Relation of Superconducting Pairing Symmetry and Non-Magnetic Impurity Effects in Vortex States
Abstract
1. Introduction
2. Formulation
2.1. Eilenberger Theory with Non-Magnetic Impurity Scatterings
2.2. Methods of Numerical Calculations in the Vortex Lattice
3. Impurity Effects in Uniform States
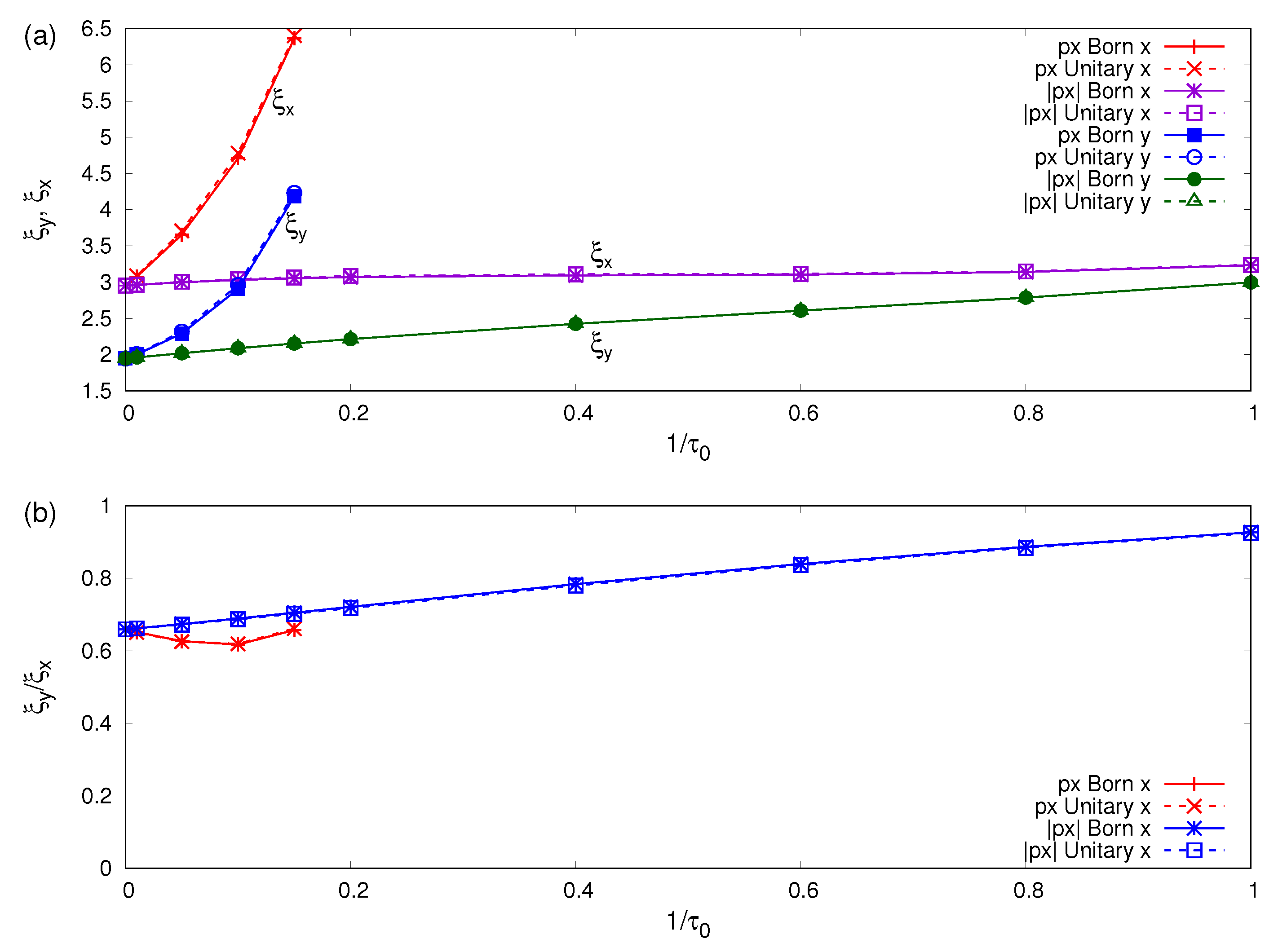
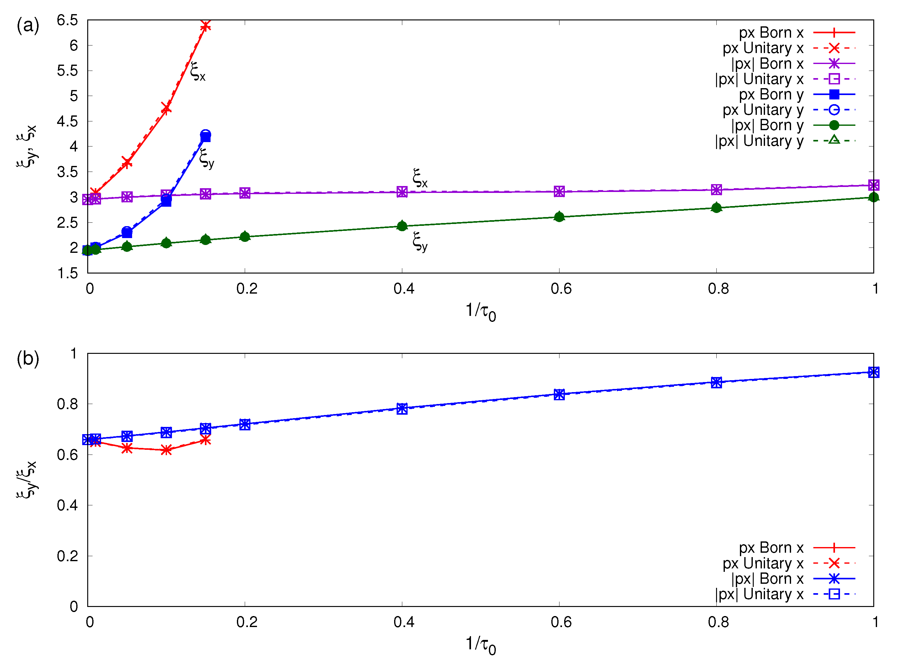
4. Impurity Effects in Vortex States for -Wave Pairing and Anisotropic s-Wave
5. Discussion and Conclusions
Author Contributions
Funding
Conflicts of Interest
References
- Abrikosov, A.A. Fundamentals of the Theory of Metals; Elsevier: New York, NY, USA, 1988; Chapter 18. [Google Scholar]
- de Gennes, P.G. Superconductivity of Metals and Alloys; Benjamin: New York, NY, USA, 1966; Chapter 3. [Google Scholar]
- Fetter, A.L.; Hohenberg, P.C. Theory of Type II Superconductors. In Superconductivity; Parks, R.D., Ed.; Marcel Dekker: New York, NY, USA, 1969; pp. 817–923. [Google Scholar]
- Caroli, C.; de Gennes, P.G.; Matricon, J. Bound Fermion states on a vortex line in a type II superconductor. Phys. Lett. 1964, 9, 307–309. [Google Scholar] [CrossRef]
- Gygi, F.; Schlüter, M. Electronic tunneling into an isolated vortex in a clean type-II superconductor. Phys. Rev. B 1990, 41, 822–825. [Google Scholar] [CrossRef] [PubMed]
- Gygi, F.; Schlüter, M. Self-consistent electronic structure of a vortex line in a type-II superconductor. Phys. Rev. B 1991, 43, 7609–7621. [Google Scholar] [CrossRef] [PubMed]
- Hess, H.F.; Robinson, R.B.; Dynes, R.C.; Valles, J.M.; Waszczak, J.V. Scanning-Tunneling-Microscope Observation of the Abrikosov Flux Lattice and the Density of States near and inside a Fluxoid. Phys. Rev. Lett. 1989, 62, 214–216. [Google Scholar] [CrossRef]
- Hess, H.F.; Robinson, R.B.; Waszczak, J.V. Vortex-Core Structure Observed with a Scanning Tunneling Microscope. Phys. Rev. Lett. 1990, 64, 2711–2714. [Google Scholar] [CrossRef]
- Hess, H.F.; Robinson, R.B.; Waszczak, J.V. Scanning-Tunneling-Microscopy Study of Distortion and Instability of Inclined Flux-Line-Lattice Structures in the Anisotropic Superconductor 2H-NbSe2. Phys. Rev. Lett. 1992, 69, 2138–2141. [Google Scholar] [CrossRef]
- Nishimori, H.; Uchiyama, K.; Kaneko, S.; Tokura, A.; Takeya, H.; Hirata, K.; Nishida, N. First Observation of the Fourfold-symmetric and Quantum Regime Vortex Core in YNi2B2C by Scanning Tunneling Microscopy and Spectroscopy. J. Phys. Soc. Jpn. 2004, 73, 3247–3250. [Google Scholar] [CrossRef]
- Kaneko, S.; Matsuba, K.; Hafiz, M.; Yamasaki, K.; Kalizaki, E.; Nishida, N.; Takeya, H.; Hirata, K.; Kawakami, T.; Mizushima, T.; et al. Quantum Limiting Behaviors of a Vortex Core in an Anisotropic Gap Superconductor. J. Phys. Soc. Jpn. 2012, 81, 063701. [Google Scholar] [CrossRef]
- Eskildsen, M.R.; Kugler, M.; Tanaka, S.; Jun, J.; Kazakov, S.M.; Karpinski, J.; Fischer, Ø. Vortex Imaging in the π Band of Magnesium Diboride. Phys. Rev. Lett. 2002, 89, 187003. [Google Scholar] [CrossRef]
- Wang, W.-L.; Zhang, Y.-M.; Lv, Y.-F.; Ding, H.; Wang, L.; Li, W.; He, K.; Song, C.-L.; Ma, X.-C.; Xue, Q.-K. Anisotropic superconductivity and elongated vortices with unusual bound states in quasi-one-dimensional nickel-bismuth compounds. Phys. Rev. B 2018, 97, 134524. [Google Scholar] [CrossRef]
- Maggio-Aprile, I.; Renner, C.; Erb, A.; Walker, E.; Fischer, Ø. Direct Vortex Lattice Imaging and Tunneling Spectroscopy of Flux Lines on YBa2Cu3O7−δ. Phys. Rev. Lett. 1995, 75, 2754–2757. [Google Scholar] [CrossRef] [PubMed]
- Fischer, Ø.; Kugler, M.; Maggio-Aprile, I.; Berthod, C.; Renner, C. Scanning tunneling spectroscopy of high-temperature superconductors. Rev. Mod. Phys. 2007, 79, 353–419. [Google Scholar] [CrossRef]
- Berthod, C.; Maggio-Aprile, I.; Bruér, J.; Erb, A.; Renner, C. Observation of Caroli-de Gennes-Matricon Vortex States in YBa2Cu3O7−δ. Phys. Rev. Lett. 2017, 119, 237001. [Google Scholar] [CrossRef]
- Renner, C.; Revaz, B.; Kadowaki, K.; Maggio-Aprile, I.; Fischer, Ø. Observation of the Low Temperature Pseudogap in the Vortex Cores of Bi2Sr2CaCu2O8−δ. Phys. Rev. Lett. 1998, 80, 3606–3609. [Google Scholar] [CrossRef]
- Pan, S.H.; Hudson, E.W.; Gupta, A.K.; Ng, K.-W.; Eisaki, H.; Uchida, S.; Davis, J.C. STM Studies of the Electronic Structure of Vortex Cores in Bi2Sr2CaCu2O8−δ. Phys. Rev. Lett. 2000, 85, 1536–1539. [Google Scholar] [CrossRef] [PubMed]
- Yoshizawa, S.; Koseki, T.; Matsuba, K.; Mochiku, T.; Hirata, K.; Nishida, N. High-resolution scanning tunneling spectroscopy of vortex cores in inhomogeneous electronic states of Bi2Sr2CaCu2Ox. J. Phys. Soc. Jpn. 2013, 82, 083706. [Google Scholar] [CrossRef]
- Song, C.-L.; Wang, Y.-L.; Cheng, P.; Jiang, Y.-P.; Li, W.; Zhang, T.; Li, Z.; He, K.; Wang, L.; Jia, J.-F.; et al. Direct Observation of Nodes and Twofold Symmetry in FeSe Superconductor. Science 2011, 332, 1410–1413. [Google Scholar] [CrossRef]
- Watashige, T.; Tsutsumi, Y.; Hanaguri, T.; Kohsaka, Y.; Kasahara, S.; Furusaki, A.; Sigrist, M.; Meingast, C.; Wolf, T.; Löhneysen, H.V.; et al. Evidence for Time-Reversal Symmetry Breaking of the Superconducting State near Twin-Boundary Interfaces in FeSe Revealed by Scanning Tunneling Spectroscopy. Phys. Rev. X 2015, 5, 031022. [Google Scholar] [CrossRef]
- Hanaguri, T.; Kasahara, S.; Böker, J.; Eremin, I.; Shibauchi, T.; Matsuda, Y. Quantum Vortex Core and Missing Pseudogap in the Multiband BCS-BEC Crossover Superconductor FeSe. Phys. Rev. Lett. 2019, 122, 077001. [Google Scholar] [CrossRef]
- Hanaguri, T.; Kitagawa, K.; Matsubayashi, K.; Mazaki, Y.; Uwatoko, Y.; Takagi, H. Scanning tunneling microscopy/spectroscopy of vortices in LiFeAs. Phys. Rev. B 2012, 85, 214505. [Google Scholar] [CrossRef]
- Wang, D.; Kong, L.; Fan, P.; Chen, H.; Zhu, S.; Liu, W.; Cao, L.; Sun, Y.; Du, S.; Schneeloch, J.; et al. Evidence for Majorana bound states in an iron-based superconductor. Science 2018, 362, 333–335. [Google Scholar] [CrossRef] [PubMed]
- Chen, M.; Chen, X.; Yang, H.; Du, Z.; Wen, H.-H. Superconductivity with twofold symmetry in Bi2Te3/FeTe0.55Se0.45 heterostructures. Sci. Adv. 2018, 4, eaat1084. [Google Scholar] [CrossRef] [PubMed]
- Schopohl, N.; Maki, K. Quasiparticle spectrum around a vortex line in a d-wave superconductor. Phys. Rev. B 1995, 52, 490–493. [Google Scholar] [CrossRef]
- Ichioka, M.; Hayashi, N.; Enomoto, N.; Machida, K. Vortex structure in d-wave superconductors. Phys. Rev. B 1996, 53, 15316–15326. [Google Scholar] [CrossRef]
- Ichioka, M.; Hasegawa, A.; Machida, K. Vortex lattice effects on low-energy excitations in d-wave and s-wave superconductors. Phys. Rev. B 1999, 59, 184–187. [Google Scholar] [CrossRef]
- Ichioka, M.; Hasegawa, A.; Machida, K. Field dependence of the vortex structure in d-wave and s-wave superconductors. Phys. Rev. B 1999, 59, 8902–8916. [Google Scholar] [CrossRef]
- Hayashi, N.; Ichioka, M.; Machida, K. Star-Shaped Local Density of States around Vortices in a Type-II Superconductor. Phys. Rev. Lett. 1996, 77, 4074–4077. [Google Scholar] [CrossRef]
- Hayashi, N.; Ichioka, M.; Machida, K. Effects of gap anisotropy upon the electronic structure around a superconducting vortex. Phys. Rev. B 1997, 56, 9052–9063. [Google Scholar] [CrossRef]
- Nagai, Y.; Kato, Y.; Hayashi, N.; Yamauchi, K.; Harima, H. Calculated positions of point nodes in the gap structure of the borocarbide superconductor YNi2B2C. Phys. Rev. B 2007, 76, 214514. [Google Scholar] [CrossRef]
- Anderson, P.W. Theory of dirty superconductors. J. Phys. Chem. Solids 1959, 11, 26–30. [Google Scholar] [CrossRef]
- Abrikosov, A.A.; Gor’kov, L.P. On the Theory of Superconducting Alloys I. The Electrodynamics of Alloys at Absolute Zero. Zh. Eksp. Teor. Fiz. 1958, 35, 1558–1571, [Sov. Phys. JETP 1959, 8, 1090–1098]. [Google Scholar]
- Fulde, P. Effects of Gap Anisotropy in Superconductors Containing Paramagnetic Impurities. Phys. Rev. 1965, 139, A726–A728. [Google Scholar] [CrossRef]
- Yamashita, T.; Takenaka, T.; Tokiwa, Y.; Wilcox, J.A.; Mizukami, Y.; Terazawa, D.; Kasahara, Y.; Kittaka, S.; Sakakibara, T.; Konczykowski, M.; et al. Fully gapped superconductivity with no sign change in the prototypical heavy-fermion CeCu2Si2. Sci. Adv. 2017, 3, e1601667. [Google Scholar] [CrossRef] [PubMed]
- Larkin, A.I. Vector Pairing in Superconductors of Small Dimensions. Pis’ma Zh. Éksp. Teor. Fiz. 1965, 2, 205–209, [JETP Lett. 1965, 2, 130–132]. [Google Scholar]
- Abrikosov, A.A.; Gor’kov, L.P. Contribution to the theory of superconducting alloys with paramagnetic impurities. Zh. Eksp. Teor. Fiz. 1960, 39, 1781–1796, [Sov. Phys. JETP 1961, 12, 1243–1253]. [Google Scholar]
- Balatsky, A.V.; Vekhter, I.; Zhu, J.-X. Impurity-induced states in conventional and unconventional superconductors. Rev. Mod. Phys. 2006, 78, 373–433. [Google Scholar] [CrossRef]
- Ptok, A.; Kapcia, K.J. Probe-type of superconductivity by impurity in materials with short coherence length: The s-wave and η-wave phases study. Supercond. Sci. Technol. 2015, 28, 045022. [Google Scholar] [CrossRef]
- Eilenberger, G. Transformation of Gorkov’s equation for type II superconductors into transport-like equations. Z. Phys. 1968, 214, 195–213. [Google Scholar] [CrossRef]
- Klein, U. Microscopic calculations on the vortex state of type II superconductors. J. Low Temp. Phys. 1987, 69, 1–37. [Google Scholar] [CrossRef]
- Miranović, P.; Ichioka, M.; Machida, K. Effects of nonmagnetic scatterers on the local density of states around a vortex in s-wave superconductors. Phys. Rev. B 2004, 70, 104510. [Google Scholar] [CrossRef]
- Tanaka, K.K.; Ichioka, M.; Nakai, N.; Machida, K. Knight shift spectrum in vortex states in s- and d-wave superconductors on the basis of Eilenberger theory. Phys. Rev. B 2014, 89, 174504. [Google Scholar] [CrossRef]
- Thuneberg, E.V.; Kurkijärvi, J.; Rainer, D. Elementary-flux-pinning potential in type-II superconductors. Phys. Rev. B 1984, 29, 3913–3923. [Google Scholar] [CrossRef]
- Kato, Y. Phase-Sensitive Impurity Effects in Vortex Core of Moderately Clean Chiral Superconductors. J. Phys. Soc. Jpn. 2000, 69, 3378–3386. [Google Scholar] [CrossRef][Green Version]
- Eschrig, M.; Rainer, D.; Sauls, J.A. Vortex Core Structure and Dynamics in Layered Superconductors. In Vortices in Unconventional Superconductors and Superfluids; Huebener, R.P., Schopohl, N., Volovik, G.E., Eds.; Springer: Heidelberg, Germany, 2002; pp. 175–293. [Google Scholar]
- Hayashi, N.; Kato, Y. Elementary vortex pinning potential in a chiral p-wave superconductor. Phys. Rev. B 2002, 66, 132511. [Google Scholar] [CrossRef]
- Hayashi, N.; Kato, Y.; Sigrist, M. Impurity effect on Kramer-Pesch core shrinkage in s-wave vortex and chiral p-wave vortex. J. Low Temp. Phys. 2005, 139, 79–96. [Google Scholar] [CrossRef][Green Version]
- Sauls, J.A.; Eschrig, M. Vortices in chiral, spin-triplet superconductors and superfluids. New J. Phys. 2009, 11, 075008. [Google Scholar] [CrossRef]
- Miranović, P.; Machida, K. Thermodynamics and magnetic field profiles in low-κ type-II superconductors. Phys. Rev. B 2003, 67, 092506. [Google Scholar] [CrossRef]
- Ichioka, M.; Kogan, V.G.; Schmalian, J. Locking of length scales in two-band superconductors. Phys. Rev. B 2017, 95, 064512. [Google Scholar] [CrossRef]
- Hirschfeld, P.J.; Wölfle, P.; Einzel, D. Consequences of resonant impurity scattering in anisotropic superconductors: Thermal and spin relaxation properties. Phys. Rev. B 1988, 37, 83–97. [Google Scholar] [CrossRef]
- Kübert, C.; Hirschfeld, P.J. Vortex contribution to specific heat of dirty d-wave superconductors: Breakdown of scaling. Solid State Commun. 1998, 105, 459–463. [Google Scholar] [CrossRef]
- Hicks, C.W.; Brodsky, D.O.; Yelland, E.A.; Gibbs, A.S.; Bruin, J.A.N.; Barber, M.E.; Edkins, S.D.; Nishimura, K.; Yonezawa, S.; Maeno, Y.; et al. Strong Increase of Tc of Sr2RuO4 Under Both Tensile and Compressive Strain. Science 2014, 344, 283–285. [Google Scholar] [CrossRef] [PubMed]
- Wollman, D.A.; Van Harlingen, D.J.; Lee, W.C.; Ginsberg, D.M.; Leggett, A.J. Experimental Determination of the Superconducting Pairing State in YBCO from the Phase Coherence of YBCO-Pb dc SQUIDs. Phys. Rev. Lett. 1993, 71, 2134–2137. [Google Scholar] [CrossRef] [PubMed]
- Tsuei, C.C.; Kirtley, J.R.; Chi, C.C.; Yu-Jahnes, L.S.; Gupta, A.; Shaw, T.; Sun, J.Z.; Ketchen, M.B. Pairing Symmetry and Flux Quantization in a Tricrystal Superconducting Ring of YBa2Cu3O7−δ. Phys. Rev. Lett. 1994, 73, 593–596. [Google Scholar] [CrossRef] [PubMed]
- An, K.; Sakakibara, T.; Settai, R.; Onuki, Y.; Hiragi, M.; Ichioka, M.; Machida, K. Sign Reversal of Field-Angle Resolved Heat Capacity Oscillations in a Heavy Fermion Superconductor CeCoIn5 and dx2−y2 Pairing Symmetry. Phys. Rev. Lett. 2010, 104, 037002. [Google Scholar] [CrossRef] [PubMed]
- Sakakibara, T.; Yamada, A.; Custers, J.; Yano, K.; Tayama, T.; Aoki, H.; Machida, K. Nodal Structures of Heavy Fermion Superconductors Probed by the Specific-Heat Measurements in Magnetic Fields. J. Phys. Soc. Jpn. 2007, 76, 051004. [Google Scholar] [CrossRef]
- Suzuki, K.M.; Inoue, K.; Miranović, P.; Ichioka, M.; Machida, K. Generic First-Order Orientation Transition of Vortex Lattices in Type II Superconductors. J. Phys. Soc. Jpn. 2010, 79, 013702. [Google Scholar] [CrossRef]










© 2020 by the authors. Licensee MDPI, Basel, Switzerland. This article is an open access article distributed under the terms and conditions of the Creative Commons Attribution (CC BY) license (http://creativecommons.org/licenses/by/4.0/).
Share and Cite
Sera, Y.; Ueda, T.; Adachi, H.; Ichioka, M. Relation of Superconducting Pairing Symmetry and Non-Magnetic Impurity Effects in Vortex States. Symmetry 2020, 12, 175. https://doi.org/10.3390/sym12010175
Sera Y, Ueda T, Adachi H, Ichioka M. Relation of Superconducting Pairing Symmetry and Non-Magnetic Impurity Effects in Vortex States. Symmetry. 2020; 12(1):175. https://doi.org/10.3390/sym12010175
Chicago/Turabian StyleSera, Yasuaki, Takahiro Ueda, Hiroto Adachi, and Masanori Ichioka. 2020. "Relation of Superconducting Pairing Symmetry and Non-Magnetic Impurity Effects in Vortex States" Symmetry 12, no. 1: 175. https://doi.org/10.3390/sym12010175
APA StyleSera, Y., Ueda, T., Adachi, H., & Ichioka, M. (2020). Relation of Superconducting Pairing Symmetry and Non-Magnetic Impurity Effects in Vortex States. Symmetry, 12(1), 175. https://doi.org/10.3390/sym12010175

