Theoretical Insights into the Structure of the Aminotris(Methylenephosphonic Acid) (ATMP) Anion: A Possible Partner for Conducting Ionic Media
Abstract
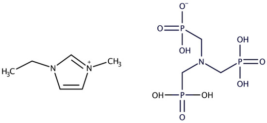
1. Introduction
2. Computational Methods
3. Results and Discussion
3.1. Ab Initio Dimer Computations
3.2. Cluster MD Simulations: Four Ionic Pairs Cluster
3.3. Cluster MD Simulations: Six Ionic Pairs Cluster
3.4. Bulk Phase MD Simulations
3.5. Doubly Deprotonated ATMP Anion Cluster
4. Conclusions
- The EMIM cation, lacking basicity, it is merely a spectator which does not participate in the proton transfer processes. In addition, it binds only weakly with the ATMP anions thereby promoting the segregation of anionic and cationic moieties;
- The three phosphonic acid side chains of the anions provide six potential terminals for the formation of strong hydrogen bonds leading to the generation of stable anionic dimers as well as larger oligomers;
- The anionic dimers of ATMP anions have association energies which are competitive with their oppositely charged counterparts which is a rare condition in typical IL systems, one that allows anions to cluster and to promote proton transfer;
- Phosphonic acid groups are effective proton donors which can drive coupled proton motion to counterbalance changes in charge distribution. Phosphonic terminals play the role of ‘equalisers’ with intermolecular proton transfer a prevalent (and dominant) event that tends to maintain ionised species;
- Due to the lack of basicity in this system, proton transfer events can advance freely without risk of quenching;
- Fast dry proton conductivity may be achievable utilising ATMP because proton migration is a spontaneous reversible process over extended time scales.
Supplementary Materials
Author Contributions
Funding
Acknowledgments
Conflicts of Interest
References
- Hayes, R.; Warr, G.W.; Atkin, R. Structure and nanostructure in ionic liquids. Chem. Rev. 2015, 115, 6357–6426. [Google Scholar] [CrossRef]
- MacFarlane, D.R.; Seddon, K.R. Ionic Liquids—Progress on the Fundamental Issues. Aust. J. Chem. 2007, 60, 3–5. [Google Scholar] [CrossRef]
- Hough, W.L.; Smiglak, M.; Rodrìguez, H.; Swatloski, R.P.; Spear, S.K.; Daly, D.Y.; Pernak, J.; Grisel, J.E.; Carliss, R.D.; Soutullo, M.D.; et al. The third evolution of ionic liquids: Active pharmaceutical ingredients. New J. Chem. 2007, 31, 1429–1436. [Google Scholar] [CrossRef]
- Vekariya., R.L. A review of ionic liquids: Applications towards catalytic organic transformations. J. Mol. Liq. 2017, 227, 44–60. [Google Scholar] [CrossRef]
- Fukaya, Y.; Iizuka, Y.; Sekikawa, K.; Ohno, H. Bio ionic liquids: Room temperature ionic liquids composed wholly of biomaterials. Green Chem. 2007, 9, 1155–1157. [Google Scholar] [CrossRef]
- Arunkumar, R.; Drummond, C.J.; Greaves, T.L. FTIR Spectroscopic Study of the Secondary Structure of Globular Proteins in Aqueous Protic Ionic Liquids. Front. Chem. 2019, 7, 74. [Google Scholar] [CrossRef]
- Mucsi, Z.; Chass, G.A.; Abranyi-Balogh, P.; Jojart, B.; Fang, D.C.; Ramirez-Cuesta, A.J.; Viskolcz, B.; Csizmadia, I.G. Penicillin’s catalytic mechanism revealed by inelastic neutrons and quantum chemical theory. Phys. Chem. Chem. Phys. 2013, 15, 20447–20455. [Google Scholar] [CrossRef]
- Campetella, M.; Gontrani, L.; Leonelli, F.; Bencivenni, L.; Caminiti, R. Two different models to predict ionic-liquid diffraction patterns: Fixed-charge versus polarizable potentials. Chem. Phys. Chem. 2015, 16, 197–203. [Google Scholar] [CrossRef]
- Bodo, E.; Mangialardo, S.; Capitani, F.; Gontrani, L.; Leonelli, F.; Postorino, P. Interaction of a long alkyl chain protic ionic liquid and water. J. Chem. Phys. 2014, 140, 204503. [Google Scholar] [CrossRef]
- Fumino, K.; Fossog, V.; Stange, P.; Paschek, D.; Hempelmann, R.; Ludwig, R. Controlling the subtle energy balance in protic ionic liquids: Dispersion forces compete with hydrogen bonds. Angew. Chem. Int. Ed. 2015, 54, 2792–2795. [Google Scholar] [CrossRef]
- Campetella, M.; Le Donne, A.; Daniele, M.; Gontrani, L.; Lupi, S.; Bodo, E.; Leonelli, F. Hydrogen bonding features in cholinium-based protic ionic liquids from molecular dynamics simulations. J. Phys. Chem. B 2018, 122, 2635–2645. [Google Scholar] [CrossRef] [PubMed]
- Bennett, E.; Wilson, T.; Murphy, P.J.; Refson, K.; Hannon, A.C.; Imberti, S.; Callear, S.K.; Chass, G.A.; Parker, S.F. How the Surface Structure Determines the Properties of CuH. Inorg. Chem. 2015, 54, 2213–2220. [Google Scholar] [CrossRef] [PubMed]
- Pedersen, M.T.; Tian, K.V.; Dobo-Nagy, C.; Chass, G.A.; Greaves, G.N.; Yue, Y.Z. Phase separation in an ionomer glass: Insight from calorimetry and phase transitions. J. Non Cryst. Sol. 2015, 415, 24–29. [Google Scholar] [CrossRef]
- Martins, V.L.; Torresi, R.M. Ionic liquids in electrochemical energy storage. Curr. Opin. Electrochem. 2019, 9, 26–32. [Google Scholar] [CrossRef]
- Nakamoto, H.; Watanabe, M. Brønsted Acid-Base ionic liquids for fuel cell electrolytes. Chem. Commun. 2007, 24, 2539–2541. [Google Scholar] [CrossRef]
- Matsuoka, H.; Nakamoto, H.; Susan, M.A.B.H.; Watanabe, M. Brønsted acid base and poly base complexes as electrolytes for fuel cells under non-humidifying conditions. Electrochim. Acta 2005, 50, 4015–4021. [Google Scholar] [CrossRef]
- Stettner., T.; Walter. F., C.; Balducci., A. Imidazolium-Based Protic Ionic Liquids as Electrolytes for Lithium-Ion Batteries. Batter. Supercaps 2019, 2, 55–59. [Google Scholar] [CrossRef]
- Benedetto, A.; Bodo, E.; Gontrani, L.; Ballone, P.; Caminiti, R. Amino acid anions in organic ionic compounds. An ab-initio study of selected ion pairs. J. Phys. Chem. B 2014, 118, 2471. [Google Scholar] [CrossRef]
- Eftekhari, A. Supercapacitors utilising ionic liquids. Energy Storage Mater. 2017, 9, 47–69. [Google Scholar] [CrossRef]
- Shmukler, L.E.; Gruzdev, M.S.; Kudryakova, N.O.; Fadeeva, Y.A.; Kolker, A.M.; Safonova, L.P. Triethylammonium-based protic ionic liquids with sulfonic acids: Phase behavior and electrochemistry. J. Mol. Liq. 2018, 266, 139–146. [Google Scholar] [CrossRef]
- Doi, H.; Song, X.; Minofar, B.; Kanzaki, R.; Takamuku, T.; Umebayashi, Y. A new proton conductive liquid with no ions: Pseudo-protic ionic liquids. Chem. Eur. J. 2013, 19, 11522–11526. [Google Scholar] [CrossRef] [PubMed]
- Stoimenovski, J.; Izgorodina, E.I.; MacFarlane, D.R. Ionicity and proton transfer in protic ionic liquids. Phys. Chem. Chem. Phys. 2010, 12, 10341–10347. [Google Scholar] [CrossRef] [PubMed]
- Campetella, M.; Montagna, M.; Gontrani, L.; Scarpellini, E.; Bodo, E. Unexpected proton mobility in the bulk phase of cholinium-based ionic liquids: New insights from theoretical calculations. Phys. Chem. Chem. Phys. 2017, 19, 11869–11880. [Google Scholar] [CrossRef] [PubMed]
- Le Donne, A.; Bodo, E. Isomerization patterns and proton transfer in ionic liquids constituents as probed by ab-initio computation. J. Mol. Liq. 2018, 249, 1075–1082. [Google Scholar] [CrossRef]
- Le Donne, A.; Adenusi, H.; Porcelli, F.; Bodo, E. Structural features of cholinium based protic ionic liquids through molecular dynamics. J. Phys. Chem. B 2019, 123, 5568–5576. [Google Scholar] [CrossRef]
- Le Donne, A.; Adenusi, H.; Porcelli, F.; Bodo, E. Hydrogen Bonding as a Clustering Agent in Protic Ionic Liquids: Like-Charge vs Opposite-Charge Dimer Formation. ACS Omega 2018, 3, 10589–10600. [Google Scholar] [CrossRef]
- Adenusi, H.; Le Donne, A.; Porcelli, F.; Bodo, E. Ab Initio Molecular Dynamics Study of Phospho-Amino Acid-Based Ionic Liquids: Formation of Zwitterionic Anions in the Presence of Acidic Side Chains. J. Chem. Phys. B 2020, 124, 1955–1964. [Google Scholar] [CrossRef]
- Vilciauskas, L.; Tuckerman, M.E.; Bester, G.; Paddison, S.J.; Kreuer, K.D. The mechanism of proton conduction in phosphoric acid. Nat. Chem. 2012, 4, 461–466. [Google Scholar] [CrossRef]
- Abdurrokhman, I.; Elamin, K.; Danyliv, O.; Hasani, M.; Swenson, J.; Martinell, A. Protic Ionic Liquids Based on the Alkyl-Imidazolium Cation: Effect of the Alkyl Chain Length on Structure and Dynamics. J. Phys. Chem. B 2019, 123, 4044–4054. [Google Scholar] [CrossRef]
- Watanabe, H.; Hiroyuki, D.; Saito, S.; Matsugami, M.; Fujii, K.; Kanzaki, R.; Kameda, Y.; Umebayashi, Y. Hydrogen bond in imidazolium based protic and aprotic ionic liquids. J. Mol. Liq. 2016, 217, 35–42. [Google Scholar] [CrossRef]
- Watanabe, H.; Umecky, T.; Arai, N.; Nazet, A.; Takamuku, T.; Harris, K.R.; Kameda, Y.; Buchner, R.; Umebayashi, Y. Possible Proton Conduction Mechanism in Pseudo-Protic Ionic Liquids: A Concept of Specific Proton Conduction. J. Phys. Chem. B 2019, 123, 6244–6252. [Google Scholar] [CrossRef] [PubMed]
- Arumugama, V.; Sriramb, P.; Yen, T.J.; Redhia, G.G.; Gengana, R.M. Nano-material as an excellent catalyst for reducing a series of nitroanilines and dyes: Triphosphonated ionic liquid-CuFe2O4-modified boron nitride. Appl. Catal. B Environ. 2018, 222, 99–114. [Google Scholar] [CrossRef]
- Jalili, J.; Geppi, M.; Tricoli, V. Organic protic ionics based on Nitrilo(trimethylenephosphonic acid) as water-free, proton-conducting materials. J. Solid State Electrochem. 2015, 19, 1643–1650. [Google Scholar] [CrossRef]
- Shah, B.; Chudasama, U. Synthesis and Characterization of a Novel Hybrid Material Titanium Amino Tris(methylenephosphonic acid) and Its Application as a Cation Exchanger. Ind. Eng. Chem. Res. 2014, 53, 17454–17467. [Google Scholar] [CrossRef]
- Knorr, A.; Stange, P.; Fumino, K.; Weinhold, F.; Ludwig, F. Spectroscopic evidence for clusters of like-charged ions in ionic liquids stabilized by cooperative hydrogen bonding. ChemPhysChem 2016, 17, 458–462. [Google Scholar] [CrossRef] [PubMed]
- Niemann, T.; Stange, P.; Strate, A.; Ludwig, R. Like-likes-Like: Cooperative hydrogen bonding overcomes Coulomb repulsion in cationic clusters with net charges up to Q=+6e. ChemPhysChem 2018, 19, 1691–1695. [Google Scholar] [CrossRef]
- Knorr, A.; Fumino, K.; Bonsa, A.M.; Ludwig, R. Spectroscopic evidence of ‘jumping and pecking’ of cholinium and H-bond enhanced cation−cation interaction in ionic liquids. Phys. Chem. Chem. Phys. 2015, 17, 30978–30982. [Google Scholar] [CrossRef]
- Tomasi, J.; Mennucci, B.; Cammi, R. Quantum mechanical continuum solvation models. Chem. Rev. 2005, 105, 2999–3093. [Google Scholar]
- Wojnarowska, Z.; Paluch, M. Recent progress on dielectric properties of protic ionic liquids. J. Phys. Condens. Matter. 2015, 27, 073202. [Google Scholar] [CrossRef]
- Huang, M.M.; Jiang, Y.; Sasisanker, P.; Driver, G.W.; Weingartner, H. Static Relative Dielectric Permittivities of Ionic Liquids at 25 °C. J. Chem. Eng. Data 2011, 56, 1494–1499. [Google Scholar] [CrossRef]
- Grimme, S.; Antony, J.; Ehrlich, S.; Krieg, H. A consistent and accurate ab initio parameterization of density functional dispersion correction (DFT-D) for the 94 elements H-Pu. J. Chem. Phys. 2010, 132, 154104. [Google Scholar] [CrossRef] [PubMed]
- McLean, A.D.; Chandler, G.S. Contracted Gaussian-basis sets for molecular calculations. 1. 2nd row atoms, Z=11–18. J. Chem. Phys. 1980, 72, 5639–5648. [Google Scholar] [CrossRef]
- Frisch, M.J.; Trucks, G.W.; Schlegel, H.B.; Scuseria, G.E.; Robb, M.A.; Cheeseman, J.R.; Scalmani, G.; Barone, V.; Petersson, G.A.; Nakatsuji, H.; et al. Gaussian 16, Revision B.01; Gaussian, Inc.: Wallingford, CT, USA, 2016. [Google Scholar]
- Addicoat, M.A.; Stefanovic, R.; Webber, G.B.; Atkin, R.; Page, A.J. Assessment of the Density Functional Tight Binding Method for Protic Ionic Liquids. J. Chem. Theory Comput. 2014, 10, 4633–4643. [Google Scholar] [CrossRef]
- Zentel, T.; Kühn, O. Properties of hydrogen bonds in the protic ionic liquid ethylammonium nitrate DFT versus DFTB molecular dynamics. Theor. Chem. Acc. 2017, 136, 87. [Google Scholar]
- Zentel, T.; Kühn, O. Hydrogen bonding in the protic ionic liquid triethylammonium nitrate explored by density functional tight binding simulations. J. Chem. Phys. 2016, 145, 234504. [Google Scholar] [CrossRef] [PubMed]
- Joswig, J.O.; Hazebroucq, S.; Seifert, G. Properties of the phosphonic-acid molecule and the proton transfer in the phosphonic-acid dimer. J. Mol. Struct. 2007, 816, 119–123. [Google Scholar] [CrossRef]
- Gaus, M.; Cui, Q.; Elstner, M. DFTB3: Extension of the Self-Consistent-Charge Density-Functional Tight-Binding Method (SCC-DFTB). J. Chem. Theory Comput. 2011, 7, 931–948. [Google Scholar] [CrossRef]
- Xi, N.; Huang, Q.; Liu, L. Comprehensive Heterocyclic Chemistry Chemistry. Mol. Sci. Chem. Eng. 2008, 4, 143–364. [Google Scholar]
- Baek, C.S.; Lee, Y.J.; Lee, S.J.; Lee, S.G.; Kim, H.C.; Jeong, S.W. C2-Functionalized 1,3-dialkylimidazolium ionic liquids for efficient cellulose dissolution. J. Mol. Liq. 2017, 234, 111–116. [Google Scholar] [CrossRef]










| Dimer | Gas-Phase | Acetonitrile Solvent (PCM ε = 35.7) |
|---|---|---|
| [EMIM]+[ATMP]− | −92.7 | −23.5 |
| [EMIM]+[ATMP]2− | −177.8 | −29.9 |
| [ATMP]−[ATMP]− | 25.6 | −37.6 |
| [ATMP]2−[ATMP]2− | 79.6 | −34.6 |
| [ATMP]−[ATMP]2− | 26.8 | −36.6 |
| [ATMP][ATMP]2− | 69.6 | −35.1 |
© 2020 by the authors. Licensee MDPI, Basel, Switzerland. This article is an open access article distributed under the terms and conditions of the Creative Commons Attribution (CC BY) license (http://creativecommons.org/licenses/by/4.0/).
Share and Cite
Adenusi, H.; Chass, G.; Bodo, E. Theoretical Insights into the Structure of the Aminotris(Methylenephosphonic Acid) (ATMP) Anion: A Possible Partner for Conducting Ionic Media. Symmetry 2020, 12, 920. https://doi.org/10.3390/sym12060920
Adenusi H, Chass G, Bodo E. Theoretical Insights into the Structure of the Aminotris(Methylenephosphonic Acid) (ATMP) Anion: A Possible Partner for Conducting Ionic Media. Symmetry. 2020; 12(6):920. https://doi.org/10.3390/sym12060920
Chicago/Turabian StyleAdenusi, Henry, Gregory Chass, and Enrico Bodo. 2020. "Theoretical Insights into the Structure of the Aminotris(Methylenephosphonic Acid) (ATMP) Anion: A Possible Partner for Conducting Ionic Media" Symmetry 12, no. 6: 920. https://doi.org/10.3390/sym12060920
APA StyleAdenusi, H., Chass, G., & Bodo, E. (2020). Theoretical Insights into the Structure of the Aminotris(Methylenephosphonic Acid) (ATMP) Anion: A Possible Partner for Conducting Ionic Media. Symmetry, 12(6), 920. https://doi.org/10.3390/sym12060920

