On Two-Dimensional Fractional Chaotic Maps with Symmetries
Abstract
1. Introduction
2. Preliminaries
3. Fractional–Order Maps with Closed Curve Fixed Points
3.1. Fractional–Order Map with Square-Shaped Fixed Points
Bifurcation Diagrams and Largest Lyapunov Exponents
3.2. A New Fractional Map with Rectangle-Shaped Fixed Points
Bifurcation and Largest Lyapunov Exponents
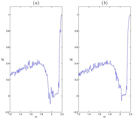
3.3. 0–1 Test
4. Conclusions
Author Contributions
Acknowledgments
Conflicts of Interest
References
- Atıcı, F.M.; Eloe, P.W. Discrete fractional calculus with the nabla operator. Electron. J. Qual. Theory Differ. Equ. 2009, 1–12. [Google Scholar] [CrossRef]
- Abdeljawad, T.; Baleanu, D.; Jarad, F.; Agarwal, R.P. Fractional sums and differences with binomial coefficients. Discret. Dyn. Nat. Soc. 2013, 1–6. [Google Scholar] [CrossRef]
- Abdeljawad, T. On Riemann and Caputo fractional differences. Comput. Math. Appl. 2011, 62, 1602–1611. [Google Scholar] [CrossRef]
- Baleanu, D.; Wu, G.C.; Bai, Y.R.; Chen, F.L. Stability analysis of Caputo–like discrete fractional systems. Commun. Nonlinear Sci. Numer. Simul. 2017, 48, 520–530. [Google Scholar] [CrossRef]
- Goodrich, C.; Peterson, A.C. Discrete Fractional Calculus; Springer: Berlin, Germany, 2015; ISBN 978-3-319-79809-7. [Google Scholar]
- Ross, B. The development of fractional calculus 1695–1900. Hist. Math. 1977, 4, 75–89. [Google Scholar] [CrossRef]
- Kilbas, A.A.A.; Srivastava, H.M.; Trujillo, J.J. Theory and Applications of Fractional Differential Equations; Elsevier Science Limited: New York, NY, USA, 2006; Volume 204, ISBN 9780444518323. [Google Scholar]
- Miller, K.S.; Ross, B. Fractional Difference Calculus. In Proceedings of the International Symposium on Univalent Functions, Fractional Calculus and Their Applications, Nihon University, Koriyama, Japan, May 1988; Ellis Horwood Ser. Math. Appl.; Horwood: Chichester, UK, 1989; pp. 139–152. [Google Scholar]
- Atici, F.M.; Eloe, P.W. A transform method in discrete fractional calculus. Int. J. Differ. Equ. 2007, 2, 165–176. [Google Scholar]
- Atıcı, F.M.; Eloe, P.W. Two-point boundary value problems for finite fractional difference equations. J. Differ. Equ. App. 2011, 17, 445–456. [Google Scholar] [CrossRef]
- Atici, F.; Eloe, P. Initial value problems in discrete fractional calculus. Am. Math. Soc. 2009, 137, 981–989. [Google Scholar] [CrossRef]
- Wu, G.C.; Baleanu, D. Discrete fractional logistic map and its chaos. Nonlinear Dyn. 2014, 75, 283–287. [Google Scholar] [CrossRef]
- Wu, G.C.; Baleanu, D.; Zeng, S.D. Discrete chaos in fractional sine and standard maps. Phys. Lett. A 2014, 378, 484–487. [Google Scholar] [CrossRef]
- Wu, G.C.; Baleanu, D.; Huang, L.L. Novel Mittag-Leffler stability of linear fractional delay difference equations with impulse. Appl. Math. Lett. 2018, 82, 71–78. [Google Scholar] [CrossRef]
- Strogatz, S.H. Nonlinear Dynamics and Chaos: With Applications to Physics, Biology, Chemistry, and Engineering, 2nd ed.; Westview Press: Boulder, CO, USA, 2015; ISBN 978-0813349107. [Google Scholar]
- Uchida, A. Optical Communication with Chaotic Lasers: Applications of Nonlinear Dynamics and Synchronization, 1st ed.; John Wiley & Sons: Weinheim, Germany, 2012; ISBN 9783527408696. [Google Scholar]
- Guegan, D. Chaos in economics and finance. Annu. Rev. Control. 2009, 33, 89–93. [Google Scholar] [CrossRef]
- Ugarcovici, I.; Weiss, H. Chaotic dynamics of a nonlinear density dependent population model. Nonlinearity 2004, 17, 1689–1711. [Google Scholar] [CrossRef]
- Sengul, S. Discrete Fractional Calculus and Its Applications to Tumor Growth. Master’s Theses, Western Kentucky University, Bowling Green, KY, USA, 1 May 2010; p. 161. [Google Scholar]
- Akin, E.; Kolyada, S. Li-Yorke sensitivity. Nonlinearity 2003, 16, 1421–1433. [Google Scholar] [CrossRef]
- Liu, Y. Chaotic synchronization between linearly coupled discrete fractional Hénon maps. Indian J. Phys. 2010, 90, 313–317. [Google Scholar] [CrossRef]
- Lozi, R. Un attracteur étrange du type attracteur de Hénon. Le Journal de Physique Colloques 1978, 39, C5–C9. [Google Scholar] [CrossRef]
- Shukla, M.K.; Sharma, B.B. Investigation of chaos in fractional order generalized hyperchaotic Henon map. Aeu-Int. J. Electron. C 2017, 78, 265–273. [Google Scholar] [CrossRef]
- Li, C.; Chen, Y.; Kurths, J. Fractional calculus and its applications. Philos. Tr. Soc. A 2013, 371, 20130037. [Google Scholar] [CrossRef]
- Gottwald, G.A.; Melbourne, I. The 0-1 test for chaos: A review. In Chaos Detection and Predictability; Springer: Berlin/Heidelberg, Germany, 2016; pp. 221–247. [Google Scholar] [CrossRef]
- Ouannas, A.; Khennaoui, A.A.; Zehrour, O.; Bendoukha, S.; Grassi, G.; Pham, V.T. Synchronisation of integer-order and fractional-order discrete-time chaotic systems. Pramana 2019, 92, 52. [Google Scholar] [CrossRef]
- Ouannas, A.; Wang, X.; Khennaoui, A.A.; Bendoukha, S.; Pham, V.T.; Alsaadi, F. Fractional form of a chaotic map without fixed points: Chaos, entropy and control. Entropy 2018, 20, 720. [Google Scholar] [CrossRef]
- Elaydi, S.N. Discrete Chaos: With Applications in Science and Engineering; Chapman and Hall/CRC: New York, NY, USA, 2007; ISBN 9780429149191. [Google Scholar]
- Khennaoui, A.A.; Ouannas, A.; Bendoukha, S.; Grassi, G.; Wang, X.; Pham, V.T.; Alsaadi, F.E. Chaos, control, and synchronization in some fractional-order difference equations. Adv. Differ. Equ. 2019, 2019, 1–23. [Google Scholar] [CrossRef]
- Ouannas, A.; Khennaoui, A.A.; Bendoukha, S.; Grassi, G. On the Dynamics and Control of a Fractional Form of the Discrete Double Scroll. Int. J. Bifurc. Chaos. 2019, 29, 1950078. [Google Scholar] [CrossRef]
- Ouannas, A.; Khennaoui, A.A.; Odibat, Z.; Pham, V.T.; Grassi, G. On the dynamics, control and synchronization of fractional-order Ikeda map. Chaos Soliton. Fract. 2019, 123, 108–115. [Google Scholar] [CrossRef]
- Ouannas, A.; Khennaoui, A.A.; Grassi, G.; Bendoukha, S. On chaos in the fractional-order Grassi–Miller map and its control. J. Comput. Appl. Math. 2019, 358, 293–305. [Google Scholar] [CrossRef]
- Jouini, L.; Ouannas, A.; Khennaoui, A.A.; Wang, X.; Grassi, G.; Pham, V.T. The fractional form of a new three-dimensional generalized Hénon map. Adv. Differ. Equ. 2019, 2019, 122. [Google Scholar] [CrossRef]
- Ouannas, A.; Khennaoui, A.A.; Bendoukha, S.; Vo, T.; Pham, V.T.; Huynh, V. The fractional form of the Tinkerbell map is chaotic. Appl. Sci. 2018, 8, 2640. [Google Scholar] [CrossRef]
- Wu, G.C.; Baleanu, D. Discrete chaos in fractional delayed logistic maps. Nonlinear Dynam. 2015, 80, 1697–1703. [Google Scholar] [CrossRef]
- Jiang, H.; Liu, Y.; Wei, Z.; Zhang, L. A New Class of Two-dimensional Chaotic Maps with Closed Curve Fixed Points. Int. J. Bifurc. Chaos 2019, 29, 1950094. [Google Scholar] [CrossRef]









© 2020 by the authors. Licensee MDPI, Basel, Switzerland. This article is an open access article distributed under the terms and conditions of the Creative Commons Attribution (CC BY) license (http://creativecommons.org/licenses/by/4.0/).
Share and Cite
Hadjabi, F.; Ouannas, A.; Shawagfeh, N.; Khennaoui, A.-A.; Grassi, G. On Two-Dimensional Fractional Chaotic Maps with Symmetries. Symmetry 2020, 12, 756. https://doi.org/10.3390/sym12050756
Hadjabi F, Ouannas A, Shawagfeh N, Khennaoui A-A, Grassi G. On Two-Dimensional Fractional Chaotic Maps with Symmetries. Symmetry. 2020; 12(5):756. https://doi.org/10.3390/sym12050756
Chicago/Turabian StyleHadjabi, Fatima, Adel Ouannas, Nabil Shawagfeh, Amina-Aicha Khennaoui, and Giuseppe Grassi. 2020. "On Two-Dimensional Fractional Chaotic Maps with Symmetries" Symmetry 12, no. 5: 756. https://doi.org/10.3390/sym12050756
APA StyleHadjabi, F., Ouannas, A., Shawagfeh, N., Khennaoui, A.-A., & Grassi, G. (2020). On Two-Dimensional Fractional Chaotic Maps with Symmetries. Symmetry, 12(5), 756. https://doi.org/10.3390/sym12050756

