Self-Consistent Two-Gap Description of MgB2 Superconductor
Abstract
1. Introduction
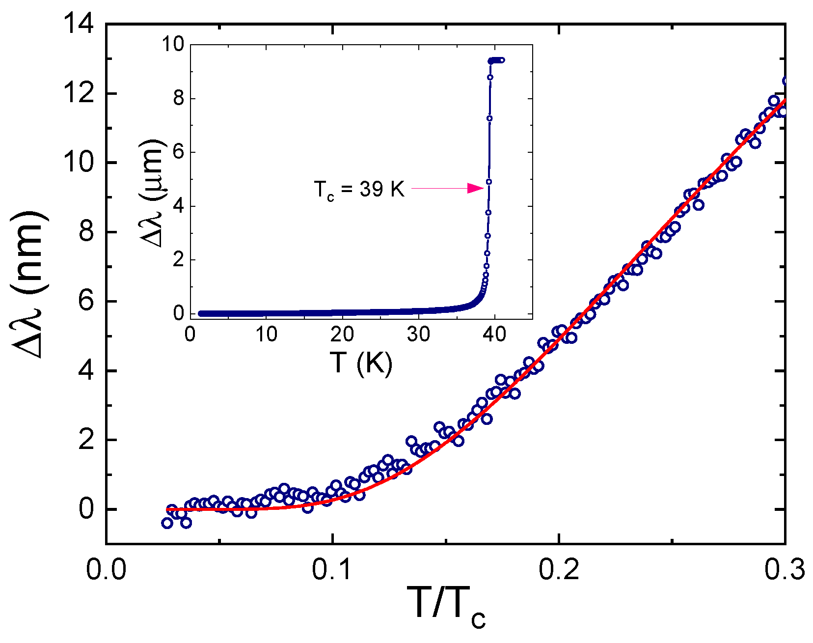
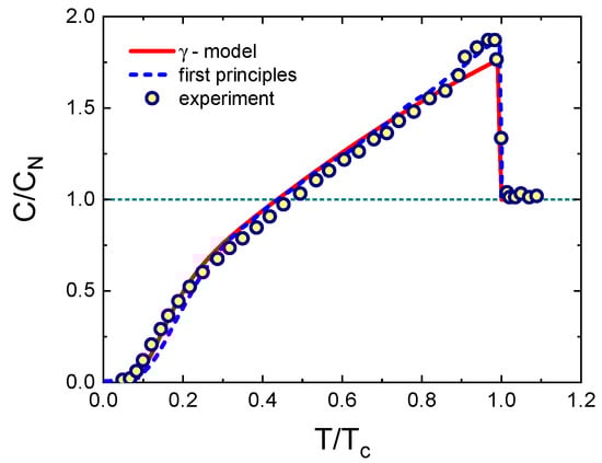
2. Results and Discussion
3. Materials and Methods
4. Summary
Author Contributions
Funding
Conflicts of Interest
Abbreviations
| TDR | Tunnel diode resonator |
| ARPES | Angle-resolved photoemission spectroscopy |
| FC | Field-cooled |
| ZFC | Zero-field-cooled |
| MPMS | Magnetic property measurement system |
References
- Nagamatsu, J.; Nakagawa, N.; Muranaka, T.; Zenitani, Y.; Akimitsu, J. Superconductivity at 39 K in magnesium diboride. Nature 2001, 410, 63. [Google Scholar] [CrossRef] [PubMed]
- Bardeen, J.; Cooper, L.N.; Schrieffer, J.R. Theory of Superconductivity. Phys. Rev. 1957, 108, 1175–1204. [Google Scholar] [CrossRef]
- Xi, X.X. Two-band superconductor magnesium diboride. Rep. Prog. Phys. 2008, 71, 116501. [Google Scholar] [CrossRef]
- Bud’ko, S.L.; Canfield, P.C. Superconductivity of magnesium diboride. Phys. C Supercond. Appl. 2015, 514, 142–151. [Google Scholar] [CrossRef]
- Bud’ko, S.L.; Lapertot, G.; Petrovic, C.; Cunningham, C.E.; Anderson, N.; Canfield, P.C. Boron Isotope Effect in Superconducting MgB2. Phys. Rev. Lett. 2001, 86, 1877–1880. [Google Scholar] [CrossRef] [PubMed]
- Hinks, D.G.; Claus, H.; Jorgensen, J.D. The complex nature of superconductivity in MgB2 as revealed by the reduced total isotope effect. Nature 2001, 411, 457. [Google Scholar] [CrossRef] [PubMed]
- Hinks, D.; Jorgensen, J. The isotope effect and phonons in MgB2. Phys. C Supercond. 2003, 385, 98–104. [Google Scholar] [CrossRef]
- Tajima, T. Possibility of MgB2 application to superconducting cavities. In Proceedings of the Eighth European Particle Accelerator Conference, Paris, France, 3–7 June 2002; Los Alamos National Lab: Santa Fe, NM, USA, 2002. [Google Scholar]
- Kalhor, S.; Ghanaatshoar, M.; Kashiwagi, T.; Kadowaki, K.; Kelly, M.J.; Delfanazari, K. Thermal Tuning of High-Tc Superconducting Bi2Sr2CaCu2O8+δ Terahertz Metamaterial. IEEE Photonics J. 2017, 9, 1–8. [Google Scholar] [CrossRef]
- Delfanazari, K.; Puddy, R.K.; Ma, P.; Yi, T.; Cao, M.; Gul, Y.; Farrer, I.; Ritchie, D.A.; Joyce, H.J.; Kelly, M.J.; et al. On-Chip Andreev Devices: Hard Superconducting Gap and Quantum Transport in Ballistic Nb–In0.75Ga0.25As-Quantuam–Well-Nb Josephson Junctions. Adv. Mater. 2017, 29, 1701836. [Google Scholar] [CrossRef]
- Padamsee, H.; Neighbor, J.E.; Shiffman, C.A. Quasiparticle phenomenology for thermodynamics of strong-coupling superconductors. J. Low Temp. Phys. 1973, 12, 387–411. [Google Scholar] [CrossRef]
- Bouquet, F.; Fisher, R.A.; Phillips, N.E.; Hinks, D.G.; Jorgensen, J.D. Specific Heat of Mg11B2: Evidence for a Second Energy Gap. Phys. Rev. Lett. 2001, 87, 047001. [Google Scholar] [CrossRef] [PubMed]
- Bouquet, F.; Wang, Y.; Fisher, R.A.; Hinks, D.G.; Jorgensen, J.D.; Junod, A.; Phillips, N.E. Phenomenological two-gap model for the specific heat of MgB2. EPL Europhys. Lett. 2001, 56, 856. [Google Scholar] [CrossRef]
- Choi, H.J.; Roundy, D.; Sun, H.; Cohen, M.L.; Louie, S.G. The origin of the anomalous superconducting properties of MgB2. Nature 2002, 418, 758. [Google Scholar] [CrossRef] [PubMed]
- Fisher, R.; Li, G.; Lashley, J.; Bouquet, F.; Phillips, N.; Hinks, D.; Jorgensen, J.; Crabtree, G. Specific heat of Mg11B2. Phys. C Supercond. 2003, 385, 180–191. [Google Scholar] [CrossRef]
- Panagopoulos, C.; Rainford, B.D.; Xiang, T.; Scott, C.A.; Kambara, M.; Inoue, I.H. Penetration depth measurements in MgB2: Evidence for unconventional superconductivity. Phys. Rev. B 2001, 64, 094514. [Google Scholar] [CrossRef]
- Niedermayer, C.; Bernhard, C.; Holden, T.; Kremer, R.K.; Ahn, K. Muon spin relaxation study of the magnetic penetration depth in MgB2. Phys. Rev. B 2002, 65, 094512. [Google Scholar] [CrossRef]
- Carrington, A.; Manzano, F. Magnetic penetration depth of MgB2. Phys. C Supercond. 2003, 385, 205–214. [Google Scholar] [CrossRef]
- Mou, D.; Jiang, R.; Taufour, V.; Bud’ko, S.L.; Canfield, P.C.; Kaminski, A. Momentum dependence of the superconducting gap and in-gap states in MgB2 multiband superconductor. Phys. Rev. B 2015, 91, 214519. [Google Scholar] [CrossRef]
- Mou, D.; Jiang, R.; Taufour, V.; Flint, R.; Bud’ko, S.L.; Canfield, P.C.; Wen, J.S.; Xu, Z.J.; Gu, G.; Kaminski, A. Strong interaction between electrons and collective excitations in the multiband superconductor MgB2. Phys. Rev. B 2015, 91, 140502. [Google Scholar] [CrossRef]
- Mou, D.; Manni, S.; Taufour, V.; Wu, Y.; Huang, L.; Bud’ko, S.L.; Canfield, P.C.; Kaminski, A. Isotope effect on electron-phonon interaction in the multiband superconductor MgB2. Phys. Rev. B 2016, 93, 144504. [Google Scholar] [CrossRef]
- Manzano, F.; Carrington, A.; Hussey, N.E.; Lee, S.; Yamamoto, A.; Tajima, S. Exponential Temperature Dependence of the Penetration Depth in Single Crystal MgB2. Phys. Rev. Lett. 2002, 88, 047002. [Google Scholar] [CrossRef] [PubMed]
- Ding, H.; Richard, P.; Nakayama, K.; Sugawara, K.; Arakane, T.; Sekiba, Y.; Takayama, A.; Souma, S.; Sato, T.; Takahashi, T.; et al. Observation of Fermi-surface dependent nodeless superconducting gaps in Ba0.6K0.4Fe2As2. EPL Europhys. Lett. 2008, 83, 47001. [Google Scholar] [CrossRef]
- Prozorov, R.; Kogan, V.G. London penetration depth in iron-based superconductors. Rep. Prog. Phys. 2011, 74, 124505. [Google Scholar] [CrossRef]
- Hirschfeld, P.J.; Korshunov, M.M.; Mazin, I.I. Gap symmetry and structure of Fe-based superconductors. Rep. Prog. Phys. 2011, 74, 124508. [Google Scholar] [CrossRef]
- Chubukov, A. Pairing Mechanism in Fe-Based Superconductors. Annu. Rev. Condens. Matter Phys. 2012, 3, 57–92. [Google Scholar] [CrossRef]
- Seyfarth, G.; Brison, J.P.; Knebel, G.; Aoki, D.; Lapertot, G.; Flouquet, J. Multigap Superconductivity in the Heavy-Fermion System CeCoIn5. Phys. Rev. Lett. 2008, 101, 046401. [Google Scholar] [CrossRef] [PubMed]
- Ruby, M.; Heinrich, B.W.; Pascual, J.I.; Franke, K.J. Experimental Demonstration of a Two-Band Superconducting State for Lead Using Scanning Tunneling Spectroscopy. Phys. Rev. Lett. 2015, 114, 157001. [Google Scholar] [CrossRef] [PubMed]
- Golubov, A.A.; Kortus, J.; Dolgov, O.V.; Jepsen, O.; Kong, Y.; Andersen, O.K.; Gibson, B.J.; Ahn, K.; Kremer, R.K. Specific heat of MgB2 in a one- and a two-band model from first-principles calculations. J. Phys. Condens. Matter 2002, 14, 1353. [Google Scholar] [CrossRef]
- Floris, A.; Profeta, G.; Lathiotakis, N.N.; Lüders, M.; Marques, M.A.L.; Franchini, C.; Gross, E.K.U.; Continenza, A.; Massidda, S. Superconducting Properties of MgB2 from First Principles. Phys. Rev. Lett. 2005, 94, 037004. [Google Scholar] [CrossRef]
- Eilenberger, G. Transformation of Gorkov’s equation for type II superconductors into transport-like equations. Zeitschrift für Physik A Hadrons and Nuclei 1968, 214, 195–213. [Google Scholar] [CrossRef]
- Kogan, V.G.; Martin, C.; Prozorov, R. Superfluid density and specific heat within a self-consistent scheme for a two-band superconductor. Phys. Rev. B 2009, 80, 014507. [Google Scholar] [CrossRef]
- Li, M.; Lee-Hone, N.R.; Chi, S.; Liang, R.; Hardy, W.N.; Bonn, D.A.; Girt, E.; Broun, D.M. Superfluid density and microwave conductivity of FeSe superconductor: Ultra-long-lived quasiparticles and extended s-wave energy gap. New J. Phys. 2016, 18, 082001. [Google Scholar] [CrossRef]
- Kim, H.; Kogan, V.G.; Cho, K.; Tanatar, M.A.; Prozorov, R. Rutgers relation for the analysis of superfluid density in superconductors. Phys. Rev. B 2013, 87, 214518. [Google Scholar] [CrossRef]
- Ohishi, K.; Muranaka, T.; Akimitsu, J.; Koda, A.; Higemoto, W.; Kadono, R. Quasiparticle Excitations outside the Vortex Cores in MgB2 Probed by Muon Spin Rotation. J. Phys. Soc. Jpn. 2003, 72, 29–32. [Google Scholar] [CrossRef]
- Kim, H.; Tanatar, M.A.; Song, Y.J.; Kwon, Y.S.; Prozorov, R. Nodeless two-gap superconducting state in single crystals of the stoichiometric iron pnictide LiFeAs. Phys. Rev. B 2011, 83, 100502. [Google Scholar] [CrossRef]
- Belashchenko, K.D.; Schilfgaarde, M.V.; Antropov, V.P. Coexistence of covalent and metallic bonding in the boron intercalation superconductor MgB2. Phys. Rev. B 2001, 64, 092503. [Google Scholar] [CrossRef]
- Chen, K.; Cui, Y.; Li, Q.; Zhuang, C.G.; Liu, Z.K.; Xi, X.X. Study of MgB2 I Pb tunnel junctions on MgO (211) substrates. Appl. Phys. Lett. 2008, 93, 012502. [Google Scholar] [CrossRef]
- Putti, M.; Affronte, M.; Ferdeghini, C.; Manfrinetti, P.; Tarantini, C.; Lehmann, E. Observation of the Crossover from Two-Gap to Single-Gap Superconductivity through Specific Heat Measurements in Neutron-Irradiated MgB2. Phys. Rev. Lett. 2006, 96, 077003. [Google Scholar] [CrossRef]
- Kogan, V.G.; Prozorov, R. Orbital upper critical field and its anisotropy of clean one- and two-band superconductors. Rep. Prog. Phys. 2012, 75, 114502. [Google Scholar] [CrossRef]
- Lyard, L.; Samuely, P.; Szabó, P.; Marcenat, C.; Klein, T.; Kim, K.H.P.; Jung, C.U.; Lee, H.S.; Kang, B.; Choi, S.; et al. Upper critical magnetic fields in single crystal MgB2. Supercond. Sci. Technol. 2003, 16, 193. [Google Scholar] [CrossRef]
- Karpinski, J.; Angst, M.; Jun, J.; Kazakov, S.M.; Puzniak, R.; Wisniewski, A.; Roos, J.; Keller, H.; Perucchi, A.; Degiorgi, L.; et al. MgB2 single crystals: High pressure growth and physical properties. Supercond. Sci. Technol. 2003, 16, 221. [Google Scholar] [CrossRef]
- Zehetmayer, M.; Eisterer, M.; Jun, J.; Kazakov, S.M.; Karpinski, J.; Wisniewski, A.; Weber, H.W. Mixed-state properties of superconducting MgB2 single crystals. Phys. Rev. B 2002, 66, 052505. [Google Scholar] [CrossRef]
- Van Degrift, C.T. Tunnel diode oscillator for 0.001 ppm measurements at low temperatures. Rev. Sci. Instrum. 1975, 46, 599–607. [Google Scholar] [CrossRef]
- Prozorov, R.; Giannetta, R.W.; Carrington, A.; Araujo-Moreira, F.M. Meissner-London state in superconductors of rectangular cross section in a perpendicular magnetic field. Phys. Rev. B 2000, 62, 115–118. [Google Scholar] [CrossRef]
- Cho, K.; Kończykowski, M.; Teknowijoyo, S.; Tanatar, M.A.; Prozorov, R. Using electron irradiation to probe iron-based superconductors. Supercond. Sci. Technol. 2018, 31, 064002. [Google Scholar] [CrossRef]





© 2019 by the authors. Licensee MDPI, Basel, Switzerland. This article is an open access article distributed under the terms and conditions of the Creative Commons Attribution (CC BY) license (http://creativecommons.org/licenses/by/4.0/).
Share and Cite
Kim, H.; Cho, K.; Tanatar, M.A.; Taufour, V.; Kim, S.K.; Bud’ko, S.L.; Canfield, P.C.; Kogan, V.G.; Prozorov, R. Self-Consistent Two-Gap Description of MgB2 Superconductor. Symmetry 2019, 11, 1012. https://doi.org/10.3390/sym11081012
Kim H, Cho K, Tanatar MA, Taufour V, Kim SK, Bud’ko SL, Canfield PC, Kogan VG, Prozorov R. Self-Consistent Two-Gap Description of MgB2 Superconductor. Symmetry. 2019; 11(8):1012. https://doi.org/10.3390/sym11081012
Chicago/Turabian StyleKim, Hyunsoo, Kyuil Cho, Makariy A. Tanatar, Valentin Taufour, Stella K. Kim, Sergey L. Bud’ko, Paul C. Canfield, Vladimir G. Kogan, and Ruslan Prozorov. 2019. "Self-Consistent Two-Gap Description of MgB2 Superconductor" Symmetry 11, no. 8: 1012. https://doi.org/10.3390/sym11081012
APA StyleKim, H., Cho, K., Tanatar, M. A., Taufour, V., Kim, S. K., Bud’ko, S. L., Canfield, P. C., Kogan, V. G., & Prozorov, R. (2019). Self-Consistent Two-Gap Description of MgB2 Superconductor. Symmetry, 11(8), 1012. https://doi.org/10.3390/sym11081012

