Modeling Alcohol Concentration in Blood via a Fractional Context
Abstract
1. Introduction
- If there exists at the point , then f is -differentiable at t and
- If , then f is -differentiable at if and only if f is differentiable at t; in this case, we have
- is -differentiable at t for every , and
- If , then is -differentiable at t and
- If and , then is -differentiable at t and
- , for every
- , for every
- , for every
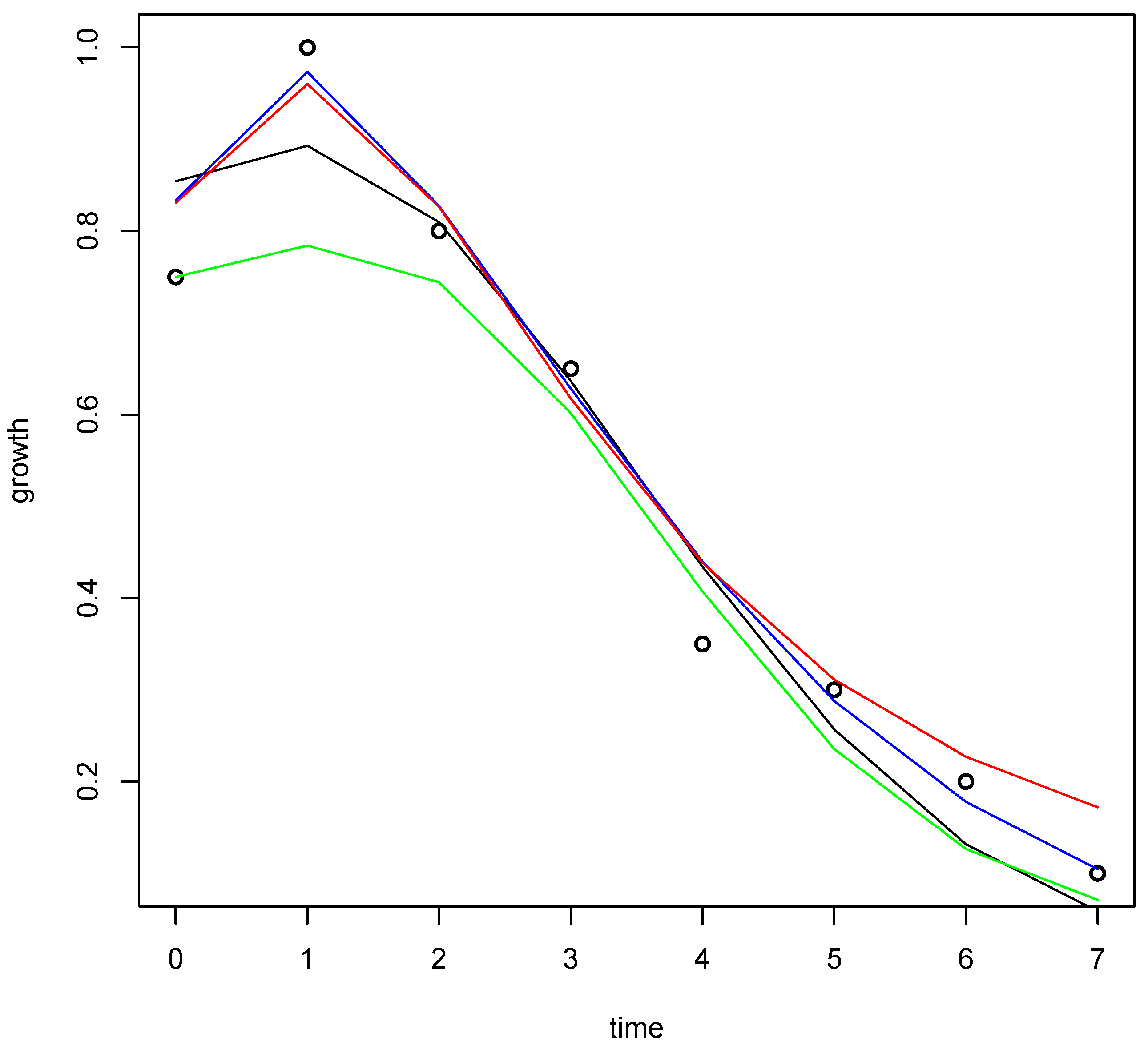
2. Results
3. Estimation for Comformable Gaussian Models
4. Conclusions
Author Contributions
Funding
Acknowledgments
Conflicts of Interest
References
- Podlubny, I. Fractional Differential Equations; Academic Press: Athens, OH, USA, 1999. [Google Scholar]
- Abel, N.H. Solution de quelques problemes a láide d’intégrales définieas. Oeuvres complétes. Christiania (Grondahl) 1881, 1, 11–27. [Google Scholar]
- Monje, C.A.; Chen, Y.; Vinagre, B.M.; Xue, D.; Feliu-Batlle, V. Fractional-Order Systems and Controls: Fundamentals and Applications; Springer Science and Business Media: London, UK, 2010. [Google Scholar]
- Vazquez, L.; Trujillo, J.; Velasco, M.P. Fractional heat equation and the second law of thermodynamics. Fract. Calc. Appl. Anal. 2011, 14, 334–342. [Google Scholar] [CrossRef]
- Area, I.; Batarfi, H.; Losada, J.; Nieto, J.J.; Shammakh, W.; Torres, A. On a fractional order Ebola epidemic model. Adv. Differ. Equ. 2015, 2015, 278. [Google Scholar] [CrossRef]
- Santiesteban, T.R.G.; Blaya, R.A.; Reyes, J.B.; Sigarreta, J.M. A Cauchy transform for polyanalytic functions on fractal domains. Ann. Pol. Math. 2018, 121, 21–32. [Google Scholar] [CrossRef]
- Ortega, A.; Rosales, J.J. Newton’s law of cooling with fractional conformable derivative. Rev. Mex. Fis. 2018, 64, 172. [Google Scholar] [CrossRef]
- Lei, G.; Cao, N.; Liu, D.; Wang, H. A nonlinear flow model for porous media based on conformable derivative approach. Energies 2018, 11, 2986. [Google Scholar] [CrossRef]
- Khalil, R.; Al Horani, M.; Yousef, A.; Sababheh, M. A new definition of fractional derivative. J. Comput. Appl. Math. 2014, 264, 65–70. [Google Scholar] [CrossRef]
- Katugampola, U.N. A new fractional derivative with classical properties. arXiv 2014, arXiv:1410.6535. [Google Scholar]
- Almeida, R.; Guzowska, M.; Odzijewicz, T. A remark on local fractional calculus and ordinary derivatives. Open Math. 2016, 14, 1122–1124. [Google Scholar] [CrossRef]
- Sousa, J.V.D.C.; de Oliveira, E.C. A new truncated M-fractional derivative type unifying some fractional derivative types with classical properties. arXiv 2017, arXiv:1704.08187. [Google Scholar]
- Guzman, P.M.; Langton, G.; Lugo, L.M.; Medina, J.; Nápoles, J.E. A new definition of a fractional derivative of local type. J. Math. Anal. 2018, 9, 88–98. [Google Scholar]
- Nápoles, J.E.; Rodríguez, J.M.; Sigarreta, J.M. New Hermite–Hadamard Type Inequalities Involving Non-Conformable Integral Operators. Symmetry 2019, 11, 1108. [Google Scholar] [CrossRef]
- Fleitas, A.; Nápoles, J.E.; Rodríguez, J.M.; Sigarreta, J.M. Note on the generalized conformable derivative. 2019. submited. [Google Scholar]
- Almeida, R.; Bastos, N.R.; Monteiro, M.T. Modeling some real phenomena by fractional differential equations. Math. Meth. Appl. Sci. 2016, 39, 4846–4855. [Google Scholar] [CrossRef]
- Kanth, A.R.; Garg, N. Computational Simulations for Solving a Class of Fractional Models via Caputo-Fabrizio Fractional Derivative. Proc. Comp. Sci. 2018, 125, 476–482. [Google Scholar] [CrossRef]
- Caputo, M.; Fabrizio, M. A new definition of fractional derivative without singular kernel. Progr. Fract. Differ. Appl. 2015, 1, 1–13. [Google Scholar]
- Qureshi, S.; Yusuf, A.; Shaikh, A.; Inc, A.; Baleanu, D. Fractional modeling of blood ethanol concentration system with real data application. Chaos 2019, 29, 013143. [Google Scholar] [CrossRef]
- Saad, K.M.; Baleanu, D.; Atangana, A. New fractional derivatives applied to the Korteweg—de Vries and Korteweg—de Vries—Burgers’ equations. Comput. Appl. Math. 2018, 37, 5203–5216. [Google Scholar] [CrossRef]
- Abdejjawad, T. On conformable fractional calculus. J. Comput. Appl. Math. 2015, 279, 57–66. [Google Scholar] [CrossRef]
- Jarad, F.; Ugurlu, E.; Abdeljawad, T.; Baleanu, D. On a new class of fractional operators. Adv. Differ. Equ. 2017, 247. [Google Scholar] [CrossRef]
- Gelfand, A.E.; Smith, A.F.M. Sampling-based approaches to calculating marginal densities. J. Am. Statist. Assoc. 1990, 85, 398–409. [Google Scholar] [CrossRef]
- Metropolis, N.; Rosenbluth, A.W.; Rosenbluth, M.N.; Teller, A.H.; Teller, E. Equation of state calculations by fast computing machines. J. Chem. Phys. 1953, 21, 1087–1092. [Google Scholar] [CrossRef]
- Plummer, M. JAGS: A program for analysis of Bayesian graphical models using Gibbs sampling. In Proceedings of the 3rd International Workshop on Distributed Statistical Computing, Vienna, Austria, 20–22 March 2003; p. 10. [Google Scholar]
- Christen, J.A.; Fox, C.; Pérez Ruiz, A.; Santana Cibrian, M. On optimal direction gibbs sampling. Available online: https://arxiv.org/abs/1205.4062 (accessed on 18 May 2012).
- R Core Team. R: A Language and Environment for Statistical Computing; R Core Team: Vienna, Austria, 2013; p. 201. [Google Scholar]
- Su, Y.S.; Yajima, M. R2jags: A Package for Running jags from R. R package version 0.03-08. 2012. Available online: http://CRAN.R-project.org/package=R2jags (accessed on 18 May 2012).
- Plummer, M. Bayesian graphical models using MCMC. R package version 3-13. Retrieved November 2014, 10, 2015. [Google Scholar]
- Neal, R.M. Slice sampling. Ann. Statist. 2003, 31, 705–767. [Google Scholar] [CrossRef]
- Gilks, W.R.; Wild, P. Adaptive rejection sampling for Gibbs sampling. J. R. Stat. Soc. Ser. C (Appl. Statist.) 1992, 41, 337–348. [Google Scholar] [CrossRef]
- Ludwin, C. Blood alcohol content. UJMM: One+ Two 2011, 3, 1. [Google Scholar] [CrossRef][Green Version]





| Derivative | a | b | c | ||
|---|---|---|---|---|---|
| Ordinary | 0.8951823 | 0.8119931 | 2.6501296 | 0.1195180 | |
| ; | 0.6728009 | 0.9622524 | 0.8831519 | 1.5542520 | 0.1033001 |
| Khalil et al. | 0.4848604 | 0.9894414 | 0.6424266 | 2.0477500 | 0.0974800 |
| Grünwald–Letnikov | 0.7027876 | - | 1.7451992 | 2.2566254 | 0.1232454 |
© 2020 by the authors. Licensee MDPI, Basel, Switzerland. This article is an open access article distributed under the terms and conditions of the Creative Commons Attribution (CC BY) license (http://creativecommons.org/licenses/by/4.0/).
Share and Cite
Rosario Cayetano, O.; Fleitas Imbert, A.; Gómez-Aguilar, J.F.; Sarmiento Galán, A.F. Modeling Alcohol Concentration in Blood via a Fractional Context. Symmetry 2020, 12, 459. https://doi.org/10.3390/sym12030459
Rosario Cayetano O, Fleitas Imbert A, Gómez-Aguilar JF, Sarmiento Galán AF. Modeling Alcohol Concentration in Blood via a Fractional Context. Symmetry. 2020; 12(3):459. https://doi.org/10.3390/sym12030459
Chicago/Turabian StyleRosario Cayetano, Omar, Alberto Fleitas Imbert, José Francisco Gómez-Aguilar, and Antonio Fernando Sarmiento Galán. 2020. "Modeling Alcohol Concentration in Blood via a Fractional Context" Symmetry 12, no. 3: 459. https://doi.org/10.3390/sym12030459
APA StyleRosario Cayetano, O., Fleitas Imbert, A., Gómez-Aguilar, J. F., & Sarmiento Galán, A. F. (2020). Modeling Alcohol Concentration in Blood via a Fractional Context. Symmetry, 12(3), 459. https://doi.org/10.3390/sym12030459

