P
,
T
-Violating and Magnetic Hyperfine Interactions in Atomic Thallium
Abstract
1. Introduction
- We use state-of-the-art relativistic Configuration Interaction (CI) and Coupled Cluster approaches for large-scale applications to determine the mentioned atomic interaction constants. Our calculations represent the most elaborate treatment of electron correlation effects to date on the discussed properties of the thallium atom ground state. We put particular emphasis on the electron EDM enhancement R and a conclusive resolution of the major discrepancy between literature values. Claims about physical effects that purportedly underlie these discrepancies are scrutinized.
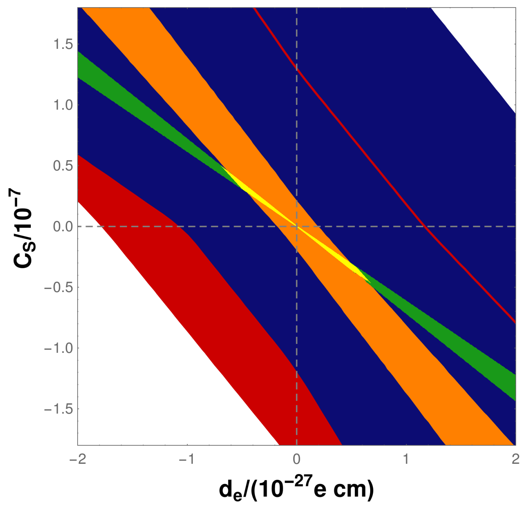
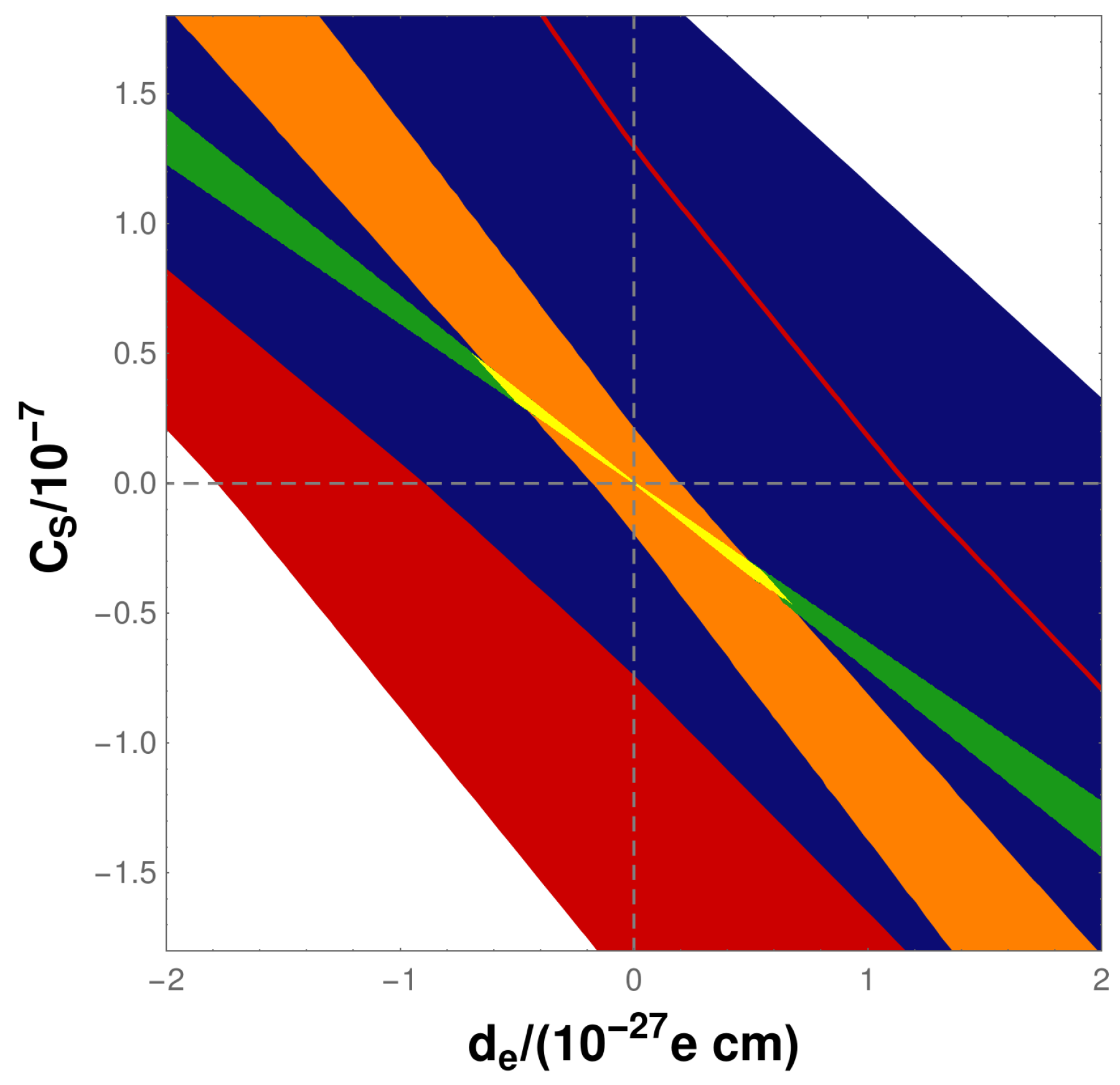
- We investigate whether a reduced uncertainty for R(Tl) impacts the above-described constraints on and .
2. Theory
2.1. Atomic Edm Due to Electron Edm
2.2. Nucleon–Electron Scalar-Pseudoscalar Interaction
2.3. Magnetic Hyperfine Interaction
3. Results and Discussion
3.1. Technical Details
3.2. Results for Atomic Interaction Constants
3.3. Step 1: Many-Body Effects in cvDZ Basis
3.3.1. Valence Electron Correlation
3.3.2. Subvalence Electron Correlation
3.3.3. Outer-Core Electron Correlation
3.3.4. Effect of Higher Excitation Ranks
3.4. Step 2: Accurate CI Results
3.5. Accurate CC Results
3.6. Discussion in Comparison with Literature Results
3.6.1. Basis Sets
3.6.2. Treatment of Correlation Effects by the Many-Body Method
3.6.3. Use of , , and Potentials
4. Conclusions
Author Contributions
Funding
Acknowledgments
Conflicts of Interest
References
- Khriplovich, I.B.; Lamoreaux, S.K. CP Violation Without Strangeness; Springer: Berlin/Heidelberg, Germany, 1997. [Google Scholar]
- Engel, J.; Ramsey-Musolf, M.J.; van Kolck, U. Electric dipole moments of nucleons, nuclei, and atoms: The Standard Model and beyond. Prog. Part. Nuc. Phys. 2013, 71, 21. [Google Scholar] [CrossRef]
- Andreev, V.; Hutzler, N.R. Improved limit on the electric dipole moment of the electron. Nature 2018, 562, 355. [Google Scholar]
- Skripnikov, L.V. Combined 4-component and relativistic pseudopotential study of ThO for the electron electric dipole moment search. J. Chem. Phys. 2016, 145, 214301. [Google Scholar] [CrossRef]
- Denis, M.; Fleig, T. In search of discrete symmetry violations beyond the standard model: Thorium monoxide reloaded. J. Chem. Phys. 2016, 145, 028645. [Google Scholar] [CrossRef] [PubMed]
- Cesarotti, C.; Lu, Q.; Nakai, Y.; Parikha, A.; Reece, M. Interpreting the electron EDM constraint. J. High Energy Phys. 2019, 5, 059. [Google Scholar] [CrossRef]
- Dekens, W.; de Vries, J.; Jung, M.; Vos, K.K. The phenomenology of electric dipole moments in models of scalar leptoquarks. J. High Energy Phys. 2019, 069, 1901. [Google Scholar] [CrossRef]
- Chupp, T.; Ramsey-Musolf, M. Electric dipole moments: A global analysis. Phys. Rev. C 2015, 91, 035502. [Google Scholar] [CrossRef]
- Cirigliano, V.; Ramsey-Musolf, M.J.; van Kolck, U. Low energy probes of physics beyond the standard model. Prog. Part. Nuc. Phys. 2013, 71, 2. [Google Scholar] [CrossRef][Green Version]
- Pospelov, M.; Ritz, A. Electric dipole moments as probes of new physics. Ann. Phys. 2005, 318, 119. [Google Scholar] [CrossRef]
- Barr, S.M. T- and P-odd electron-nucleon interactions and the electric dipole moments of large atoms. Phys. Rev. D 1992, 45, 4148. [Google Scholar] [CrossRef]
- Kara, D.M.; Smallman, I.J.; Hudson, J.J.; Sauer, B.E.; Tarbutt, M.R.; Hinds, E.A. Measurement of the electron’s electric dipole moment using YbF molecules: Methods and data analysis. New J. Phys. 2013, 14, 103051. [Google Scholar] [CrossRef]
- Cairncross, W.B.; Gresh, D.N.; Grau, M.; Cossel, K.C.; Roussy, T.S.; Ni, Y.; Zhou, Y.; Ye, J.; Cornell, E.A. Precision measurement of the electron’s electric dipole moment using trapped molecular ions. Phys. Rev. Lett. 2017, 119, 153001. [Google Scholar] [CrossRef] [PubMed]
- Regan, B.C.; Commins, E.D.; Schmidt, C.J.; DeMille, D. New Limit on the Electron Electric Dipole Moment. Phys. Rev. Lett. 2002, 88, 071805. [Google Scholar] [CrossRef] [PubMed]
- Sunaga, A.; Abe, M.; Hada, M.; Das, B.P. Relativistic coupled-cluster calculation of the electron-nucleus scalar-pseudoscalar interaction constant WS in YbF. Phys. Rev. A 2016, 93, 042507. [Google Scholar] [CrossRef]
- Abe, M.; Gopakumar, G.; Hada, M.; Das, B.P.; Tatewaki, H.; Mukherjee, D. Application of relativistic coupled-cluster theory to the effective electric field in YbF. Phys. Rev. A 2014, 90, 022501. [Google Scholar] [CrossRef]
- Skripnikov, L.V. Communication: Theoretical study of HfF+ cation to search for the T,P-odd interactions. J. Chem. Phys. 2017, 147, 021101. [Google Scholar] [CrossRef] [PubMed]
- Fleig, T. -odd and magnetic hyperfine-interaction constants and excited-state lifetime for HfF+. Phys. Rev. A 2017, 96, 040502. [Google Scholar] [CrossRef]
- Mårtensson-Pendrill, A.M.; Lindroth, E. Limit on a P- and T-Violating Electron-Nucleon Interaction. Eurphys. Lett. 1991, 15, 155. [Google Scholar] [CrossRef]
- Liu, Z.W.; Kelly, H.P. Analysis of atomic electric dipole moment in thallium by all-order calculations in many-body perturbation theory. Phys. Rev. A 1992, 45, R4210. [Google Scholar] [CrossRef]
- Dzuba, V.A.; Flambaum, V.V. Calculation of the (T,P)-odd electric dipole moment of thallium and cesium. Phys. Rev. A 2009, 80, 062509. [Google Scholar] [CrossRef]
- Nataraj, H.S.; Sahoo, B.K.; Das, B.P.; Mukherjee, D. Reappraisal of the Electric Dipole Moment Enhancement Factor for Thallium. Phys. Rev. Lett. 2011, 106, 200403. [Google Scholar] [CrossRef] [PubMed]
- Porsev, S.G.; Safronova, M.S.; Kozlov, M.G. Electric Dipole Moment Enhancement Factor of Tl. Phys. Rev. Lett. 2012, 108, 173001. [Google Scholar] [CrossRef] [PubMed]
- Jung, M. A robust limit for the electric dipole moment of the electron. J. High Energy Phys. 2013, 5, 168. [Google Scholar] [CrossRef]
- Dzuba, V.A.; Flambaum, V.V.; Harabati, C. Relations between matrix elements of different weak interactions and interpretation of the parity-nonconserving and electron electric-dipole-moment measurements in atoms and molecules. Phys. Rev. A 2011, 84, 052108, Erratum ibid, 2012, 85, 029901. [Google Scholar] [CrossRef]
- Johnson, W.R.; Guo, D.S.; Idress, M.; Sapirstein, J. Weak-interaction effects in heavy atomic systems. II. Phys. Rev. A 1986, 34, 1034. [Google Scholar] [CrossRef] [PubMed]
- Commins, E.D. Electric Dipole Moments of Leptons. Adv. Mol. Opt. Phys. 1999, 40, 1–55. [Google Scholar]
- Sushkov, O.P.; Flambaum, V.V.; Khriplovich, I.B. Possibility of investigating P- and T-odd nuclear forces in atomic and molecular experiments. Sov. Phys. JETP 1984, 60, 873. [Google Scholar]
- Hunter, L.R. Tests of Time-Reversal Invariance in Atoms, Molecules, and the Neutron. Science 1991, 252, 73. [Google Scholar] [CrossRef]
- Lindroth, E.; Lynn, B.W.; Sandars, P.G.H. Order α2 theory of the atomic electric dipole moment due to an electric dipole moment on the electron. J. Phys. B 1989, 22, 559. [Google Scholar] [CrossRef]
- Fleig, T.; Nayak, M.K. Electron electric-dipole-moment interaction constant for HfF+ from relativistic correlated all-electron theory. Phys. Rev. A 2013, 88, 032514. [Google Scholar] [CrossRef]
- Skripnikov, L.V.; Maison, D.E.; Mosyagin, N.S. Scalar-pseudoscalar interaction in the francium atom. Phys. Rev. A 2017, 95, 022507. [Google Scholar] [CrossRef]
- Skripnikov, L.V.; Titov, A.V.; Petrov, A.N.; Mosyagin, N.S.; Sushkov, O.P. Enhancement of the electron electric dipole moment in Eu2+. Phys. Rev. A 2011, 84, 022505. [Google Scholar] [CrossRef]
- Flambaum, V.V.; Khriplovich, I.B. New bounds on the electric dipole moment of the electron and on T-odd electron-nucleon coupling. Sov. Phys. JETP 1985, 62, 872. [Google Scholar]
- Shukla, A.; Das, B.P.; Andriessen, J. Relativistic many-body calculation of the electric dipole moment of atomic rubidium due to parity and time-reversal violation. Phys. Rev. A 1994, 50, 1155. [Google Scholar] [CrossRef] [PubMed]
- Denis, M.; Nørby, M.; Jensen, H.J.A.; Gomes, A.S.P.; Nayak, M.K.; Knecht, S.; Fleig, T. Theoretical study on ThF+, a prospective system in search of time-reversal violation. New J. Phys. 2015, 17, 043005. [Google Scholar] [CrossRef]
- Weissbluth, M. Atoms and Molecules; Academic Press: New York, NY, USA; San Francisco, CA, USA; London, UK, 1978. [Google Scholar]
- Fleig, T.; Nayak, M.K. Electron electric dipole moment and hyperfine interaction constants for ThO. J. Mol. Spectrosc. 2014, 300, 16. [Google Scholar] [CrossRef]
- Dyall, K.G. Relativistic and nonrelativistic finite nucleus optimized double zeta basis sets for the 4p, 5p and 6p elements. Theoret. Chem. Acc. 1998, 99, 366. [Google Scholar]
- Dyall, K.G. Relativistic and nonrelativistic finite nucleus optimized triple-zeta basis sets for the 4p, 5p and 6p elements. Theoret. Chem. Acc. 2002, 108, 335. [Google Scholar] [CrossRef]
- Dyall, K.G. Relativistic double-zeta, triple-zeta, and quadruple-zeta basis sets for the 4p, 5p and 6p elements. Theoret. Chim. Acta 2006, 115, 441. [Google Scholar] [CrossRef]
- Dyall, K.G. Core correlating basis functions for elements 31-118. Theoret. Chim. Acta 2012, 131, 1217. [Google Scholar] [CrossRef]
- Jensen, H.J.A.; Bast, R.; Saue, T.; Visscher, L.; Bakken, V.; Dyall, K.G.; Dubillard, S.; Ekström, U.; Eliav, E.; Enevoldsen, T. DIRAC, a Relativistic ab Initio Electronic Structure Program, Release DIRAC16 (2016). Available online: http://www.diracprogram.org (accessed on 25 February 2020).
- Knecht, S.; Jensen, H.J.A.; Fleig, T. Large-Scale Parallel Configuration Interaction. II. Two- and four-component double-group general active space implementation with application to BiH. J. Chem. Phys. 2010, 132, 014108. [Google Scholar] [CrossRef]
- Kállay, M.; Rolik, Z.; Ladjánszki, I.; Szegedy, L.; Ladóczki, B.; Csontos, J.; Kornis, B.; Rolik, Z. mrcc, a quantum chemical program suite. J. Chem. Phys. 2011, 135, 104111. Available online: www.mrcc.hu (accessed on 1 September 2019).
- Kállay, M.; Surján, P.R. Higher excitations in coupled-cluster theory. J. Chem. Phys. 2001, 115, 2945–2954. [Google Scholar] [CrossRef]
- Kállay, M.; Szalay, P.G.; Surján, P.R. A general state-selective multireference coupled-cluster algorithm. J. Chem. Phys. 2002, 117, 980–990. [Google Scholar] [CrossRef]
- Kállay, M.; Gauss, J.; Szalay, P. Analytic first derivatives for general coupled-cluster and configuration interaction models. J. Chem. Phys. 2003, 119, 2991. [Google Scholar]
- Stone, N.J.; (IAEA Nuclear Data Section Vienna International Centre, P.O. Box 100, 1400 Vienna, Austria). Table of Nuclear Magnetic Dipole and Electric Quadrupole Moments; INDC International Nuclear Data Committee: Vienna, Austria, 2014. [Google Scholar]
- Visscher, L.; Dyall, K.G. Dirac-Fock Atomic Electronic Structure Calculations using Different Nuclear Charge Distributions. At. Data Nucl. Data Tables 1997, 67, 207. [Google Scholar] [CrossRef]
- Flambaum, V.V. To the question of electric-dipole moment enhancement in heavy atoms. Sov. J. Nucl. Phys. 1976, 24, 199. [Google Scholar]
- Kraftmakher, A.Y. On the Hartree-Fock calculation of the electron electric dipole moment enhancement factor for the thallium atom. J. Phys. B 1988, 21, 2803. [Google Scholar] [CrossRef]
- Hartley, A.C.; Lindroth, E.; Mårtensson-Pendrill, A.M. Parity non-conservation and electric dipole moments in caesium and thallium. J. Phys. B 1990, 23, 3417. [Google Scholar] [CrossRef]
- Sahoo, B.K.; Das, B.P.; Chaudhuri, R.; Mukherjee, D.; Venugopal, E.P. Atomic electric-dipole moments from higgs-boson-mediated interactions. Phys. Rev. A 2008, 78, 010501. [Google Scholar] [CrossRef]
- Kozlov, M.G.; Porsev, S.G.; Johnson, W.R. Parity nonconservation in thallium. Phys. Rev. A 2001, 64, 052107. [Google Scholar] [CrossRef]
- Grexa, M.; Hermann, G.; Lasnitschka, G.; Fricke, B. Hyperfine structure and isotopic shift of the n2PJ levels (n = 7–10) of 203,205Tl measured by Doppler-free two-photon spectroscopy. Phys. Rev. A 1998, 38, 1263. [Google Scholar] [CrossRef] [PubMed]
- Lurio, A.; Prodell, A.G. Hfs Separations and Hfs Anomalies in the 2P12 state of Ga69, Ga71, Tl203 and Tl205. Phys. Rev. 1956, 101, 79. [Google Scholar] [CrossRef]
- Visscher, L.; Saue, T.; Nieuwpoort, W.C.; Fægri, K.; Gropen, O. The electronic structure of the PtH molecule: Fully relativistic configuration interaction calculations of the ground and excited states. J. Chem. Phys. 1993, 99, 6704. [Google Scholar] [CrossRef]
- Helgaker, T.; Jørgensen, P.; Olsen, J. Molecular Electronic Structure Theory; John Wiley & Sons: Chichester, UK, 2000. [Google Scholar]
- Sasmal, S.; Pathak, H.; Nayak, M.K.; Vaval, N.; Pal, S. Search for parity and time reversal violating effects in HgH: Relativistic coupled-cluster study. J. Chem. Phys. 2016, 144, 124307. [Google Scholar] [CrossRef]
- Sasmal, S.; Talukdar, K.; Nayak, M.K.; Vaval, N.; Pal, S. Electron–nucleus scalar–pseudoscalar interaction in PbF: Z-vector study in the relativistic coupled-cluster framework. Mol. Phys. 2017, 115, 2807–2812. [Google Scholar] [CrossRef]
- Fleig, T. TaO+ as a candidate molecular ion for searches of physics beyond the standard model. Phys. Rev. A 2017, 95, 022504. [Google Scholar] [CrossRef]
- Gaul, K.; Berger, R. Ab initio study of parity and time-reversal violation in laser-coolable triatomic molecules. Phys. Rev. 2018, 101, 012508. [Google Scholar] [CrossRef]
- Talukdar, K.; Nayak, M.K.; Vaval, N.; Pal, S. Relativistic coupled-cluster investigation of parity (p) and time-reversal (t) symmetry violations in HgF. J. Chem. Phys. 2019, 150, 084304. [Google Scholar] [CrossRef]
- Fazil, N.M.; Prasannaa, V.S.; Latha, K.V.P.; Abe, M.; Das, B.P. RaH as a potential candidate for electron electric-dipole-moment searches. Phys. Rev. A 2019, 99, 052502. [Google Scholar] [CrossRef]
- Fleig, T.; Jung, M. Model-independent determinations of the electron EDM and the role of diamagnetic atoms. J. High Energy Phys. 2018, 7, 12. [Google Scholar] [CrossRef]


| Model/Virtual Cutoff | R | S [a.u.] | (Tl) [MHz] |
|---|---|---|---|
| Dyall cvDZ | |||
| CAS1in3 | 269 | 18,800 | |
| CAS3in4 | 288 | 18,800 | |
| CAS3in4_SD3/60au | 339 | 19,092 | |
| CAS3in4_SDT3/60au | 339 | 19,103 | |
| S10_CAS3in4_SD13/10au | 321 | 20,003 | |
| SD10_CAS3in4_SD13/10au | 309 | 19,502 | |
| SD10_CAS3in4_SD13/30au | 309 | 19,575 | |
| SD10_CAS3in4_SDT13/10au | 326 | 19,357 | |
| SD10_CAS3in4_SDTQ13/10au | 326 | 19,345 | |
| SDT10_CAS3in4_SDT13/10au | 323 | 19,254 | |
| SDT10_CAS3in4_SDTQ13/10au | 323 | 19,341 | |
| SD18_CAS3in4_SD21/10au | 307 | 19,445 | |
| SD18_CAS3in4_SD21/10au(Tl) | 300 | 18,934 | |
| S8_SD18_CAS3in4_SD29/10au | 308 | 19,536 | |
| SD18_CAS3in4_SD21/30au | 311 | 19,758 | |
| SD18_CAS3in4_SD21/60au | 311 | 19,759 | |
| SD8_SD18_CAS3in4_SD29/30au | 315 | 19,980 | |
| SD18_CAS3in4_SDT21/10au | 331 | 19,439 | |
| SD18_CAS3in4_SDT21/10au(Tl) | 328 | 19,228 | |
| SDT18_CAS3in4_SDT21/10au | 325 | 19,274 | |
| SD18_CAS3in4_SDT21/30au | 338 | 19,761 | |
| SD18_CAS3in4_SDT21/60au | 338 | 19,763 | |
| S10_SD18_CAS3in4_SDT31/10au | 329 | 19,423 | |
| S14_SD18_CAS3in4_SDT35/10au | 330 | 19,448 | |
| S8_SD18_CAS3in4_SDT29/30au | 340 | 19,999 | |
| SD8_SDT10_CAS3in4_SDT21/10au | 331 | ||
| SD18_CAS3in4_SDTQ21/10au | 329 | 19,395 | |
| Dyall cvTZ | |||
| CAS3in4 | 323 | ||
| CAS3in4_SD3/10au | 397 | 19,027 | |
| CAS3in4_SD3/50au | 397 | 19,041 | |
| CAS3in4_SDT3/50au | 398 | 19,050 | |
| SD18_CAS3in4_SD21/10au | 340 | 19,619 | |
| SD18_CAS3in4_SD21/30au | 342 | 19,751 | |
| SD18_CAS3in4_SDT21/10au | 383 | 19,995 | |
| SD18_CAS3in4_SDT21/10au(Tl) | 371 | ||
| SD18_CAS3in4_SDT21/20au | 383 | ||
| Dyall cvQZ | |||
| CAS1in3 | 301 | 18,806 | |
| CAS3in4 | 334 | 18,806 | |
| CAS3in4_SD3/10au | 412 | 19,023 | |
| CAS3in4_SD3/35au | 412 | 19,050 | |
| CAS3in4_SDT3/35au | 413 | 19,060 | |
| SD18_CAS3in4_SD21/35au | 322 | 17,442 | |
| SD18_CAS3in4_SDT21/10au | 391 | 20,432 | |
| SD18_CAS3in4_SDT21/35au | 397 | 20,592 | |
| Nataraj universal | |||
| CAS3in4 | 339 | 18,800 | |
| CAS3in4_SD3/Nat100 | 418 | 19,060 | |
| CAS3in4_SD3/200au | 418 | 19,060 | |
| SD18_CAS3in4_SD21/45au | 361 | 19,864 | |
| cvQZ/SD18_CAS3in4_SDT21/35au + | −539 | 388 | 20,614 |
| Basis Set/Virtual Cutoff | R | S [a.u.] | (Tl) [MHz] |
|---|---|---|---|
| Nataraj universal/au () | −559 | 397 | 21,087 |
| Nataraj universal/au () | −550 | 390 | 21,071 |
| Dyall cvDZ/au () | −493 | 347 | 20,626 |
| Dyall cvTZ/au () | −545 | 387 | 20,760 |
| Dyall cvQZ/au () | −558 | 397 | 21,172 |
| Method/Virtual Cutoff | R |
|---|---|
| 3e-CCSD(T)/10au | −589 |
| 21e-CCSD(T)/150au | −527 |
| 53e-CCSD(T)/150au | −542 |
| 81e-CCSD(T)/au | −558 |
| DCHF | −418 | −402 |
| CCSD | −531 | −530 |
| CCSD(T) | −521 | −522 |
| CCSDT | −523 | −523 |
| CCSDT(Q) | −522 | −522 |
| Work | cm] | (Tl) [MHz] | |
|---|---|---|---|
| Literature values | |||
| Khriplovich et al. [1] | |||
| Flambaum [51] (semi-empirical) | |||
| Kraftmakher [52] (Hartree–Fock) | |||
| Johnson et al. [26] (Norcross potential) | |||
| Mårtensson–Pendrill et al. [19,53] (estimate) | |||
| Liu et al. [20] | |||
| Dzuba et al. [21] | 21067 | ||
| Nataraj et al., (CCSD(T)) [22] | 21053 | ||
| Sahoo et al., (CCSD(T)) [54] | 21026 | ||
| Kozlov et al. [55] | 21663 | ||
| Porsev et al. [23] | 22041 | ||
| This work CI | 20614 | ||
| This work CC | 21172 | ||
| Experiment [56,57] | |||
© 2020 by the authors. Licensee MDPI, Basel, Switzerland. This article is an open access article distributed under the terms and conditions of the Creative Commons Attribution (CC BY) license (http://creativecommons.org/licenses/by/4.0/).
Share and Cite
Fleig, T.; Skripnikov, L.V.
Fleig T, Skripnikov LV.
Fleig, Timo, and Leonid V. Skripnikov.
2020. "
Fleig, T., & Skripnikov, L. V.
(2020).

