Effect of Zinc Oxide Nano-Additives and Soybean Biodiesel at Varying Loads and Compression Ratios on VCR Diesel Engine Characteristics
Abstract
1. Introduction
2. Material and Methods
2.1. Production of Soybean Biodiesel
2.2. Synthesis and Characterization of Zinc Oxide Nanoparticles
2.3. Preparation and Physiochemical Properties of Nanofuel Blends
2.4. Uncertainty Analysis of Expected Errors
2.5. Test Engine Setup
3. Results and Discussions
3.1. The Effect of Zinc Oxide Nano Additives and Soybean Fuel Blend on the Engine Performance
3.1.1. The Effect of SBME25-ZnO Nanofuel Blends on Brake Thermal Efficiency (BTE) at Different Compression Ratios
3.1.2. The Effect of SBME25-ZnO Nanofuel Blends on Brake Specific Fuel Consumption (BSFC) at Different Compression Ratios
3.2. The Effect of Zinc Oxide Nano-Additives and Soybean Fuel Blend on Engine Emissions
3.2.1. The Effect of SBME25-ZnO Nanofuel Blends on Carbon Monoxide (CO) Emissions at Different Compression Ratios
3.2.2. The Effect of SBME25-ZnO Nanofuel Blends on Hydrocarbon (HC) Emissions at Different Compression Ratios
3.2.3. The Effect of SBME25-ZnO Nanofuel Blends on Nitrogen Oxide (NOx) Emissions at Different Compression Ratios
3.2.4. The Effect of SBME25-ZnO Nanofuel Blends on Carbon Dioxide (CO2) Emissions at Different Compression Ratios
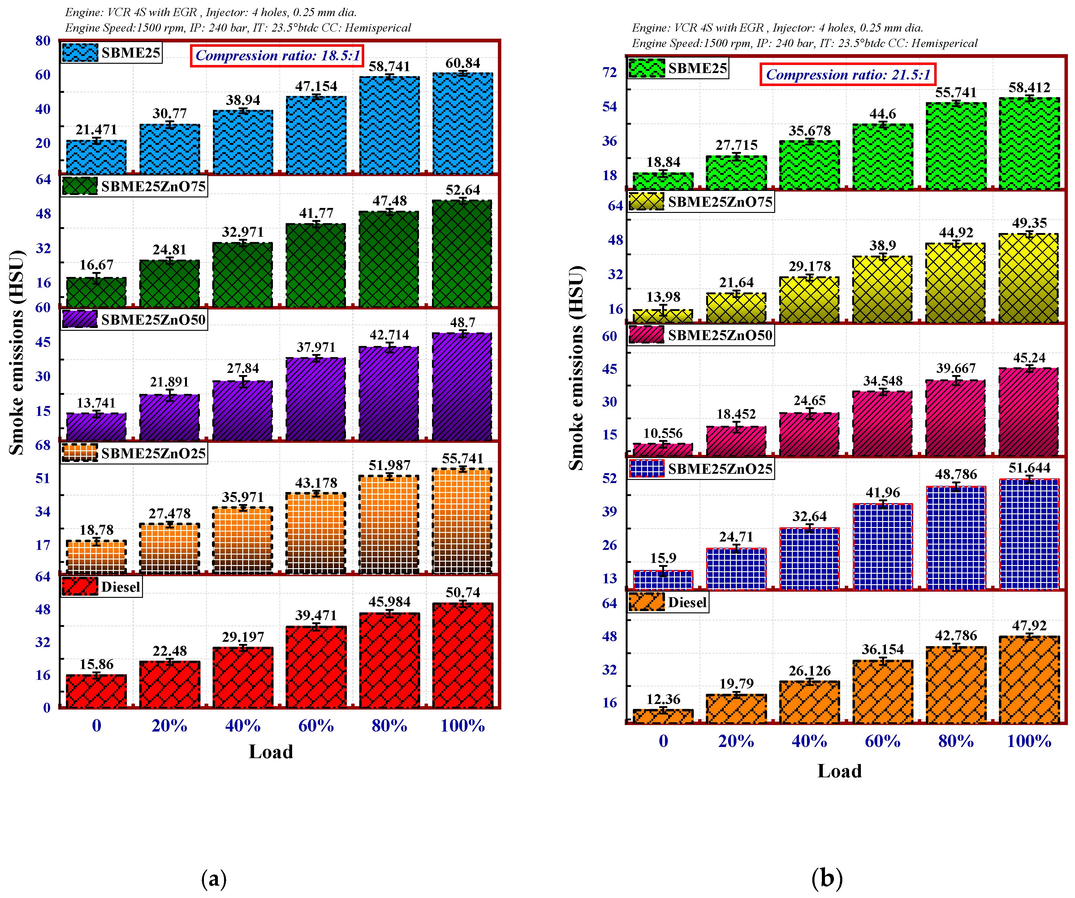
3.2.5. The Effect of SBME25-ZnO Nanofuel Blends on Smoke Emissions at Different Compression Ratios
3.3. The Effect of Zinc Oxide Nano-Additives and Soybean Fuel Blend on Engine Combustion Characteristics
3.3.1. The Effect of SBME25-ZnO Nanofuel Blends on Ignition Delay at Different Compression Ratios
3.3.2. The Effect of SBME25-ZnO Nanofuel Blends on Mean Gas Temperature at Different Compression Ratios
3.3.3. The Effect of SBME25-ZnO Nanofuel Blends on Heat Release Rate at Different Compression Ratios
4. Conclusions
- The addition of ZnO nanoparticles to SBME25 enhanced the fuel properties, such as the calorific value and cetane number, while the density and viscosity were comparable to SBME25.
- The performance characteristics of the VCR engine were enhanced for the ternary fuel blends. The dosage level of 50 ppm in SBME25 biodiesel and compression ratio of 21.5 increased the BTE by 20.59% and reduced the BSFC by 20.37% compared with the SBME25 fuel blend due to enhanced catalytic activity of zinc oxide nanoparticles.
- The heat release rate and mean gas temperature of SBME25ZnO50 were comparable with diesel fuel. The enhancement in the heat release rate is due to the micro-explosion phenomenon occurring in the combustion chamber.
- Emissions decreased with the addition of ZnO nanoparticles in the fuel blends. HC, CO, smoke, and CO2 emissions were reduced by 30.83%, 41.08%, 22.54%, and 21.66%, respectively. NOx emissions increased slightly due to excess oxygen in the combustion chamber.
5. Recommendations for Future Research
- An extensive investigation of the surface reaction and engine wear on engine parts, such as the combustion chamber, piston and piston rings, cylinder and cylinder linings, fuel injectors and exhaust pipe, is required to confirm the reliability of nano-additives in a diesel engine.
- The impact of metal-based nanoparticles used as fuel additives in diesel/biodiesel fuel on human health should be examined before commercialization of the technology.
- There is scope for further research on the effects of nanoparticles in exhaust emissions. This may raise an issue related to environmental pollution caused by the addition of nanoparticles to diesel and bio-diesel fuels.
- Analysis of the cost and complexity in the preparation of nanoparticles, encompassing public safety and economic feasibility, should be considered in future research. Furthermore, efforts should be made in developing cost-effective and efficient nanoparticles.
Author Contributions
Funding
Acknowledgments
Conflicts of Interest
Nomenclature
| NPs | Nanoparticles |
| CRDI | Common rail direct injection |
| CI | Compression ignition |
| nm | Nanometer |
| g/kWh | Grams per kilowatt hour |
| CC | Combustion chamber |
| ATDC | After top dead center |
| FFA | Free fatty acid |
| ASTM | American Society for Testing and Materials |
| ID | Injection delay |
| CO2 | Carbon dioxide |
| NOX | Oxides of nitrogen |
| BTE | Brake thermal efficiency |
| SFC | Specific fuel consumption |
| IP | Injection pressure |
| EGT | Exhaust gas temperature |
| °CA | Crank angle (degrees) |
| SBME | Soybean methyl ester (Soybean biodiesel) |
| SBME25 ZnO25 | SBME25 and 25 ppm ZnO NPs |
| SBME25 ZnO75 | SBME25 and 75 ppm ZnO NPs |
| ZnO | Zinc oxide |
| SDS | Sodium dodecyl sulfate |
| IC | Internal combustion |
| ppm | Parts per million |
| m | Meter |
| HCC | Hemispherical combustion chamber |
| BTDC | Before top dead center |
| CR | Compression ratio |
| PP | Peak pressure |
| HC | Hydrocarbon |
| CO | Carbon monoxide |
| PM | Particulate matter |
| BSFC | Brake specific fuel consumption |
| Tw | Wall temperature |
| IT | Injection timing |
| HRR | Heat release rate |
| D100 | 100% diesel |
| SBME25 | 25% Soybean methyl ester blended with diesel |
| SBME25 ZnO50 | SBME25 and 50 ppm ZnO NPs |
References
- Soudagar, M.E.M.; Nik-Ghazali, N.N.; Kalam, M.A.; Badruddin, I.; Banapurmath, N.; Akram, N. The effect of nano-additives in diesel-biodiesel fuel blends: A comprehensive review on stability, engine performance and emission characteristics. Energy Convers. Manag. 2018, 178, 146–177. [Google Scholar] [CrossRef]
- Soudagar, M.E.M.; Kittur, P.; Parmar, F.; Batakatti, S.; Kulkarni, P.; Kallannavar, V. Production of Mahua Oil Ethyl Ester (MOEE) and its Performance test on four stroke single cylinder VCR engine. In Proceedings of the IOP Conference Series: Materials Science and Engineering, Seoul, Korea, 26–28 May 2017; p. 012029. [Google Scholar]
- Ovando-Medina, I.; Espinosa-García, F.; Núñez-Farfán, J.; Salvador-Figueroa, M. Does biodiesel from Jatropha curcas represent a sustainable alternative energy source? Sustainability 2009, 1, 1035–1041. [Google Scholar] [CrossRef]
- Imran, S.; Korakianitis, T.; Shaukat, R.; Farooq, M.; Condoor, S.; Jayaram, S. Experimentally tested performance and emissions advantages of using natural-gas and hydrogen fuel mixture with diesel and rapeseed methyl ester as pilot fuels. Appl. Energy 2018, 229, 1260–1268. [Google Scholar] [CrossRef]
- Mujtaba, M.; Cho, H.M.; Masjuki, H.; Kalam, M.; Ong, H.; Gul, M.; Harith, M.; Yusoff, M. Critical review on sesame seed oil and its methyl ester on cold flow and oxidation stability. Energy Rep. 2020, 6, 40–54. [Google Scholar] [CrossRef]
- Delvi, M.K.; Soudagar, M.E.M.; Khan, H.; Ahmed, Z.; Shariff, I.M. Biodiesel Production Utilizing Diverse Sources, Classification of Oils and Their Esters, Performance and Emission Characteristics: A Research. IJRTE 2020. [Google Scholar]
- Soudagar, M.E.M.; Nik-Ghazali, N.N.; Kalam, M.; Badruddin, I.A.; Banapurmath, N.; Khan, T.Y.; Bashir, M.N.; Akram, N.; Farade, R.; Afzal, A. The effects of graphene oxide nanoparticle additive stably dispersed in dairy scum oil biodiesel-diesel fuel blend on CI engine: Performance, emission and combustion characteristics. Fuel 2019, 257, 116015. [Google Scholar] [CrossRef]
- Sarafraz, M.; Jafarian, M.; Arjomandi, M.; Nathan, G. Potential use of liquid metal oxides for chemical looping gasification: A thermodynamic assessment. Appl. Energy 2017, 195, 702–712. [Google Scholar] [CrossRef]
- Soudagar, M.; Afzal, A.; Kareemullah, M. Waste coconut oil methyl ester with and without additives as an alternative fuel in diesel engine at two different injection pressures. Energy Sources Part A Recovery Util. Environ. Eff. 2020. [Google Scholar] [CrossRef]
- Sarafraz, M. Experimental Investigation on Pool Boiling Heat Transfer to Formic Acid, Propanol and 2-Butanol Pure Liquids under the Atmospheric Pressure. J. Appl. Fluid Mech. 2013, 6, 73–79. [Google Scholar]
- Sarafraz, M.; Hormozi, F.; Kamalgharibi, M. Sedimentation and convective boiling heat transfer of CuO-water/ethylene glycol nanofluids. Heat Mass Transf. 2014, 50, 1237–1249. [Google Scholar] [CrossRef]
- Tamilvanan, A.; Balamurugan, K.; Ponappa, K.; Kumar, B.M. Copper nanoparticles: Synthetic strategies, properties and multifunctional application. Int. J. Nanosci. 2014, 13, 1430001. [Google Scholar] [CrossRef]
- Farade, R.A.; Wahab, N.I.B.A.; Mansour, D.E.A.; Azis, N.B.; Banapurmath, N.; Soudagar, M.E.M. Investigation of the dielectric and thermal properties of non-edible cottonseed oil by infusing h-BN nanoparticles. IEEE Access 2020. [Google Scholar] [CrossRef]
- Akram, N.; Sadri, R.; Kazi, S.; Zubir, M.N.M.; Ridha, M.; Ahmed, W.; Soudagar, M.E.M.; Arzpeyma, M. A comprehensive review on nanofluid operated solar flat plate collectors. J. Therm. Anal. Calorim. 2020, 139, 1309–1343. [Google Scholar]
- Peyghambarzadeh, S.; Sarafraz, M.; Vaeli, N.; Ameri, E.; Vatani, A.; Jamialahmadi, M. Forced convective and subcooled flow boiling heat transfer to pure water and n-heptane in an annular heat exchanger. Ann. Nucl. Energy 2013, 53, 401–410. [Google Scholar] [CrossRef]
- Sarafraz, M.; Arjomandi, M. Thermal performance analysis of a microchannel heat sink cooling with copper oxide-indium (CuO/In) nano-suspensions at high-temperatures. Appl. Therm. Eng. 2018, 137, 700–709. [Google Scholar] [CrossRef]
- Sarafraz, M.; Arjomandi, M. Demonstration of plausible application of gallium nano-suspension in microchannel solar thermal receiver: Experimental assessment of thermo-hydraulic performance of microchannel. Int. Commun. Heat Mass Transf. 2018, 94, 39–46. [Google Scholar] [CrossRef]
- Sarafraz, M.; Arya, A.; Nikkhah, V.; Hormozi, F. Thermal performance and viscosity of biologically produced silver/coconut oil nanofluids. Chem. Biochem. Eng. Q. 2016, 30, 489–500. [Google Scholar] [CrossRef]
- Sarafraz, M.; Peyghambarzadeh, S. Experimental study on subcooled flow boiling heat transfer to water–diethylene glycol mixtures as a coolant inside a vertical annulus. Exp. Therm. Fluid Sci. 2013, 50, 154–162. [Google Scholar] [CrossRef]
- Saxena, V.; Kumar, N.; Saxena, V.K. A comprehensive review on combustion and stability aspects of metal nanoparticles and its additive effect on diesel and biodiesel fuelled CI engine. Renew. Sustain. Energy Rev. 2017, 70, 563–588. [Google Scholar] [CrossRef]
- El-Seesy, A.I.; Abdel-Rahman, A.K.; Bady, M.; Ookawara, S. Performance, combustion, and emission characteristics of a diesel engine fueled by biodiesel-diesel mixtures with multi-walled carbon nanotubes additives. Energy Convers. Manag. 2017, 135, 373–393. [Google Scholar] [CrossRef]
- Vellaiyan, S. Enhancement in combustion, performance, and emission characteristics of a diesel engine fueled with diesel, biodiesel, and its blends by using nanoadditive. Environ. Sci. Pollut. Res. 2019, 26, 9561–9573. [Google Scholar]
- Akram, N.; Sadri, R.; Kazi, S.; Ahmed, S.; Zubir, M.; Ridha, M.; Soudagar, M.; Ahmed, W.; Arzpeyma, M.; Tong, G.B. An experimental investigation on the performance of a flat-plate solar collector using eco-friendly treated graphene nanoplatelets–water nanofluids. J. Therm. Anal. Calorim. 2019, 138, 609–621. [Google Scholar]
- Kumar, S.; Dinesha, P.; Bran, I. Influence of nanoparticles on the performance and emission characteristics of a biodiesel fuelled engine: An experimental analysis. Energy 2017, 140, 98–105. [Google Scholar]
- Prabakaran, B.; Udhoji, A. Experimental investigation into effects of addition of zinc oxide on performance, combustion and emission characteristics of diesel-biodiesel-ethanol blends in CI engine. Alex. Eng. J. 2016, 55, 3355–3362. [Google Scholar]
- Venu, H.; Raju, V.D.; Subramani, L. Combined effect of influence of nano additives, combustion chamber geometry and injection timing in a DI diesel engine fuelled with ternary (diesel-biodiesel-ethanol) blends. Energy 2019, 174, 386–406. [Google Scholar]
- Basha, J.S. Impact of Carbon Nanotubes and Di-Ethyl Ether as additives with biodiesel emulsion fuels in a diesel engine–An experimental investigation. J. Energy Inst. 2018, 91, 289–303. [Google Scholar]
- Selvan, V.A.M.; Anand, R.; Udayakumar, M. Effect of Cerium Oxide Nanoparticles and Carbon Nanotubes as fuel-borne additives in Diesterol blends on the performance, combustion and emission characteristics of a variable compression ratio engine. Fuel 2014, 130, 160–167. [Google Scholar]
- Ashok, B.; Nanthagopal, K.; Mohan, A.; Johny, A.; Tamilarasu, A. Comparative analysis on the effect of zinc oxide and ethanox as additives with biodiesel in CI engine. Energy 2017, 140, 352–364. [Google Scholar]
- Venu, H. An experimental assessment on the influence of fuel-borne additives on ternary fuel (diesel–biodiesel–ethanol) blends operated in a single cylinder diesel engine. Environ. Sci. Pollut. Res. 2019, 26, 14660–14672. [Google Scholar]
- Özgür, T.; Özcanli, M.; Aydin, K. Investigation of nanoparticle additives to biodiesel for improvement of the performance and exhaust emissions in a compression ignition engine. Int. J. Green Energy 2015, 12, 51–56. [Google Scholar]
- Soudagar, M.E.M.; Nik-Ghazali, N.N.; Kalam, M.; Badruddin, I.A.; Banapurmath, N.; Ali, M.A.B.; Kamangar, S.; Cho, H.M.; Akram, N. An investigation on the influence of aluminium oxide nano-additive and honge oil methyl ester on engine performance, combustion and emission characteristics. Renew. Energy 2020, 146, 2291–2307. [Google Scholar]
- Karthikeyan, S.; Elango, A.; Prathima, A. Diesel engine performance and emission analysis using canola oil methyl ester with the nano sized zinc oxide particles. Indian J. Eng. Mater. Sci. 2014, 21, 83–87. [Google Scholar]
- Venu, H.; Madhavan, V. Effect of diethyl ether and Al2O3 nano additives in diesel-biodiesel-ethanol blends: Performance, combustion and emission characteristics. J. Mech. Sci. Technol. 2017, 31, 409–420. [Google Scholar]
- Sajith, V.; Sobhan, C.; Peterson, G. Experimental investigations on the effects of cerium oxide nanoparticle fuel additives on biodiesel. Adv. Mech. Eng. 2010, 2, 581407. [Google Scholar]
- Keskin, A.; Gürü, M.; Altıparmak, D. Influence of metallic based fuel additives on performance and exhaust emissions of diesel engine. Energy Convers. Manag. 2011, 52, 60–65. [Google Scholar]
- Mei, D.; Li, X.; Wu, Q.; Sun, P. Role of cerium oxide nanoparticles as diesel additives in combustion efficiency improvements and emission reduction. J. Energy Eng. 2016, 142, 04015050. [Google Scholar]
- Wu, Q.; Xie, X.; Wang, Y.; Roskilly, T. Effect of carbon coated aluminum nanoparticles as additive to biodiesel-diesel blends on performance and emission characteristics of diesel engine. Appl. Energy 2018, 221, 597–604. [Google Scholar]
- Emerging, S.C.O.; Risks, N.I.H. The Appropriateness of Existing Methodologies to Assess the Potential Risks Associated with Engineered and Adventitious Products of Nanotechnologies; European Commission Health and Consumer Protection Directorate-General: Brussels, Belgium, 2006; Volume 10. [Google Scholar]
- Haniffa, M.A.C.M.; Ching, Y.C.; Chuah, C.H.; Ching, K.Y.; Liou, N.S. Synergistic effect of (3-Aminopropyl) Trimethoxysilane treated ZnO and corundum nanoparticles under UV-irradiation on UV-cutoff and IR-absorption spectra of acrylic polyurethane based nanocomposite coating. Polym. Degrad. Stab. 2019, 159, 205–216. [Google Scholar]
- Li, Y.Q.; Fu, S.Y.; Mai, Y.W. Preparation and characterization of transparent ZnO/epoxy nanocomposites with high-UV shielding efficiency. Polymer 2006, 47, 2127–2132. [Google Scholar]
- Wahab, R.; Ansari, S.; Seo, H.K.; Kim, Y.S.; Suh, E.K.; Shin, H.S. Low temperature synthesis and characterization of rosette-like nanostructures of ZnO using solution process. Solid State Sci. 2009, 11, 439–443. [Google Scholar]
- Cao, D.; Gong, S.; Shu, X.; Zhu, D.; Liang, S. Preparation of ZnO nanoparticles with high Dispersibility based on oriented attachment (OA) process. Nanoscale Res. Lett. 2019, 14, 210. [Google Scholar] [PubMed]
- Talam, S.; Karumuri, S.R.; Gunnam, N. Synthesis, characterization, and spectroscopic properties of ZnO nanoparticles. ISRN Nanotechnol. 2012, 2012, 1–6. [Google Scholar]
- Bian, S.W.; Mudunkotuwa, I.A.; Rupasinghe, T.; Grassian, V.H. Aggregation and dissolution of 4 nm ZnO nanoparticles in aqueous environments: Influence of pH, ionic strength, size, and adsorption of humic acid. Langmuir 2011, 27, 6059–6068. [Google Scholar] [PubMed]
- Moffat, R.J. Describing the uncertainties in experimental results. Exp. Therm. Fluid Sci. 1988, 1, 3–17. [Google Scholar]
- Pushparaj, T.; Ramabalan, S. Green fuel design for diesel engine, combustion, performance and emission analysis. Procedia Eng. 2013, 64, 701–709. [Google Scholar]
- Rosha, P.; Mohapatra, S.K.; Mahla, S.K.; Cho, H.; Chauhan, B.S.; Dhir, A. Effect of compression ratio on combustion, performance, and emission characteristics of compression ignition engine fueled with palm (B20) biodiesel blend. Energy 2019, 178, 676–684. [Google Scholar]
- Khalife, E.; Tabatabaei, M.; Demirbas, A.; Aghbashlo, M. Impacts of additives on performance and emission characteristics of diesel engines during steady state operation. Prog. Energy Combust. Sci. 2017, 59, 32–78. [Google Scholar]
- Mehta, R.N.; Chakraborty, M.; Parikh, P.A. Nanofuels: Combustion, engine performance and emissions. Fuel 2014, 120, 91–97. [Google Scholar]
- Raheman, H.; Ghadge, S. Performance of diesel engine with biodiesel at varying compression ratio and ignition timing. Fuel 2008, 87, 2659–2666. [Google Scholar]
- Soudagar, M.E.M.; Nik-Ghazali, N.N.; Badruddin, I.A.; Kalam, M.; Kittur, M.I.; Akram, N.; Ullah, M.A.; Khan, T.Y.; Mokashi, I. Production of honge oil methyl ester (HOME) and its performance test on four stroke single cylinder VCR engine. In Proceedings of the AIP Conference Proceedings, New Delhi, India, 6–7 March 2019; p. 200006. [Google Scholar]
- Bora, B.J.; Saha, U.K. Experimental evaluation of a rice bran biodiesel–biogas run dual fuel diesel engine at varying compression ratios. Renew. Energy 2016, 87, 782–790. [Google Scholar]
- Sayin, C.; Gumus, M. Impact of compression ratio and injection parameters on the performance and emissions of a DI diesel engine fueled with biodiesel-blended diesel fuel. Appl. Therm. Eng. 2011, 31, 3182–3188. [Google Scholar]
- Dhahad, H.A.; Chaichan, M.T. The impact of adding nano-Al2O3 and nano-ZnO to Iraqi diesel fuel in terms of compression ignition engines’ performance and emitted pollutants. Therm. Sci. Eng. Prog. 2020, 18, 100535. [Google Scholar]
- Kumar, T.D.; Hussain, S.S.; Ramesha, D. Effect of a zinc oxide nanoparticle fuel additive on the performance and emission characteristics of a CI engine fuelled with cotton seed biodiesel blends. Mater. Today Proc. 2020. [Google Scholar] [CrossRef]
- Habibullah, M.; Masjuki, H.H.; Kalam, M.; Fattah, I.R.; Ashraful, A.; Mobarak, H. Biodiesel production and performance evaluation of coconut, palm and their combined blend with diesel in a single-cylinder diesel engine. Energy Convers. Manag. 2014, 87, 250–257. [Google Scholar]
- Sharma, A.; Murugan, S. Potential for using a tyre pyrolysis oil-biodiesel blend in a diesel engine at different compression ratios. Energy Convers. Manag. 2015, 93, 289–297. [Google Scholar]
- Nanthagopal, K.; Ashok, B.; Tamilarasu, A.; Johny, A.; Mohan, A. Influence on the effect of zinc oxide and titanium dioxide nanoparticles as an additive with Calophyllum inophyllum methyl ester in a CI engine. Energy Convers. Manag. 2017, 146, 8–19. [Google Scholar]
- Karthikeyan, S.; Elango, A.; Prathima, A. Performance and emission study on zinc oxide nano particles addition with pomolion stearin wax biodiesel of CI engine. J. Sci. Ind. Res. 2014, 73, 187–190. [Google Scholar]
- Ramalingam, S.; Chinnaia, P.; Rajendran, S. Influence of compression ratio on the performance and emission characteristics of annona methyl ester operated DI diesel engine. Adv. Mech. Eng. 2014, 6, 832470. [Google Scholar]
- Mohammed, E.K.; Nemit-allah, M.A. Experimental investigations of ignition delay period and performance of a diesel engine operated with Jatropha oil biodiesel. Alex. Eng. J. 2013, 52, 141–149. [Google Scholar]
- Khan, H.; Soudagar, M.E.M.; Kumar, R.H.; Safaei, M.R.; Farooq, M.; Khidmatgar, A.; Banapurmath, N.R.; Farade, R.A.; Abbas, M.M.; Afzal, A.; et al. Effect of Nano-Graphene Oxide and n-Butanol Fuel Additives Blended with Diesel—Nigella sativa Biodiesel Fuel Emulsion on Diesel Engine Characteristics. Symmetry 2020, 12, 961. [Google Scholar]
- Farade, R.A.; Abdul Wahab, N.I.; Mansour, D.-E.A.; Azis, N.B.; bt. Jasni, J.; Soudagar, M.E.M.; Siddappa, V. Development of Graphene Oxide-Based Nonedible Cottonseed Nanofluids for Power Transformers. Materials 2020, 13, 2569. [Google Scholar]
- Mujtaba, M.A.; Masjuki, H.H.; Kalam, M.A.; Ong, H.C.; Gul, M.; Farooq, M.; Soudagar, M.E.M.; Ahmed, W.; Harith, M.H.; Yusoff, M.N.A.M. Ultrasound-assisted process optimization and tribological characteristics of biodiesel from palm-sesame oil via response surface methodology and extreme learning machine-Cuckoo search. Renew. Energy. 2020. [Google Scholar] [CrossRef]




















| Biofuel Blends | Biodiesel | Dosage of NPs | Engine Type | Application Output | Ref. |
|---|---|---|---|---|---|
| D (80%) + BD (20%) | Dairy scum oil methyl ester | Graphene oxide 20 ppm 40 ppm 60 ppm | SC, DI, 4-S, CI engine, 23°BDTC, WC, 17.5 CR, 3 FI nozzles |
| [7] |
| D (80%) + BD (20%) | Pongamia oil methyl ester | FeO 30 nm and Ferrofluid 100 nm | SC, DI, 4-S, CI engine, 23˚BTDC, WC, 17.5 CR, 3 FI nozzles |
| [24] |
| D (40%) + BD (30%) + ethanol (30%) | Palm oil methyl ester | ZnO 250 ppm | SC, DI, 4-S, CI engine, 23˚BTDC, WC, 17.5 CR, 3 FI nozzles |
| [25] |
| D (70%) + BD (20%) + ethanol (10%) | Castor oil methyl ester | γ-Alumina 10 ppm 20 ppm 30 ppm | SC, DI, 4-S, CI Engine, 23˚BTDC HCC, AC, 17.5 CR 3 FI nozzles, 0.3 mm dia. FI holes, 661 cc |
| [26] |
| BD (91%) + 50 mL DEE | Jatropha methyl ester | CNT 50 ppm | SC, DI, 4-S, CI Engine, 26˚BTDC HCC, AC, 17.5 CR 3 FI nozzles |
| [27] |
| D (70%) + BD (10%) + ethanol (20%) (Diesterol- E20) | Castor oil methyl ester | Ceria and CNT 25 ppm 50 ppm 100 ppm | CI, WC, DI, 1500 rpm, 19:1, 23˚BTDC |
| [28] |
| BD + (200 and 500 ppm of Ethanox) | Calophyllum Inophyllum Methyl Ester | ZnO 50 ppm 100 ppm | 2-C, DI, 4-S, CI Engine, 23˚BTDC, WC, 18.5 CR, 5 FI nozzles, 1670 cc |
| [29] |
| D (70%) + BD (20%) + ethanol (10%) | Jatropha methyl ester | γ-Alumina 10 ppm 20 ppm 30 ppm | SC, DI, 4-S, CI Engine, 23˚BTDC HCC, AC, 17.5 CR, 3 FI nozzles, 0.3 mm dia. FI holes, 661 cc |
| [30] |
| Fatty Acid | Carbon Chain | Composition (wt.%) |
|---|---|---|
| Palmitic | C 16:0 | 11.24 |
| Stearic | C 18:0 | 4.15 |
| Oleic | C 18:1 | 23.69 |
| Linoleic | C 18:2 | 51.66 |
| Linolenic | C 18:3 | 6.89 |
| Properties | Unit | ASTM Standards | Test Limit ASTM D6751 | Diesel | SBME25 | SBME25ZnO25 | SBME25ZnO50 | SBME25ZnO75 |
|---|---|---|---|---|---|---|---|---|
| Density | kg/m3 at 15 °C | D4052 | 860–900 | 810 | 845.66 | 845.87 | 846.22 | 846.84 |
| Calorific value | kJ/kg | D5865 | Min. 35,000 | 45,000 | 41,684 | 43,400 | 44,800 | 43,850 |
| Kinematic Viscosity | cSt at 40 °C | D445 | 1.9–6 | 2.12 | 3.56 | 3.52 | 3.525 | 3.531 |
| Specific Gravity | gm/cc | D891 | 0.87–0.90 | 0.811 | 0.825 | 0.820 | 0.821 | 0.824 |
| Cetane Number | - | D613 | Min. 40 | 51 | 48.66 | 52.55 | 53.74 | 53.15 |
| Flash Point | °C | D93 | >130 | 55 | 65.71 | 62.87 | 60.47 | 61.87 |
| Pour Point | °C | D97-12 | −15 to 16 | −4 | −6 | −5 | −5.65 | −5.6 |
| Cloud Point | °C | D2500-11 | −3 to 12 | −2 | 4.5 | 3.5 | 3.54 | 3.57 |
| Sulphur content | % w/w | D5453 | 0.05 | 0.005 | 0.012 | 0.0156 | 0.0162 | 0.0188 |
| Water content | % vol | D2709 | 0.05% vol | - | Trace | Trace | Trace | Trace |
| Parameters | Accuracy (±) | Uncertainty (%) |
|---|---|---|
| Brake power (KW) | - | ±0.22 |
| Brake thermal efficiency (%) | - | ±0.28 |
| Brake specific fuel consumption (%) | - | ±0.31 |
| Heat release rate (J/°CA) | - | ±0.24 |
| Carbon monoxide emission (%) | ±0.01% | ±0.18 |
| Nitrogen oxide emission (ppm) | ±10 ppm | ±0.24 |
| Hydrocarbon emission (ppm) | ±10 ppm | ±0.14 |
| Exhaust gas temperature (°C) | ±1 | ±0.15 |
| Mean gas temperature (°C) | - | ±0.35 |
| Smoke meter (HSU) | ±1 | ±0.25 |
| Number of Strokes | 4 |
|---|---|
| Fuel type | Diesel, Biodiesel, and Nanofuel |
| Cylinder | Single, Water cooled |
| Rated Power | 3.5 KW |
| Speed | 1500 rpm |
| Cylinder diameter | 87.5 mm |
| Load indicator | Digital, Range 0–50 Kg, Supply 230 V air cooled |
| Fuel tank | Volume 15 liters with glass fuel metering column |
| Exhaust Gas Recirculation | Water cooled, Stainless Steel, Range 0–15% |
| Piezo sensor | Range 5000 PSI, with low noise cable |
| Temperature sensor | RTD, PT100 and Thermocouple, Type K |
| Load sensor | Load cell, type strain gauge, range 0–50 Kg |
| Rotameter | Engine cooling 40–400 LPH; Cal. 25–250 LPH |
| Dynamometer | |
| Model | AG10 |
| Make | Saj test plant rig |
| End flanges both sides | Cardon shaft model 1260 type |
| Air gap | 0.77 mm |
| Torque | 11.5 Nm |
| Hot coil voltage | 60 V |
| Continuous current (amp) | 5 |
| Cold resistance ohm | 9.8 |
| Factors Considered | Parameters Employed |
|---|---|
| Engine | Variable Compression Ratio (VCR) |
| Combustion Chamber (CC) | Hemispherical (HCC) |
| Injection Pressure (IP) | 220 bar |
| Fuel Injector (FI) holes | 4 holes, 0.25 mm dia. |
| Injection timing (IT) | 23˚BTDC |
| Speed | 1500 rpm (constant) |
| Compression Ratio (CR) | 18.5, 21.5 |
| Fuel | Diesel, SBME25, SBME25ZnO25, SBME25ZnO50, SBME25ZnO75 |
| SBME25 | SBME25ZnO25 | SBME25ZnO50 | SBME25ZnO75 | |||||||||||||
|---|---|---|---|---|---|---|---|---|---|---|---|---|---|---|---|---|
| Color Code | Description | Engine Parameters | CR 18.5 | CR 21.5 | CR 18.5 | (%) | CR 21.5 | (%) | CR 18.5 | (%) | CR 21.5 | (%) | CR 18.5 | (%) | CR 21.5 | (%) |
| CR 18.5 | BSFC (kg/kWh) | 0.295 | 0.27 | 0.264 | 10.508 | 0.245 | 9.25 | 0.238 | 19.322 | 0.198 | 26.66 | 0.245 | 16.94 | 0.234 | 13.33 | |
| BTE (%) | 20.36 | 23.23 | 23.63 | 16.56 | 25.923 | 11.592 | 28.547 | 40.211 | 28.62 | 23.2 | 26.277 | 28.86 | 27.65 | 19.024 | ||
| CR 21.5 | CO (% vol.) | 0.38 | 0.28 | 0.35 | 7.895 | 0.24 | 14.28 | 0.211 | 44.47 | 0.201 | 28.21 | 0.295 | 22.36 | 0.229 | 18.21 | |
| HC (g/kWh) | 0.2642 | 0.21 | 0.21 | 20.514 | 0.165 | 21.45 | 0.182 | 31.112 | 0.142 | 32.234 | 0.1914 | 27.55 | 0.16 | 23.807 | ||
| Decreases | CO2 (% vol.) | 5.384 | 5.11 | 4.714 | 12.44 | 4.6 | 9.98 | 4.471 | 23.402 | 4.003 | 21.66 | 4.124 | 16.951 | 4.25 | 16.82 | |
| NOx (ppm) | 438.48 | 430.68 | 445.741 | 1.62 | 442.786 | 2.27 | 457.786 | 4.235 | 455.408 | 5.414 | 468.474 | 6.128 | 466.11 | 7.601 | ||
| Negative Rise | Smoke (HSU) | 60.84 | 58.412 | 55.741 | 8.334 | 51.644 | 11.58 | 48.7 | 19.954 | 45.24 | 22.55 | 52.64 | 13.477 | 49.35 | 15.55 | |
| ID (˚CA) | 10.12 | 9.64 | 9.174 | 9.347 | 8.786 | 9.72 | 7.744 | 23.47 | 7.21 | 26.2 | 8.22 | 19.74 | 8.125 | 18.64 | ||
| Increases | HRR (˚CA) | 49.125 | 58.97 | 51.312 | 4.426 | 61.844 | 4.841 | 62.26 | 26.715 | 70.44 | 19.45 | 58.97 | 20.972 | 65.854 | 11.6 | |
| MGT (˚K) | - | 1303.36 | - | - | 1311.97 | 0.66 | - | - | 1334.72 | 2.406 | - | - | 1317.22 | 1.06 | ||
© 2020 by the authors. Licensee MDPI, Basel, Switzerland. This article is an open access article distributed under the terms and conditions of the Creative Commons Attribution (CC BY) license (http://creativecommons.org/licenses/by/4.0/).
Share and Cite
S. Gavhane, R.; M. Kate, A.; Pawar, A.; Safaei, M.R.; M. Soudagar, M.E.; Mujtaba Abbas, M.; Muhammad Ali, H.; R Banapurmath, N.; Goodarzi, M.; Badruddin, I.A.; et al. Effect of Zinc Oxide Nano-Additives and Soybean Biodiesel at Varying Loads and Compression Ratios on VCR Diesel Engine Characteristics. Symmetry 2020, 12, 1042. https://doi.org/10.3390/sym12061042
S. Gavhane R, M. Kate A, Pawar A, Safaei MR, M. Soudagar ME, Mujtaba Abbas M, Muhammad Ali H, R Banapurmath N, Goodarzi M, Badruddin IA, et al. Effect of Zinc Oxide Nano-Additives and Soybean Biodiesel at Varying Loads and Compression Ratios on VCR Diesel Engine Characteristics. Symmetry. 2020; 12(6):1042. https://doi.org/10.3390/sym12061042
Chicago/Turabian StyleS. Gavhane, Rakhamaji, Ajit M. Kate, Abhay Pawar, Mohammad Reza Safaei, Manzoore Elahi M. Soudagar, Muhammad Mujtaba Abbas, Hafiz Muhammad Ali, Nagaraj R Banapurmath, Marjan Goodarzi, Irfan Anjum Badruddin, and et al. 2020. "Effect of Zinc Oxide Nano-Additives and Soybean Biodiesel at Varying Loads and Compression Ratios on VCR Diesel Engine Characteristics" Symmetry 12, no. 6: 1042. https://doi.org/10.3390/sym12061042
APA StyleS. Gavhane, R., M. Kate, A., Pawar, A., Safaei, M. R., M. Soudagar, M. E., Mujtaba Abbas, M., Muhammad Ali, H., R Banapurmath, N., Goodarzi, M., Badruddin, I. A., Ahmed, W., & Shahapurkar, K. (2020). Effect of Zinc Oxide Nano-Additives and Soybean Biodiesel at Varying Loads and Compression Ratios on VCR Diesel Engine Characteristics. Symmetry, 12(6), 1042. https://doi.org/10.3390/sym12061042

