Abstract
Multiple attribute decision making (MADM) is full of uncertainty and vagueness due to intrinsic complexity, limited experience and individual cognition. Representative decision theories include fuzzy set (FS), intuitionistic fuzzy set (IFS), hesitant fuzzy set (HFS), dual hesitant fuzzy set (DHFS) and so on. Compared with IFS and HFS, DHFS has more advantages in dealing with uncertainties in real MADM problems and possesses good symmetry. The membership degrees and non-membership degrees in DHFS are simultaneously permitted to represent decision makers’ preferences by a given set having diverse possibilities. In this paper, new distance measures for dual hesitant fuzzy sets (DHFSs) are developed in terms of the mean, variance and number of elements in the dual hesitant fuzzy elements (DHFEs), which overcomes some deficiencies of the existing distance measures for DHFSs. The proposed distance measures are effectively applicable to solve MADM problems where the attribute weights are completely unknown. With the help of the new distance measures, the attribute weights are objectively determined, and the closeness coefficients of each alternative can be objectively obtained to generate optimal solution. Finally, an evaluation problem of airline service quality is conducted by using the distance-based MADM method to demonstrate its validity and applicability.
1. Introduction
Multiple attribute decision making (MADM) is one of the most significant components of decision theory, which aims to generate an optimal solution among several alternatives by selecting and ranking a set of alternatives profiled from conflictive attributes with respect to decision makers’ cognitions [1]. In the process of analyzing MADM problem, we are usually plagued by uncertain and vagueness due to intrinsic complexity, limited experience and individual cognition.
A growing number of methods and theories have been applied to deal with different kinds of uncertainties in MADM. Fuzzy sets theory [2] appeared in 1965 and has been successfully applied in representing and handing uncertainties. On account of existence of numerous kinds of uncertainties, many surveys were conducted on the extensions of the fuzzy sets (FSs). Atanassov [3] developed the intuitionistic fuzzy sets (IFSs) characterized by membership degree, non-membership degree and hesitance degree in 1986. Torra and Narukawa [4] proposed the hesitant fuzzy sets (HFSs) portrayed by a set of possible membership degrees based on IFSs. Zhu et al. [5] developed the dual hesitant fuzzy sets (DHFSs) to handle the uncertain situations that permit membership and non-membership degrees simultaneously to represent decision makers’ preferences by a given set having diverse possibilities in a dual hesitant fuzzy element (DHFE), which has more advantages in dealing with uncertainties in real MADM problems and possesses good symmetry. Among these extensions, DHFSs developed by Zhu et al. has been attracted increasingly studied in the last decade.
At present, research related to the DHFSs has been conducted in four respects—(1) A series of basic concepts of DHFSs were proposed. As the theoretical basis of DHFSs, the addition, multiplication, union, intersection, exponentiation [5] and other aggregation operators [6,7] were investigated first. Then, the most widely used measures and indexes were developed, such as distance and similarity measures [8,9,10], entropy measures [11], correlation coefficients [12,13] and cross-entropy measures [14] and so forth; (2) Several typical MADM methods were developed. Ren and Wei [15] developed the novel similarity measure and score function, based on which a prioritized MADM method was proposed to handle the problem with DHF assessment. Qu et al. [16] put forward a MADM method based on DHF Choquet aggregation operators to solve MADM problems. With the help of the means of three-way decisions, Liang et al. [17] developed a MADM method and applied it to a dual hesitant fuzzy MADM problem; (3) Some extensions of DHFS were studied. Although the DHFS is sufficient to represent many kinds of uncertainties in MADM, its expression capability is inadequate in specific situation. Therefore, Chen et al. [18] introduced the notion of higher order dual hesitant fuzzy set (HODHFS) and developed a series of corresponding distance measures for HODHFS. To better depict specific situation in MADM problems, Xu and Wei [19] developed the dual hesitant bipolar fuzzy set (DHBFS) and the relevant aggregation operators for DHBFS were introduced; (4) Some DHF hybrid fuzzy models with a rough component or with a soft component were developed. Zhang et al. [20] constructed a new hybrid model called dual hesitant fuzzy rough set (DHFRS) by integrating DHF theory with rough set theory. By hybridizing DHFSs with soft sets, Zhang and Shu [21] introduced the notion of the dual hesitant fuzzy soft sets (DHFSS) and presented some operations of DHFSS.
In the process of MADM, a distance measure is utilized to calculate the degree of distance between DHFSs, which is regarded as the one of the most effective tool to handle MADM problems with DHF information. Several basic distance measures for DHFSs were developed by Su et al. [8] and applied to pattern recognition. A series of distance measures and the relevant similarity measures for DHFSs were first proposed by Wang et al. [9] and these distance measures were integrated with a TOPSIS method to evaluate weapon selection problem. A number of normalized generalized distance measures for DHFSs utilizing the set-theoretic and the geometric distance model were defined by Singh [10] and applied in MADM. At present, distance measures have usually already identified as the foundation of some effective multiple attributes decision making methods, such as VIKOR, TOPSIS, PROMETHEE and ELECTRE [22,23,24,25].
In the definition of the existing distance measures for DHFSs [26,27,28], there are two potential assumptions still working— (1) possible membership and non-membership degrees in two DHFEs must be rearranged in ascending or descending order and (2) the length of possible membership and non-membership degrees in two DHFSs need to be unified to the same. The deficiencies caused by the two assumptions are as follows [29,30]— (1) whether rearranging the values of membership and non-membership degrees in ascending order or descending order can depict all possible situations is questionable and (2) unifying the length of possible membership and non-membership degrees in two DHFSs to the same cannot completely characterize all preferences and cognitions of decision makers in MADM. Moreover, the existing distance measures for DHFSs do not satisfy the property of triangle inequality [31] which is considered as an essential part of the axioms of distance measures. Besides, DHFSs are a new extension of IFSs and HFSs, whose information has two kinds of uncertainties. One is vagueness and the other one is volatility. The existing distance measures were defined only depending on the difference among numerical values of the membership and non-membership degrees but paid few attentions on the volatility of the DHF information.
To overcome such deficiencies, some new distance measures are developed in terms of the mean, the variance and the number of elements in the DHFEs. The proposed distance measures are effectively applicable to solve MADM problems where the attribute weights are completely unknown [32,33,34,35,36]. Similar to the construction of distance measures, the determination of completely unknown attribute weights is also difficult. To determinate attribute weights objectively, we develop an optimization model with the help of a deviation maximization method [37] and the new distance measure.
The remainder of this paper is organized as follows. In Section 2, we introduce some basic notions of DHFS and several existing distance measures for DHFSs. In Section 3, the deficiencies of existing distance measures for DHFSs are analyzed and some new distance measures for DHFSs are developed. In Section 4, we introduce the determination of completely unknown attribute weights and the algorithm for MADM problem with DHF assessments. In Section 5, the application example of airline service quality assessment is conducted to illustrate the validity and applicability of the developed MADM method. In the last section, we summarize the main work of this paper.
2. Preliminaries
We give a brief introduction about basic notions of DHFSs and several existing distance measures for DHFS in this part.
2.1. Dual Hesitant Fuzzy Sets
As mentioned in Introduction, although HFS and IFS are useful tool in some cases, they cannot solve all possible situations. For example, several membership degrees {0.5, 0.4, 0.3} and several non-membership degrees {0.3, 0.2} are given in MADM problem according to the knowledge and experience of decision maker but such assessment information cannot be solely expressed by using HFSs and IFSs. To solve such a complicated situation, Zhu et al. [5] developed basic notions of DHFSs by extending HFS theory.
Definition 1.
[5] Let be a universe of discourse, then a dual hesitant fuzzy set on is defined as
whereandrepresent the sets of possible membership degrees and non-membership degrees of the elementto, respectively, such that, , , andfor all. For a specific, the pairis called a DHFE which can be denoted as.
In the following, the comparison rules between DHFEs are given.
Definition 2.
[5] Letbe a DHFE. Then the score function ofis given as follows:
whereandsymbolize the length ofand, respectively.
The accuracy function of is given as follows:
Let and be any two DHFEs, the comparison rules between DHFEs are given as follows:
- (1)
- if , then is inferior than , denoted by ;
- (2)
- if , then
- (i)
- if , then is equal to , denoted by ;
- (ii)
- if , then is inferior than , denoted by ;
Based on the comparison rules, the following notions are proposed by Singh [13]:
Definition 3.
[10] Letandbe two DHFSs on. Ifandfor any, DHFSis considered to be identical to DHFS, denoted by.
2.2. Existing Distance Measures for DHFSs
We review some existing distance measures for DHFSs below before analyzing the deficiencies of them.
Wang et al. [9] first explicit the axioms of distance measures for DHFSs.
Definition 4.
[9] For , Let be a mapping : if satisfies the following properties:
- ;
- if and only if;
- ;
Then is said to be a distance measure between DHFSs and .
Based on Definition 4, Wang et al. [12] proposed the distance measures for DHFSs as follows.
Definition 5.
[9] Let and be two DHFSs on . Then, a generalized distance measure between DHFSs and is developed as follows:
where is a parameter to identify different types of distance measures for DHFSs, and . and are the numbers of values of and , respectively. Specifically, is a permutation of and is a permutation of such that , , , for all . Precisely, when = 1, we get a DHF Hamming distance measure between and .
However, it is not allowed to expand the shorter DHFS by increasing the length of the shorter one to the same length in some practical cases. Therefore, Wang et al. [9] developed another distance measure as follows:
where .
In the MADM problems, we usually have to consider the weight of each DHFE. Then, the generalized weighted distance measure between DHFSs and is developed as follows:
where .
Singh [10] also put forward some distance measures for DHFSs.
Definition 6.
[10] Let and be two DHFSs on . Then, a generalized distance measure between DHFSs and is developed as follows:
where is a parameter to identify different types of distance measures for DHFSs.
Suppose that and are the weights of membership degrees and non-membership degrees, respectively, such that and for all . Then, the generalized weighted distance measure between DHFSs and is developed as follows:
where .
3. New Distance Measure for DHFSs
We analyze the deficiencies of existing distance measures and some new distance measures for DHFSs are developed in this section.
3.1. Analysis of Deficiencies of Existing Distance Measures
First of all, we can find that most of the distance measures are based on the following two assumptions—(1) possible membership and non-membership degrees in two DHFSs are rearranged in ascending or decreasing order and (2) the length of possible membership or non-membership degrees in two DHFEs is unified to the same. Obviously, the original information of DHFSs has been changed when DHFEs are added or decreased, which directly leads to the distortion of the evaluation results.
Besides, DHFSs are a new extension of HFSs and IFSs, whose information has two kinds of uncertainties. Vagueness is the first kind of uncertainty, which mainly reflects distinct and specific information—possible membership and non-membership. Volatility is another kind of uncertainty, which mainly reflects unknown degree of membership and non-membership. We can find that that the existing distance measures between DHFSs are defined only depending on numerical value. The main feature of these existing distance measures is to consider the differences in the numerical value between DHFEs. Compared with hesitant fuzzy sets, DHFS introduces the non-membership degree, laying emphasis on hesitancy of the possible membership degree and the non-membership degree which is characterized by both the differences between the values and the volatility of dual hesitant fuzzy information. However, the volatility of dual hesitant fuzzy information in the existing distance measures is not considered, which may lead to unconvincing results.
Another point worth noting is that the axioms of the existing distance measures are not complete. According to the measure space theory, a measure space consists of two parts—a non-empty set and a distance on . Distance is the basic element of the measurement space. The triangle inequality is an important property of the distance measure. Obviously, the axioms of distance measures in the Definition 4 are not comprehensive enough. In order to analyze the deficiencies of existing distance measures for DHFSs, we improve the Definition 4 by adding the property of triangle inequality, which makes the axioms of distance measures more complete.
Definition 7.
For , Let be a mapping : if satisfies the following properties:
- ;
- if and only if;
- ;
- Letbe any DHFS, then;
Then is said to be a distance measure between DHFSs and .
In the following, we illustrate the deficiencies of these existing distance measures by some concrete examples. Since , , are the exceptions of , , , respectively and , are a generalization of , , respectively, we just need to focus on the analysis of , and . Through the analysis of the example, we can find the following deficiencies:
1. The first deficiency is that it is inaccurate when the shorter DHFEs is extended to the same length by adding any value in it. We do not know whether the decision maker adopt pessimistic strategy or optimistic strategy. Besides, when we unify the membership degrees and non-membership degrees of DHFSs, the original given information has been changed.
Example 1.
Let , be two DHFSs on . When we calculate the distance measure between DHFSs and , can be extended as and in pessimistic strategy and optimistic strategy, respectively. Obviously, the original given information has been changed, which leads to different results of the distance measures.
2. The second deficiency is that these existing distance measures do not satisfy the property (p4) in Definition 7.
Example 2.
Let , and be three DHFSs on . Suppose that we add the minimum value of the shorter one to make three DHFSs have the same length. Then we have
, , .
Hence, .
Similarly, , , .
Hence, .
Apparently, these distance measures do not satisfy the property of triangular inequality (P4).
3. The third deficiency is that these existing distance measures are not precise because they cannot depict the volatility of the values of membership and non-membership degrees in a DHFE.
Example 3.
Let , , and be four DHFSs on . Suppose that the decision maker adopts a pessimistic strategy to unify the DHFSs. Then we have
, . Hence, .
Similarly, = 0.3, = 0.3, = 0, = 0.
Hence, ,.
Since , it is obvious that . The reason for this result is that the existing distance measures are defined only by the differences between the values but do not consider the volatility of DHF information. Thus, these existing distance measures may lead to unreasonable results.
3.2. Construction of New Distance Measures for DHFSs
To overcome the deficiencies mentioned in the previous section, we develop a variety of new distance measures below. First, we introduce the following concepts.
Definition 8.
Let be any DHFE. Denote
where and are the values of and , respectively; and are the length of and , respectively. and are the mean functions of membership degrees and non- membership degrees of the DHFE , respectively. We denote and the volatility functions of the membership and non- membership degrees in the DHFE , respectively.
For any DHFE , and symbolize the values of the membership and non- membership degrees. Specially, when , it means that the value of membership degrees and non-membership degrees given by the decision maker is determined, that is, the decision maker’s opinions are positive and without any volatility; when , it means that the decision maker‘s opinions are consistently negative. and are constructed by the variance and the number of elements in the DHFEs, which symbolizes the volatility degree for DHF information. The larger the values of the volatility functions are, the greater the inconsistency of the DHF information is given by the decision makers. When , it means that decision maker determines the value of membership degrees and non- membership degrees of the DHFE without any volatility.
Suppose that and are any two DHFSs on . Then the mean distance for the membership degree of an element between DHFSs and is defined as
the mean distance for the non-membership of an element between DHFSs and is defined as
the volatility distance for the membership of an element between DHFSs and is defined as
the volatility distance for the non-membership of an element between DHFSs and is defined as
In the following, we give the new distance measures for DHFSs.
Definition 9.
Let and be the any two DHFSs on , then a new dual hesitant fuzzy Hamming distance between and is defined as follows:
a new dual hesitant fuzzy Euclidean distance betweenandis defined as follows:
a new dual hesitant fuzzy generalized distance between and is defined as follows:
where , and are the mean distances for the membership degrees and non- membership degrees of an element between DHFSs and , respectively; and are the volatility distances for the membership degrees and non- membership degrees of an element between DHFSs and , respectively.
If we consider the influence of the preferences of mean distance and the volatility distance in a DHFE, then a new generalized distance with preference between DHFSs and is defined as follows:
where , ,. Precisely, when = 1, we get a new dual hesitant fuzzy Hamming distance with preference between DHFSs and .
Definition 10.
Let and be any two DHFSs on . Then the new weighted generalized distance with preference between DHFSs and is defined as follows:
where , , , and . and are the mean distance for the membership degrees and non-membership degrees of an element between DHFSs and , respectively; and are the volatility distance for the membership degrees and non- membership degrees of an element between DHFSs and , respectively.
It should be noted that when , in Definition 10 reduces to ; when , reduces to ; when , reduces to ; when , reduces to .
Theorem 1.
is a new distance measure between DHFSsandon the universe of discourse.
Since ,, and are the exceptions of .We just need to prove that satisfies the properties (P1)–(P4) in Definition 7.
To prove the Theorem 1, the lemma is introduced as follows:
Lemma 1.
[38] Let, and. Then
Proof.
Let , and be three DHFSs on .
(P1) Taking into account Equations (13)–(16), it is easy to find that , , , and then , , , . Therefore we can obtain for , , thus .
(P2) Apparently, if = , it is easy to prove that = 0; on the other hand, if = 0, we can obtain that = 0 and = 0 for any , then we have and . Hence, = = = and = = = for any . Based on Definition 2, we can obtain that = .
(P3) Based on Equations (13)–(16) and (21), it is obvious that .
(P4) Taking into account Lemma 1 and Equation (21), it is easy to prove that .□
Compared with the existing distance measures in Section 2.2, the merits of the new distance measures are as follows:
- The new distance measures for DHFSs are developed in terms of the mean, variance and number of elements of DHFEs, which efficiently considers the characteristics of DHFS. The new distance measures not only focus on the difference among the value of DHFEs but also pay much attention to the volatility of DHF information.
- The new distance measures between DHFSs are developed without the consideration of two potential assumptions adopted in aforementioned distance measures. We do not need to extend the shorter DHFEs to the same length by adding any value in it, which can avoid inaccuracy by adding values to DHFEs artificially.
- As a basic property of the distance measures, the triangle inequality is an essential part of the axioms of distance measures. We improve the Definition 4 by adding the property of triangle inequality, which makes the axioms of distance measures more complete. The new distance measures for DHFSs not only meet all properties in Definition 4 but also the property of triangular inequality.
4. MADM Method Based on New Distance Measure for DHFSs
In this section, we introduce the MADM method based on the new distance measure between DHFSs, mainly including the determination of completely unknown attribute weights and the algorithm of MADM problem with DHF assessment.
4.1. Determination of Completely Unknown Attribute Weights
Due to limited knowledge of decision makers and intrinsic complexity of the MADM problems, the attribute weights may be completely unknown in some cases. It is important to obtain the attribute weight objectively in DHF assessment.
Several typical methods for the determination of completely unknown attribute weights have been studied by some scholars, such as the deviation maximization model [37], the entropy measure [11], the standard deviation model [39] and the integration of correlations with standard deviations model [40]. The main idea of these attribute weights determination methods is based on the differences among performances of all alternatives concerning each attribute. Inspired by this idea, a maximizing deviation optimization model is constructed to determine attribute weights with the help of new distance measure.
Suppose that there are alternatives with attributes in a MADM problem. The corresponding weights of the attribute are denoted by such that , . The DHF assessment value of an alternative concerning an attribute is denoted by a DHFE . In the idea of maximizing deviation, we think that the greater the differences of the performance of alternatives concerning attribute has, the greater the effect of attribute has on the decision-making and the greater the weight should be assigned to the attribute. Therefore, the optimization model is constructed as follows:
where is calculated by using Equation (17).
To solve the above model, the Lagrange function is constructed as
Take the partial derivative of Equation (24) with respect to and and set it to 0, namely,
By solving the Equation (25), we have
By the normalization of , the attribute weights can be determined by
where .
4.2. Algorithm for MADM Problem with DHF Assessment
In the solution procedure of MADM, the algorithm for MADM problem with DHF assessment includes the following steps:
Step 1—Generate DHF decision matrix . Suppose that the DHF assessment value of an alternative concerning an attribute is denoted by a DHFE .Then, the DHF decision matrix of the alternative concerning the attribute is defined as
Step 2—Determine the weights of completely unknown attributes. The attribute weights can be calculated by using Equations (17) and (27).
Step3—Acquire the positive ideal solution and negative ideal solution . The positive ideal solution and negative ideal solution are given as follows:
where ,,.
Step 4—Calculate the closeness coefficient between the alternative and the ideal solution. With the help of the TOPSIS method [22], the closeness coefficient of each alternative can be defined as follows:
where , is the distance measure between alternative and the negative ideal solution , is the distance measure between alternative and the positive ideal solution . and can be obtained by using Equation (21).
Step 5—Rank the alternatives and derive the optimal solution in ascending order according the value of the closeness coefficient. Obviously, the greater the value of the closeness coefficient is, the better the alternative is. The optimal solution is the alternative with maximum value of the closeness coefficient.
5. Application of the Proposed Method in MADM
In this section, airline service quality evaluation problem is analyzed by the proposed method to illustrate the decision-making procedure and we demonstrate applicability and validity of the MADM method based on the new distance measure between DHFSs.
5.1. Description of the Airline Service Quality Evaluation Problem
Due to the rapid development of high-speed railways, Chinese airline market faces a huge challenge. At first, increasingly Chinese airlines tried to attract passengers by reducing price but they soon realized that this was not a win-win situation in increasingly competitive domestic market. The airline service quality is the basic factor for survival, which plays an important role in promoting airline economic benefits. Whether the airline service quality is efficient or not has become a significant criterion to measure the productivity of an airline and even the development level of the whole airline market. To improve the service quality of domestic airlines, the Civil Aviation Administration of China wants to figure out which airline has the best service in the country and then asks other airlines to improve their airline service quality by learning from the best one. To this end, the Civil Aviation Authority establishes a decision-making committee to evaluate the four major airlines—Northern Airlines , Southern Airlines , Eastern Airlines and Xiamen Airlines .
Suppose that the decision-making committee evaluates the four major airlines according to the following four main attributes—Booking and ticketing services , security and boarding services , cabin services and responsive services . The Table 1 shows the detailed description of four attributes of airline service quality evaluation problem.
Table 1.
Attributes of the airline service quality evaluation problem.
Assume that the decision making committee uses the dual hesitant fuzzy number to conduct their assessments of the four major airlines under each attribute. The assessment values of each attribute are presented in Table 2.
Table 2.
Dual hesitant fuzzy assessment values.
5.2. Solution Procedure of Airline Service Quality Evaluation Problem
Since the weights of attributes are completely unknown, the optimal solution would be obtained by utilizing the DHF assessment information given above. In the following, we apply the proposed distance-based method to solve airline service quality evaluation problem. The detailed procedure for solution and results are presented below based on the algorithm in Section 4.2:
Step 1—Generate DHF decision matrix. Based on the DHF assessment values in Table 2 and Equation (28), the DHF decision matrix D can be obtained as follow.
Step 2—Determine the weights of completely unknown attributes. Using the maximizing deviation optimization model and the assessment values in Table 2, we can acquire the weight of each attribute. According to Equations (17) and (27), the weights of attribute can be obtained as = 0.2692, = 0.2245, = 0.3086, = 0.1977.
Step 3—Acquire the positive ideal solution and negative ideal solution . By using Equations (29) and (30), the positive ideal solution and the negative ideal solution can be obtained as:
Step 4—Calculate the closeness coefficient between the alternative and the ideal solution. Without loss of generality, let , , . By using Equation (21), the values of and for each alternative can be calculated and we have = 0.4032, = 0.6481, = 0.6435, = 0.5482, = 0.6181, = 0.3526, = 0.4254, = 0.5570. By using Equation (31), the closeness coefficient of each airline CCi (i = 1, …, 4) can be calculated and we have CC1 = 0.6052, CC2 = 0.3289, CC3 = 0.3979, CC4 = 0.5279.
Step 5—Rank the alternatives and derive the optimal solution in ascending order. According to the value of CCi (i = 1, …, 4), we have . Thus, Northern Airlines is the optional solution for the airline service quality evaluation problem.
5.3. Comparison Analysis with the Existing Distance Measures
To highlight the difference between the existing distance measure and the proposed distance measure, Wang et al.’s and Singh’s distance measures are also applied to solve the airline service quality evaluation problem given in Section 5.1. Suppose that assessments of four airlines portrayed by DHFEs are presented in Table 2, and . Then, based on Wang et al.’s distance [9] and Singh’s distance [10], the ranking order of the four airlines are derived and presented in Table 3. The relevant results based on our new distance measure are also shown in Table 3.
Table 3.
Ranking order of four airlines derived from three dual hesitant fuzzy (DHF) distance measures.
As can be seen from the Table 3, the optimal solution of the airline service quality evaluation problem is always . It indicates that our new distance measures are applicable and available. Based on the Wang et al.’s distance , the ranking order of alternatives is , agreeing with the ranking order of the new distance measure. Although the ranking orders of alternatives are exactly the same, the discrimination of Wang et al.’s distance is obviously weaker than our proposed distance measure. The reason for this result is that Wang et al.’s distance is defined only depending on numerical value. However, the proposed distance measure is defined in terms of the mean, variance and number of elements in DHFEs, which efficiently considers the characteristics of DHF information and possesses a higher degree of discrimination.
It can be seen from Table 3 that the ranking results of the four airlines obtained by Singh’s distance is different from those obtained by the new distance measure . Compared to the proposed distance measure, the ranking of obtained by Singh’s distance is changed from the third to the fourth and the ranking of is changed from the second to the third. In particular, the ranking of is changed from the fourth to the second. It should be noted that the construction of Singh’s distance depends on the assumption that the original DHFEs of each alternative on all attributes have the same length. However, the proposed distance measure is unrelated to this assumption, which can avoid the impact of artificially addition of elements to DHFEs. From comparison analysis with the existing distance measures, it indicates that the new distance measures possess better validity and applicability.
5.4. Sensitivity Analysis on the Parameter of the Proposed Distance Measure
Since different parameters can produce different solutions for a MADM problem, parameter plays an important role in the proposed method. We conduct the sensitivity analysis on the parameter to verify the stability of our method. The influences of a variation in on ranking results are analyzed in the airline service quality evaluation problem. Moreover, it is necessary to analyze how different values of the preference parameters α and β change the results.
Assume that there are three different values of parameters α and β which can symbolize three different preferences of the influences of mean and volatility of DHFE. For parameter between 1 to 20 in steps of 1, we calculate the corresponding closeness coefficient of each airline to study the influence of different parameters on the ranking order. The movement of CCi (i = 1, 2, 3, 4) with a variation in is shown in Figure 1, Figure 2 and Figure 3.
Figure 1.
Movement of CCi (i = 1, 2, 3, 4) with a variation in when α = 0.2, β = 0.8.
Figure 2.
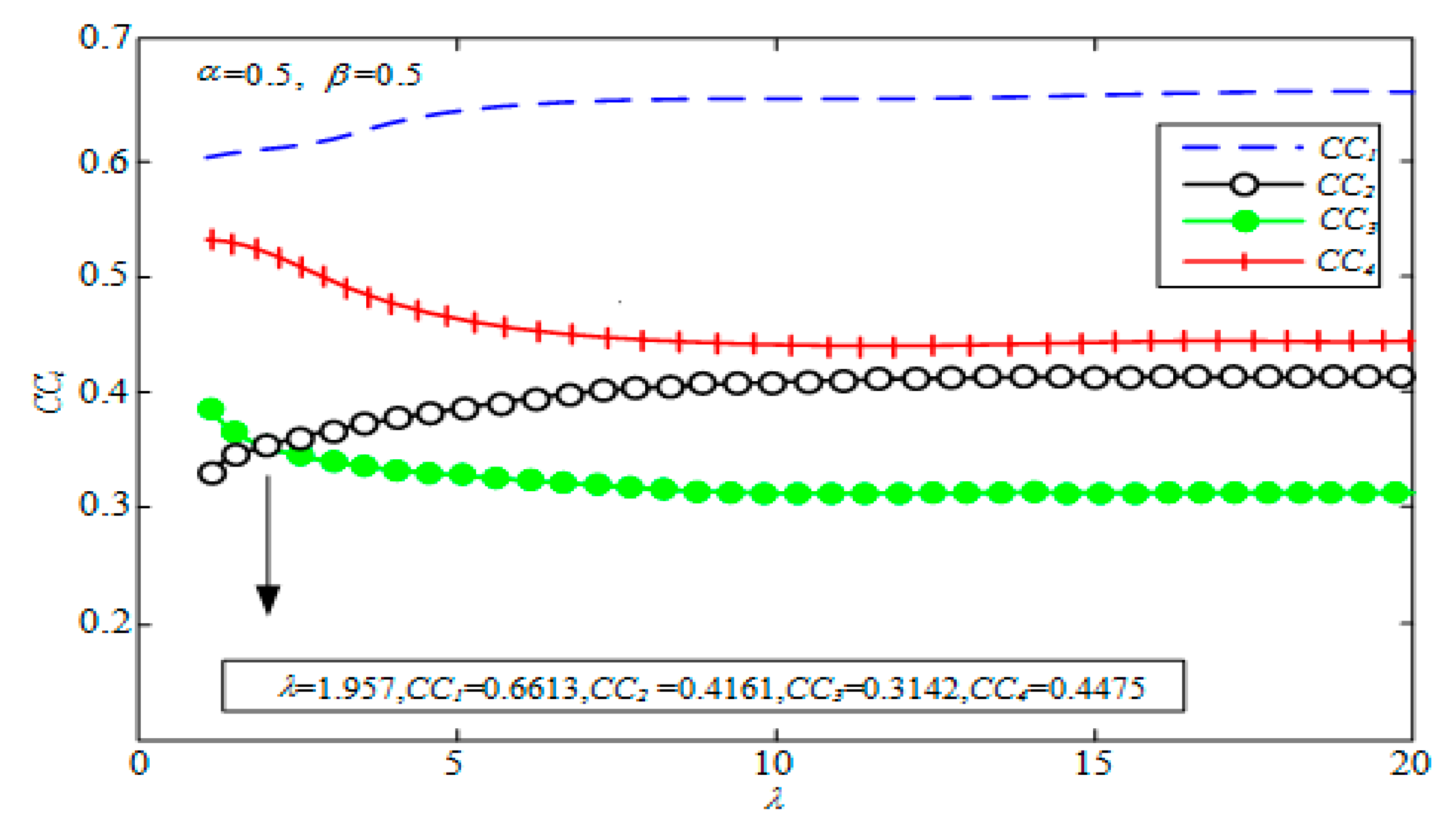
Movement of CCi (i = 1, 2, 3, 4) with a variation in when α = 0.5, β = 0.5.
Figure 3.
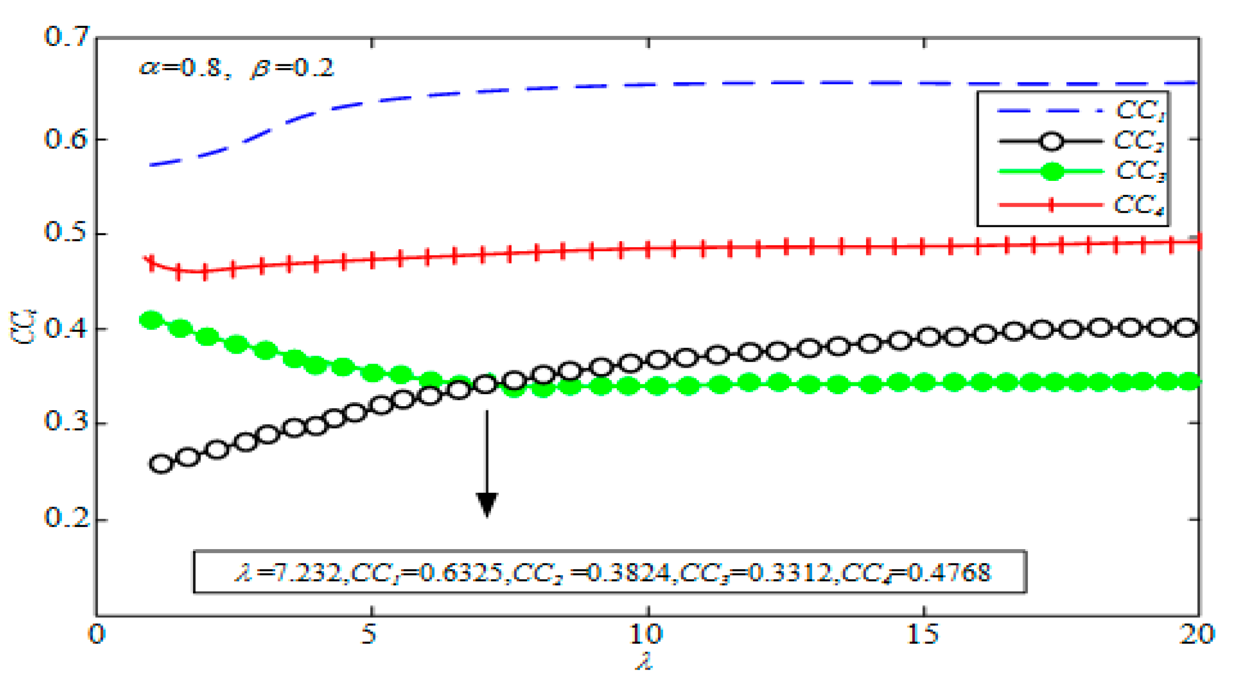
Movement of CCi (i = 1, 2, 3, 4) with a variation in when α = 0.8, β = 0.2.
As can be seen from Figure 1, when α = 0.2, β = 0.8, the four alternatives are sorted as . is always the optimal solution.
1. If [1, 1.957], the four alternatives are sorted as and the optimal solution is .
2. If (1.957, 20], the four alternatives are sorted as and the optimal solution is .
1. If [1, 7.232], the four alternatives are sorted as and the optimal solution is .
2. If (7.232, 20], the four alternatives are sorted as and the optimal solution is .
According to the above computational results, the proposed new distance measure can be assigned different values of preference parameters α (or β) in accordance with the different attitudes of the decision makers, which can give decision makers more choices. From Figure 1, Figure 2 and Figure 3, we can find that different parameters α (or β) can produce different ranking results. Although the ranking result is indeed affected by different preference parameters α (or β), is always the optimal solution. It implies that the proposed distance-based method for DHFSs is stable and effective. In addition, optimists always pay more attention on the values of the DHFE, while ignoring the volatility of the DHFE. Pessimists focus more on the volatility of the DHFE, while ignoring the values of the DHFE. Therefore, the parameters α and β can represent the level of pessimism or optimism in respectively decision making. It can be concluded that when the decision makers are optimistic, the values of the parameters α can be increased, while a smaller value is more likely to be assigned to parameter α by pessimists.
In the following, we analyze how the results of CCi (i = 1, …, 4) are affected as values of the parameter changes according to Figure 1, Figure 2 and Figure 3. As can be seen from Figure 1, the values of CCi (i = 1, …, 4) are monotonically decreasing but the values of CCi (i = 1, …, 4) in Figure 2 and Figure 3 are not all decreasing. For instance, as the value of parameter continues to increase, when α = 0.2, CC2 is monotonically decreasing, while when α = 0.8, CC2 is increasing. The reason for this result is that the preference value α (or β) of the mean and volatility have a considerable effect on and directly affect the value of the CCi (i = 1, …, 4).
But it should be noticed that the values of CCi (i = 1, …, 4) tend to be stable with the increase of the value of parameter and is always the optimal solution. That is to say, the result of the optimal solution is not sensitive to the value of parameter . Through the sensitivity analysis on the parameters of the new distance measure, it can be concluded that the result of the optimal solution has strong stability and further proves that the proposed distance-based method is rational and effective.
As analyzed above, the major advantages of the proposed distance-based MADM can be concluded as follows:
- From the perspective of DHF theory, the proposed new distance measures between DHFSs do not depend on two assumptions to deal with DHF information, which makes the calculation results more objective. Moreover, the construction of new distance measures takes into account not only the difference among the value of DHFEs but also the volatility of dual hesitant fuzzy information. The proposed new distance measures further reflect the characteristics of the DHF information. Besides, the preference coefficients can be determined according to the decision maker’s psychological preference, having strong practicability and availability.
- From the perspective of the determination of completely unknown attribute weights, the weights of attributes can be obtained objectively by constructing optimization model with the help of the new distance measure for DHFSs. The decision information is fully utilized and the attribute weight determination model is flexible and easy to operate.
- From the perspective of practical application, DHFS can better characterize the preferences and cognitions of decision makers in MADM problem. The proposed distance measures for DHFSs can be effectively applied to solve the MADM problem of airline service quality evaluation and help the Civil Aviation bureau to find the best service quality airline.
6. Conclusions
In this paper, we propose a variety of new distance measures for DHFSs in terms of the mean, the variance and the number of elements in the DHFEs, which overcomes some deficiencies of the existing DHF distance measures. The proposed distance measures for DHFSs are effectively applicable to MADM problems where the attribute weights are completely unknown. To solve MADM problem, we develop a MADM method based on new distance measures for DHFSs. In the method, a maximizing deviation optimization model is constructed to determine completely unknown attribute weights with the help of the new distance measure. The closeness coefficient of each alternative is then calculated and compared with all alternatives to further generate solution. The example of airline service quality assessment further illustrates the applicability of the distance-based method. Through the comparative analysis and sensitivity analysis on parameter, the validity of the proposed DHF distance measures and MADM method is demonstrated.
According to the above analysis, the main advantages of this distance-based MADM method are summarized in the following three respects—(1) a variety of new distance measures for DHFSs are developed without any assumption; (2) we define new distance measures for DHFSs in terms of the mean, the variance and the number of elements in the DHFEs, which not only considers the difference among the value of DHFEs but also the volatility of dual hesitant fuzzy information; and (3) The completely unknown weights of attributes are better determined by a maximizing deviation optimization model with the help of the new distance measure. Meanwhile, there are disadvantages in the developed MADM method as well. The main disadvantage of this distance-based MADM method is that the new distance measure has a large amount of calculation due to the multiple parameters and variables in the complicated distance formula.
For future work, some focused research can be conducted in the following respects—(1) Distance measures for extended DHFSs are worthy further investigation. As the MADM problems become more and more complex, some extensions of DHFSs are needed to depict decision makers’ preferences. We can apply our ideas of constructing new distance measures to these extensions of DHFSs, such as higher order DHFSs [18], dual extended hesitant fuzzy sets [41], DHF linguistic term sets [42] and so on. (2) The proposed DHF distance measures can be integrated with some typical MADM methods, such as the VIKOR method, the PROMETHEE method and the ELECTRE method. We can conduct further comparative analysis among different MADM methods. (3) The proposed distance-based method can be applied to other practical fields, such as supplier selection, human resource management and so on.
Author Contributions
Conceptualization, R.W. and W.L.; methodology, R.W.; validation, Q.H. and T.Z.; writing—original draft preparation, R.W. and T.Z.; writing—review and editing, R.W.; funding acquisition, W.L. All authors have read and agreed to the published version of the manuscript.
Funding
This research was supported by National Natural Science Foundation of China, grant numbers 61703426, 60975026 and 61273275.
Conflicts of Interest
The authors declare no conflict of interest.
References
- Dyer, J.S.; Fishburn, P.C.; Steuer, R.E.; Wallenius, J.; Zionts, S. Multiple criteria decision making, multiattribute utility theory:the next ten years. Manag. Sci. 1992, 38, 645–654. [Google Scholar] [CrossRef]
- Zadeh, L.A. Fuzzy sets, Inform. Control 1965, 8, 338–356. [Google Scholar] [CrossRef]
- Atanassov, K.T. Intuitionistic fuzzy sets. Fuzzy Sets Syst. 1986, 20, 87–96. [Google Scholar] [CrossRef]
- Torra, V.; Narukawa, Y. On hesitant fuzzy sets and decision. In Proceedings of the 18th IEEE International Conference on Fuzzy Systems, JejuIsland, Korea, 20–24 August 2009; pp. 1378–1382. [Google Scholar] [CrossRef]
- Zhu, B.; Xu, Z.S.; Xia, M.M. Dual hesitant fuzzy sets. J. Appl. Math. 2012, 22, 100–121. [Google Scholar] [CrossRef]
- Wang, L.; Shen, Q.G.; Zhu, L. Dual hesitant fuzzy power aggregation operators based on Archimedean t-conorm and t-norm and their application to multiple attribute group decision making. Appl. Soft. Comput. 2016, 38, 23–50. [Google Scholar] [CrossRef]
- Zhang, Y. Research on the computer network security evaluation based on the DHFHCG operator with dual hesitant fuzzy information. J. Intell. Fuzzy Syst. 2015, 28, 199–204. [Google Scholar] [CrossRef]
- Su, Z.; Xu, Z.S.; Liu, H.F.; Liu, S.S. Distance and similarity measure for dual hesitant fuzzy sets and their application in pattern recognition. J. Intell. Fuzzy Syst. 2015, 29, 731–745. [Google Scholar] [CrossRef]
- Wang, L.; Xu, S.; Wang, Q.; Ni, M. Distance and similarity measures of dual hesitant fuzzy sets with their applications to multiple attribute decision making. In Proceedings of the International Conference on Progress in Informatics and Computing, Shanghai, China, 16–18 May 2014; pp. 88–92. [Google Scholar] [CrossRef]
- Singh, P. Distance and similarity measures for multiple-attribute decision making with dual hesitant fuzzy sets. J. Comput. Appl. Math. 2017, 36, 111–126. [Google Scholar] [CrossRef]
- Zhao, N.; Xu, Z.S. Entropy measures for dual hesitant fuzzy information. In Proceedings of the 2015 Fifth International Conference on Communication Systems and Network Technologies, Gwalior, India, 4–6 April 2015; pp. 1152–1156. [Google Scholar]
- Tyagi, S.K. Correlation coefficient of dual hesitant fuzzy sets and its applications. Appl. Math. Model. 2015, 39, 7082–7092. [Google Scholar] [CrossRef]
- Ye, J. Correlation coefficient of dual hesitant fuzzy sets and its application to multiple attribute decision making. Appl. Math. Model. 2014, 38, 659–666. [Google Scholar] [CrossRef]
- Ye, J. Cross-entropy of dual hesitant fuzzy sets for multiple attribute decision-making. Int. J. Decis. Support Syst. Technol. 2016, 8, 20–30. [Google Scholar] [CrossRef]
- Ren, Z.L.; Wei, C.P. A multi-attribute decision-making method with prioritization relationship and dual hesitant fuzzy decision information. Int. J. Mach. Learn. Cybern. 2017, 8, 755–763. [Google Scholar] [CrossRef]
- Qu, G.H.; Li, Y.J.; Qu, W.H.; Li, C.H. Some new Shapley dual hesitant fuzzy Choquet aggregation operators and their applications to multiple attribute group decision making-based TOPSIS. J. Intell. Fuzzy Syst. 2017, 33, 2463–2483. [Google Scholar] [CrossRef]
- Liang, D.C.; Xu, Z.S.; Liu, D. Three-way decisions based on decision-theoretic rough sets with dual hesitant fuzzy information. Inf. Sci. 2017, 396, 127–143. [Google Scholar] [CrossRef]
- Chen, J.J.; Huang, X.J.; Tang, J. Distance measures for higher order dual hesitant fuzzy sets. Comp. Appl. Math. 2018, 37, 1784–1806. [Google Scholar] [CrossRef]
- Xu, X.R.; Wei, G.W. Dual hesitant bipolar fuzzy aggregation operators in multiple attribute decision making. Int. J. Knowl.-Based Intell. Eng. Syst. 2017, 21, 155–164. [Google Scholar] [CrossRef]
- Zhang, F.W.; Chen, J.H.; Zhu, Y.H.; Li, J.R.; Li, Q.; Zhuang, Z.Y. A dual hesitant fuzzy rough pattern recognition approach based on deviation theories and its application in urban traffic modes recognition. Symmetry 2017, 9, 262. [Google Scholar] [CrossRef]
- Zhang, H.D.; Shu, L. Dual Hesitant Fuzzy Soft Set and Its Properties. Adv. Intell. Syst. Comput. 2016, 367, 171–182. [Google Scholar]
- Liao, H.C.; Xu, Z.S.; Zeng, X.J. Distance and similarity measures for hesitant fuzzy linguistic term sets and their application in multi-criteria decision making. Inf. Sci. 2014, 271, 125–142. [Google Scholar] [CrossRef]
- Peng, J.J.; Wang, J.Q.; Wang, J.; Yang, L.J.; Chen, X.H. An extension of ELECTRE to multi-criteria decision-making problem with multi-hesitant fuzzy sets. Inf. Sci. 2015, 307, 113–126. [Google Scholar] [CrossRef]
- Su, Z.; Xu, Z.S.; Zhao, H.; Liu, S.S. Distribution-Based Approaches to Deriving Weights from Dual Hesitant Fuzzy Information. Symmetry 2019, 11, 85. [Google Scholar] [CrossRef]
- Ren, Z.L.; Xu, Z.S.; Wang, H. Dual hesitant fuzzy VIKOR method for multi-criteria group decision making based on fuzzy measure and new comparison method. Inf. Sci. 2017, 388, 1–16. [Google Scholar] [CrossRef]
- Li, D.Q.; Zeng, W.Y.; Li, J.H. New distance and similarity measures on hesitant fuzzy sets and their applications in multiple criteria decision making. Eng. Appl. Artif. Intell. 2015, 40, 11–16. [Google Scholar] [CrossRef]
- Singh, P. A new method for solving dual hesitant fuzzy assignment problems with restrictions based on similarity measure. Appl. Soft Comput. 2014, 24, 559–571. [Google Scholar] [CrossRef]
- Xu, Z.S.; Xia, M.M. Hesitant fuzzy entropy and cross-entropy and their use in multi-attribute decision-making. Int. J. Intell. Syst. 2012, 27, 799–822. [Google Scholar] [CrossRef]
- Xue, M.; Fu, C.; Chang, W.J. Determining the Parameter of Distance Measure between Dual Hesitant Fuzzy Information in Multiple Attribute Decision Making. Int. J. Fuzzy Syst. 2018, 20, 2065–2082. [Google Scholar] [CrossRef]
- Li, D.Q.; Zeng, W.Y.; Zhao, Y.B. Note on distance measure of hesitant fuzzy sets. Inf. Sci. 2015, 321, 103–115. [Google Scholar] [CrossRef]
- Farhadinia, B. Correlation for dual hesitant fuzzy sets and dual interval-valued hesitant fuzzy sets. Int. J. Intell. Syst. 2014, 29, 184–205. [Google Scholar] [CrossRef]
- Xu, Z.S.; Zhao, N. Information fusion for intuitionistic fuzzy decision making: An overview. Inf. Fusion 2016, 28, 10–23. [Google Scholar] [CrossRef]
- Zhang, H.B.; Liu, X.M.; Ji, H.H.; Hou, Z.S.; Fan, L.L. Multi-Agent-Based Data-Driven Distributed Adaptive Cooperative Control in Urban Traffic Signal Timing. Energies 2019, 12, 1402. [Google Scholar] [CrossRef]
- Farhadinia, B. A multiple criteria decision making model with entropy weight in an interval-transformed hesitant fuzzy environment. Cognit. Comput. 2017, 9, 513–525. [Google Scholar] [CrossRef]
- Roman, R.C.; Precup, R.E.; Bojan-Drago, C.A.; Szedlak-Stinean, A.I. Combined Model-Free Adaptive Control with Fuzzy Component by Virtual Reference Feedback Tuning for Tower Crane Systems. Procedia Comput. Sci. 2019, 162, 267–274. [Google Scholar] [CrossRef]
- Park, J.H.; Kwark, H.E.; Kwun, Y.C. Entropy and cross-entropy for generalized hesitant fuzzy information and their use in multiple attribute decision making. Int. J. Intell. Syst. 2017, 32, 266–290. [Google Scholar] [CrossRef]
- Sahin, R.; Liu, P. Maximizing deviation method for neutrosophic multiple attribute decision making with incomplete weightinformation. Neural Comput. Appl. 2016, 7, 1–13. [Google Scholar] [CrossRef]
- Kuang, J. Applied Inequalities, 3rd ed.; Shandong Science and Technology Press: Jinan, China, 2004; pp. 154–196. [Google Scholar]
- Diakoulaki, D.; Mavrotas, G.; Papayannakis, L. Determining objective weights in multiple criteria problems: The critic method. Comput. Oper. Res. 1995, 22, 763–770. [Google Scholar] [CrossRef]
- Wang, Y.M.; Luo, Y. Integration of correlations with standard deviations for determining attribute weights in multiple attribute decision making. Math. Comput. Model. 2010, 51, 1–12. [Google Scholar] [CrossRef]
- Alcantud, J.; Santos-García, G.; Peng, X.D.; Zhan, J.M. Dual Extended Hesitant Fuzzy Sets. Symmetry 2019, 11, 714. [Google Scholar] [CrossRef]
- Zhang, R.C.; Li, Z.M.; Liao, H.C. Multiple-attribute decision-making method based on the correlation coefficient between dual hesitant fuzzy linguistic term sets. Knowl.-Based. Syst. 2019. [Google Scholar] [CrossRef]
© 2020 by the authors. Licensee MDPI, Basel, Switzerland. This article is an open access article distributed under the terms and conditions of the Creative Commons Attribution (CC BY) license (http://creativecommons.org/licenses/by/4.0/).


