CMB Tensions with Low-Redshift H0 and S8 Measurements: Impact of a Redshift-Dependent Type-Ia Supernovae Intrinsic Luminosity
Abstract
1. Introduction
2. Cosmological Probes
2.1. Cosmic Microwave Background
2.2. Type-Ia Supernovae
2.2.1. Standard Analysis
2.2.2. Redshift-Dependent Systematic Effects
Luminosity Dependence on the Star Formation Rate
Luminosity Dependence on Metallicity
2.3. Baryon Acoustic Oscillations
3. Methodology
- CDM where equation of state (EoS) parameter of the dark energy component is .
- wCDM with an EoS still constant like in the previous case, but with w free to assume values different from the CDM limit.
- CDM, a general case in which the EoS is binned in redshift and reconstructed using a smoothed step function, following the approach of [96]. This choice allows the exploration in a general way of the expansion history preferred by the data. Here we limit ourselves to the exploration of low-redshift dark energy effects, thus we divide the function in 4 redshift bins, with ; note that in [96] the binning choice was motivated by the use of theoretical priors, enforcing a correlation between the values of at different redshifts. Here we do not make use of such priors, and we lower the number of redshift bins for computational purposes, limiting our analysis to the redshift range of interest for SNIa data.The function is therefore reconstructed using the values and errors of the parameters in each bin found by our analysis, with the assumption that after the last bin in redshift, the EoS stays constant in the past, i.e., . We note that this reconstruction method leads to equivalent results as the ones that can be obtained using Gaussian Processes, as it was shown in [96].
- SFR systematics: in this case we sample the parameters K, and , using a Gaussian prior on the first two, with mean and for K, and mean and for , while for we use a flat prior with range .
- metallicity systematics: for this systematics model, the additional parameters are y and R, both sampled with a Gaussian prior centered in and , and set to and respectively.
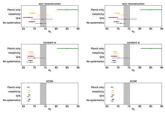
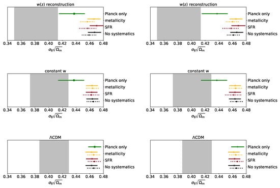
4. Results
4.1. Standard SNIa Analysis
4.2. SNIa Luminosity Dependence on the Local Star Formation Rate
4.3. SNIa Luminosity Dependence on the Local Metallicity
5. Discussion: Generalized Expansion History and the High–Low-Redshift Tensions
6. Conclusions
Author Contributions
Funding
Acknowledgments
Conflicts of Interest
Appendix A. Constraints on Cosmological Parameters
| Parameter | Dark Energy Case | Planck + JLA | Planck + JLA + BAO | Planck + Pantheon | Planck + Pantheon + BAO |
|---|---|---|---|---|---|
| ΛCDM | |||||
| wCDM | |||||
| CDM | |||||
| ΛCDM | |||||
| wCDM | |||||
| CDM | |||||
| ΛCDM | |||||
| wCDM | |||||
| CDM | |||||
| ΛCDM | |||||
| wCDM | |||||
| CDM | |||||
| ΛCDM | |||||
| wCDM | |||||
| CDM | |||||
| ΛCDM | − | − | − | − | |
| wCDM | |||||
| CDM | |||||
| ΛCDM | − | − | − | − | |
| wCDM | − | − | − | − | |
| CDM | |||||
| ΛCDM | − | − | − | − | |
| wCDM | − | − | − | − | |
| CDM | |||||
| ΛCDM | − | − | − | − | |
| wCDM | − | − | − | − | |
| CDM | |||||
| ΛCDM | |||||
| wCDM | |||||
| CDM | |||||
| ΛCDM | |||||
| wCDM | |||||
| CDM |
| Parameter | Dark Energy Case | Planck + JLA | Planck + JLA + BAO | Planck + Pantheon | Planck + Pantheon + BAO |
|---|---|---|---|---|---|
| ΛCDM | |||||
| wCDM | |||||
| CDM | |||||
| ΛCDM | |||||
| wCDM | |||||
| CDM | |||||
| ΛCDM | |||||
| wCDM | |||||
| CDM | |||||
| ΛCDM | |||||
| wCDM | |||||
| CDM | |||||
| ΛCDM | |||||
| wCDM | |||||
| CDM | |||||
| ΛCDM | − | − | − | − | |
| wCDM | |||||
| CDM | |||||
| ΛCDM | − | − | − | − | |
| wCDM | − | − | − | − | |
| CDM | |||||
| ΛCDM | − | − | − | − | |
| wCDM | − | − | − | − | |
| CDM | |||||
| ΛCDM | − | − | − | − | |
| wCDM | − | − | − | − | |
| CDM | |||||
| ΛCDM | |||||
| wCDM | |||||
| CDM | |||||
| ΛCDM | |||||
| wCDM | |||||
| CDM | |||||
| ΛCDM | |||||
| K | wCDM | ||||
| CDM | |||||
| ΛCDM | |||||
| wCDM | |||||
| CDM | |||||
| ΛCDM | |||||
| wCDM | unconstrained | ||||
| CDM | unconstrained | unconstrained |
| Parameter | Dark Energy Case | Planck + JLA | Planck + JLA + BAO | Planck + Pantheon | Planck + Pantheon + BAO |
|---|---|---|---|---|---|
| ΛCDM | |||||
| wCDM | |||||
| CDM | |||||
| ΛCDM | |||||
| wCDM | |||||
| CDM | |||||
| ΛCDM | |||||
| wCDM | |||||
| CDM | |||||
| ΛCDM | |||||
| wCDM | |||||
| CDM | |||||
| ΛCDM | |||||
| wCDM | |||||
| CDM | |||||
| ΛCDM | − | − | − | − | |
| wCDM | |||||
| CDM | |||||
| ΛCDM | − | − | − | − | |
| wCDM | − | − | − | − | |
| CDM | |||||
| ΛCDM | − | − | − | − | |
| wCDM | − | − | − | − | |
| CDM | |||||
| ΛCDM | − | − | − | − | |
| wCDM | − | − | − | − | |
| CDM | |||||
| ΛCDM | |||||
| wCDM | |||||
| CDM | |||||
| ΛCDM | |||||
| wCDM | |||||
| CDM | |||||
| ΛCDM | |||||
| y | wCDM | ||||
| CDM | |||||
| ΛCDM | |||||
| R | wCDM | ||||
| CDM |
References
- Hubble, E. A relation between distance and radial velocity among extra-galactic nebulae. Proc. Natl. Acad. Sci. USA 1929, 15, 168–173. [Google Scholar] [CrossRef] [PubMed]
- Lemaître, G. Un Univers homogène de masse constante et de rayon croissant rendant compte de la vitesse radiale des nébuleuses extra-galactiques. Ann. Soc. Sci. Bruxelles 1927, 47, 49–59. [Google Scholar]
- Gott, J.R., III; Vogeley, M.S.; Podariu, S.; Podariu, B. Median Statistics, H0, and the Accelerating Universe. Astrophys. J. 2001, 549, 1–17. [Google Scholar] [CrossRef]
- Chen, G.; Gott, J.R., III; Ratra, B. Non-Gaussian Error Distribution of Hubble Constant Measurements. Publ. Astron. Soc. Pac. 2003, 115, 1269–1279. [Google Scholar] [CrossRef]
- Chen, G.; Ratra, B. Median Statistics and the Hubble Constant. Publ. Astron. Soc. Pac. 2011, 123, 1127–1132. [Google Scholar] [CrossRef]
- Chen, Y.; Kumar, S.; Ratra, B. Determining the Hubble constant from Hubble parameter measurements. Astrophys. J. 2017, 835, 86. [Google Scholar] [CrossRef]
- Yu, H.; Ratra, B.; Wang, F.Y. Hubble Parameter and Baryon Acoustic Oscillation Measurement Constraints on the Hubble Constant, the Deviation from the Spatially Flat ΛCDM Model, the Deceleration–Acceleration Transition Redshift, and Spatial Curvature. Astrophys. J. 2018, 856, 3. [Google Scholar] [CrossRef]
- Haridasu, B.S.; Luković, V.V.; Moresco, M.; Vittorio, N. An improved model-independent assessment of the late-time cosmic expansion. J. Cosmol. Astropart. Phys. 2018, 10, 015. [Google Scholar] [CrossRef]
- Riess, A.G.; Macri, L.M.; Hoffmann, S.L.; Scolnic, D.; Casertano, S.; Filippenko, A.V.; Tucker, B.E.; Reid, M.J.; Jones, D.O.; Silverman, J.M. A 2.4% Determination of the Local Value of the Hubble Constant. Astrophys. J. 2016, 826, 56. [Google Scholar] [CrossRef]
- Riess, A.G.; Casertano, S.; Yuan, W.; Macri, L.M.; Scolnic, D. Large Magellanic Cloud Cepheid Standards Provide a 1% Foundation for the Determination of the Hubble Constant and Stronger Evidence for Physics Beyond ΛCDM. Astrophys. J. 2019, 876, 85. [Google Scholar] [CrossRef]
- Riess, A.G.; Casertano, S.; Kenworthy, D.; Scolnic, D.; Macri, L. Seven Problems with the Claims Related to the Hubble Tension in arXiv:1810.02595. arXiv 2018, arXiv:1810.03526. [Google Scholar]
- Riess, A.G.; Casertano, S.; Yuan, W.; Macri, L.; Anderson, J.; MacKenty, J.W.; Bowers, J.B.; Clubb, K.I.; Filippenko, A.W.; Jones, D.O. New Parallaxes of Galactic Cepheids from Spatially Scanning the Hubble Space Telescope: Implications for the Hubble Constant. Astrophys. J. 2018, 855, 136. [Google Scholar] [CrossRef]
- Riess, A.G.; Casertano, S.; Yuan, W.; Macri, L.; Bucciarelli, B.; Lattanzi, M.G.; MacKenty, J.W.; Bowers, J.B.; Zheng, W.; Filippenko, A.V.; et al. Milky Way Cepheid Standards for Measuring Cosmic Distances and Application to Gaia DR2: Implications for the Hubble Constant. Astrophys. J. 2018, 861, 126. [Google Scholar] [CrossRef]
- Rigault, M.; Aldering, G.; Kowalski, M.; Copin, Y.; Antilogus, P.; Aragon, C.; Bailey, S.; Baltay, C.; Baugh, D.; Bongard, S.; et al. Confirmation of a star formation bias in type Ia supernovae distances and its effect on the measurement of the Hubble constant. Astrophys. J. 2015, 802, 20. [Google Scholar] [CrossRef]
- Rigault, M.; Brinnel, V.; Aldering, G.; Antilogus, P.; Aragon, C.; Bailey, S.; Baltay, C.; Barbary, K.; Bongard, S.; Boone, K.; et al. Strong Dependence of Type Ia Supernova Standardization on the Local Specific Star Formation Rate. arXiv 2018, arXiv:1806.03849. [Google Scholar]
- Shanks, T.; Hogarth, L.M.; Metcalfe, N. Gaia Cepheid parallaxes and ’Local Hole’ relieve H0 tension. Mon. Not. R. Astron. Soc. Lett. 2018, 484, L64–L68. [Google Scholar] [CrossRef]
- Shanks, T.; Hogarth, L.; Metcalfe, N. $H_0$ Tension: Response to Riess et al arXiv:1810.03526. arXiv 2018, arXiv:1810.07628. [Google Scholar]
- Birrer, S.; Treu, T.; Rusu, C.E.; Bonvin, V.; Fassnacht, C.D.; Chan, J.H.H.; Agnello, A.; Shajib, A.J.; Chen, G.C.F.; Auger, M.; et al. H0LiCOW - IX. Cosmographic analysis of the doubly imaged quasar SDSS 1206 + 4332 and a new measurement of the Hubble constant. Mon. Not. R. Astron. Soc. Lett. 2019, 484, 4726–4753. [Google Scholar] [CrossRef]
- Planck Collaboration. Planck 2018 results. VI. Cosmological parameters. arXiv 2018, arXiv:1807.06209. [Google Scholar]
- Aubourg, É.; Bailey, S.; Bautista, J.E.; Beutler, F.; Bhardwaj, V.; Bizyaev, D.; Blanton, M.; Blomqvist, M.; Bolton, A.S.; Bovy, J.; et al. Cosmological implications of baryon acoustic oscillation measurements. Phys. Rev. D 2015, 92, 123516. [Google Scholar] [CrossRef]
- Gómez-Valent, A.; Amendola, L. H0 from cosmic chronometers and Type Ia supernovae, with Gaussian Processes and the novel Weighted Polynomial Regression method. J. Cosmol. Astropart. Phys. 2018, 4, 051. [Google Scholar] [CrossRef]
- Mörtsell, E.; Dhawan, S. Does the Hubble constant tension call for new physics? J. Cosmol. Astropart. Phys. 2018, 09, 025. [Google Scholar] [CrossRef]
- Ben-Dayan, I.; Durrer, R.; Marozzi, G.; Schwarz, D.J. Value of H(0) in the inhomogeneous universe. Phys. Rev. Lett. 2014, 112, 221301. [Google Scholar] [CrossRef] [PubMed]
- Di Valentino, E.; Melchiorri, A.; Silk, J. Reconciling Planck with the local value of H0 in extended parameter space. Phys. Lett. B 2016, 761, 242–246. [Google Scholar] [CrossRef]
- Di Valentino, E.; Melchiorri, A.; Mena, O. Can interacting dark energy solve the H0 tension? Phys. Rev. D 2017, 96, 043503. [Google Scholar] [CrossRef]
- Di Valentino, E.; Bœhm, C.; Hivon, E.; Bouchet, F.R. Reducing the H0 and σ8 tensions with Dark Matter-neutrino interactions. Phys. Rev. D 2018, 97, 043513. [Google Scholar] [CrossRef]
- Di Valentino, E.; Melchiorri, A.; Linder, E.V.; Silk, J. Constraining Dark Energy Dynamics in Extended Parameter Space. Phys. Rev. D 2017, 96, 023523. [Google Scholar] [CrossRef]
- Di Valentino, E.; Linder, E.V.; Melchiorri, A. Vacuum Phase Transition Solves H0 Tension. Phys. Rev. D 2018, 97, 043528. [Google Scholar] [CrossRef]
- Keeley, R.E.; Joudaki, S.; Kaplinghat, M.; Kirkby, D. Implications of a transition in the dark energy equation of state for the H0 and σ8 tensions. arXiv 2019, arXiv:1905.10198. [Google Scholar]
- Khosravi, N.; Baghram, S.; Afshordi, N.; Altamirano, N. H0 tension as a hint for a transition in gravitational theory. Phys. Rev. D 2019, 99, 103526. [Google Scholar] [CrossRef]
- Banihashemi, A.; Khosravi, N.; Shirazi, A.H. Ginzburg-Landau Theory of Dark Energy: A Framework to Study Both Temporal and Spatial Cosmological Tensions Simultaneously. Phys. Rev. D 2019, 99, 083509. [Google Scholar] [CrossRef]
- Poulin, V.; Smith, T.L.; Karwal, T.; Kamionkowski, M. Early Dark Energy Can Resolve The Hubble Tension. Phys. Rev. Lett. 2019, 122, 221301. [Google Scholar] [CrossRef] [PubMed]
- Poulin, V.; Boddy, K.K.; Bird, S.; Kamionkowski, M. Implications of an extended dark energy cosmology with massive neutrinos for cosmological tensions. Phys. Rev. D 2018, 97, 123504. [Google Scholar] [CrossRef]
- Blinov, N.; Kelly, K.J.; Krnjaic, G.; McDermott, S.D. Constraining the Self-Interacting Neutrino Interpretation of the Hubble Tension. arXiv 2019, arXiv:1905.02727. [Google Scholar]
- Adhikari, S.; Huterer, D. Super-CMB fluctuations can resolve the Hubble tension. arXiv 2019, arXiv:1905.02278. [Google Scholar]
- Alexander, S.; McDonough, E. Axion-Dilaton Destabilization and the Hubble Tension. arXiv 2019, arXiv:1904.08912. [Google Scholar]
- Lin, M.-X.; Benevento, G.; Hu, W.; Raveri, M. Acoustic Dark Energy: Potential Conversion of the Hubble Tension. arXiv 2019, arXiv:1905.12618. [Google Scholar]
- Yang, W.; Pan, S.; Di Valentino, E.; Saridakis, E.N.; Chakraborty, S. Observational constraints on one-parameter dynamical dark-energy parametrizations and the H0 tension. Phys. Rev. D 2019, 99, 043543. [Google Scholar] [CrossRef]
- Pan, S.; Yang, W.; Singha, C.; Saridakis, E.N. Observational constraints on sign-changeable interaction models and alleviation of the H0 tension. arXiv 2019, arXiv:1903.10969. [Google Scholar]
- Bernal, J.L.; Verde, L.; Riess, A.G. The trouble with H0. J. Cosmol. Astropart. Phys. 2016, 10, 019. [Google Scholar] [CrossRef]
- Dhawan, S.; Jha, S.W.; Leibundgut, B. Measuring the Hubble constant with Type Ia supernovae as near-infrared standard candles. Astron. Astrophys. 2018, 609, A72. [Google Scholar] [CrossRef]
- Kenworthy, W.D’A.; Scolnic, D.; Riess, A. The Local Perspective on the Hubble Tension: Local Structure Does Not Impact Measurement of the Hubble Constant. arXiv 2019, arXiv:1901.08681. [Google Scholar]
- Rose, B.-M.; Garnavich, P.M.; Berg, M.A. Think Global, Act Local: The Influence of Environment Age and Host Mass on Type Ia Supernova Light Curves. Astrophys. J. 2019, 874, 32. [Google Scholar] [CrossRef]
- Colgáin, E.Ó. Recasting H0 tension as Ωm tension at low z. arXiv 2019, arXiv:1903.11743. [Google Scholar]
- Hildebrandt, H.; Viola, M.; Heymans, C.; Joudaki, S.; Kuijken, K.; Blake, C.; Erben, T.; Joachimi, B.; Klaes, D.; Miller, L. KiDS-450: Cosmological parameter constraints from tomographic weak gravitational lensing. Mon. Not. R. Astron. Soc. Lett. 2017, 465, 1454. [Google Scholar] [CrossRef]
- DES Collaboration. Dark Energy Survey year 1 results: Cosmological constraints from galaxy clustering and weak lensing. Phys. Rev. D 2018, 98, 043526. [Google Scholar] [CrossRef]
- Hamana, T. Cosmological constraints from cosmic shear two-point correlation functions with HSC survey first-year data. arXiv 2019, arXiv:1906.06041. [Google Scholar]
- Efstathiou, G.; Lemos, P. Statistical inconsistencies in the KiDS-450 data set. Mon. Not. R. Astron. Soc. Lett. 2018, 476, 151. [Google Scholar] [CrossRef]
- Joudaki, S.; Mead, A.; Blake, C.; Choi, A.; de Jong, J.; Erben, T.; Conti, I.F.; Herbonnet, R.; Heymans, C.; Hildebrandt, H. KiDS-450: Testing extensions to the standard cosmological model. Mon. Not. R. Astron. Soc. Lett. 2017, 471, 1259. [Google Scholar] [CrossRef]
- Camera, S.; Martinelli, M.; Bertacca, D. Does quartessence ease cosmic tensions? Phys. Dark Univ. 2019, 23, 100247. [Google Scholar] [CrossRef]
- Huterer, D.; Turner, M.S. Prospects for probing the dark energy via supernova distance measurements. Phys. Rev. D 1999, 60, 081301. [Google Scholar] [CrossRef]
- Chiba, T.; Nakamura, T. Feasibility of reconstructing the quintessential potential using SNIa data. Phys. Rev. D 2000, 62, 121301. [Google Scholar] [CrossRef]
- Yang, W.; Banerjee, N.; Paliathanasis, A.; Pan, S. Reconstructing the dark matter and dark energy interaction scenarios from observations. arXiv 2018, arXiv:1812.06854. [Google Scholar]
- Huterer, D.; Turner, M.S. Probing the dark energy: Methods and strategies. Phys. Rev. D 2001, 64, 123527. [Google Scholar] [CrossRef]
- Planck Collaboration. Planck 2015 results. I. Overview of products and scientific results. Astron. Astrophys. 2016, 594, A1. [Google Scholar] [CrossRef]
- Chevallier, M.; Polarski, D. Accelerating universes with scaling dark matter. IJMPD 2001, 10, 213. [Google Scholar] [CrossRef]
- Linder, E.V. Exploring the expansion history of the universe. Phys. Rev. Lett. 2003, 90, 091301. [Google Scholar] [CrossRef]
- Peirone, S.; Martinelli, M.; Raveri, M.; Silvestri, A. Impact of theoretical priors in cosmological analyses: The case of single field quintessence. Phys. Rev. D 2017, 96, 063524. [Google Scholar] [CrossRef]
- Tripp, R. A two-parameter luminosity correction for Type IA supernovae. Astron. Astrophys. 1998, 331, 815–820. [Google Scholar]
- Sullivan, M.; Guy, J.; Conley, A.; Regnault, N.; Astier, P.; Balland, C.; Basa, S.; Carlberg, R.G.; Fouchez, D.; Hardin, D. SNLS3: Constraints on Dark Energy Combining the Supernova Legacy Survey Three-year Data with Other Probes. Astrophys. J. 2011, 737, 102. [Google Scholar] [CrossRef]
- Johansson, J.; Thomas, D.; Pforr, J.; Maraston, C.; Nichol, R.C.; Smith, M.; Lampeitl, H.; Beifiori, A.; Gupta, R.R.; Schneider, D.P. SN Ia host galaxy properties from Sloan Digital Sky Survey-II spectroscopy. Mon. Not. R. Astron. Soc. Lett. 2013, 435, 1680–1700. [Google Scholar] [CrossRef]
- Betoule, M.; Kessler, R.; Guy, J.; Mosher, J.; Hardin, D.; Biswas, R.; Astier, P.; El-Hage, P.; Konig, M.; Kuhlmann, S.; et al. Improved cosmological constraints from a joint analysis of the SDSS-II and SNLS supernova samples. Astron. Astrophys. 2014, 568, A22. [Google Scholar] [CrossRef]
- Scolnic, D.M.; Jones, D.O.; Rest, A.; Pan, Y.C.; Chornock, R.; Foley, R.J.; Huber, M.E.; Kessler, R.; Narayan, G.; Riess, A.G.; et al. The Complete Light-curve Sample of Spectroscopically Confirmed SNe Ia from Pan-STARRS1 and Cosmological Constraints from the Combined Pantheon Sample. Astrophys. J. 2018, 859, 101. [Google Scholar] [CrossRef]
- Conley, A.; Guy, J.; Sullivan, M.; Regnault, N.; Astier, P.; Balland, C.; Basa, S.; Carlberg, R.G.; Fouchez, D.; Hardin, D.; et al. Supernova Constraints and Systematic Uncertainties from the First Three Years of the Supernova Legacy Survey. Astrophys. J. Suppl. Ser. 2011, 192, 1. [Google Scholar] [CrossRef]
- Röpke, F.K.; Sim, S.A. Models for Type Ia Supernovae and Related Astrophysical Transients. Space Sci. Rev. 2018, 214, 72. [Google Scholar] [CrossRef]
- Astier, P.; Balland, C.; Brescia, M.; Cappellaro, E.; Carlberg, R.G.; Cavuoti, S.; Della Valle, M.; Gangler, E.; Goobar, A.; Guy, J.; et al. Extending the supernova Hubble diagram to z∼1.5 with the Euclid space mission. Astron. Astrophys. 2014, 572, A80. [Google Scholar] [CrossRef]
- The LSST Dark Energy Science Collaboration. The LSST Dark Energy Science Collaboration (DESC) Science Requirements Document. arXiv 2018, arXiv:1809.01669. [Google Scholar]
- Tutusaus, I.; Lamine, B.; Dupays, A.; Blanchard, A. Is cosmic acceleration proven by local cosmological probes? Astron. Astrophys. 2017, 602, A73. [Google Scholar] [CrossRef]
- Tutusaus, I.; Lamine, B.; Blanchard, A. Model-independent cosmic acceleration and redshift-dependent intrinsic luminosity in type-Ia supernovae. Astron. Astrophys. 2019, 625, A15. [Google Scholar] [CrossRef]
- Calabrese, E.; Martinelli, M.; Pandolfi, S.; Cardone, V.F.; Martins, C.J.A.P.; Spiro, S.; Vielzeuf, P.E. Dark Energy coupling with electromagnetism as seen from future low-medium redshift probes. Phys. Rev. D 2014, 89, 083509. [Google Scholar] [CrossRef]
- Rigault, M.; Copin, Y.; Aldering, G.; Antilogus, P.; Aragon, C.; Bailey, S.; Baltay, C.; Bongard, S.; Buton, C.; Canto, A.; et al. Evidence of environmental dependencies of Type Ia supernovae from the Nearby Supernova Factory indicated by local Hα. Astron. Astrophys. 2013, 560, A66. [Google Scholar] [CrossRef]
- Childress, M.J.; Wolf, C.H.; Zahid, J. Ages of Type Ia supernovae over cosmic time. Mon. Not. R. Astron. Soc. Lett. 2014, 445, 1898–1911. [Google Scholar] [CrossRef]
- Jones, D.O.; Riess, A.G.; Scolnic, D.M.; Pan, Y.-C.; Johnson, E.; Coulter, D.A.; Dettman, K.G.; Foley, M.M.; Foley, R.J.; Huber, M.E.; et al. Should Type Ia Supernova Distances Be Corrected for Their Local Environments? Astrophys. J. 2018, 867, 108. [Google Scholar] [CrossRef]
- Madau, P.; Dickinson, M. Cosmic Star Formation History. ARAA 2014, 52, 415–486. [Google Scholar] [CrossRef]
- Dekel, A.; Sari, R.; Ceverino, D. Formation of Massive Galaxies at High Redshift: Cold Streams, Clumpy Disks, and Compact Spheroids. Astrophys. J. 2009, 703, 785–801. [Google Scholar] [CrossRef]
- Tasca, L.A.M.; Le Fèvre, O.; Hathi, N.P.; Schaerer, D.; Ilbert, O.; Zamorani, G.; Lemaux, B.C.; Cassata, P.; Garilli, B.; Le Brun, V.; et al. The evolving star formation rate: M* relation and sSFR since z ≃ 5 from the VUDS spectroscopic survey. Astron. Astrophys. 2015, 581, A54. [Google Scholar] [CrossRef]
- Mannucci, F.; Della Valle, M.; Panagia, N.; Cappellaro, E.; Cresci, G.; Maiolino, R.; Petrosian, A.; Turatto, M. The supernova rate per unit mass. Astron. Astrophys. 2005, 433, 807–814. [Google Scholar] [CrossRef]
- Scannapieco, E.; Bildsten, L. The Type Ia Supernova Rate. Astrophys. J. 2005, 629, L85–L88. [Google Scholar] [CrossRef]
- Faber, S.M.; Willmer, C.N.A.; Wolf, C.; Koo, D.C.; Weiner, B.J.; Newman, J.A.; Im, M.; Coil, A.L.; Conroy, C.; Cooper, M.C.; et al. Galaxy Luminosity Functions to z 1 from DEEP2 and COMBO-17: Implications for Red Galaxy Formation. Astrophys. J. 2007, 665, 265–294. [Google Scholar] [CrossRef]
- Bauer, A.E.; Hopkins, A.M.; Gunawardhana, M.; Taylor, E.N.; Baldry, I.; Bamford, S.P.; Bland-Hawthorn, J.; Brough, S.; Brown, M.J.I.; Cluver, M.E.; et al. Galaxy And Mass Assembly (GAMA): linking star formation histories and stellar mass growth. Mon. Not. R. Astron. Soc. Lett. 2013, 434, 209–221. [Google Scholar] [CrossRef]
- Johnston, R.; Vaccari, M.; Jarvis, M.; Smith, M.; Giovannoli, E.; Haüssler, B.; Prescott, M. The evolving relation between star formation rate and stellar mass in the VIDEO survey since z = 3. Mon. Not. R. Astron. Soc. Lett. 2015, 453, 2540–2557. [Google Scholar] [CrossRef]
- Timmes, F.X.; Brown, E.F.; Truran, J.W. On Variations in the Peak Luminosity of Type Ia Supernovae. Astrophys. J. 2003, 590, L83–L86. [Google Scholar] [CrossRef]
- Travaglio, C.; Hillebrandt, W.; Reinecke, M. Metallicity effect in multi-dimensional SNIa nucleosynthesis. Astron. Astrophys. 2005, 443, 1007–1011. [Google Scholar] [CrossRef]
- Podsiadlowski, P.; Mazzali, P.A.; Lesaffre, P.; Wolf, C.; Forster, F. Cosmological Implications of the Second Parameter of Type Ia Supernovae. arXiv 2006, astro-ph/0608324. [Google Scholar]
- Moreno-Raya, M.E.; Mollá, M.; López-Sánchez, A.R.; Galbany, L.; Vílchez, J.M.; Rosell, A.C.; Domínguez, I. On the dependence of the type Ia SNe luminosities on the metallicity of their host galaxies. Astrophys. J. 2016, 818, L19. [Google Scholar] [CrossRef]
- Moreno-Raya, M.E.; López-Sánchez, Á.R.; Mollá, M.; Galbany, L.; Vílchez, J.M.; Carnero, A. Using the local gas-phase oxygen abundances to explore a metallicity-dependence in SNe Ia luminosities. Mon. Not. R. Astron. Soc. Lett. 2016, 462, 1281–1306. [Google Scholar] [CrossRef]
- L’Huillier, B.; Shafieloo, A.; Linder, E.V.; Kim, A.G. Model independent expansion history from supernovae: Cosmology versus systematics. Mon. Not. R. Astron. Soc. Lett. 2019, 485, 2783–2790. [Google Scholar] [CrossRef]
- Vincenzo, F.; Matteucci, F.; Belfiore, F.; Maiolino, R. Modern yields per stellar generation: The effect of the IMF. Mon. Not. R. Astron. Soc. Lett. 2016, 455, 4183–4190. [Google Scholar] [CrossRef]
- Salpeter, E.E. The Luminosity Function and Stellar Evolution. Astrophys. J. 1955, 121, 161. [Google Scholar] [CrossRef]
- Chabrier, G. Galactic Stellar and Substellar Initial Mass Function. Publ. Astron. Soc. Pac. 2003, 115, 763–795. [Google Scholar] [CrossRef]
- Kroupa, P.; Tout, C.A.; Gilmore, G. The distribution of low-mass stars in the Galactic disc. Mon. Not. R. Astron. Soc. Lett. 1993, 262, 545–587. [Google Scholar] [CrossRef]
- Kroupa, P. On the variation of the initial mass function. Mon. Not. R. Astron. Soc. Lett. 2001, 322, 231–246. [Google Scholar] [CrossRef]
- Beutler, F.; Blake, C.; Colless, M.; Jones, D.H.; Staveley-Smith, L.; Campbell, L.; Parker, Q.; Saunders, W.; Watson, F. The 6dF Galaxy Survey: Baryon Acoustic Oscillations and the Local Hubble Constant. Mon. Not. R. Astron. Soc. Lett. 2011, 416, 3017–3032. [Google Scholar] [CrossRef]
- Ross, A.J.; Samushia, L.; Howlett, C.; Percival, W.J.; Burden, A.; Manera, M. The Clustering of the SDSS DR7 Main Galaxy Sample I: A 4 per cent Distance Measure at z = 0.15. Mon. Not. R. Astron. Soc. Lett. 2015, 449, 835–847. [Google Scholar] [CrossRef]
- Alam, S.; Ata, M.; Bailey, S.; Beutler, F.; Bizyaev, D.; Blazek, J.A.; Bolton, A.S.; Brownstein, J.R.; Burden, A.; Chuang, C.-H.; et al. The clustering of galaxies in the completed SDSS-III Baryon Oscillation Spectroscopic Survey: Cosmological analysis of the DR12 galaxy sample. Mon. Not. R. Astron. Soc. Lett. 2017, 470, 2617–2652. [Google Scholar] [CrossRef]
- Gerardi, F.; Martinelli, M.; Silvestri, A. Reconstruction of the Dark Energy equation of state from latest data: the impact of theoretical priors. arXiv 2019, arXiv:1902.09423. [Google Scholar] [CrossRef]
- Carroll, S.M.; De Felice, A.; Trodden, M. Can we be tricked into thinking that w is less than -1? Phys. Rev. D 2005, 71, 023525. [Google Scholar] [CrossRef]
- Deffayet, C.; Pujolàs, O.; Sawicki, I.; Vikman, A. Imperfect Dark Energy from Kinetic Gravity Braiding. J. Cosmol. Astropart. Phys. 2010, 10, 026. [Google Scholar] [CrossRef]
- Easson, D.A.; Vikman, A. The Phantom of the New Oscillatory Cosmological Phase. arXiv 2016, arXiv:1607.00996. [Google Scholar]
- DES Collaboration. Dark Energy Survey Year 1 Results: Constraints on Extended Cosmological Models from Galaxy Clustering and Weak Lensing. Phys. Rev. D 2019, 99, 123505. [Google Scholar] [CrossRef]
- Anselmi, S.; Corasaniti, P.-R.; Sanchez, A.G.; Starkman, G.D.; Sheth, R.K.; Zehavi, I. Cosmic distance inference from purely geometric BAO methods: Linear Point standard ruler and Correlation Function Model Fitting. Phys. Rev. D 2019, 99, 123515. [Google Scholar] [CrossRef]
- Carter, P.; Beutler, F.; Percival, W.J.; DeRose, J.; Wechsler, R.H.; Zhao, C. The Impact of the Fiducial Cosmology Assumption on BAO Cosmological Parameter Inference. arXiv 2019, arXiv:1906.03035. [Google Scholar]
- Lewis, A.; Bridle, S. Cosmological parameters from CMB and other data: A Monte Carlo approach. Phys. Rev. D 2002, 66, 103511. [Google Scholar] [CrossRef]
- Lewis, A. Efficient sampling of fast and slow cosmological parameters. Phys. Rev. D 2013, 87, 103529. [Google Scholar] [CrossRef]
- Raveri, M.; Hu, W. Concordance and Discordance in Cosmology. Phys. Rev. D 2019, 99, 043506. [Google Scholar] [CrossRef]
- Planck Collaboration. Planck 2015 results. XIV. Dark energy and modified gravity. Astron. Astrophys. 2016, 594, A14. [Google Scholar] [CrossRef]






| Parameter | Dark Energy Case | Planck + JLA | Planck + JLA + BAO | Planck + Pantheon | Planck + Pantheon + BAO |
|---|---|---|---|---|---|
| NO systematics | |||||
| ΛCDM | |||||
| wCDM | |||||
| CDM | |||||
| ΛCDM | |||||
| wCDM | |||||
| CDM | |||||
| SFR systematics | |||||
| ΛCDM | |||||
| wCDM | |||||
| CDM | |||||
| ΛCDM | |||||
| wCDM | |||||
| CDM | |||||
| metallicity systematics | |||||
| ΛCDM | |||||
| wCDM | |||||
| CDM | |||||
| ΛCDM | |||||
| wCDM | |||||
| CDM | |||||
© 2019 by the authors. Licensee MDPI, Basel, Switzerland. This article is an open access article distributed under the terms and conditions of the Creative Commons Attribution (CC BY) license (http://creativecommons.org/licenses/by/4.0/).
Share and Cite
Martinelli, M.; Tutusaus, I. CMB Tensions with Low-Redshift H0 and S8 Measurements: Impact of a Redshift-Dependent Type-Ia Supernovae Intrinsic Luminosity. Symmetry 2019, 11, 986. https://doi.org/10.3390/sym11080986
Martinelli M, Tutusaus I. CMB Tensions with Low-Redshift H0 and S8 Measurements: Impact of a Redshift-Dependent Type-Ia Supernovae Intrinsic Luminosity. Symmetry. 2019; 11(8):986. https://doi.org/10.3390/sym11080986
Chicago/Turabian StyleMartinelli, Matteo, and Isaac Tutusaus. 2019. "CMB Tensions with Low-Redshift H0 and S8 Measurements: Impact of a Redshift-Dependent Type-Ia Supernovae Intrinsic Luminosity" Symmetry 11, no. 8: 986. https://doi.org/10.3390/sym11080986
APA StyleMartinelli, M., & Tutusaus, I. (2019). CMB Tensions with Low-Redshift H0 and S8 Measurements: Impact of a Redshift-Dependent Type-Ia Supernovae Intrinsic Luminosity. Symmetry, 11(8), 986. https://doi.org/10.3390/sym11080986

