Exploring the Utilization of Gradient Information in SIFT Based Local Image Descriptors
Abstract
:1. Introduction
- (1)
 - GM-based descriptors are normalized piecewise to reduce the side effect of substantial intensity variations between corresponding parts of multi-modal images. The normalizing operation is performed in two ways, i.e., descriptor normalization and histogram normalization (Strategies 1 and 2).
 - (2)
 - In the cases in which the values in GM-based descriptors are very small or not noticeable, the values at corresponding dimensions in GO-based descriptors are suppressed, thereby better distinguishing substantial intensity variations between corresponding parts of multi-modal images (Strategy 3).
 - (3)
 - A GM-based descriptor is incremented onto a GO-based descriptor to build a new descriptor which contains two types of gradient information simultaneously (Strategy 4).
 
2. Related Work
2.1. SIFT Based Local Image Descriptors
2.2. Gradient Magnitudes and Gradient Occurrences
2.3. Magnitude and Occurrence of Gradient
3. Proposed Strategies of Weighting GM and GO
3.1. Normalizing GM-Based Descriptors (Strategies 1 and 2)
3.2. Suppressing GO-Based Descriptors (Strategy 3)
3.3. Incrementing GM-Based Descriptor onto GO-Based Descriptor (Strategy 4)
- 1.
 - NGMD: Normalizing a GM-based descriptor by the entire descriptor (Strategy 1);
 - 2.
 - NGMH: Normalizing a GM-based descriptor by each orientation histogram (Strategy 2);
 - 3.
 - SGO: Suppressing a GO-based descriptor by ignoring the corresponding dimensions of small values in the GM-based descriptor (Strategy 3);
 - 4.
 - IMOG: Incrementing a GM-based descriptor onto a GO-based descriptor (Strategy 4).
 
4. Performance Study
4.1. Evaluation Metrics
4.2. Test Datasets
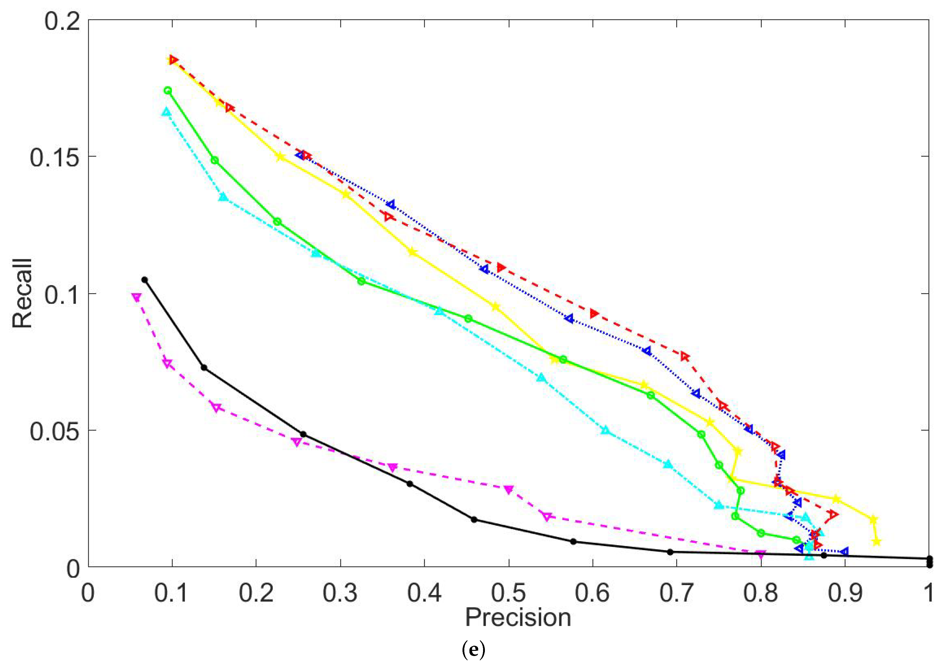
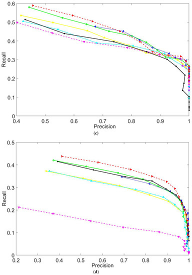
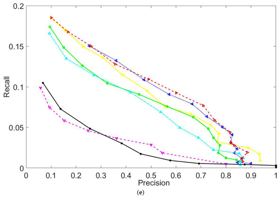
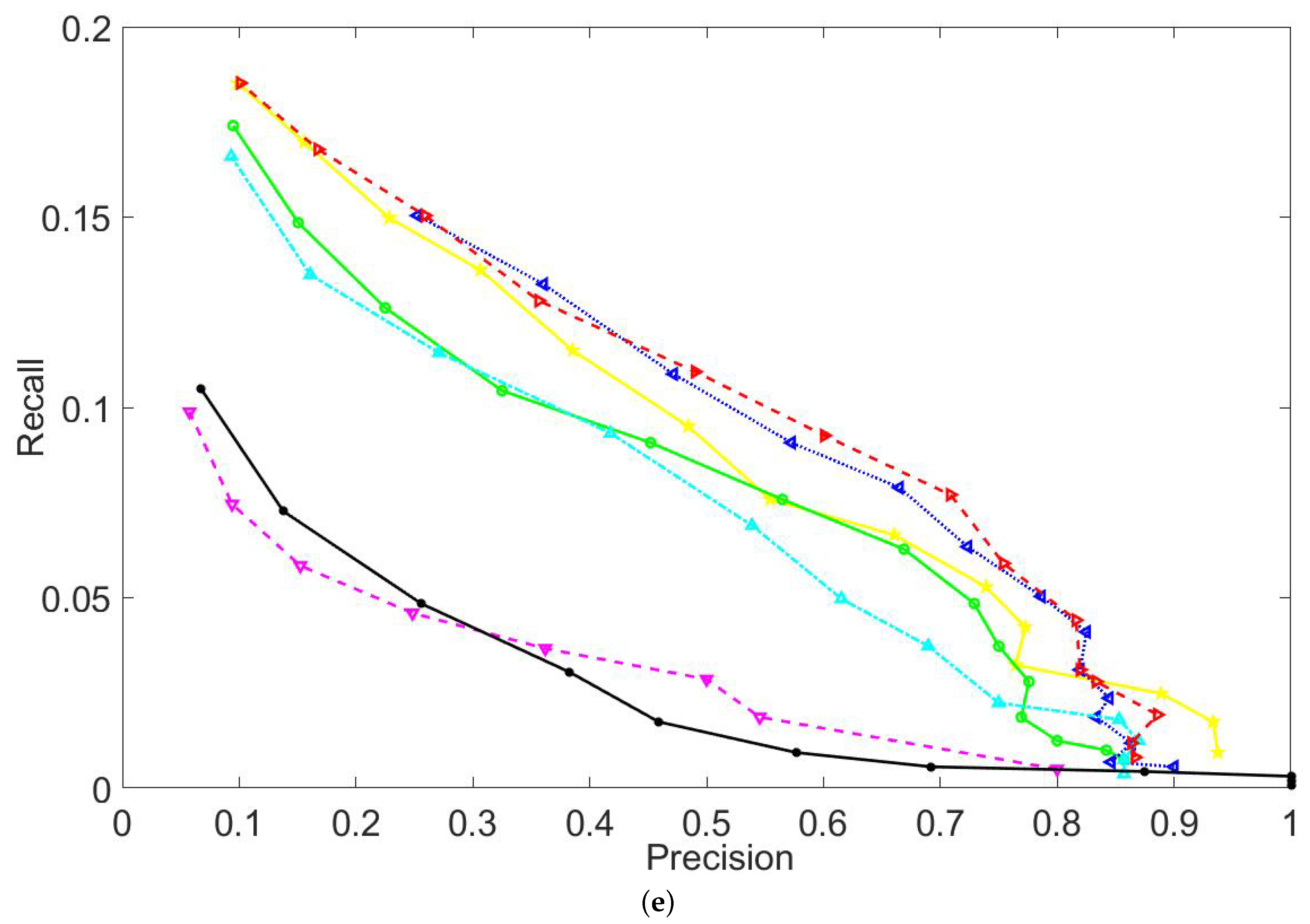
4.3. Experimental Results
4.4. Efficiency Comparison
4.5. Discussions
- (1)
 - From the perspective of building new descriptors, each of the proposed strategies of weighting GM and GO achieves higher accuracy as compared to both GM and GO. Overall, the proposed NGMD that normalizes GM-based descriptors by 16 levels achieves the highest matching accuracy, while excluding MOG. It should be noted that each of the proposed strategies of weighting GM and GO creates new SIFT-like descriptors, whereas MOG only intersects the keypoint matches obtained by GM-based and GO-based descriptors.
 - (2)
 - In terms of recall performance, the proposed IMOG achieves the best recall results, whereas the proposed NGMH obtains the lowest recall performance among the seven compared techniques.
 - (3)
 - With regards to efficiency, MOG is the least efficient one as it builds and matches GM-based and GO-based descriptors individually, and then intersects two sets of keypoint matches. Compared with MOG, the proposed IMOG is more efficient in that it only increments GM-based descriptors onto GO-based descriptors, thereby doubling the dimensionality of descriptors. The other compared techniques take comparable runtime, and are far more efficient as compared to MOG and IMOG.
 
5. Conclusions
Author Contributions
Funding
Conflicts of Interest
References
- Mikolajczyk, K.; Tuytelaars, T. Local image features. Encycl. Biom. 2009, 939–943. [Google Scholar] [CrossRef]
 - Lowe, D.G. Distinctive image features from scale-invariant keypoints. Int. J. Comput. Vis. 2004, 60, 91–110. [Google Scholar] [CrossRef]
 - Dubey, S.R.; Singh, S.K.; Singh, R.K. Local wavelet pattern: A new feature descriptor for image retrieval in medical CT databases. IEEE Trans. Image Process. 2015, 24, 5892–5903. [Google Scholar] [CrossRef] [PubMed]
 - Lv, G. “ℓmp: A novel similarity measure for matching local image descriptors. IEEE Access 2018, 6, 55315–55325. [Google Scholar] [CrossRef]
 - Lv, G. A novel correspondence selection technique for affine rigid image registration. IEEE Access 2018, 6, 32023–32034. [Google Scholar] [CrossRef]
 - Lv, G.; Teng, S.W.; Lu, G. Enhancing image registration performance by incorporating distribution and spatial distance of local descriptors. Pattern Recognit. Lett. 2018, 103, 46–52. [Google Scholar] [CrossRef]
 - Lv, G.; Teng, S.W.; Lu, G. COREG: A corner based registration technique for multimodal images. Multimed. Tools Appl. 2018, 77, 12607–12634. [Google Scholar] [CrossRef]
 - Lv, G.; Teng, S.W.; Lu, G. Enhancing SIFT-based image registration performance by building and selecting highly discriminating descriptors. Pattern Recognit. Lett. 2016, 84, 156–162. [Google Scholar] [CrossRef]
 - Zitova, B.; Flusser, J. Image registration methods: A survey. Image Vis. Comput. 2003, 21, 977–1000. [Google Scholar] [CrossRef]
 - Oliveira, F.P.; Tavares, J.M.R. Medical image registration: A review. Comput. Methods Biomech. Biomed. Eng. 2014, 17, 73–93. [Google Scholar] [CrossRef]
 - Lv, G. Self-Similarity and symmetry with SIFT for multi-modal image registration. IEEE Access 2019, 7, 52202–52213. [Google Scholar] [CrossRef]
 - Ma, J.; Jiang, J.; Zhou, H.; Zhao, J.; Guo, X. Guided locality preserving feature matching for remote sensing image registration. IEEE Trans. Geosci. Remote Sens. 2018, 56, 4435–4447. [Google Scholar] [CrossRef]
 - Fu, Z.; Qin, Q.; Luo, B.; Sun, H.; Wu, C. HOMPC: A local feature descriptor based on the combination of magnitude and phase congruency information for multi-sensor remote sensing images. Remote Sens. 2018, 10, 1234. [Google Scholar] [CrossRef]
 - Lv, G. Robust and Effective Techniques for Multi-Modal Image Registration. Ph.D. Thesis, Monash University, Melbourne, VIC, Australia, 2015. [Google Scholar]
 - Yang, K.; Pan, A.; Yang, Y.; Zhang, S.; Ong, S.; Tang, H. Remote sensing image registration using multiple image features. Remote Sens. 2017, 9, 581. [Google Scholar] [CrossRef]
 - Hossain, M.T. An Effective Technique for Multi-Modal Image Registration. Ph.D. Thesis, Monash University, Melbourne, VIC, Australia, 2012. [Google Scholar]
 - Han, X.H.; Chen, Y.W.; Xu, G. High-order statistics of weber local descriptors for image representation. IEEE Trans. Cybern. 2015, 45, 1180–1193. [Google Scholar] [CrossRef] [PubMed]
 - Mandal, B.; Wang, Z.; Li, L.; Kassim, A.A. Performance evaluation of local descriptors and distance measures on benchmarks and first-person-view videos for face identification. Neurocomputing 2016, 184, 107–116. [Google Scholar] [CrossRef]
 - Turan, C.; Lam, K.M. Histogram-based local descriptors for facial expression recognition (FER): A comprehensive study. J. Vis. Commun. Image Represent. 2018, 55, 331–341. [Google Scholar] [CrossRef]
 - Mikolajczyk, K.; Schmid, C. A performance evaluation of local descriptors. IEEE Trans. Pattern Anal. Mach. Intell. 2005, 27, 1615–1630. [Google Scholar] [CrossRef]
 - Kelman, A.; Sofka, M.; Stewart, C.V. Keypoints descriptors for matching across multiple image modalities and non-linear intensity variations. In Proceedings of the 2007 IEEE Conference on Computer Vision and Pattern Recognition, Minneapolis, MN, USA, 17–22 June 2007; pp. 1–7. [Google Scholar]
 - Chen, J.; Tian, J. Real-time multi-modal rigid registration based on a novel symmetric-SIFT descriptor. Prog. Nat. Sci. 2009, 19, 643–651. [Google Scholar] [CrossRef]
 - Chen, J.; Tian, J.; Lee, N.; Zheng, J.; Smith, R.T.; Laine, A.F. A partial intensity invariant feature descriptor for multimodal retinal image registration. IEEE Trans. Biomed. Eng. 2010, 57, 1707–1718. [Google Scholar] [CrossRef]
 - Ghassabi, Z.; Shanbehzadeh, J.; Sedaghat, A.; Fatemizadeh, E. An efficient approach for robust multimodal retinal image registration based on UR-SIFT features and PIIFD descriptors. EURASIP J. Image Video Process. 2013, 1, 1–16. [Google Scholar] [CrossRef]
 - Saleem, S.; Sablatnig, R. A robust SIFT descriptor for multispectral images. IEEE Signal Process. Lett. 2014, 21, 400–403. [Google Scholar] [CrossRef]
 - Teng, S.W.; Hossain, M.T.; Lu, G. Multimodal image registration technique based on improved local feature descriptors. J. Electron. Imaging 2015, 24, 013013-1–013013-17. [Google Scholar] [CrossRef]
 - Zhang, S.; Tian, Q.; Lu, K.; Huang, Q.; Gao, W. Edge-SIFT: Discriminative binary descriptor for scalable partial-duplicate mobile search. IEEE Trans. Image Process. 2013, 22, 2889–2902. [Google Scholar] [CrossRef]
 - Ma, W.; Wen, Z.; Wu, Y.; Jiao, L.; Gong, M.; Zheng, Y.; Liu, L. Remote sensing image registration with modified SIFT and enhanced feature matching. IEEE Geosci. Remote Sens. Lett. 2017, 14, 3–7. [Google Scholar] [CrossRef]
 - Li, Y.; Stevenson, R.L. Incorporating global information in feature-based multimodal image registration. J. Electron. Imaging 2014, 23, 023013. [Google Scholar] [CrossRef]
 - Heinrich, M.P.; Jenkinson, M.; Bhushan, M.; Matin, T.; Gleeson, F.V.; Brady, M.; Schnabel, J.A. MIND: Modality independent neighbourhood descriptor for multi-modal deformable registration. Med. Image Anal. 2012, 16, 1423–1435. [Google Scholar] [CrossRef]
 - Addison Lee, J.; Cheng, J.; Hai Lee, B.; Ping Ong, E.; Xu, G.; Wing Kee Wong, D.; Liu, J.; Laude, A.; Han Lim, T. A low-dimensional step pattern analysis algorithm with application to multimodal retinal image registration. In Proceedings of the 28th IEEE Conference on Computer Vision and Pattern Recognition, Boston, MA, USA, 7–12 June 2015; pp. 1046–1053. [Google Scholar]
 - Hossain, M.T.; Teng, S.W.; Lu, G.; Lackmann, M. An enhancement to SIFT-Based techniques for image registration. In Proceedings of the 2010 International Conference on Digital Image Computing: Techniques and Applications, Sydney, NSW, Australia, 1–3 December 2010; pp. 166–171. [Google Scholar]
 - Bay, H.; Ess, A.; Tuytelaars, T.; Van Gool, L. Speeded-up robust features (SURF). Comput. Vis. Image Underst. 2008, 110, 346–359. [Google Scholar] [CrossRef]
 - Morel, J.M.; Yu, G. ASIFT: A new framework for fully affine invariant image comparison. SIAM J. Imaging Sci. 2009, 2, 438–469. [Google Scholar] [CrossRef]
 - Liu, C.; Yuen, J.; Torralba, A. SIFT Flow: Dense correspondence across scenes and its applications. IEEE Trans. Pattern Anal. Mach. Intell. 2011, 33, 978–994. [Google Scholar] [CrossRef]
 - Hossain, M.T.; Lv, G.; Teng, S.W.; Lu, G.; Lackmann, M. Improved symmetric-SIFT for multi-modal image registration. In Proceedings of the 2011 International Conference on Digital Image Computing: Techniques and Applications, Noosa, QLD, Australia, 6–8 December 2011; pp. 197–202. [Google Scholar]
 - Wachinger, C.; Navab, N. Entropy and laplacian images: Structural representations for multi-modal registration. Med. Image Anal. 2012, 16, 1–17. [Google Scholar] [CrossRef]
 - Levi, G.; Hassner, T. LATCH: Learned arrangements of three patch codes. In Proceedings of the 2016 IEEE Winter Conference on Applications of Computer Vision (WACV), Lake Placid, NY, USA, 7–10 March 2016; pp. 1–9. [Google Scholar]
 - Fan, J.; Wu, Y.; Wang, F.; Zhang, P.; Li, M. New point matching algorithm using sparse representation of image patch feature for SAR image registration. IEEE Trans. Geosci. Remote Sens. 2017, 55, 1498–1510. [Google Scholar] [CrossRef]
 - Yang, G.; Stewart, C.V.; Sofka, M.; Tsai, C.L. Registration of challenging image pairs: Initialization, estimation, and decision. IEEE Trans. Pattern Anal. Machine Intell. 2007, 29, 1973–1989. [Google Scholar] [CrossRef]
 - Kim, Y.S.; Lee, J.H.; Ra, J.B. Multi-sensor image registration based on intensity and edge orientation information. Pattern Recognit. 2008, 41, 3356–3365. [Google Scholar] [CrossRef]
 - Fredembach, C.; Susstrunk, S. Illuminant estimation and detection using near infrared. In Proceedings of the Digital Photography V, IS&T-SPIE Electronic Imaging Symposium, San Jose, CA, USA, 19 January 2009; p. 72500E. [Google Scholar]
 - Hauagge, D.C.; Snavely, N. Image matching using local symmetry features. In Proceedings of the 2012 IEEE Conference on Computer Vision and Pattern Recognition, Providence, RI, USA, 16–21 June 2012; pp. 206–213. [Google Scholar]
 













| GM Ranking Zone | Normalized GM | 
|---|---|
| (75%, 100%] | 1 | 
| (50%, 75%] | 0.75 | 
| (25%, 50%] | 0.50 | 
| [0, 25%] | 0.25 | 
| Technique | Dataset 1 | Dataset 2 | Dataset 3 | Dataset 4 | Dataset 5 | Overall | 
|---|---|---|---|---|---|---|
| GM | 86.86% | 86.32% | 87.19% | 79.57% | 32.73% | 74.53% | 
| GO | 91.18% | 90.75% | 92.93% | 82.47% | 39.53% | 79.37% | 
| MOG | 95.70% | 95.89% | 94.49% | 87.71% | 55.75% | 85.91% | 
| NGMD (4 levels) | 93.67% | 93.39% | 95.86% | 81.97% | 46.95% | 82.37% | 
| NGMD (8 levels) | 94.04% | 90.85% | 91.60% | 83.53% | 46.52% | 81.31% | 
| NGMD (16 levels) | 94.66% | 95.46% | 95.42% | 87.98% | 49.99% | 84.70% | 
| NGMH | 95.14% | 95.69% | 93.49% | 78.30% | 36.90% | 79.90% | 
| SGO | 92.29% | 92.54% | 94.61% | 83.47% | 44.14% | 81.41% | 
| IMOG | 90.95% | 90.78% | 91.95% | 83.30% | 40.70% | 79.54% | 
| Technique | Dataset 1 | Dataset 2 | Dataset 3 | Dataset 4 | Dataset 5 | Overall | 
|---|---|---|---|---|---|---|
| GM | 1.87 | 0.71 | 0.64 | 2.37 | 1.12 | 6.71 | 
| GO | 1.87 | 0.83 | 0.96 | 1.91 | 1.06 | 6.62 | 
| MOG | 1.99 | 0.83 | 0.83 | 2.39 | 0.90 | 6.95 | 
| NGMD (4 levels) | 1.09 | 0.64 | 0.52 | 2.09 | 1.11 | 5.45 | 
| NGMD (8 levels) | 1.78 | 0.68 | 0.66 | 2.22 | 1.20 | 6.54 | 
| NGMD (16 levels) | 1.80 | 0.76 | 0.71 | 2.27 | 1.15 | 6.70 | 
| NGMH | 1.78 | 0.73 | 0.71 | 1.02 | 0.64 | 4.88 | 
| SGO | 1.30 | 0.71 | 0.76 | 2.35 | 0.49 | 5.61 | 
| IMOG | 2.00 | 0.79 | 0.85 | 2.60 | 1.14 | 7.38 | 
© 2019 by the authors. Licensee MDPI, Basel, Switzerland. This article is an open access article distributed under the terms and conditions of the Creative Commons Attribution (CC BY) license (http://creativecommons.org/licenses/by/4.0/).
Share and Cite
Dong, G.; Yan, H.; Lv, G.; Dong, X. Exploring the Utilization of Gradient Information in SIFT Based Local Image Descriptors. Symmetry 2019, 11, 998. https://doi.org/10.3390/sym11080998
Dong G, Yan H, Lv G, Dong X. Exploring the Utilization of Gradient Information in SIFT Based Local Image Descriptors. Symmetry. 2019; 11(8):998. https://doi.org/10.3390/sym11080998
Chicago/Turabian StyleDong, Guangyao, Han Yan, Guohua Lv, and Xiangjun Dong. 2019. "Exploring the Utilization of Gradient Information in SIFT Based Local Image Descriptors" Symmetry 11, no. 8: 998. https://doi.org/10.3390/sym11080998
APA StyleDong, G., Yan, H., Lv, G., & Dong, X. (2019). Exploring the Utilization of Gradient Information in SIFT Based Local Image Descriptors. Symmetry, 11(8), 998. https://doi.org/10.3390/sym11080998
        