An Asymmetric Bimodal Distribution with Application to Quantile Regression
Abstract
:1. Introduction
2. Gamma–Sinh Cauchy Distribution
- SC distribution,
- , hyperbolic secant distribution (Talacko [21]).
The GSC Model for Quantile Regression
3. ML Estimation for the GSC Distribution
3.1. ML Estimation
3.2. Simulation Study
4. Applications
4.1. Application 1: Without Covariates
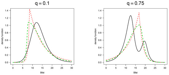
4.2. Data Set 2: Quantile Regression to Bimodal Data
5. Final Comments
- The GSC distribution contains the SC and hyperbolic secant models as special cases.
- The GSC distribution presents great flexibility in its modes, as can be observed in Figure 1.
- The proposed model has a closed-form expression for its cdf.
- In the two applications, we show that the GSC model fits better than the other models.
Author Contributions
Funding
Acknowledgments
Conflicts of Interest
References
- Azzalini, A. A class of distributions which includes the normal ones. Scand. J. Stat. 1985, 12, 171–178. [Google Scholar]
- Ma, Y.; Genton, M.G. Flexible class of skew-symmetric distributions. Scand. J. Stat. 2004, 31, 459–468. [Google Scholar] [CrossRef]
- Kim, H.J. On a class of two-piece skew-normal distributions. Statistics 2005, 39, 537–553. [Google Scholar] [CrossRef]
- Lin, T.I.; Lee, J.C.; Hsieh, W.J. Robust mixture models using the skew-t distribution. Stat. Comput. 2007, 17, 81–92. [Google Scholar] [CrossRef]
- Lin, T.I.; Lee, J.C.; Yen, S.Y. Finite mixture modeling using the skew-normal distribution. Stat. Sin. 2007, 17, 909–927. [Google Scholar]
- Elal-Olivero, D.; Gómez, H.W.; Quintana, F.A. Bayesian Modeling using a class of Bimodal skew-Elliptical distributions. J. Stat. Plan. Infer. 2009, 139, 1484–1492. [Google Scholar] [CrossRef]
- Arnold, B.C.; Gómez, H.W.; Salinas, H.S. On multiple constraint skewed models. Statistics 2009, 43, 279–293. [Google Scholar] [CrossRef]
- Arnold, B.C.; Gómez, H.W.; Salinas, H.S. A doubly skewed normal distribution. Statistics 2015, 49, 842–858. [Google Scholar] [CrossRef]
- Venegas, O.; Salinas, H.S.; Gallardo, D.I.; Bolfarine, H.; Gómez, H.W. Bimodality based on the generalized skew-normal distribution. J. Stat. Comput. Simul. 2018, 88, 156–181. [Google Scholar] [CrossRef]
- McLachlan, G.J.; Peel, D. Finite Mixture Models; Wiley Interscience: New York, NY, USA, 2000. [Google Scholar]
- Marin, J.M.; Mengersen, K.; Robert, C. Bayesian modeling and inference on mixtures of distributions. Handbook Stat. 2005, 25, 459–503. [Google Scholar]
- Cobb, L.; Koppstein, P.; Chen, N.H. Estimation and moment recursion relations for multimodal distributions of the exponential families. J. Arner. Stat. Assoc. 1983, 78, 124–130. [Google Scholar] [CrossRef]
- Fisher, R.A. On the Mathematical Foundations of Theoretical Statistics. Philos. Trans. R. Soc. London Ser. A 1922, 222, 309–368. [Google Scholar] [CrossRef]
- Rao, K.S.; Narayana, J.L.; Sastry, V.P. A bimodal distribution. Bull. Calcutta Math. Soc. 1988, 80, 238–240. [Google Scholar]
- Famoye, F.; Lee, C.; Eugene, N. Beta-normal distribution: Bimodality properties and application. J. Modern Appl. Stat. Method 2004, 3, 85–103. [Google Scholar] [CrossRef]
- Everitt, B.S.; Hand, D.J. Finite Mixture Distributions; Chapman & Hall: London, UK, 1981. [Google Scholar]
- Chatterjee, S.; Handcock, M.S.; Simonoff, J.S. A Casebook for a First Course in Statistics and Data Analysis; John Wiley & Sons: New York, NY, USA, 1995. [Google Scholar]
- Weisberg, S. Applied Linear Regression; John Wiley & Sons: New York, NY, USA, 2005. [Google Scholar]
- Bansal, B.; Gokhale, M.R.; Bhattacharya, A.; Arora, B.M. InAs/InP quantum dots with bimodal size distribution: Two evolution pathways. J. Appl. Phys. 2007, 101, 1–6. [Google Scholar] [CrossRef]
- Zografos, K.; Balakrishnan, N. On families of beta- and generalized gamma-generated distributions and associated inference. Stat. Methodol. 2009, 6, 344–362. [Google Scholar] [CrossRef]
- Talacko, J. Perks’ distributions and their role in the theory of Wiener’s stochastic variables. Trabajos de Estadistica 1956, 7, 159–174. [Google Scholar] [CrossRef]
- Team, R.C. R: A Language and Environment for Statistical Computing. Available online: http://www.R-project.org (accessed on 26 May 2019).
- Cooray, K. Exponentiated Sinh Cauchy distribution with applications. Commun. Stat. Theor. Method 2013, 42, 3838–3852. [Google Scholar] [CrossRef]
- Martínez-Flórez, G.; Salinas, H.S.; Bolfarine, H. Bimodal regression model. Colombian J. Stat. 2017, 40, 65–83. [Google Scholar]
- Galarza, C.E.; Lachos, V.H.; Barbosa, C.; Castro, L.M. Robust quantile regression using a generalized class of skewed distributions. Stat 2017, 6, 113–130. [Google Scholar]






| q | |||||||||
| 2.301 | 1.802 | 1.475 | 1.219 | 1.000 | 0.802 | 0.613 | 0.427 | 0.230 |
| parameter | bias | RMSE | CP | bias | RMSE | CP | bias | RMSE | CP | ||
|---|---|---|---|---|---|---|---|---|---|---|---|
| 0.75 | 0.5 | −0.094 | 0.663 | 0.846 | −0.055 | 0.578 | 0.900 | −0.014 | 0.457 | 0.932 | |
| −0.037 | 0.392 | 0.880 | −0.014 | 0.337 | 0.904 | −0.006 | 0.268 | 0.933 | |||
| −0.031 | 0.372 | 0.869 | −0.013 | 0.317 | 0.905 | −0.006 | 0.252 | 0.930 | |||
| 0.044 | 0.411 | 0.867 | 0.023 | 0.349 | 0.907 | 0.006 | 0.272 | 0.934 | |||
| 1.0 | −0.015 | 0.607 | 0.831 | 0.021 | 0.532 | 0.880 | 0.016 | 0.428 | 0.925 | ||
| −0.035 | 0.460 | 0.848 | −0.024 | 0.396 | 0.886 | −0.009 | 0.320 | 0.927 | |||
| −0.004 | 0.544 | 0.831 | −0.010 | 0.459 | 0.889 | −0.003 | 0.365 | 0.927 | |||
| 0.018 | 0.424 | 0.843 | −0.004 | 0.363 | 0.890 | −0.006 | 0.290 | 0.926 | |||
| 2.0 | 0.011 | 0.361 | 0.934 | 0.004 | 0.298 | 0.944 | 0.001 | 0.233 | 0.944 | ||
| −0.011 | 0.504 | 0.911 | −0.007 | 0.419 | 0.932 | −0.003 | 0.333 | 0.945 | |||
| 0.055 | 0.789 | 0.928 | 0.017 | 0.650 | 0.939 | 0.010 | 0.513 | 0.945 | |||
| −0.007 | 0.337 | 0.940 | −0.003 | 0.279 | 0.949 | −0.001 | 0.220 | 0.947 | |||
| 1.0 | 0.5 | −0.060 | 0.666 | 0.846 | −0.036 | 0.580 | 0.899 | −0.012 | 0.460 | 0.933 | |
| −0.044 | 0.373 | 0.877 | −0.022 | 0.318 | 0.915 | −0.009 | 0.253 | 0.933 | |||
| −0.033 | 0.366 | 0.867 | −0.018 | 0.308 | 0.913 | −0.007 | 0.245 | 0.936 | |||
| 0.045 | 0.458 | 0.874 | 0.023 | 0.388 | 0.909 | 0.007 | 0.304 | 0.938 | |||
| 1.0 | −0.052 | 0.622 | 0.816 | −0.024 | 0.543 | 0.881 | −0.002 | 0.428 | 0.940 | ||
| −0.040 | 0.431 | 0.832 | −0.024 | 0.367 | 0.887 | −0.006 | 0.293 | 0.936 | |||
| −0.017 | 0.535 | 0.811 | −0.015 | 0.448 | 0.875 | 0.000 | 0.354 | 0.934 | |||
| 0.060 | 0.493 | 0.842 | 0.027 | 0.417 | 0.890 | 0.005 | 0.324 | 0.946 | |||
| 2.0 | −0.001 | 0.357 | 0.937 | 0.000 | 0.291 | 0.946 | −0.001 | 0.229 | 0.951 | ||
| −0.014 | 0.494 | 0.896 | −0.006 | 0.413 | 0.929 | 0.000 | 0.328 | 0.942 | |||
| 0.033 | 0.795 | 0.916 | 0.017 | 0.658 | 0.937 | 0.011 | 0.521 | 0.944 | |||
| 0.007 | 0.372 | 0.942 | 0.002 | 0.303 | 0.947 | 0.002 | 0.238 | 0.949 | |||
| 1.5 | 0.5 | 0.015 | 0.683 | 0.850 | 0.014 | 0.597 | 0.894 | 0.008 | 0.480 | 0.925 | |
| −0.045 | 0.354 | 0.890 | −0.021 | 0.300 | 0.926 | −0.009 | 0.239 | 0.935 | |||
| −0.022 | 0.366 | 0.877 | −0.014 | 0.308 | 0.916 | −0.006 | 0.245 | 0.937 | |||
| 0.026 | 0.533 | 0.876 | 0.008 | 0.455 | 0.906 | 0.002 | 0.364 | 0.930 | |||
| 1.0 | −0.134 | 0.688 | 0.835 | −0.138 | 0.612 | 0.856 | −0.076 | 0.492 | 0.904 | ||
| -0.038 | 0.413 | 0.836 | −0.025 | 0.347 | 0.856 | −0.011 | 0.275 | 0.896 | |||
| 0.091 | 0.581 | 0.840 | −0.001 | 0.459 | 0.860 | −0.010 | 0.360 | 0.896 | |||
| 0.211 | 0.681 | 0.886 | 0.166 | 0.579 | 0.880 | 0.076 | 0.446 | 0.912 | |||
| 2.0 | −0.029 | 0.383 | 0.933 | −0.009 | 0.309 | 0.945 | −0.004 | 0.241 | 0.948 | ||
| −0.014 | 0.472 | 0.895 | −0.007 | 0.395 | 0.927 | −0.003 | 0.313 | 0.942 | |||
| 0.065 | 0.784 | 0.932 | 0.023 | 0.646 | 0.942 | 0.010 | 0.510 | 0.952 | |||
| 0.070 | 0.484 | 0.948 | 0.023 | 0.379 | 0.954 | 0.009 | 0.294 | 0.950 | |||
| n | ||||
|---|---|---|---|---|
| 1150 | 3.535 | 0.422 | −0.986 | 4.855 |
| Parameter | GSC | ECG | SN |
|---|---|---|---|
| 4.1115 (0.0388) | 4.0460 (0.0482) | 4.2475 (0.0276) | |
| 0.2053 (0.0172) | 0.1903 (0.0205) | 0.9644 (0.0286) | |
| 0.5353 (0.0682) | 0.5535 (0.0860) | −2.7578 (0.2426) | |
| 0.3621 (0.0373) | 0.3322 (0.0445) | − | |
| log-likelihood | −1053.8 | −1056.0 | −1071.3 |
| AIC | 2115.7 | 2119.9 | 2148.7 |
| AIC | p-value for K–S test | |||||
|---|---|---|---|---|---|---|
| q | GSC | SKL | SKT | GSC | SKL | SKT |
| 1156.54 | 1194.28 | 1166.74 | 0.79 | 0.06 | 0.02 | |
| 1160.72 | 1172.70 | 1153.15 | 0.65 | 0.71 | 0.96 | |
| 1162.74 | 1182.66 | 1161.80 | 0.32 | 0.13 | 0.31 | |
| 1159.50 | 1221.65 | 1200.87 | 0.87 | <0.001 | 0.02 | |
| 1211.71 | 1280.45 | 1253.48 | 0.02 | <0.001 | <0.001 | |
© 2019 by the authors. Licensee MDPI, Basel, Switzerland. This article is an open access article distributed under the terms and conditions of the Creative Commons Attribution (CC BY) license (http://creativecommons.org/licenses/by/4.0/).
Share and Cite
Gómez, Y.M.; Gómez-Déniz, E.; Venegas, O.; Gallardo, D.I.; Gómez, H.W. An Asymmetric Bimodal Distribution with Application to Quantile Regression. Symmetry 2019, 11, 899. https://doi.org/10.3390/sym11070899
Gómez YM, Gómez-Déniz E, Venegas O, Gallardo DI, Gómez HW. An Asymmetric Bimodal Distribution with Application to Quantile Regression. Symmetry. 2019; 11(7):899. https://doi.org/10.3390/sym11070899
Chicago/Turabian StyleGómez, Yolanda M., Emilio Gómez-Déniz, Osvaldo Venegas, Diego I. Gallardo, and Héctor W. Gómez. 2019. "An Asymmetric Bimodal Distribution with Application to Quantile Regression" Symmetry 11, no. 7: 899. https://doi.org/10.3390/sym11070899
APA StyleGómez, Y. M., Gómez-Déniz, E., Venegas, O., Gallardo, D. I., & Gómez, H. W. (2019). An Asymmetric Bimodal Distribution with Application to Quantile Regression. Symmetry, 11(7), 899. https://doi.org/10.3390/sym11070899

