Data for Beryllium–Hydrogen Charge Exchange in One and Two Centres Models, Relevant for Tokamak Plasmas
Abstract
1. Introduction
2. Materials and Methods
One and Two Centres Symmetry Problems in CXRS
3. Results
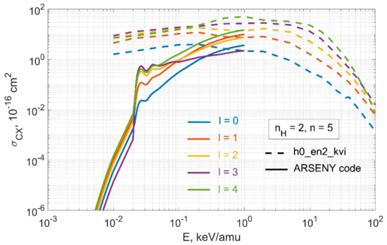
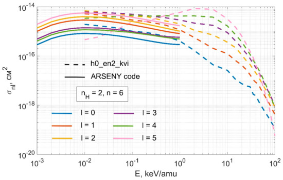
3.1. A Brief Review of the Data Available in OPEN-ADAS
3.2. Comparison of Cross Sections from Special Issue of Physical Scripta
3.3. A Survey of Data on Cross Sections from Various Sources
4. Discussion
5. Conclusions
Author Contributions
Funding
Institutional Review Board Statement
Informed Consent Statement
Data Availability Statement
Acknowledgments
Conflicts of Interest
References
- Tugarinov, S.N.; Beigman, I.L.; Vainshtein, L.A.; Dokuka, V.N.; Krasil’nikov, A.V.; Naumenko, N.N.; Tolstikhina, I.Y.; Khairutdinov, R.R. Development of the concept of charge-exchange recombination spectroscopy for ITER. Plasma Phys. Rep. 2004, 30, 128–135. [Google Scholar] [CrossRef]
- Von Hellermann, M.; de Bock, M.; Marchuk, O.; Reiter, D.; Serov, S.; Walsh, M. Simulation of Spectra Code (SOS) for ITER Active Beam Spectroscopy. Atoms 2019, 7, 30. [Google Scholar] [CrossRef]
- Solov’ev, E.A. Workshop on Hidden Crossings in Ion-Collisions and in Other Nonadiabatic Transitions; Harvard Smithonian Centre for Astrophysics: Cambridge, MA, USA, 1991. [Google Scholar]
- Komarov, I.; Ponomarev, L.; Slavyanov, S. Spheroidal and Coulomb Spheroidal Functions; Nauka: Moscow, Russia, 1976. [Google Scholar]
- Abramov, V.A.; Baryshnikov, F.F.; Lisitsa, V.S. Charge transfer between hydrogen atoms and the nuclei of multicharged ions with allowance for the degeneracy of the final states. Sov. Phys. JETP 1978, 47, 469–477. Available online: http://www.jetp.ac.ru/cgi-bin/dn/e_047_03_0469.pdf (accessed on 7 December 2020).
- OPEN-ADAS (Atomic Data and Analysis Structure). Available online: http://open.adas.ac.uk/ (accessed on 7 December 2020).
- Summers, H.P.; O’Mullane, M.G. Atomic data and modelling for fusion: The ADAS Project. AIP Conf. Proc. 2011, 1344, 179–187. [Google Scholar] [CrossRef]
- Errea, L.F.; Harel, C.; Jouin, H.; Méndez, L.; Pons, B.; Riera, A. Quantal and semiclassical calculations of charge transfer cross sections in Be4+ + H collisions for impact energies of 2.5 eV amu−1 <E <25 keV amu−1. J. Phys. B At. Mol. Opt. Phys. 1998, 31, 3527–3547. [Google Scholar] [CrossRef]
- Shimakura, N.; Kobayashi, N.; Honma, M.; Nakano, T.; Kubo, H. Electron capture from excited hydrogen atoms by highly charged beryllium and carbon ions. J. Phys. Conf. Ser. 2009, 163, 012045. [Google Scholar] [CrossRef]
- Errea, L.F.; Gorfinkiel, J.D.; Harel, C.; Jouin, H.; Macias, A.; Méndez, L.; Pons, B.; Riera, A. Total and partial cross-sections of electron transfer processes with hydrogen gas targets: Be4+, B5+ + H(1s), H(2s). Phys. Scr. 1996, 1996, 27–33. [Google Scholar] [CrossRef]
- Janev, R.K.; Solov’ev, E.A.; Ivanovski, G. State-selective electron capture in slow Be4+ + H(1s) collisions. Calculations by hidden crossing method. Phys. Scr. 1996, 1996, 43–48. [Google Scholar] [CrossRef]
- Fritsch, W.; Lin, C.D. Atomic-orbital-expansion studies of electron transfer in bare-nucleus Z (Z= 2, 4–8)—Hydrogen-atom collisions. Phys. Rev. A 1984, 29, 3039. [Google Scholar] [CrossRef]
- Kronos Database. Available online: https://www.physast.uga.edu/research/stancil-group/atomic-molecular-databases/kronos (accessed on 7 December 2020).
- Mullen, P.D.; Cumbee, R.S.; Lyons, D.; Stancil, P.C. Charge Exchange-induced X-Ray Emission of Fe XXV and Fe XXVI via a Streamlined Model. ApJS 2016, 224, 31. [Google Scholar] [CrossRef]
- Le, A.T.; Hesse, M.; Lee, T.G.; Lin, C.D. Hyperspherical close-coupling calculations for charge transfer cross sections in Si4+ + H(D) and Be4+ + H collisions at low energies. J. Phys. B At. Mol. Opt. Phys. 2003, 36, 3281–3293. [Google Scholar] [CrossRef][Green Version]
- Tolstikhina, I.Y.; Litsarev, M.S.; Kato, D.; Song, M.Y.; Yoon, J.S.; Shevelko, V.P. Collisions of Be, Fe, Mo and W atoms and ions with hydrogen isotopes: Electron capture and electron loss cross sections. J. Phys. B At. Mol. Opt. Phys. 2014, 47, 035206. [Google Scholar] [CrossRef]
- Landau, L.; Lifshitz, E.M. Quantum Mechanics: Non-Relativistic Theory, 2nd ed.; Addison-Wesley: Reading, MA, USA, 1965. [Google Scholar]
- Isler, R.C. Observation of the Reaction H0 + O8+ → H+(O7+) during Neutral-Beam Injection into ORMAK. Phys. Rev. Lett. 1977, 38, 1359–1362. [Google Scholar] [CrossRef]
- Tolstikhina, I.Y.; Tolstikhin, O.I. Effect of electron-nuclei interaction on internuclear motions in slow ion-atom collisions. Phys. Rev. A 2015, 92, 042707. [Google Scholar] [CrossRef]
- Tolstikhina, I.Y.; Shevelko, V.P. Influence of atomic processes on charge states and fractions of fast heavy ions passing through gaseous, solid, and plasma targets. Phys.-Uspekhi 2018, 61, 247–280. [Google Scholar] [CrossRef]
- Sdvizhenskii, P.A.; Kukushkin, A.B.; Levashova, M.G.; Lisitsa, V.S.; Neverov, V.S.; Serov, S.V.; Tugarinov, S.N. Algorithm of calculating the passive signal of tokamak edge plasma for CXRS diagnostics. In Proceedings of the 46th EPS Conference on Plasma Physics, Milan, Italy, 8–12 July 2019; European Conference Abstracts. Volume 43C. Available online: http://ocs.ciemat.es/EPS2019ABS/pdf/P4.1006.pdf (accessed on 7 December 2020).
- Kadomtsev, M.B.; Levashova, M.G.; Lisitsa, V.S. Semiclassical theory of the radiative-collisional cascade in a Rydberg atom. J. Exp. Theor. Phys. 2008, 106, 635–649. [Google Scholar] [CrossRef]












Publisher’s Note: MDPI stays neutral with regard to jurisdictional claims in published maps and institutional affiliations. |
© 2020 by the authors. Licensee MDPI, Basel, Switzerland. This article is an open access article distributed under the terms and conditions of the Creative Commons Attribution (CC BY) license (http://creativecommons.org/licenses/by/4.0/).
Share and Cite
Sdvizhenskii, P.A.; Tolstikhina, I.Y.; Lisitsa, V.S.; Kukushkin, A.B.; Tugarinov, S.N. Data for Beryllium–Hydrogen Charge Exchange in One and Two Centres Models, Relevant for Tokamak Plasmas. Symmetry 2021, 13, 16. https://doi.org/10.3390/sym13010016
Sdvizhenskii PA, Tolstikhina IY, Lisitsa VS, Kukushkin AB, Tugarinov SN. Data for Beryllium–Hydrogen Charge Exchange in One and Two Centres Models, Relevant for Tokamak Plasmas. Symmetry. 2021; 13(1):16. https://doi.org/10.3390/sym13010016
Chicago/Turabian StyleSdvizhenskii, Petr A., Inga Yu. Tolstikhina, Valery S. Lisitsa, Alexander B. Kukushkin, and Sergei N. Tugarinov. 2021. "Data for Beryllium–Hydrogen Charge Exchange in One and Two Centres Models, Relevant for Tokamak Plasmas" Symmetry 13, no. 1: 16. https://doi.org/10.3390/sym13010016
APA StyleSdvizhenskii, P. A., Tolstikhina, I. Y., Lisitsa, V. S., Kukushkin, A. B., & Tugarinov, S. N. (2021). Data for Beryllium–Hydrogen Charge Exchange in One and Two Centres Models, Relevant for Tokamak Plasmas. Symmetry, 13(1), 16. https://doi.org/10.3390/sym13010016

