Optimal Perturbation Iteration Method for Solving Fractional Model of Damped Burgers’ Equation
Abstract
1. Introduction
2. Preliminaries and Definitions
3. Analysis of Fractional Damped Burgers’ Equation via OPIM
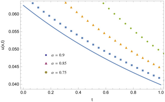
4. Numerical Example
5. Conclusions
Author Contributions
Funding
Acknowledgments
Conflicts of Interest
References
- Marinca, V.; Herisanu, N. Application of optimal homotopy asymptotic method for solving nonlinear equations arising in heat transfer. Int. Commun. Heat Mass Transf. 2008, 35, 710–715. [Google Scholar] [CrossRef]
- Bildik, N.; Deniz, S. Comparative study between optimal homotopy asymptotic method and perturbation-iteration technique for different types of nonlinear equations. Iran. J. Sci. Technol. Trans. A Sci. 2018, 42, 647–654. [Google Scholar] [CrossRef]
- Iqbal, S.; Idrees, M.; Siddiqui, A.M.; Ansari, A.R. Some solutions of the linear and nonlinear Klein–Gordon equations using the optimal homotopy asymptotic method. Appl. Math. Comput. 2010, 216, 2898–2909. [Google Scholar] [CrossRef]
- Rashidi, M.M.; Domairry, G.; Dinarvand, S. Approximate solutions for the Burger and regularized long wave equations by means of the homotopy analysis method. Commun. Nonlinear Sci. Numer. Simul. 2009, 14, 708–717. [Google Scholar] [CrossRef]
- Khan, M.A.; Akbar, M.A.; Belgacem, F.B.M. Solitary wave solutions for the Boussinesq and Fisher equations by the modified simple equation method. Math. Lett. 2016, 2, 1–18. [Google Scholar]
- Saad, K.M.; Deniz, S.; Agarwal, P. Approximate solutions for a cubic autocatalytic reaction. Electron. J. Math. Anal. Appl. 2019, 7, 14–32. [Google Scholar]
- Kadem, A.; Baleanu, D. Homotopy perturbation method for the coupled fractional Lotka–Volterra equations. Rom. J. Phys. 2011, 56, 332–338. [Google Scholar]
- Deniz, S. Optimal perturbation iteration method for solving nonlinear heat transfer equations. J. Heat Transf. ASME 2017, 139, 074503-1. [Google Scholar] [CrossRef]
- Deniz, S.; Bildik, N. Applications of optimal perturbation iteration method for solving nonlinear differential equations. AIP Conf. Proc. 2017, 1798, 020046. [Google Scholar]
- Deniz, S.; Bildik, N. A new analytical technique for solving Lane-Emden type equations arising in astrophysics. Bull. Belg. Math. Soc. Simon Stevin 2017, 24, 305–320. [Google Scholar] [CrossRef]
- Bildik, N.; Deniz, S. New analytic approximate solutions to the generalized regularized long wave equations. Bull. Korean Math. Soc. 2018, 55, 749–762. [Google Scholar]
- Bildik, N.; Deniz, S. A practical method for analytical evaluation of approximate solutions of Fisher’s equations. ITM Web Conf. 2017, 13, 01001. [Google Scholar] [CrossRef]
- Bildik, N.; Deniz, S. Solving the Burgers’ and regularized long wave equations using the new perturbation iteration technique. Numer. Methods Partial Differ. Equ. 2018, 34, 1489–1501. [Google Scholar] [CrossRef]
- Jafari, H.; Daftardar-Gejji, V. Solving linear and nonlinear fractional diffusion and wave equations by Adomian decomposition. Appl. Math. Comput. 2006, 180, 488–497. [Google Scholar] [CrossRef]
- Wu, G.C.; Baleanu, D. Variational iteration method for the Burgers’ flow with fractional derivatives—New Lagrange multipliers. Appl. Math. Model. 2013, 37, 6183–6190. [Google Scholar] [CrossRef]
- Inc, M. The approximate and exact solutions of the space-and time-fractional Burgers equations with initial conditions by variational iteration method. J. Math. Anal. Appl. 2008, 345, 476–484. [Google Scholar] [CrossRef]
- Wang, Q. Homotopy perturbation method for fractional KdV-Burgers equation. Chaos Solitons Fractals 2008, 35, 843–850. [Google Scholar] [CrossRef]
- Sezer, S.A.; Yıldırım, A.; Mohyud-Din, S.T. He’s homotopy perturbation method for solving the fractional KdV-Burgers-Kuramoto equation. Int. J. Numer. Methods Heat Fluid Flow 2011, 21, 448–458. [Google Scholar] [CrossRef]
- Esen, A.; Yagmurlu, N.M.; Tasbozan, O. Approximate analytical solution to time-fractional damped Burger and Cahn-Allen equations. Appl. Math. Inf. Sci. 2013, 7, 1951. [Google Scholar] [CrossRef]
- Atangana, A.; Baleanu, D. New fractional derivatives with nonlocal and non-singular kernel: Theory and application to heat transfer model. arXiv 2016, arXiv:1602.03408. [Google Scholar] [CrossRef]
- Agarwal, P.; El-Sayed, A.A. Non-standard finite difference and Chebyshev collocation methods for solving fractional diffusion equation. Phys. A Stat. Mech. Appl. 2018, 500, 40–49. [Google Scholar] [CrossRef]
- Kumar, D.; Singh, J.; Baleanu, D. A new analysis for fractional model of regularized long-wave equation arising in ion acoustic plasma waves. Math. Methods Appl. Sci. 2017, 40, 5642–5653. [Google Scholar] [CrossRef]
- Kumar, D.; Singh, J.; Baleanu, D. Analysis of regularized long-wave equation associated with a new fractional operator with Mittag–Leffler type kernel. Phys. A Stat. Mech. Appl. 2018, 492, 155–167. [Google Scholar] [CrossRef]
- Singh, J.; Kumar, D.; Al Qurashi, M.; Baleanu, D. Analysis of a new fractional model for damped Bergers’ equation. Open Phys. 2017, 15, 35–41. [Google Scholar] [CrossRef]
- Bildik, N.; Deniz, S. A new fractional analysis on the polluted lakes system. Chaos Solitons Fractals 2019, 122, 17–24. [Google Scholar] [CrossRef]
- Atangana, A.; Koca, I. Chaos in a simple nonlinear system with Atangana–Baleanu derivatives with fractional order. Chaos Solitons Fractals 2016, 89, 447–454. [Google Scholar] [CrossRef]
- Alkahtani, B.S.T. Chua’s circuit model with Atangana–Baleanu derivative with fractional order. Chaos Solitons Fractals 2016, 89, 547–551. [Google Scholar] [CrossRef]
- Bildik, N.; Deniz, S.; Saad, K.M. A comparative study on solving fractional cubic isothermal auto–catalytic chemical system via new efficient technique. Chaos Solitons Fractals 2020, 132, 109555. [Google Scholar] [CrossRef]
- Algahtani, O.J.J. Comparing the Atangana–Baleanu and Caputo–Fabrizio derivative with fractional order: Allen Cahn model. Chaos Solitons Fractals 2016, 89, 552–559. [Google Scholar] [CrossRef]
- Koca, I.; Atangana, A. Solutions of Cattaneo-Hristov model of elastic heat diffusion with Caputo–Fabrizio and Atangana–Baleanu fractional derivatives. Therm. Sci. 2017, 21 Pt A, 2299–2305. [Google Scholar] [CrossRef]
- Gómez-Aguilar, J.F. Chaos in a nonlinear Bloch system with Atangana–Baleanu fractional derivatives. Numer. Methods Partial Differ. Equ. 2018, 34, 1716–1738. [Google Scholar] [CrossRef]
- Koca, I. Modelling the spread of Ebola virus with Atangana–Baleanu fractional operators. Eur. Phys. J. Plus 2018, 133, 100. [Google Scholar] [CrossRef]
- Yavuz, M.; Ozdemir, N.; Baskonus, H.M. Solutions of partial differential equations using the fractional operator involving Mittag–Leffler kernel. Eur. Phys. J. Plus 2018, 133, 215. [Google Scholar] [CrossRef]
- Saad, K.M.; Atangana, A.; Baleanu, D. New fractional derivatives with non-singular kernel applied to the Burgers equation. Chaos Interdiscip. J. Nonlinear Sci. 2018, 28, 063109. [Google Scholar] [CrossRef] [PubMed]
- Atangana, A.; Gómez-Aguilar, J.F. Numerical approximation of Riemann-Liouville definition of fractional derivative: From Riemann-Liouville to Atangana-Baleanu. Numer. Methods Partial Differ. Equ. 2018, 34, 1502–1523. [Google Scholar] [CrossRef]
- Sheikh, N.A.; Ali, F.; Khan, I.; Gohar, M.; Saqib, M. On the applications of nanofluids to enhance the performance of solar collectors: A comparative analysis of Atangana–Baleanu and Caputo–Fabrizio fractional models. Eur. Phys. J. Plus 2017, 132, 540. [Google Scholar] [CrossRef]
- Toufik, M.; Atangana, A. New numerical approximation of fractional derivative with non-local and non-singular kernel: Application to chaotic models. Eur. Phys. J. Plus 2017, 132, 444. [Google Scholar] [CrossRef]
- Vaganan, B.M.; Kumaran, M.S. Kummer function solutions of damped Burgers equations with time-dependent viscosity by exact linearization. Nonlinear Anal. Real World Appl. 2008, 9, 2222–2233. [Google Scholar] [CrossRef]
- Malfliet, W. Approximate solution of the damped Burgers equation. J. Phys. A Math. Gen. 1993, 26, L723. [Google Scholar] [CrossRef]
- Yılmaz, F.; Karasözen, B. Solving optimal control problems for the unsteady Burgers equation in COMSOL Multiphysics. J. Comput. Appl. Math. 2011, 235, 4839–4850. [Google Scholar] [CrossRef]
- Deniz, S.; Bildik, N. Optimal perturbation iteration method for Bratu–type problems. J. King Saud Univ. Sci. 2018, 30, 91–99. [Google Scholar] [CrossRef]
- Deniz, S. Semi-analytical investigation of modified Boussinesq-Burger equations. J. Balıkesir Univ. Inst. Sci. Technol. 2020, 22, 327–333. [Google Scholar]
- Deniz, S. Modification of coupled Drinfel’d-Sokolov-Wilson Equation and approximate solutions by optimal perturbation iteration method. Afyon Kocatepe Univ. J. Sci. Eng. 2020, 20, 35–40. [Google Scholar]
- Bildik, N.; Deniz, S. A new efficient method for solving delay differential equations and a comparison with other methods. Eur. Phys. J. Plus 2017, 132, 51. [Google Scholar] [CrossRef]
- Bildik, N.; Deniz, S. New approximate solutions to the nonlinear Klein-Gordon equations using perturbation iteration techniques. Discret. Contin. Dyn. Syst. S 2020, 13, 503. [Google Scholar] [CrossRef]
- Agarwal, P.; Deniz, S.; Jain, S.; Alderremy, A.A.; Aly, S. A new analysis of a partial differential equation arising in biology and population genetics via semi analytical techniques. Phys. A Stat. Mech. Appl. 2020, 542, 122769. [Google Scholar] [CrossRef]
- Nayfeh, A.H. Perturbation Methods; John Wiley & Sons: New York, NY, USA, 2008. [Google Scholar]






| α = 1, λ = 1 | α = 0.75, λ = 1 | α = 0.75, λ = 0.75 | α = 0.5, λ = 0.5 | |
|---|---|---|---|---|
| C0 | 1.90089 | 1.00214 | 0.99063 | −0.89901 |
| C1 | −0.99063 | 0.00215 | −0.96642 | 1.30558 |
| C2 | 0.008510 | −0.90694 | 0.10889 | −0.20096 |
| α = 1, λ = 1 | α = 0.75, λ = 1 | α = 0.75, λ = 0.75 | α = 0.5, λ = 0.5 | |
|---|---|---|---|---|
| C0 | 0.20154 | 0.50213 | −0.01888 | 0.40124 |
| C1 | 1.00447 | 1.01127 | 1.00852 | −2.00512 |
| C2 | 2.00105 | −1.70255 | −0.80471 | −0.30155 |
| C3 | 1.05627 | 0.80221 | 1.11069 | 0.90211 |
| t | α = 1, λ = 1 | α = 0.75, λ = 1 | α = 0.75, λ = 0.75 | α = 0.5, λ = 0.5 |
|---|---|---|---|---|
| 0.1 | 2.5022 × 10−8 | 9.6332 × 10−7 | 5.5522 × 10−7 | 9.7771 × 10−9 |
| 0.2 | 8.0933 × 10−7 | 9.1114 × 10−8 | 6.0125 × 10−9 | 7.5521 × 10−8 |
| 0.3 | 2.4441 × 10−8 | 8.9526 × 10−6 | 5.0231 × 10−5 | 6.2014 × 10−9 |
| 0.4 | 5.6022 × 10−7 | 8.0124 × 10−7 | 9.5561 × 10−8 | 9.1811 × 10−7 |
| 0.5 | 5.1784 × 10−6 | 2.7072 × 10−5 | 1.2014 × 10−7 | 5.3307 × 10−6 |
| 0.6 | 7.7258 × 10−7 | 1.0524 × 10−8 | 2.0334 × 10−6 | 5.2016 × 10−8 |
| 0.7 | 7.4391 × 10−8 | 5.7634 × 10−7 | 6.077 × 10−8 | 6.3312 × 10−7 |
| 0.8 | 9.5418 × 10−7 | 1.0054 × 10−6 | 6.3151 × 10−7 | 7.1104 × 10−8 |
| 0.9 | 5.0524 × 10−9 | 8.2113 × 10−6 | 2.3854 × 10−8 | 2.3011 × 10−6 |
| t | α = 1, λ = 1 | α = 0.75, λ = 1 | α = 0.75, λ = 0.75 | α = 0.5, λ = 0.5 |
|---|---|---|---|---|
| 0.1 | 9.1005 × 10−5 | 8.2753 × 10−6 | 8.7724 × 10−5 | 5.0521 × 10−6 |
| 0.2 | 7.1705 × 10−5 | 6.0321 × 10−5 | 2.6325 × 10−4 | 6.0012 × 10−5 |
| 0.3 | 4.1154 × 10−5 | 6.1427 × 10−13 | 6.1351 × 10−4 | 8.7005 × 10−4 |
| 0.4 | 9.5216 × 10−4 | 5.4721 × 10−6 | 5.0002 × 10−4 | 1.2036 × 10−7 |
| 0.5 | 9.1634 × 10−4 | 6.2178 × 10−4 | 6.0023 × 10−5 | 6.3587 × 10−4 |
| 0.6 | 8.5021 × 10−5 | 7.9634 × 10−5 | 3.1120 × 10−3 | 6.2581 × 10−4 |
| 0.7 | 8.4036 × 10−3 | 8.5214 × 10−6 | 1.0635 × 10−3 | 9.6025 × 10−6 |
| 0.8 | 8.0712 × 10−3 | 8.1222 × 10−4 | 8.5012 × 10−2 | 9.0521 × 10−6 |
| 0.9 | 3.3358 × 10−2 | 9.6363 × 10−4 | 6.0341 × 10−4 | 5.0624 × 10−4 |
| t | λ = 0.2 (OPIM) | λ = 0.2 (HAM) | λ = 0.8 (OPIM) | λ = 0.8 (HAM) |
|---|---|---|---|---|
| 0.1 | 3.056 × 10−9 | 6.044 × 10−9 | 8.114 × 10−10 | 8.227 × 10−10 |
| 0.2 | 2.114 × 10−9 | 3.417 × 10−9 | 8.556 × 10−10 | 1.059 × 10−9 |
| 0.3 | 1.004 × 10−10 | 9.855 × 10−9 | 3.337 × 10−10 | 8.222 × 10−10 |
| 0.4 | 9.881 × 10−9 | 1.405 × 10−9 | 2.112 × 10−10 | 9.088 × 10−10 |
| 0.5 | 7.699 × 10−8 | 9.041 × 10−8 | 5.426 × 10−9 | 4.755 × 10−9 |
| 0.6 | 5.045 × 10−9 | 8.887 × 10−9 | 2.332 × 10−9 | 9.804 × 10−8 |
| 0.7 | 1.652 × 10−8 | 7.225 × 10−8 | 6.666 × 10−8 | 1.066 × 10−7 |
| 0.8 | 5.444 × 10−8 | 6.507 × 10−8 | 8.077 × 10−7 | 6.011 × 10−7 |
| 0.9 | 5.469 × 10−7 | 1.052 × 10−6 | 7.145 × 10−7 | 5.632 × 10−7 |
© 2020 by the authors. Licensee MDPI, Basel, Switzerland. This article is an open access article distributed under the terms and conditions of the Creative Commons Attribution (CC BY) license (http://creativecommons.org/licenses/by/4.0/).
Share and Cite
Deniz, S.; Konuralp, A.; De la Sen, M. Optimal Perturbation Iteration Method for Solving Fractional Model of Damped Burgers’ Equation. Symmetry 2020, 12, 958. https://doi.org/10.3390/sym12060958
Deniz S, Konuralp A, De la Sen M. Optimal Perturbation Iteration Method for Solving Fractional Model of Damped Burgers’ Equation. Symmetry. 2020; 12(6):958. https://doi.org/10.3390/sym12060958
Chicago/Turabian StyleDeniz, Sinan, Ali Konuralp, and Mnauel De la Sen. 2020. "Optimal Perturbation Iteration Method for Solving Fractional Model of Damped Burgers’ Equation" Symmetry 12, no. 6: 958. https://doi.org/10.3390/sym12060958
APA StyleDeniz, S., Konuralp, A., & De la Sen, M. (2020). Optimal Perturbation Iteration Method for Solving Fractional Model of Damped Burgers’ Equation. Symmetry, 12(6), 958. https://doi.org/10.3390/sym12060958

