Ferrohydrodynamic and Magnetohydrodynamic Effects on Jet Flow and Heat Transfer of Fe3O4-H2O Nanofluid in a Microchannel Subjected to Permanent Magnets
Abstract
:1. Introduction
2. Physical and Mathematical Model
2.1. Problem Description
2.2. Governing Equations
- mass equation:
- momentum equations:
- energy equation:
- volume fraction equation:where is the magnetostatic pressure.
- inlet:
- outlet:
- lower and upper walls:
- inlet:
- outlet:
- lower and upper walls:
2.3. Numerical Method
2.4. Grid Independence Test
3. Results and Discussion
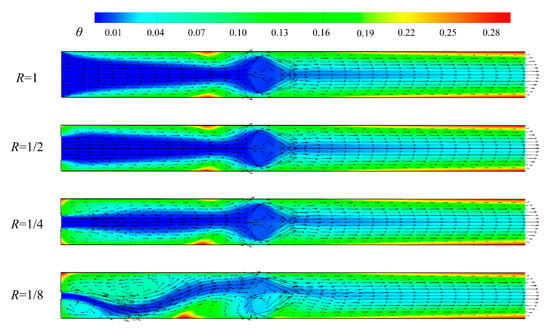
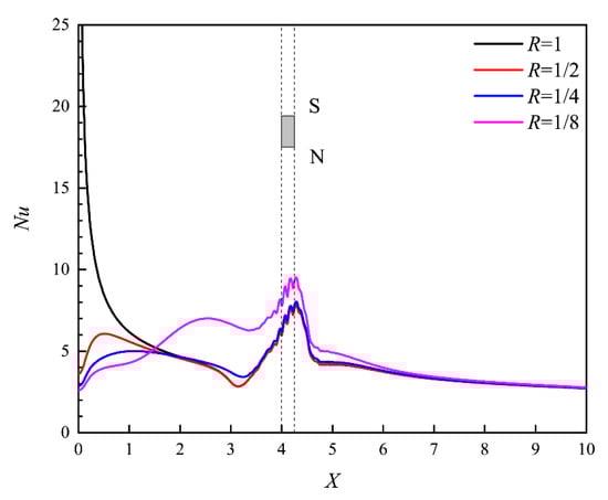
3.1. Effect of Inlet Opening (R)
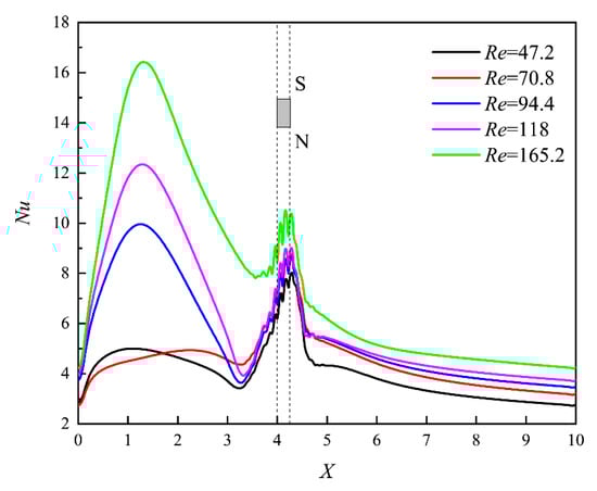
3.2. Effect of Reynold Number (Re)
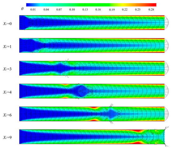
3.3. Effect of Magnet Position (Xi)
4. Conclusions
Author Contributions
Funding
Institutional Review Board Statement
Informed Consent Statement
Data Availability Statement
Acknowledgments
Conflicts of Interest
Appendix A
Appendix B. Nomenclature Table
| Symbol | Unit | Description |
| B | T | magnetic induction |
| Br | T | residual flux density of permanent magnet |
| Cp | J/kg·K | specific heat at constant pressure |
| d | mm | height of jet inlet |
| dp | m | nanoparticle diameter of the base fluid |
| DB | m/s2 | Brownian diffusion coefficient |
| DT | m/s2 | thermophoresis diffusion coefficient |
| f | N/m3 | Kelvin body force |
| H | A/m | magnetic field strength |
| h | mm | channel height |
| h1 | mm | width of magnet |
| h2 | mm | distance between permanent magnet and microchannel |
| k | W/m·K | thermal conductivity |
| kB | J/K | Boltzmann’s constant |
| l | mm | microchannel length |
| l1 | mm | length of magnet |
| M | A/m | magnetization |
| m | A·m | magnetic moment (strength) per unit length of line dipole |
| p | Pa | pressure |
| P | dimensionless pressure | |
| Nu | Nusselt number | |
| Pr | Prandtl number | |
| q | W/cm2 | heat flux density |
| R | opening ratio | |
| Re | Reynolds number | |
| T | K | temperature |
| Tc | K | Curie temperature |
| u, v | m/s | velocity components |
| U | m/s | velocity vector |
| x, y | mm | axial and transverse coordinate |
| xi | mm | position of permanent magnet |
| Xi | dimensionless position of permanent magnet | |
| Greek symbols | ||
| θ | dimensionless temperature | |
| μ | N·s/m2 | dynamic viscosity |
| ρ | kg/m3 | density |
| ϕ | volume fraction of nanoparticles | |
| χ | magnetic susceptibility at operating temperature | |
| χ0 | magnetic susceptibility at reference temperature | |
| μ0 | T·m/A | magnetic permeability of vacuum |
| β | K−1 | volume expansion coefficient |
| γ | Kelvin body force number | |
| Subscripts | ||
| f | base fluid | |
| i | inlet | |
| lower | lower wall | |
| nf | nanofluid | |
| p | nanoparticle | |
| upper | upper wall | |
| w | walls | |
| 0 | reference state | |
| loc | local |
References
- He, Z.; Yan, Y.; Zhang, Z. Thermal management and temperature uniformity enhancement of electronic devices by micro heat sinks: A review. Energy 2021, 216, 119223. [Google Scholar] [CrossRef]
- Rostamian, F.; Etesami, N.; Haghgoo, M. Management of electronic board temperature using heat sink containing pure and microencapsulated phase change materials. Int. Commun. Heat Mass Transf. 2021, 126, 105407. [Google Scholar] [CrossRef]
- Alhusseny, A.; Al-Aabidy, Q.; Al-Zurfi, N.; Nasser, A.; Aljanabi, M. Cooling of high-performance electronic equipment using graphite foam heat sinks. Appl. Therm. Eng. 2021, 191, 116844. [Google Scholar] [CrossRef]
- Kannan, K.G.; Kamatchi, R. Experimental investigation on thermosyphon aid phase change material heat exchanger for electronic cooling applications. J. Energy Storage 2021, 39, 102649. [Google Scholar] [CrossRef]
- Siricharoenpanich, A.; Wiriyasart, S.; Naphon, P. Study on the thermal dissipation performance of GPU cooling system with nanofluid as coolant. Case Stud. Therm. Eng. 2021, 25, 100904. [Google Scholar] [CrossRef]
- Ghasemi, S.E.; Ranjbar, A.; Hosseini, S.M.J. Experimental evaluation of cooling performance of circular heat sinks for heat dissipation from electronic chips using nanofluid. Mech. Res. Commun. 2017, 84, 85–89. [Google Scholar] [CrossRef]
- Keshavarz, F.; Lavasani, A.M.; Bayat, H. Numerical analysis of the effect of nanofluid and fin distribution density on thermal and hydraulic performance of a heat sink with drop-shaped micropin fins. J. Therm. Anal. Calorim. 2019, 135, 1211–1228. [Google Scholar] [CrossRef]
- Buongiorno, J. Convective Transport in Nanofluids. J. Heat Transf. 2006, 128, 240–250. [Google Scholar] [CrossRef]
- Corcione, M. Empirical correlating equations for predicting the effective thermal conductivity and dynamic viscosity of nanofluids. Energy Convers. Manag. 2011, 52, 789–793. [Google Scholar] [CrossRef]
- Ekiciler, R.; Muhammet, S.A.Ç.; Arslanb, K. Effect of shape of nanoparticle on heat transfer and entropy generation of nanofluid-jet impingement cooling. Int. J. Green Energy 2020, 17, 555–567. [Google Scholar] [CrossRef]
- Ambreen, T.; Kim, M.-H. Effects of variable particle sizes on hydrothermal characteristics of nanofluids in a microchannel. Int. J. Heat Mass Transf. 2018, 120, 490–498. [Google Scholar] [CrossRef]
- Bowers, J.; Cao, H.; Qiao, G.; Li, Q.; Zhang, G.; Mura, E.; Ding, Y.L. Flow and heat transfer behaviour of nanofluids in microchannels. Prog. Nat. Sci. 2018, 28, 225–234. [Google Scholar] [CrossRef]
- Vijayan, G.; Shantharaman, P.P.; Senthil, R.; Karunakaran, R. Thermal performance analysis of a low volume fraction Al2O3 and deionized water nanofluid on solar parabolic trough collector. J. Therm. Anal. Calorim. 2020, 1–10. [Google Scholar] [CrossRef]
- Kaya, H.; Ekiciler, R.; Arslan, K. CFD analysis of laminar forced convective heat transfer for TiO2/water nanofluid in a semi-circular cross-sectioned micro-channel. J. Therm. Eng. 2019, 5, 123–137. [Google Scholar]
- Sheikholeslami, M.; Hayat, T.; Alsaedi, A. Numerical study for external permanent magnets influence on water based nanofluid convective heat transfer. Int. J. Heat Mass Transf. 2017, 106, 745–755. [Google Scholar] [CrossRef]
- Sheikholeslami, M.; Shehzad, S. Numerical analysis of Fe3O4–H2O nanofluid flow in permeable media under the effect of external magnetic source. Int. J. Heat Mass Transf. 2018, 118, 182–192. [Google Scholar] [CrossRef]
- Sheikholeslami, M.; Sheremet, M.A.; Shafee, A.; Tlili, I. Simulation of nanoliquid thermogravitational convection within a porous chamber imposing magnetic and radiation impacts. Phys. A Stat. Mech. Its Appl. 2020, 550, 124058. [Google Scholar] [CrossRef]
- Karami, E.; Rahimi, M.; Azimi, N. Convective heat transfer enhancement in a pitted microchannel by stimulation of magnetic nanoparticles. Chem. Eng. Process. Process. Intensif. 2018, 126, 156–167. [Google Scholar] [CrossRef]
- Cunha, L.H.P.; Siqueira, I.R.; Campos, A.A.R. A numerical study on heat transfer of a ferrofluid flow in a square cavity under simultaneous gravitational and magnetic convection. Theor. Comput. Fluid Dyn. 2020, 34, 119–132. [Google Scholar] [CrossRef]
- Muthukumar, S.; Sureshkumar, S.; Chamkha, A.J.; Muthtamilselvan, M.; Prem, E. Combined MHD convection and thermal radiation of nanofluid in a lid-driven porous enclosure with irregular thermal source on vertical sidewalls. J. Therm. Anal. Calorim. 2019, 138, 583–596. [Google Scholar] [CrossRef]
- Benos, L.T.; Polychronopoulos, N.D.; Mahabaleshwar, U.S.; Lorenzini, G.; Sarris, I.E. Thermal and flow investigation of MHD natural convection in a nanofluid-saturated porous enclosure: An asymptotic analysis. J. Therm. Anal. Calorim. 2021, 143, 751–765. [Google Scholar] [CrossRef]
- Salehpour, A.; Salehi, S.; Salehpour, S.; Ashjaee, M. Thermal and hydrodynamic performances of MHD ferrofluid flow inside a porous channel. Exp. Therm. Fluid Sci. 2018, 90, 1–13. [Google Scholar] [CrossRef]
- Goharkhah, M.; Salarian, A.; Ashjaee, M.; Shahabadi, M. Convective heat transfer characteristics of magnetite nanofluid under the influence of constant and alternating magnetic field. Powder Technol. 2015, 274, 258–267. [Google Scholar] [CrossRef]
- Mehrez, Z.; El Cafsi, A. Heat exchange enhancement of ferrofluid flow into rectangular channel in the presence of a magnetic field. Appl. Math. Comput. 2021, 391, 125634. [Google Scholar] [CrossRef]
- Larimi, M.; Ghanaat, A.; Ramiar, A.; Ranjbar, A. Forced convection heat transfer in a channel under the influence of various non-uniform transverse magnetic field arrangements. Int. J. Mech. Sci. 2016, 118, 101–112. [Google Scholar] [CrossRef]
- Bagherzadeh, S.A.; Jalali, E.; Sarafraz, M.M.; Akbari, O.A.; Karimipour, A.; Goodarzi, M.; Bach, Q.-V. Effects of magnetic field on micro cross jet injection of dispersed nanoparticles in a microchannel. Int. J. Numer. Methods Heat Fluid Flow 2020, 30, 2683–2704. [Google Scholar] [CrossRef]
- Jing, D.; Hu, S.; Hatami, M.; Xiao, Y.; Jia, J. Thermal analysis on a nanofluid-filled rectangular cavity with heated fins of different geometries under magnetic field effects. J. Therm. Anal. Calorim. 2019, 139, 3577–3588. [Google Scholar] [CrossRef]
- Falade, J.; Ukaegbu, J.C.; Egere, A.; Adesanya, S.O. MHD oscillatory flow through a porous channel saturated with porous medium. Alex. Eng. J. 2017, 56, 147–152. [Google Scholar] [CrossRef] [Green Version]
- Sivasankaran, S.; Narrein, K. Influence of geometry and magnetic field on convective flow of nanofluids in trapezoidal microchannel Heat Sink. IJST-T. Mech. Eng. 2018, 44, 373–382. [Google Scholar] [CrossRef]
- Zanella, R.; Nore, C.; Bouillault, F.; Guermond, J.-L.; Mininger, X. Influence of thermomagnetic convection and ferrofluid thermophysical properties on heat transfers in a cylindrical container heated by a solenoid. J. Magn. Magn. Mater. 2019, 469, 52–63. [Google Scholar] [CrossRef] [Green Version]
- Soltanipour, H. Two-phase simulation of magnetic field effect on the ferrofluid forced convection in a pipe considering Brownian diffusion, thermophoresis, and magnetophoresis. Eur. Phys. J. Plus 2020, 135, 1–23. [Google Scholar] [CrossRef]
- Nessab, W.; Kahalerras, H.; Fersadou, B.; Hammoudi, D. Numerical investigation of ferrofluid jet flow and convective heat transfer under the influence of magnetic sources. Appl. Therm. Eng. 2019, 150, 271–284. [Google Scholar] [CrossRef]
- Ranjan, G.; Swarnendu, S.; Ishwar, K. Heat transfer augmentation using a magnetic fluid under the influence of a line dipole. J. Magn. Magn. Mater. 2004, 271, 63–73. [Google Scholar]
- Bashtovoy, V.G.; Berkovsky, B.M.; Vislovich, A.N. Introduction to Thermomechanics of Magnetic Fluids; Hemisphere Publishing Corporation: New York, NY, USA, 1998. [Google Scholar]











| Cp (J/kg·K) | ρ (kg/m3) | k (W/m·K) | μ (N·s/m2) | β (1/K) | |
|---|---|---|---|---|---|
| H2O | 4179 | 997.1 | 0.613 | 0.001 | 1.8 × 10−3 |
| Fe3O4 | 670 | 5200 | 6 | 0 | 0 |
| Mesh Size | 20 × 200 | 40 × 400 | 45 × 450 | 50 × 500 | 55 × 550 |
|---|---|---|---|---|---|
| Nuave | 4.506 | 4.416 | 4.410 | 4.405 | 4.403 |
| m (A·m) | Nuave | ||
|---|---|---|---|
| Ranjan et al. [33] | Present Work | Relative Error/% | |
| 0 | 2.610 | 2.603 | −0.27 |
| 0.19 | 2.670 | 2.664 | −0.22 |
| 0.58 | 2.880 | 2.890 | 0.35 |
Publisher’s Note: MDPI stays neutral with regard to jurisdictional claims in published maps and institutional affiliations. |
© 2021 by the authors. Licensee MDPI, Basel, Switzerland. This article is an open access article distributed under the terms and conditions of the Creative Commons Attribution (CC BY) license (https://creativecommons.org/licenses/by/4.0/).
Share and Cite
Xie, Y.; Jiang, C.; Zheng, P.; Cao, Z.; Luo, M. Ferrohydrodynamic and Magnetohydrodynamic Effects on Jet Flow and Heat Transfer of Fe3O4-H2O Nanofluid in a Microchannel Subjected to Permanent Magnets. Symmetry 2021, 13, 2051. https://doi.org/10.3390/sym13112051
Xie Y, Jiang C, Zheng P, Cao Z, Luo M. Ferrohydrodynamic and Magnetohydrodynamic Effects on Jet Flow and Heat Transfer of Fe3O4-H2O Nanofluid in a Microchannel Subjected to Permanent Magnets. Symmetry. 2021; 13(11):2051. https://doi.org/10.3390/sym13112051
Chicago/Turabian StyleXie, Yunfeng, Changwei Jiang, Peijia Zheng, Zhichao Cao, and Minghong Luo. 2021. "Ferrohydrodynamic and Magnetohydrodynamic Effects on Jet Flow and Heat Transfer of Fe3O4-H2O Nanofluid in a Microchannel Subjected to Permanent Magnets" Symmetry 13, no. 11: 2051. https://doi.org/10.3390/sym13112051
APA StyleXie, Y., Jiang, C., Zheng, P., Cao, Z., & Luo, M. (2021). Ferrohydrodynamic and Magnetohydrodynamic Effects on Jet Flow and Heat Transfer of Fe3O4-H2O Nanofluid in a Microchannel Subjected to Permanent Magnets. Symmetry, 13(11), 2051. https://doi.org/10.3390/sym13112051
