You are currently on the new version of our website. Access the old version .
SymmetrySymmetry
  • Article
  • Open Access

30 November 2020

Mixed Convection in a Double Lid-Driven Cavity Filled with Hybrid Nanofluid by Using Finite Volume Method

,
,
and
1
Department of Mathematics & Statistics, Faculty of Applied Sciences and Technology, Universiti Tun Hussein Onn Malaysia, Pagoh, Muar 84600, Malaysia
2
Business Administration Department, Al-Mustaqbal University College, Babylon 51002, Iraq
3
Refrigeration & Air-Conditioning Technical Engineering Department, College of Technical Engineering, The Islamic University, Najaf 54001, Iraq
4
Centre for Diploma Studies, Universiti Tun Hussein Onn Malaysia, Pagoh, Muar 84600, Malaysia
This article belongs to the Section Mathematics

Abstract

The understanding of mixed convection heat transfer in cavity is crucial for studying the energy consumption and efficiency in many engineering devices. In the present work, the hybrid nanofluid (Al2O3-Cu-Water) is employed to increase the heat transfer rate in a double lid-driven rectangular cavity. The bottom movable horizontal wall is kept at a high temperature while the top movable horizontal wall is kept at a low temperature. The sidewalls are insulated. The mass, momentum and energy equations are numerically solved using the Finite Volume Method (FVM). The SIMPLE algorithm is used for pressure-velocity coupling. Parameters such as Reynold’s number ( R e ), Richardson number ( R i ), moving wall direction, solid volume fraction, and cavity length are studied. The results show that the hybrid nanofluid in the rectangular cavity is able to augment the heat transfer significantly. When R e is high, a big size solid body can augment the heat transfer. Heat transfer increases with respect to R i . Meanwhile, the local Nusselt number decreases with respect to the cavity length.

1. Introduction

In many engineering applications such as lubrication, heat exchanger, building insulation, home ventilation, drying, solar collector etc., mixed convection in cavity plays a vital role in enhancing the energy efficacy and minimizing the energy consumption. The existence of buoyancy force due to temperature difference and the shearing effect due to moving walls have further complicated the mixed convection process [1]. The effects of Rayleigh and Reynolds numbers, energy transport, position of internal blocks and nanoparticles volume fraction on the fluid flow characteristics have been studied by Shulepova et al. [2] using the finite difference method involving (Al2O3-Water) nanofluid. The authors have revealed that the increase in both the Rayleigh and Reynolds numbers would increase the energy transport. Mixed convection in a wavy bottom cavity containing a solid inner block has been studied by Azizul et al. [3] and it has been reported that nanofluid would improve the heat transfer in the cavity. Additionally, both Nusselt and Grashof numbers increase with respect to the volume fraction of nanofluids. The heat transfer in a lid-driven rectangular cavity filled with visco-plastic fluid driven by a magnetic field has been investigated by Louaraychi et al. [4]. The authors have found that an increase in Hartmann’s number would decrease the heat transfer regardless of aspect ratio and Reynolds number. Goodarzi et al. [5] have analyzed the mixed convection using (Cu-Water) nanofluid in a shallow rectangular cavity using the two-phase mixture model. They reported that the local Nusselt number, the average Nusselt number and the nanofluid heat transfer coefficient increased with respect to the volume fraction of nanoparticles. Moreover, Karimipour et al. [6] have studied the mixed laminar convection in an inclined shallow lid-driven cavity filled with (Cu-Water) nanofluid by using the Lattice Boltzmann Method (LBM). On the other hand, Mahmoodi [7] studied numerically the mixed convection involving the (Al2O3-Water) nanofluid in rectangular lid-driven enclosures. It has been found that the average Nusselt number of the hot wall increased with respect to the volume fraction of nanoparticles. Furthermore, it has been reported that the average Nusselt number at the hot wall of the long enclosure is more than that in the shallow enclosure. In addition, Karimipour et al. [8] investigated numerically the periodic mixed convection flow of (Cu-Water) nanofluid in a 2D rectangular cavity. The authors found that the heat transfer rate could be improved by increasing the volume fraction of nanoparticles. Moreover, Yaseen and Ismael [9] have studied the mixed convection of the (Cu-Water) nanofluid with varying thermo-physical properties in a trapezoidal enclosure saturated with a porous media. They have found that for all Darcy numbers, the average Nusselt number increased as the volume fraction of nanoparticle increased. The movement of nanofluid decreased when the Darcy number decreased, thereby reducing the Nusselt number. Besides that, [9] analyzed the mixed convection of incompressible power-law fluid in an open trapezoidal cavity involving Fluid Structure Interaction (FSI). They have reported that at the lower wall of the channel, the skin friction coefficient decreased with respect to the power-law index. Owing to the superior heat transfer properties of nanofluid, it is widely used in many heat transfer applications such as solar collector, thermal energy storage, material processing, and electronics cooling (see [10,11,12]). Bahiraei [13] has shown that methods such as single-phase model, two-phase model, and LBM [14] can be used to analyze nanofluid. The thermal properties of Al2O3 nanofluid can be enhanced by combining a small number of metallic nanoparticles with Al2O3, or better known as the hybrid nanofluid. The use of hybrid nanofluid enhances the thermal conductivity and the stability of nanofluid. Suresh et al. [15] have studied experimentally the fully developed laminar flow through a straight and heated circular tube using hybrid nanofluid (Al2O3-Cu-Water). Lately, Sarkar et al. [16] and Babu et al. [17] have reviewed different hybrid nanofluids to identify various heat transfer properties, thermo-physical characteristics and synthesis techniques for different heat transfer applications. These review studies have revealed that hybrid nanofluid is better than conventional nanofluid in terms of heat transfer. From the literature review, the most widely used model for modelling nanofluids is the homogeneous single-phase model, whereby the accuracy is dependent on the employed thermo-physical models. Takabi and Salehi [18] have studied numerically the convective heat transfer in a sinusoidal cavity filled with (Al2O3-Cu-Water) hybrid nanofluid and (Al2O3-Water) single nanofluid. It has been reported that the use of hybrid nanofluid would lead to higher heat transfer rate as compared to the single nanofluid. Chamkha et al. [19] have studied the unsteady conjugate natural convection inside a semi-circular enclosure filled with (Al2O3-Cu-Water) hybrid nanofluid. As reported, the use of hybrid nanofluid led to higher values of thermal conductivity and Rayleigh number. Some experimental studies have been conducted by using hybrid nanofluids [20,21,22,23,24]. From the literature review, the study of mixed convection with hybrid nanofluid within a rectangular cavity has not been studied yet. Hence, the present study examines the fluid flow and heat transfer rate in the cavity. The goal of this research is to assess the impacts of Richardson number, moving wall direction, Reynolds number, solid volume fraction, and cavity length on the mixed convection performance in a rectangular cavity filled with (Al2O3-Cu-Water) hybrid nanofluid. We have chosen the aluminum oxide and copper nanoparticles in this work because copper and aluminum oxide are high in thermal conductivity and cheaper as compared to other types.

2. Mathematical Formulation

Figure 1 illustrates the 2D steady mixed convective heat transfer in a rectangular cavity of length (L). The bottom and top movable horizontal walls are isothermal with T h and T c respectively ( T h > T c ). The side walls are insulated. The liquid in the cavity is the water-based nanofluid containing both Al2O3 and Cu nanoparticles. The mathematical models governing the mixed convection can be written as:
u x + v y = 0 ,
u u x + v u y = 1 ρ h n f p x + ν h n f 2 u x 2 + 2 u y 2 ,
u v x + v v y = 1 ρ h n f p y + ν h n f 2 v x 2 + 2 v y 2 + g β h n f T T c ,
u T x + v T y = α h n f 2 T x 2 + 2 T y 2 ,
subjected to the boundary conditions:
top wall:   u = u 0 + ; v = 0 ; T = T c ,
bottom wall:   u = u 0 + ; v = 0 ; T = T h ,
left and right wall:   u = v = 0 ; T x = 0 ,
where u and v are the velocity in x and y directions, respectively, g is the gravity, ρ h n f is the density of hybrid nanofluid, and ν h n f is the kinematic viscosity of hybrid nanofluid. The physical properties of hybrid nanofluid are [25]:
Figure 1. Convection problem in a rectangular cavity.
The density of hybrid nanofluid ρ h n f is:
ρ h n f = φ C u ρ C u + φ A l 2 O 3 ρ A l 2 O 3 + 1 φ C u φ A l 2 O 3 ρ f .
The heat capacitance of hybrid nanofluid ρ c p h n f is:
ρ c p h n f = φ C u ρ ρ c p C u + φ A l 2 O 3 ρ c p A l 2 O 3 + 1 φ C u φ A l 2 O 3 ρ c p f .
The buoyancy coefficient of hybrid nanofluid ρ β h n f can be determined as:
ρ β h n f = φ C u ρ β C u + φ A l 2 O 3 ρ β A l 2 O 3 + 1 φ C u φ A l 2 O 3 ρ β f .
The dynamic viscosity ratio of nanofluid is defined from Corcione et al. [26] as:
μ n f μ f = 1 1 34.87 d p d f 0.3 φ 1.03 ,
and the thermal conductivity ratio of nanofluid is determined as [26]:
k n f k f = 1 + 4.4   R e B 0.4 P r 0.66 T T f r 10 k p k f 0.03 φ 0.66 .
Depending on these models, we can write the formulations of dynamic viscosity ratio and thermal conductivity ratio of (Al2O3-Cu-Water) hybrid nanofluid for particle sizes 33 nm and 29 nm in the ambient condition as:
μ h n f μ f = 1 1 34.87 d f 0.3 d C u 0.3 φ C u 1.03 + d A l 2 O 3 0.3 φ A l 2 O 3 1.03 ,
k h n f k f = 1 + 4.4 R e B 0.4 P r 0.66 T T f r 10 k f 0.03 k C u 0.03 φ C u 0.66 + k A l 2 O 3 0.03 φ A l 2 O 3 0.66 ,
where R e B is defined for hybrid nanofluid as:
R e B = ρ f u B d C u + d A l 2 O 3 μ f ,
u B = 2   k b T π   μ f d C u + d A l 2 O 3 2 .
Here, k b = 1.380648 × 10 23 J / K is the Boltzmann constant, l f = 0.17   nm is the mean free path of nanoparticles, and d f is the molecular diameter of water [26]:
d f = 0.1 6   M N π ρ f 1 3 ,
where M denotes the molecular mass of the working fluid, N is the Avogadro number, and ρ f is the reference density of working fluid at reference temperature (310K). In the current work, the following dimensionless variables are presented as follows:
X = x L ,     Y = y L ,     U = u U 0 ,     V = v U 0 ,     θ = T T c T h T c = T T c T ,     Pr = υ f α f ,     P = p L 2 ρ f α f 2 , R i = G r R e 2 .        
Hence, the dimensionless governing equations are:
U X + V Y = 0 ,
U U X + V U Y = P X + 1 R e μ h n f μ f ρ f ρ h n f 2 U X 2 + 2 U Y 2 ,
U V X + V V Y = P Y + 1 R e μ h n f μ f ρ f ρ h n f 2 V X 2 + 2 V Y 2 + ρ β h n f ρ h n f β f R i   θ ,
U θ X + V θ Y = α h n f α f 1 Pr R e 2 θ X 2 + 2 θ Y 2 .
The dimensionless boundary conditions are:
top wall:   U = 1 + ;   V = 0 ;   θ = 0 ,
bottom wall:   U = 1 + ;   V = 0 ;   θ = 1 ,
left and right wall:   U = V = 0 ;   θ X = 0
.
The local Nusselt number along the cold and hot walls and the average Nusselt number can be calculated as:
N u x = k h n f k f θ Y Y = 0 ,
N u x = k h n f k f θ Y Y = 1 ,
N u ¯ = 0 D N u x   d x .

3. Numerical Method

The governing Equations (19)–(22) are solved numerically using FVM [27]. The convection–diffusion terms are discretized by using the power-law scheme. The pressure and velocity components are coupled using the SIMPLE algorithm. In addition, the staggered grid system is adopted. Then, the line-by-line tridiagonal matrix algorithm (TDMA) programmed in FORTRAN90 is employed to solve iteratively the coupled set of discretized equations. The under-relaxation coefficients of momentum and energy discretized equations are set below 0.5 in order to achieve convergence. The convergence criterion is calculated using the following term:
ε = j = 1 m i = 1 n η i , j k + 1 η i , j k j = 1 m i = 1 n η i , j k + 1 10 7
where ε represents the tolerance, m and n denote the number of grid points in the x and y directions, respectively, η denotes the field variable, and k is the iteration number.

4. Grid-Independence Test

In order to verify the grid independence on the solution, a numerical experiment is performed with different grid resolutions, i.e., 20 × 10, 40 × 20, 60 × 30, 80 × 40, 100 × 50, 120 × 60 and 140 × 70 with the following parameters: R e = 100 ; R i = 1 ; L = 2; φ = 0.02; Pr = 6.2 as shown in Table 1. Table 1 shows that the flow solution on grid 120 × 60 is sufficiently accurate. In order to check the validity of the computer program, the present results are compared against those of Ismael et al. [28] as shown in Figure 2 and the agreement is good.
Table 1. The average Nusselt number and the number of grids.
Figure 2. Streamlines (a), Ismael et al. [28] (left), present study (right), isotherms (b), Ismael et al. [28] (left), present study (right).

5. Results and Discussion

The numerical results are presented for the following value of parameters, i.e., Reynolds number (10, 50, 250, 500), Richardson number (0.01, 0.1, 1, 10), fraction of hybrid nanoparticle size (0.0, 0.01, 0.03, 0.04), lengths number (0.5, 1, 1.5, 2.5), and direction of movable walls (−1, 1) with Pr = 6.2 . The thermo-physical properties of base fluid (water), Cu and Al2O3 nanoparticles are shown in Table 2.
Table 2. Thermo-physical properties of water, Cu nanoparticle and Al2O3 nanoparticle at T = 310   K [29]
Figure 3 shows that streamlines and isotherms change with respect to volume fraction. The shearing action due to wall movement causes the hybrid nanofluid to rotate in the clockwise direction. As shown from the isothermal lines, by increasing the volume fraction of the hybrid nanofluid, the fluid temperature increases. The temperature gradient increases the thermophoresis near the left and bottom walls. As the distribution of the volume fraction generated in this region changes and the Brownian motion increases, the nanoparticles accumulate near the left and bottom walls, and their migrations towards these two walls often occur. However, the Nusselt number increases as the volume fraction increases. Meanwhile, the streamline variation increases as the nanoparticle volume fraction increases. The particle–fluid interaction is significant in affecting the performance of convective heat transfer of hybrid nanofluid.
Figure 3. Variation of streamlines (left) and isotherms (right) with respect to solid volume fraction (a) ϕ = 0 and (b) ϕ = 0.04 .
Figure 4 shows the impacts of streamlines and isotherms on the Richardson number. Due to the movement of horizontal walls, the Richardson number Ri increases from 0.01 to 10. The R i can also be formulated by combining Grashof number ( G r ) and Reynolds number R i = G r R e 2 in order to determine the dominance disparity between normal and forced convection modes. Rising in R i implies an increase in Gr (buoyancy-dominated). Streamlines near the upper-left and lower-left corners tend to curve towards the adjacent angle and some disturbances are thus generated. These disturbances impute to the domination of mechanical friction caused by wall movement ( R i = 0.01 , forced convection). For R i = 0.01 ,   0.1 ,   1 the streamlines swirl along a clockwise rotational path. In Figure 4, for Ri = 0.01, isotherms are clustered near the flow-disturbance regions, i.e., the upper-left and the lower-right corners. For convection mode ( R i = 0.1, 1), the flow becomes slightly non-isothemal as shown in Figure 4. On the other hand, for R i = 10 where the natural convection dominates, the central isothermal zone expands and fills up a larger portion of the cavity. Moreover, the temperature gradient near the top and bottom walls becomes very high. However, when R i increases, heat transfer increases and consequently, the effect of Brownian motion fades.
Figure 4. Variation of streamlines (left) and isotherms (right) with respect to R i (a) R i = 0.01 , (b) R i = 0.1 , (c) R i = 1 , and (d) R i = 10 .
The impact of Reynolds number on the streamlines and isotherms due to wall movement is shown in Figure 5. Here, R e ranges from 10 to 500 toǴ. As R e increases, isothermal lines become vertical due to fluid movement. The swirling is more pronounced as R e increases, resulting in more nanoparticle migration. It is worth mentioning that an increment in R e would improve the heat transfer rate.
Figure 5. Variation of streamlines (left) and isotherms (right) with respect to R e (a) R e = 10 , (b) R e = 50 , (c) R e = 250 , and (d) R e = 500 .
As shown in Figure 6 (case 1) where the bottom and upper walls slide to the right and left respectively, a clockwise rotational flow path is expected (see Figure 6a). Figure 6 (case 2) shows that when the bottom and upper walls slide to the left and right respectively, a counterclockwise flow rotation can be triggered (see Figure 6b). As a result, the warm liquid ascends along the right wall and arrives at the upper wall, whilst the cold liquid descends along the left wall (opposite to Figure 6a). Therefore, it can be seen that isothermal lines of higher temperature can be spotted nearby the right wall while lower temperatureisothermal linesemerges nearby the left and upper walls. In Figure 6 (case 3), both horizontal walls slide to the right, causing clockwise and counterclockwise circulations (Figure 6c). Lower fluid layers circulate in the counterclockwise direction while upper fluid layers circulate in the opposite direction. At the outer layer between these circulations, the fluid velocity becomes almost zero (conduction mode of heat transfer). From the circulation pattern in the bottom layer, the warm fluid rises to the left wall and descends along the left wall after mixing with the top cold fluid. Hence, higher temperature isothermal lines are apparent near the left wall. Near the top wall, the counterclockwise rotational flow pattern is observed. Upon mixing with the warmer fluid, the fluid rises to the left wall and cools down upon contacting with the cold wall. The fluid then moves towards the right wall and completes one circulation. Therefore, the warmest region for the case involving counterclockwise rotation is seen above the left wall. In Figure 6d, the movement directions of the lower and upper walls are opposite to those for the case outlined in Figure 6c. Therefore, the bottom layer circulates in the clockwise direction and the top layer circulates in the counterclockwise direction.
Figure 6. Variation of streamlines (left) and isotherms (right) with respect to the direction of moving walls (a) λ t = 1 ,   λ b = 1 , (b) λ t = 1 ,   λ b = 1 , (c) λ t = 1 ,   λ b = 1 , and (d) λ t = 1 ,   λ b = 1 .
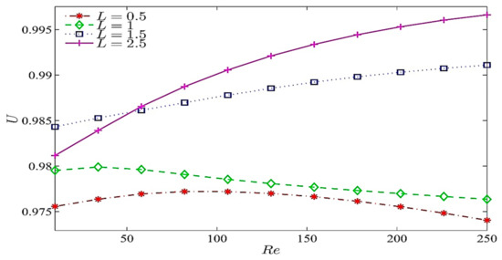
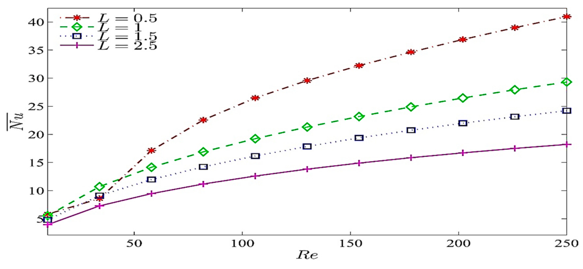
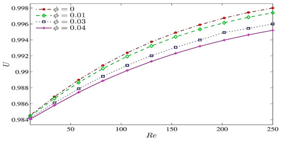
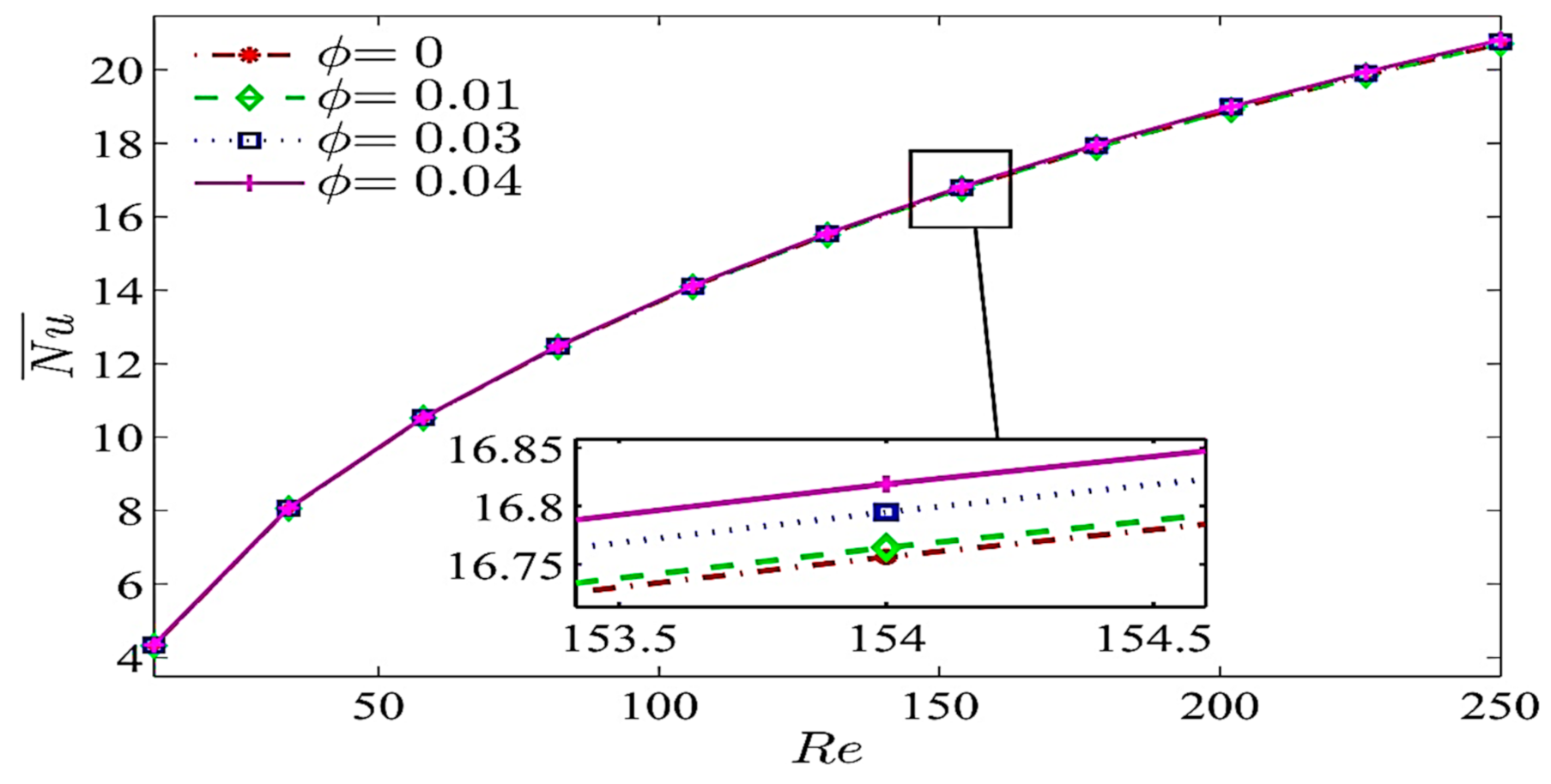
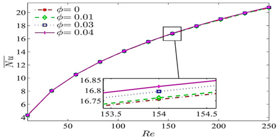
The effect of length (L) on the streamlines and isotherms are shown in Figure 7. It can be seen that the temperature gradient near the bottom wall generally decreases with the increase of length (L). By examining the shapes of the streamlines, increasing the length (L) would decreases the heat transfer rate. Figure 8 shows the local Nusselt number distribution along the hot bottom wall for several R e values. As L rises, the local Nusselt number declines. Refering to Figure 9, it is clear that the velocity U increases with respect to L. Figure 10 shows the local Nusselt number distribution along the hot wall for several R e values. When φ increases, the local Nusselt number increases. As shown in Figure 11, the velocity U decreases with respect to φ . The increase of hybrid nanofluid viscosity will suppress its motion apparently.
Figure 7. Variation of streamlines (left) and isotherms (right) with respect to cavity length L (a) L = 0.5 , (b) L = 1 , (c) L = 1.5 , and (d) L = 2.5 .
Figure 8. Variations of average Nusselt number with respect to R e for different L.
Figure 9. Variations of velocity U with respect to R e for different L.
Figure 10. Variations of average Nusselt number with respect to R e for different φ .
Figure 11. Variations of velocity U with respect to R e for different φ .

6. Conclusions

The purpose of this study is to investigate the mixed convection in a rectangular double lid-driven cavity filled with hybrid nanofluid by employing the finite volume method. The left and right walls are insulated. The bottom wall is kept at high temperature, while the top horizontal wall is kept at low temperature. Both walls slide in certain directions. The effects of R i , moving wall directions, Reynolds number, solid volume fraction, and cavity length on the heat transfer behavior of hybrid nanofluids have been discussed. The increases in R e and volume fraction would increase the heat transfer rate. Employing larger R i would enhance the heat transfer inside the cavity. Additionally, by increasing the cavity length, the local Nusselt number decreases. Furthermore, the convective heat transfer rates of hybrid nanofluids are highly affected by the intensity of particle-fluid interaction.

Author Contributions

Conceptualization, A.I.A.; Data curation, I.R.A.; Formal analysis, I.R.A.; Funding acquisition, R.R.; Investigation, I.R.A., N.A.B. and R.R.; Methodology, I.R.A. and N.A.B.; Project administration, R.R.; Resources, A.I.A.; Software, I.R.A. and N.A.B.; Validation, A.I.A.; Visualization, A.I.A.; Writing—original draft, I.R.A. and R.R.; Writing—review and editing, N.A.B. and R.R. All authors have read and agreed to the published version of the manuscript.

Funding

This research received funding from the Ministry of Higher Education Malaysiaunder Fundamental Research Grant Scheme Vot No. FRGS/1/2019/UTHM/K172 and partially sponsored by Universiti Tun Hussein Onn Malaysia.

Conflicts of Interest

The authors declare no conflict of interest.

Nomenclature

C p = specific heat capacity;
d f = diameter of the base fluid molecule;
d p = diameter of the nanoparticle;
g = gravitational acceleration;
k = thermal conductivity;
k b = Boltzmann’s constant 1.380648 × 10 23 ;
L = side length of enclosure;
G r = Grashof number;
p & P = pressure and dimensionless pressure,
Pr = Prandtl number;
R e = Reynolds number;
R e B = Brownian motion Reynolds number;
R i = Richardson number, R i = G r / R e 2 ;
T = temperature;
T 0 = reference temperature ( 310   K );
T f r = freezing point of the base fluid ( 273.15   K );
v & V = velocity anddimensionless velocity,
u B = Brownian velocity of the nanoparticle; and
x , y & X , Y = space coordinates anddimensionless space coordinates.
Greek symbol
θ = dimensionless temperature;
β = thermal expansion coefficient;
μ = dynamic viscosity;
ν = kinematic viscosity;
ρ = density;
φ = solid volume fraction;
α = thermal diffusivity;
β = Thermal expansion coefficient
Subscript
c = cold;
f = base fluid;
h = hot;
h n f = hybrid nanofluid;
p = solid nanoparticles;
λ = lid-driven direction
b = bottom wall
t = top wall

References

  1. Alsabery, A.I.; Ismael, M.A.; Chamkha, A.J.; Hashim, I. Mixed convection of Al2O3-water nanofluid in a double lid-driven square cavity with a solid inner insert using Buongiorno’s two-phase model. Int. J. Heat Mass Transf. 2018, 119, 939–961. [Google Scholar] [CrossRef]
  2. Shulepova, E.V.; Sheremet, M.A.; Oztop, H.F.; Abu-hamdeh, N. International Journal of Mechanical Sciences Mixed convection of Al2O3–H2O nanoliquid in a square chamber with complicated fin. Int. J. Mech. Sci. 2020, 165, 105192. [Google Scholar] [CrossRef]
  3. Azizul, F.M.; Alsabery, A.I.; Hashim, I. Heatlines visualisation of mixed convection flow in a wavy heated cavity filled with nanofluids and having an inner solid block. Int. J. Mech. Sci. 2020, 175, 105529. [Google Scholar] [CrossRef]
  4. Louaraychi, A.; Lamsaadi, M.; Naïmi, M.; El Harfi, H.; Kaddiri, M.; Raji, A.; Hasnaoui, M. Mixed convection heat transfer correlations in shallow rectangular cavities with single and double-lid driven boundaries. Int. J. Heat Mass Transf. 2019, 132, 394–406. [Google Scholar] [CrossRef]
  5. Goodarzi, M.; Safaei, M.R.; Vafai, K.; Ahmadi, G.; Dahari, M.; Kazi, S.; Jomhari, N. Investigation of nanofluid mixed convection in a shallow cavity using a two-phase mixture model. Int. J. Therm. Sci. 2014, 75, 204–220. [Google Scholar] [CrossRef]
  6. Karimipour, A.; Esfe, M.H.; Safaei, M.R.; Semiromi, D.T.; Jafari, S.; Kazi, S.N. Mixed convection of copper-water nanofluid in a shallow inclined lid driven cavity using the Lattice Boltzmann method. Phys. A Stat. Mech. Its Appl. 2014, 402, 150–168. [Google Scholar] [CrossRef]
  7. Mahmoodi, M. Mixed convection inside nanofluid filled rectangular enclosures with moving bottom wall. Therm. Sci. 2011, 15, 889–903. [Google Scholar] [CrossRef]
  8. Karimipour, A.; Nezhad, A.H.; Behzadmehr, A.; Alikhani, S.; Abedini, E. Periodic mixed convection of a nanofluid in a cavity with top lid sinusoidal motion. Proc. Inst. Mech. Eng. Part C 2011, 225, 2149–2160. [Google Scholar] [CrossRef]
  9. Yaseen, D.T.; Ismael, M.A. Analysis of power law fluid-structure interaction in an open trapezoidal cavity. Int. J. Mech. Sci. 2020, 174, 105481. [Google Scholar] [CrossRef]
  10. Purusothaman, A.; Malekshah, E.H. Lattice Boltzmann modeling of MHD free convection of nanofluid in a V-shaped microelectronic module. Therm. Sci. Eng. Prog. 2019, 10, 186–197. [Google Scholar] [CrossRef]
  11. Sheikholeslami, M. Solidification of NEPCM under the effect of magnetic field in a porous thermal energy storage enclosure using CuO nanoparticles. J. Mol. Liq. 2018, 263, 303–315. [Google Scholar] [CrossRef]
  12. Purusothaman, A. Investigation of natural convection heat transfer performance of the QFN-PCB electronic module by using nanofluid for power electronics cooling applications. Adv. Powder Technol. 2018, 29, 996–1004. [Google Scholar] [CrossRef]
  13. Bahiraei, M. A Comprehensive Review on Different Numerical Approaches for Simulation in Nanofluids: Traditional and Novel Techniques. J. Dispers. Sci. Technol. 2014, 35, 984–996. [Google Scholar] [CrossRef]
  14. Sidik, N.A.C.; Razali, S.A. Lattice Boltzmann method for convective heat transfer of nanofluids—A review. Renew. Sustain. Energy Rev. 2014, 38, 864–875. [Google Scholar] [CrossRef]
  15. Suresh, S.; Venkitaraj, K.P.; Selvakumar, P.; Chandrasekar, M. Synthesis of Al2O3-Cu/water hybrid nanofluids using two step method and its thermo physical properties. Colloids Surf. A Physicochem. Eng. Asp. 2011, 388, 41–48. [Google Scholar] [CrossRef]
  16. Sarkar, J.; Ghosh, P.; Adil, A. A review on hybrid nanofluids: Recent research, development and applications. Renew. Sustain. Energy Rev. 2015, 43, 164–177. [Google Scholar] [CrossRef]
  17. Babu, J.A.R.; Kumar, K.K.; Rao, S.S. State-of-art review on hybrid nanofluids. Renew. Sustain. Energy Rev. 2017, 77, 551–565. [Google Scholar] [CrossRef]
  18. Takabi, B.; Salehi, S. Augmentation of the heat transfer performance of a sinusoidal corrugated enclosure by employing hybrid nanofluid. Adv. Mech. Eng. 2014, 2014, 1–16. [Google Scholar] [CrossRef]
  19. Chamkha, A.J.; Miroshnichenko, I.V.; Sheremet, M.A. Numerical analysis of unsteady conjugate natural convection of hybrid water-based nanofluid in a semicircular cavity. J. Therm. Sci. Eng. Appl. 2017, 9, 041004. [Google Scholar] [CrossRef]
  20. Nine, M.J.; Munkhbayar, B.; Rahman, M.S.; Chung, H.; Jeong, H. Highly productive synthesis process of well dispersed Cu2O and Cu/Cu2O nanoparticles and its thermal characterization. Mater. Chem. Phys. 2013, 141, 636–642. [Google Scholar] [CrossRef]
  21. Jena, P.K.; Brocchi, E.A.; Motta, M.S. In-situ formation of Cu-Al2O3 nano-scale composites by chemical routes and studies on their microstructures. Mater. Sci. Eng. A 2001, 313, 180–186. [Google Scholar] [CrossRef]
  22. Baby, T.T.; Sundara, R. Synthesis and transport properties of metal oxide decorated graphene dispersed nanofluids. J. Phys. Chem. C 2011, 115, 8527–8533. [Google Scholar] [CrossRef]
  23. Zadkhast, M.; Toghraie, D.; Karimipour, A. Developing a new correlation to estimate the thermal conductivity of MWCNT-CuO/water hybrid nanofluid via an experimental investigation. J. Therm. Anal. Calorim. 2017, 129, 859–867. [Google Scholar] [CrossRef]
  24. Esfe, M.H.; Arani, A.A.A.; Rezaie, M.; Yan, W.M.; Karimipour, A. Experimental determination of thermal conductivity and dynamic viscosity of Ag-MgO/water hybrid nanofluid. Int. Commun. Heat Mass Transf. 2015, 66, 189–195. [Google Scholar] [CrossRef]
  25. Alsabery, A.I.; Hashim, I.; Hajjar, A.; Ghalambaz, M.; Nadeem, S.; Pour, M.S. Entropy Generation and Natural Convection Flow of Hybrid Nanofluids in a Partially Divided Wavy Cavity Including Solid Blocks. Energies 2020, 13, 2942. [Google Scholar] [CrossRef]
  26. Corcione, M. Empirical correlating equations for predicting the effective thermal conductivity and dynamic viscosity of nanofluids. Energy Convers. Manag. 2011, 52, 789–793. [Google Scholar] [CrossRef]
  27. Patankar, S.V. Numerical Heat Transfer and Fluid Flow; Hemisphere: Washington, DC, USA, 1980. [Google Scholar]
  28. Ismael, M.A.; Pop, I.; Chamkha, A.J. Mixed convection in a lid-driven square cavity with partial slip. Int. J. Therm. Sci. 2014, 82, 47–61. [Google Scholar] [CrossRef]
  29. Rashad, A.M.; Chamkha, A.J.; Ismael, M.A.; Salah, T. Magnetohydrodynamics Natural Convection in a Triangular Cavity Filled with a Cu-Al2O3/Water Hybrid Nanofluid with Localized Heating from below and Internal Heat Generation. J. Heat Transf. 2018, 140, 072502. [Google Scholar] [CrossRef]
Publisher’s Note: MDPI stays neutral with regard to jurisdictional claims in published maps and institutional affiliations.

Article Metrics

Citations

Article Access Statistics

Multiple requests from the same IP address are counted as one view.