Temperature Dependence and Anisotropic Effects in the Thermal Properties of Hen Egg-White Lysozyme Crystals
Abstract
1. Introduction
2. Equipment
2.1. Research Strategy
2.2. Transient Short-Hot Wire Probe
2.3. A New Vessel for the Two-Liquid Method
2.4. Electric Circuit System
2.5. Crystallization Conditions
2.6. Magnetic Conditions
2.7. Visualization System
3. Measurement
4. Results
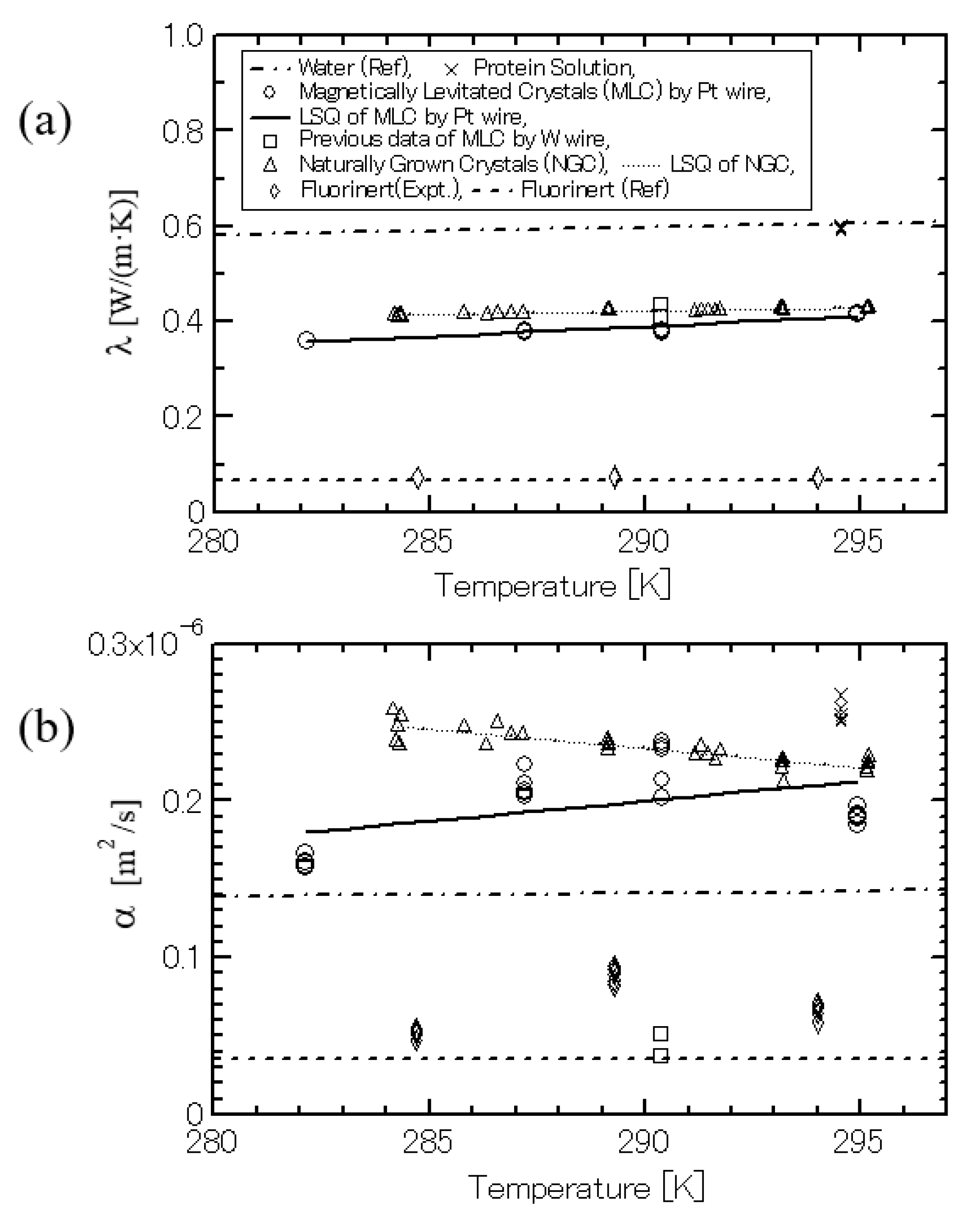
4.1. Thermal Conductivity
R2fΙ_MLC = 0.903.
R2λ_NGC = 0.835.
4.2. Thermal Diffusivity
R2fΩ_MLC = 0.227
R2fΩ_NGC = 0.748
5. Discussion
5.1. Temperature Dependence
5.2. Magnetic Effect in the Thermal Properties
5.3. Is There Anisotropy in the Thermal Properties?
6. Conclusions
Author Contributions
Funding
Acknowledgments
Conflicts of Interest
Abbreviations
| MLC | magnetically levitated crystals |
| NGC | naturally grown crystals |
| LSQ | least-squares |
References
- Maki, S.; Fujiwara, S.; Maekawa, R.; Tanaka, S.; Hagiwara, M. Simultaneous Measurements of Thermal Conductivity and Diffusivity of Hen Egg-White Lysozyme Crystals Using a Transient Short Hot Wire Method and Magneto-Archimedes Effect. Netsu Bussei 2016, 30, 131–139. [Google Scholar] [CrossRef][Green Version]
- Fujiwara, S.; Maki, S.; Maekawa, R.; Tanaka, S.; Hagiwara, M. Measurements of Thermal Conductivity and Thermal Diffusivity of Hen Egg-White Lysozyme Crystals and Its Solution Using the Transient Short Hot Wire Method. Int. J. Thermophys. 2017, 38, 123. [Google Scholar] [CrossRef]
- Fujii, M.; Zhang, X.; Imaishi, N.; Fujiwara, S.; Sakamoto, T. Simultaneous measurements of thermal conductivity and thermal diffusivity of liquids under microgravity conditions. Int. J. Thermophys. 1997, 18, 327–339. [Google Scholar] [CrossRef]
- Zhang, X.; Fujii, M. Measurements of the thermal conductivity and thermal diffusivity of polymers. Polym. Eng. Sci. 2003, 43, 1755–1764. [Google Scholar] [CrossRef]
- Tomimura, T.; Maki, S.; Zhang, X.; Fujii, M. Measurements of thermal conductivity and thermal diffusivity of alternative refrigerants in liquid phase with a transient short-hot-wire method. Heat Transf.-Asian Res. 2004, 33, 540–552. [Google Scholar] [CrossRef]
- Zhang, X.; Wicaksono, H.; Fujiwara, S.; Fujii, M. Accurate measurements of thermal conductivity and thermal diffusivity of molten carbonates. High Temp. Press. 2002, 34, 617–625. [Google Scholar] [CrossRef]
- Ikezoe, Y.; Hirota, N.; Nakagawa, J.; Kitazawa, K. Making water levitate. Nature 1998, 393, 749–750. [Google Scholar] [CrossRef]
- Maki, S.; Oda, Y.; Ataka, M. High-quality crystallization of lysozyme by magneto-Archimedes levitation in a superconducting magnet. J. Cryst. Growth 2004, 261, 557–565. [Google Scholar] [CrossRef]
- Rhim, W.-K.; Chung, S.K. Containerless protein crystal growth method. J. Cryst. Growth 1991, 110, 293–301. [Google Scholar] [CrossRef]
- Lorber, B.; Giegé, R. Containerless protein crystallization in floating drops: Application to crystal growth monitoring under reduced nucleation conditions. J. Cryst. Growth 1996, 168, 204–215. [Google Scholar] [CrossRef]
- Chung, S.K.; Trinh, E.H. Containerless protein crystal growth in rotating levitated drops. J. Cryst. Growth 1998, 194, 384–397. [Google Scholar] [CrossRef]
- García-Ruiz, J.M.; González-Ramírez, L.A.; Gavira, J.A.; Otálora, F. Granada Crystallisation Box: A new device for protein crystallisation by counter-diffusion techniques. Acta Crystallogr. Sect. D Biol. Crystallogr. 2002, 58, 1638–1642. [Google Scholar] [CrossRef]
- Vergara, A.; Lorber, B.; Zagari, A.; Giegé, R. Physical aspects of protein crystal growth investigated with the Advanced Protein Crystallization Facility in reduced-gravity environments. Acta Crystallogr. Sect. D Biol. Crystallogr. 2002, 59, 2–15. [Google Scholar] [CrossRef]
- Santesson, S.; Cedergren-Zeppezauer, E.S.; Johansson, T.; Laurell, T.; Nilsson, J.; Nilsson, S. Screening of Nucleation Conditions Using Levitated Drops for Protein Crystallization. Anal. Chem. 2003, 75, 1733–1740. [Google Scholar] [CrossRef]
- Ataka, M.; Maki, S. The containerless crystal growth method. Japan Patent No. 4273222, 12 December 2002. (patent application data). [Google Scholar]
- Chayen, N.E. A novel technique for containerless protein crystallization. Protein Eng. Des. Sel. 1996, 9, 927–929. [Google Scholar] [CrossRef]
- Adachi, H.; Watanabe, T.; Yoshimura, M.; Mori, Y.; Sasaki, T. Growth of Protein Crystal at Interface between Two Liquids Using Slow Cooling Method. Jpn. J. Appl. Phys. 2002, 41, L726–L728. [Google Scholar] [CrossRef]
- Girard, E.; Chantalat, L.; Vicat, J.; Kahn, R. Gd-HPDO3A, a complex to obtain high-phasing-power heavy-atom derivatives for SAD and MAD experiments: Results with tetragonal hen egg-white lysozyme. Acta Crystallogr. Sect. D Biol. Crystallogr. 2001, 58, 1–9. [Google Scholar] [CrossRef]
- Japan Society of Thermophysical Properties. Thermophysical Properties Handbook; Yokendo: Tokyo, Japan, 2008. (In Japanese) [Google Scholar]
- Web. archive org., 3M Japan Co. Ltd. “3M Fluorinert Inert Liquids”. Available online: https://multimedia.3m.com/mws/media/989150O/ems-198.pdf (accessed on 16 June 2020).
- Kruskal, W.H.; Wallis, W.A. Use of ranks in one-criterion variance analysis. J. Am. Stat. Assoc. 1952, 47, 583–621. [Google Scholar] [CrossRef]
- Chamberlain, G. Analysis of covariance with qualitative data. Rev. Econ. Stud. 1980, 47, 225–238. [Google Scholar] [CrossRef]
- Ataka, M.; Katoh, E.; Wakayama, N.I. Magnetic orientation as a tool to study the initial stage of crystallization of lysozyme. J. Cryst. Growth 1997, 173, 592–596. [Google Scholar] [CrossRef]
- Yanagiya, S.-I.; Sazaki, G.; Durbin, S.D.; Miyashita, S.; Nakada, T.; Komatsu, H.; Watanabe, K.; Motokawa, M. Effect of a magnetic field on the orientation of hen egg-white lysozyme crystals. J. Cryst. Growth 1999, 196, 319–324. [Google Scholar] [CrossRef]









© 2020 by the authors. Licensee MDPI, Basel, Switzerland. This article is an open access article distributed under the terms and conditions of the Creative Commons Attribution (CC BY) license (http://creativecommons.org/licenses/by/4.0/).
Share and Cite
Maki, S.; Fujiwara, S.; Tanaka, S.; Erzalia, E.; Kato, M.; Higo, K.; Isaka, Y.; Maekawa, R.; Hagiwara, M.; Arata, T. Temperature Dependence and Anisotropic Effects in the Thermal Properties of Hen Egg-White Lysozyme Crystals. Symmetry 2020, 12, 1279. https://doi.org/10.3390/sym12081279
Maki S, Fujiwara S, Tanaka S, Erzalia E, Kato M, Higo K, Isaka Y, Maekawa R, Hagiwara M, Arata T. Temperature Dependence and Anisotropic Effects in the Thermal Properties of Hen Egg-White Lysozyme Crystals. Symmetry. 2020; 12(8):1279. https://doi.org/10.3390/sym12081279
Chicago/Turabian StyleMaki, Syou, Seiji Fujiwara, Seiichi Tanaka, Eka Erzalia, Mizuki Kato, Katsumasa Higo, Yuki Isaka, Ryunosuke Maekawa, Masayuki Hagiwara, and Toshiaki Arata. 2020. "Temperature Dependence and Anisotropic Effects in the Thermal Properties of Hen Egg-White Lysozyme Crystals" Symmetry 12, no. 8: 1279. https://doi.org/10.3390/sym12081279
APA StyleMaki, S., Fujiwara, S., Tanaka, S., Erzalia, E., Kato, M., Higo, K., Isaka, Y., Maekawa, R., Hagiwara, M., & Arata, T. (2020). Temperature Dependence and Anisotropic Effects in the Thermal Properties of Hen Egg-White Lysozyme Crystals. Symmetry, 12(8), 1279. https://doi.org/10.3390/sym12081279

