholar] [CrossRef]
  59. Aarts, G.; Allton, C.; Glesaaen, J.; Hands, S.; Jäger, B.; Kim, S.; Lombardo, M.P.; Nikolaev, A.; Ryan, S.M.; Skullerud, J.; et al. Spectral quantities in thermal QCD: A progress report from the FASTSUM collaboration. In Proceedings of the 37th International Symposium on Lattice Field Theory, (LATTICE 2019), Wuhan, China, 16–22 June 2019. [Google Scholar]
  60. Aarts, G.; Allton, C.; Glesaaen, J.; Hands, S.; Jäger, B.; Kim, S.; Lombardo, M.P.; Nikolaev, A.A.; Ryan, S.M.; Skullerud, J.-I.; et al. Properties of the QCD thermal transition with Nf = 2 + 1 flavours of Wilson quark. arXiv 2020, arXiv:2007.04188. [Google Scholar]
  61. Borsanyi, S.; Fodor, Z.; Guenther, J.N.; Kara, R.; Katz, S.D.; Parotto, P.; Pasztor, A.; Ratti, C.; Szabó, K.K. QCD Crossover at Finite Chemical Potential from Lattice Simulations. Phys. Rev. Lett. 2020, 125, 052001. [Google Scholar] [CrossRef] [PubMed]
  62. Braun, J.; Klein, B.; Piasecki, P. On the scaling behavior of the chiral phase transition in QCD in finite and infinite volume. Eur. Phys. J. C 2011, 71, 298–306. [Google Scholar] [CrossRef]
  63. Burger, F.; Ilgenfritz, E.M.; Lombardo, M.P.; Trunin, A. Chiral observables and topology in hot QCD with two families of quarks. Phys. Rev. D 2018, 98, 094501. [Google Scholar] [CrossRef]
  64. Lombardo, M.P.; Trunin, A. Topology and axions in QCD. Int. J. Mod. Phys. A 2020, 35, 2030010. [Google Scholar] [CrossRef]
  65. De Forcrand, P.; D’Elia, M. Continuum limit and universality of the Columbia plot. In Proceedings of the 34th International Symposium on Lattice Field Theory (LATTICE 2016), Trieste, Italy, 24–30 July 2016; p. 81. [Google Scholar] [CrossRef][Green Version]
  66. Kuramashi, Y.; Nakamura, Y.; Ohno, H.; Takeda, S. Nature of the phase transition for finite temperature Nf = 3 QCD with nonperturbatively O(a) improved Wilson fermions at Nt = 12. Phys. Rev. D 2020, 101, 054509. [Google Scholar] [CrossRef]
  67. Sharma, S.; Petreczky, P.; Weber, J.H. Talk at lattice 2021. In Proceedings of the 38th International Symposium on Lattice Field Theory, Online, 26–30 June 2021. [Google Scholar]
  68. Cuteri, F.; Philipsen, O.; Sciarra, A. On the order of the QCD chiral phase transition for different numbers of quark flavours. arXiv 2021, arXiv:2107.12739. [Google Scholar]
  69. Appelquist, T.; Ratnaweera, A.; Terning, J.; Wijewardhana, L.C.R. The Phase structure of an SU(N) gauge theory with N(f) flavors. Phys. Rev. D 1998, 58, 105017. [Google Scholar] [CrossRef]
  70. Banks, T.; Zaks, A. On the Phase Structure of Vector-Like Gauge Theories with Massless Fermions. Nucl. Phys. B 1982, 196, 189–204. [Google Scholar] [CrossRef]
  71. Appelquist, T.; Brower, R.C.; Cushman, K.K.; Fleming, G.T.; Gasbarro, A.D.; Hasenfratz, A.; Jin, X.; Neil, E.T.; Osborn, J.C.; Rebbi, C.; et al. Near-conformal dynamics in a chirally broken system. Phys. Rev. D 2021, 103, 014504. [Google Scholar] [CrossRef]
  72. Witzel, O. Review on Composite Higgs Models. In Proceedings of the 36th Annual International Symposium on Lattice Field Theory, (LATTICE 2018), East Lansing, MI, USA, 22–28 July 2018; p. 6. [Google Scholar] [CrossRef]
  73. Deuzeman, A.; Lombardo, M.P.; Pallante, E. The Physics of eight flavours. Phys. Lett. B 2008, 670, 41–48. [Google Scholar] [CrossRef][Green Version]
  74. De Grand, T. Lattice tests of beyond Standard Model dynamics. Rev. Mod. Phys. 2016, 88, 015001. [Google Scholar] [CrossRef]
  75. Aoki, Y.; Aoyama, T.; Kurachi, M.; Maskawa, T.; Nagai, K.I.; Ohki, H.; Shibata, A.; Yamawaki, K.; Yamazaki, T. Walking signals in Nf = 8 QCD on the lattice. Phys. Rev. D 2013, 87, 094511. [Google Scholar] [CrossRef]
  76. Golterman, M.; Shamir, Y. Large-mass regime of the dilaton-pion low-energy effective theory. Phys. Rev. D 2018, 98. [Google Scholar] [CrossRef]
  77. Fodor, Z.; Holland, K.; Kuti, J.; Wong, C.H. Tantalizing dilaton tests from a near-conformal EFT. arXiv 2019, arXiv:1901.06324. [Google Scholar]
  78. Golterman, M.; Neil, E.T.; Shamir, Y. Application of dilaton chiral perturbation theory to Nf = 8, SU(3) spectral data. Phys. Rev. D 2020, 102, 034515. [Google Scholar] [CrossRef]
  79. Braun, J.; Gies, H. Chiral phase boundary of QCD at finite temperature. JHEP 2006, 6, 24. [Google Scholar] [CrossRef]
  80. Ishikawa, K.I.; Iwasaki, Y.; Nakayama, Y.; Yoshie, T. Global Structure of Conformal Theories in the SU(3) Gauge Theory. Phys. Rev. D 2014, 89, 114503. [Google Scholar] [CrossRef]
Figure 1. Sketchy view of the phases of strong interactions in the space spanned by N f massless flavours, and temperature T.
Figure 1. Sketchy view of the phases of strong interactions in the space spanned by N f massless flavours, and temperature T.
Symmetry 13 01833 g001
Figure 2. Zooming in the region between N f = 2 and N f = 3 : assuming a 3D O ( 4 ) scenario, with hypothesised scaling windows in the m l , m s plane (upper diagram).The dotted lines are a possible sketchy behaviour of the crossover between the mean field region and the critical region.
Figure 2. Zooming in the region between N f = 2 and N f = 3 : assuming a 3D O ( 4 ) scenario, with hypothesised scaling windows in the m l , m s plane (upper diagram).The dotted lines are a possible sketchy behaviour of the crossover between the mean field region and the critical region.
Symmetry 13 01833 g002
Figure 3. As Figure 2, but for a first order transition extending from N f = 2 to N f = 3 . There are no theoretical predictions for the shape of the critical Z 2 line and the scaling window, the lines are merely indicative. Above the upper dotted line the behaviour should be compatible with mean field.
Figure 3. As Figure 2, but for a first order transition extending from N f = 2 to N f = 3 . There are no theoretical predictions for the shape of the critical Z 2 line and the scaling window, the lines are merely indicative. Above the upper dotted line the behaviour should be compatible with mean field.
Symmetry 13 01833 g003
Figure 4. The Equation of State for the chiral condensate ψ ¯ ψ and the new order parameter ψ ¯ ψ 3 in the critical region for the O ( 4 ) three dimensional universality class, and for mean field. For a more direct comparison we also plot the results suitably rescaled as thin lines from Ref. [32]).
Figure 4. The Equation of State for the chiral condensate ψ ¯ ψ and the new order parameter ψ ¯ ψ 3 in the critical region for the O ( 4 ) three dimensional universality class, and for mean field. For a more direct comparison we also plot the results suitably rescaled as thin lines from Ref. [32]).
Symmetry 13 01833 g004
Figure 5. Pseudo-critical temperatures with their chiral extrapolations: comparison with the results from the HotQCD collaboration [58], FASTSUM collaboration [59,60], Wuppertal–Budapest collaboration [61]. The purple diamond at m π = 0 marks the critical temperature [47], which compares well with our result T 0 = 134 4 + 6 MeV (light-green cross, slightly shifted for better readability). From Ref. [32].
Figure 5. Pseudo-critical temperatures with their chiral extrapolations: comparison with the results from the HotQCD collaboration [58], FASTSUM collaboration [59,60], Wuppertal–Budapest collaboration [61]. The purple diamond at m π = 0 marks the critical temperature [47], which compares well with our result T 0 = 134 4 + 6 MeV (light-green cross, slightly shifted for better readability). From Ref. [32].
Symmetry 13 01833 g005
Figure 6. Empirical 3D O ( 4 ) scaling with fixed T c = 138 MeV; there is an apparent scale invariance, however, the universal EoS fitted for the physical pion mass —computed with a fit in the interval [120–160 MeV] and marked as a continuous line—does not fare well on the results for the other masses.
Figure 6. Empirical 3D O ( 4 ) scaling with fixed T c = 138 MeV; there is an apparent scale invariance, however, the universal EoS fitted for the physical pion mass —computed with a fit in the interval [120–160 MeV] and marked as a continuous line—does not fare well on the results for the other masses.
Symmetry 13 01833 g006
Figure 7. Fits to a constrained O ( 4 ) behaviour: the results in the interval of temperatures [160:300] MeV (marked bold) fare nicely through the data. For T > 300 MeV the behaviour is distinctly different. In the righthand plot (from Ref. [32]) we show the data scaled according to m 3 m π 6 , the anticipated high temperature leading behaviour.
Figure 7. Fits to a constrained O ( 4 ) behaviour: the results in the interval of temperatures [160:300] MeV (marked bold) fare nicely through the data. For T > 300 MeV the behaviour is distinctly different. In the righthand plot (from Ref. [32]) we show the data scaled according to m 3 m π 6 , the anticipated high temperature leading behaviour.
Symmetry 13 01833 g007
Figure 8. The space spanned by the pion mass, the strange mass, and the temperature, for strange masses ranging from infinite till the physical value. The scaling window identified for N f = 2 + 1 is marked in shades of red.
Figure 8. The space spanned by the pion mass, the strange mass, and the temperature, for strange masses ranging from infinite till the physical value. The scaling window identified for N f = 2 + 1 is marked in shades of red.
Symmetry 13 01833 g008
Figure 9. A sketchy view of the numerical results for the critical temperature T c in the temperature, number of flavour plane. The theories with N f = 2 and N f = 2 + 1 (marked as non-integer number of flavours) have been summarised in Section 3 and Section 4, N f = 3 and N f = 4 in Section 5, and larger N f in Section 6. The approach to the conformal window for N f 12 is apparent for N f 4 . See text for details.
Figure 9. A sketchy view of the numerical results for the critical temperature T c in the temperature, number of flavour plane. The theories with N f = 2 and N f = 2 + 1 (marked as non-integer number of flavours) have been summarised in Section 3 and Section 4, N f = 3 and N f = 4 in Section 5, and larger N f in Section 6. The approach to the conformal window for N f 12 is apparent for N f 4 . See text for details.
Symmetry 13 01833 g009
Table 1. k s for three chiral observables, from the 3D O ( 4 ) Equation of State, see Equation (6).
Table 1. k s for three chiral observables, from the 3D O ( 4 ) Equation of State, see Equation (6).
Observable χ ψ ¯ ψ ψ ¯ ψ 3
k s 1.35(3)0.74(4)0.55(1)
Table 2. Pseudo-critical temperature extracted from the chiral observables, from Ref. [32].
Table 2. Pseudo-critical temperature extracted from the chiral observables, from Ref. [32].
m π [MeV] T Δ T Δ 3 T χ
139157.8(7)(10)146.2(21)(1)152.7(13)(23)
225172(3)(1)163.3(18)(8)171(6)(1)
383187(5)(1)178(4)(0)192(3)(1)
376197(2)(0)181(1)(4)197(2)(3)
Publisher’s Note: MDPI stays neutral with regard to jurisdictional claims in published maps and institutional affiliations.

Share and Cite

MDPI and ACS Style

Kotov, A.Y.; Lombardo, M.P.; Trunin, A. Gliding Down the QCD Transition Line, from Nf = 2 till the Onset of Conformality. Symmetry 2021, 13, 1833. https://doi.org/10.3390/sym13101833

AMA Style

Kotov AY, Lombardo MP, Trunin A. Gliding Down the QCD Transition Line, from Nf = 2 till the Onset of Conformality. Symmetry. 2021; 13(10):1833. https://doi.org/10.3390/sym13101833

Chicago/Turabian Style

Kotov, Andrey Yu, Maria Paola Lombardo, and Anton Trunin. 2021. "Gliding Down the QCD Transition Line, from Nf = 2 till the Onset of Conformality" Symmetry 13, no. 10: 1833. https://doi.org/10.3390/sym13101833

APA Style

Kotov, A. Y., Lombardo, M. P., & Trunin, A. (2021). Gliding Down the QCD Transition Line, from Nf = 2 till the Onset of Conformality. Symmetry, 13(10), 1833. https://doi.org/10.3390/sym13101833

Note that from the first issue of 2016, this journal uses article numbers instead of page numbers. See further details here.

Article Metrics

Back to TopTop