Phase Diagram, Scalar-Pseudoscalar Meson Behavior and Restoration of Symmetries in (2 + 1) Polyakov-Nambu-Jona-Lasinio Model
Abstract
1. Introduction
2. Model and Formalism
2.1. The PNJL Model
2.2. Gap Equations
2.3. Pseudoscalar and Scalar Meson Nonets
2.4. Thermodynamics
2.5. Model Parameters and Regularization Procedure
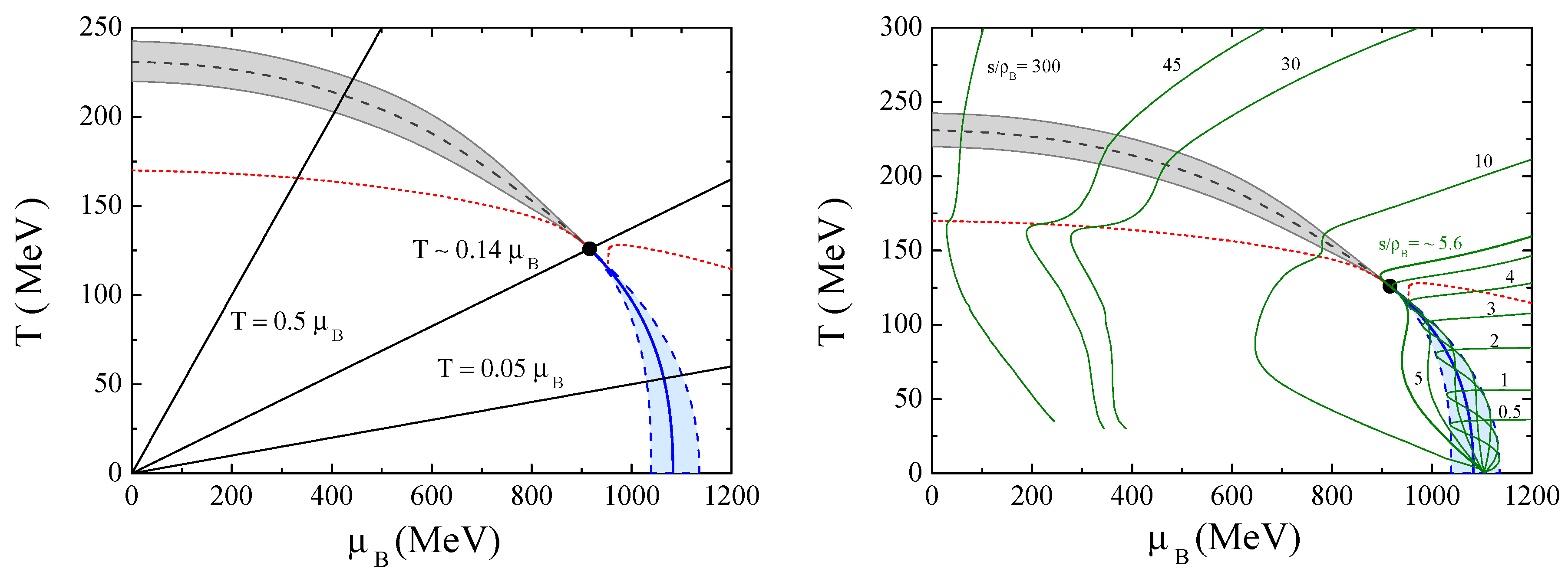
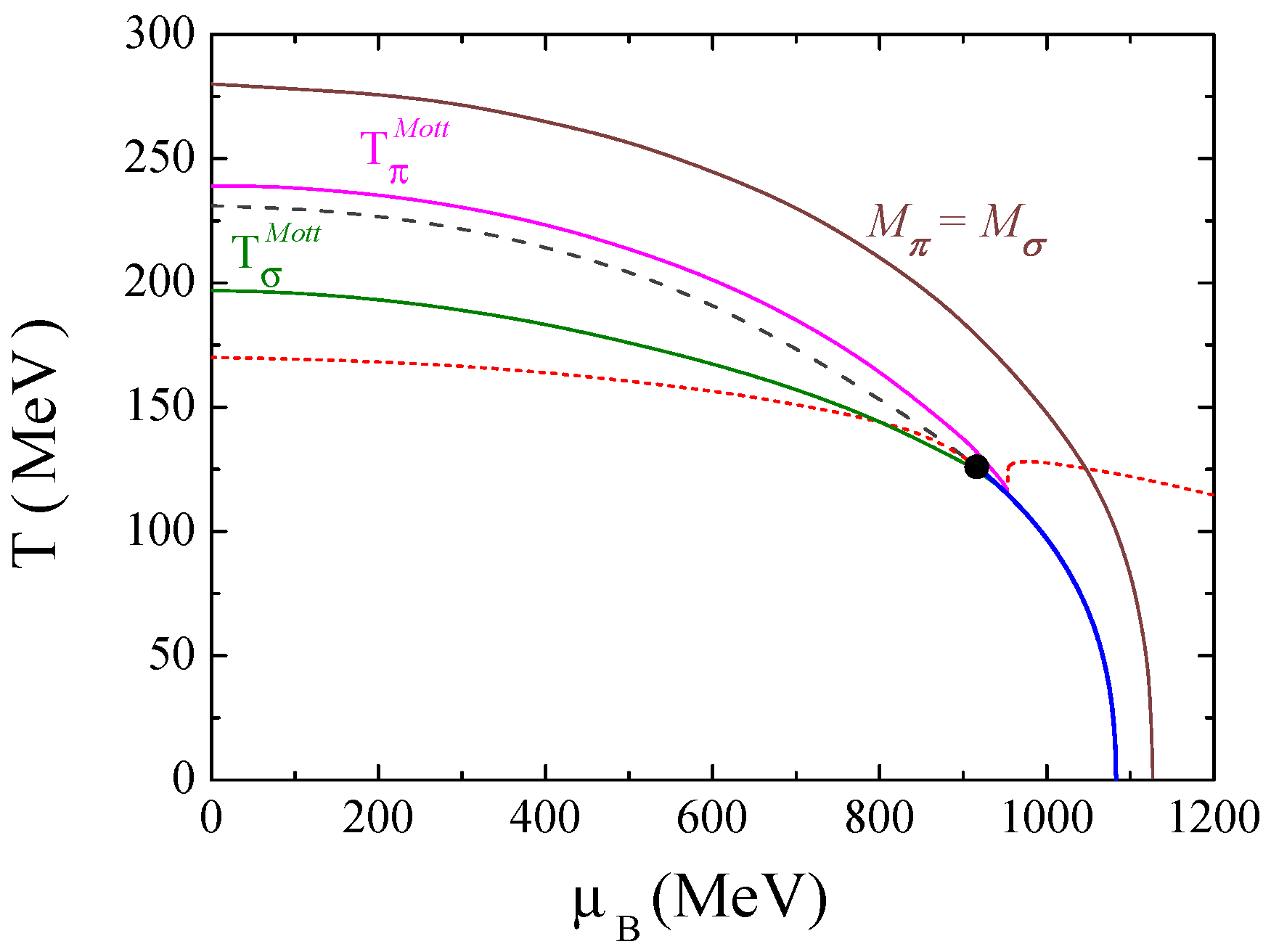
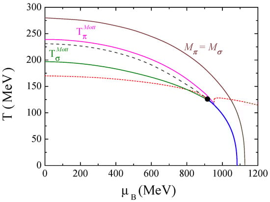
3. The Phase Diagram in the PNJL Model
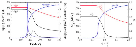
3.1. Characteristic Temperatures at Zero Density
3.2. Finite Temperature and Chemical Potential
3.3. Nernst Principle and Isentropic Trajectories
4. Scalar and Pseudoscalar Mesons in the PNJL Model
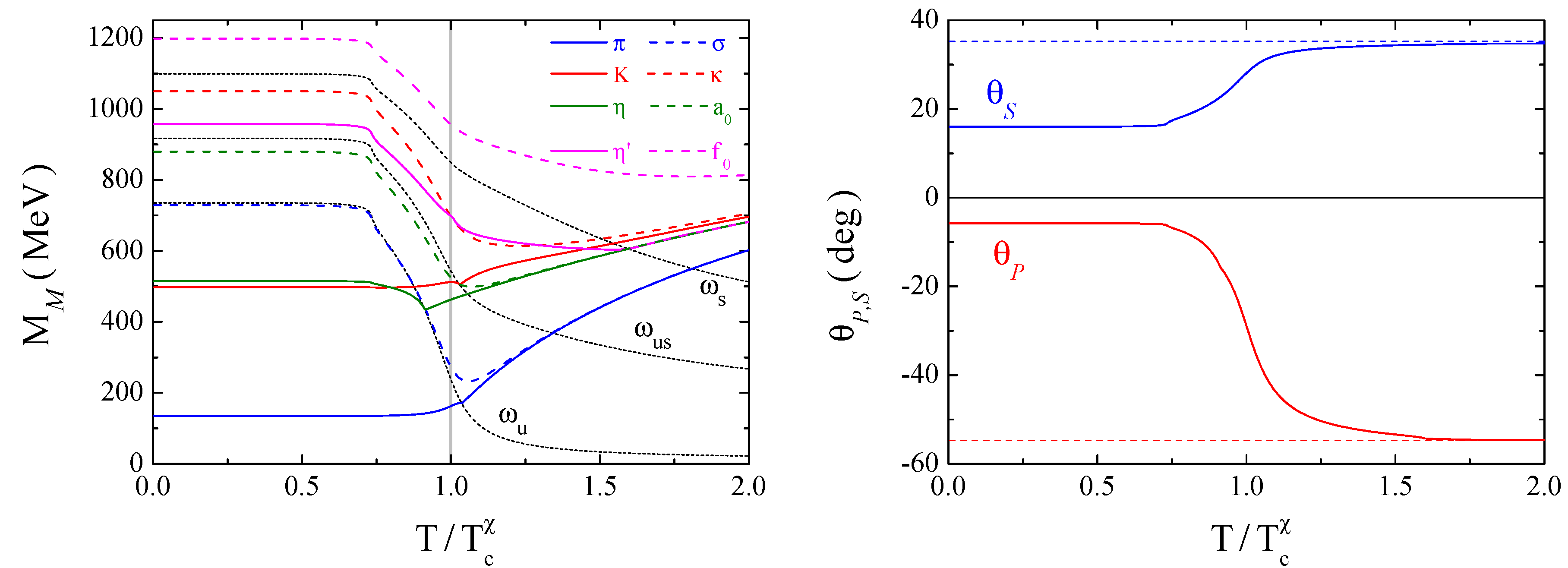
4.1. Mesons Properties at Finite Temperature
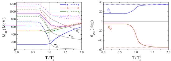
4.1.1. Mesonic Masses and Mixing Angles
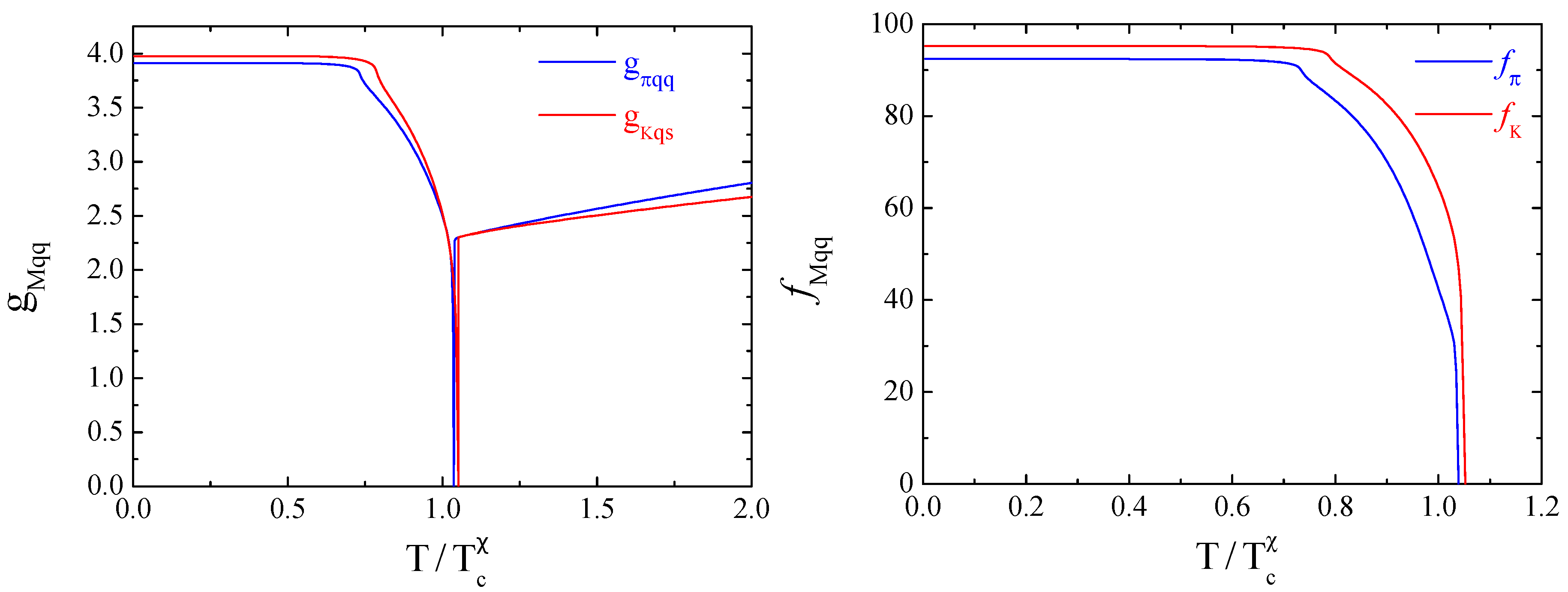
4.1.2. Pion and Kaon Coupling Constants
4.2. Mesons at Zero Temperature
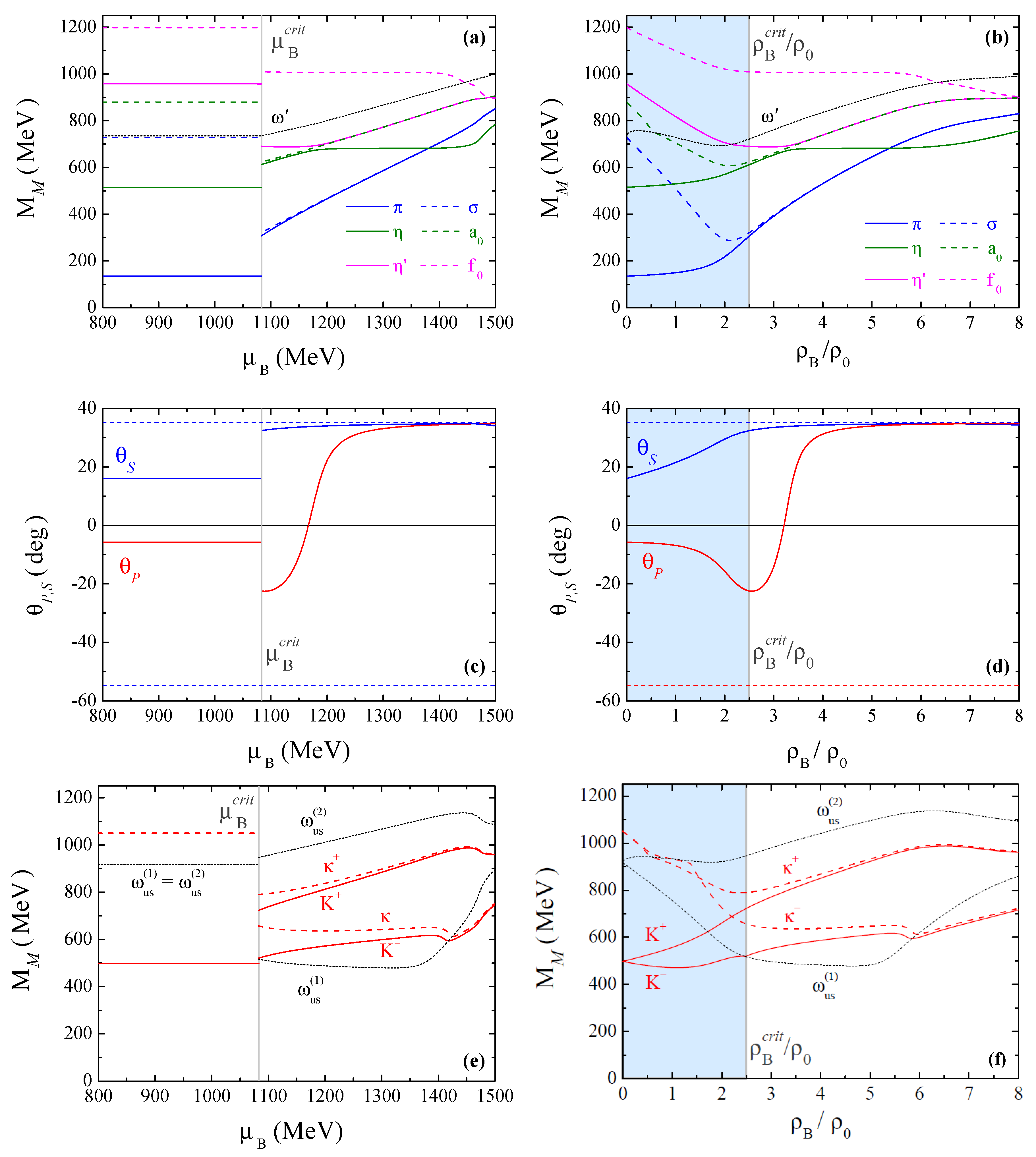
4.3. Mesons Properties in Different Regions of the Phase Diagram
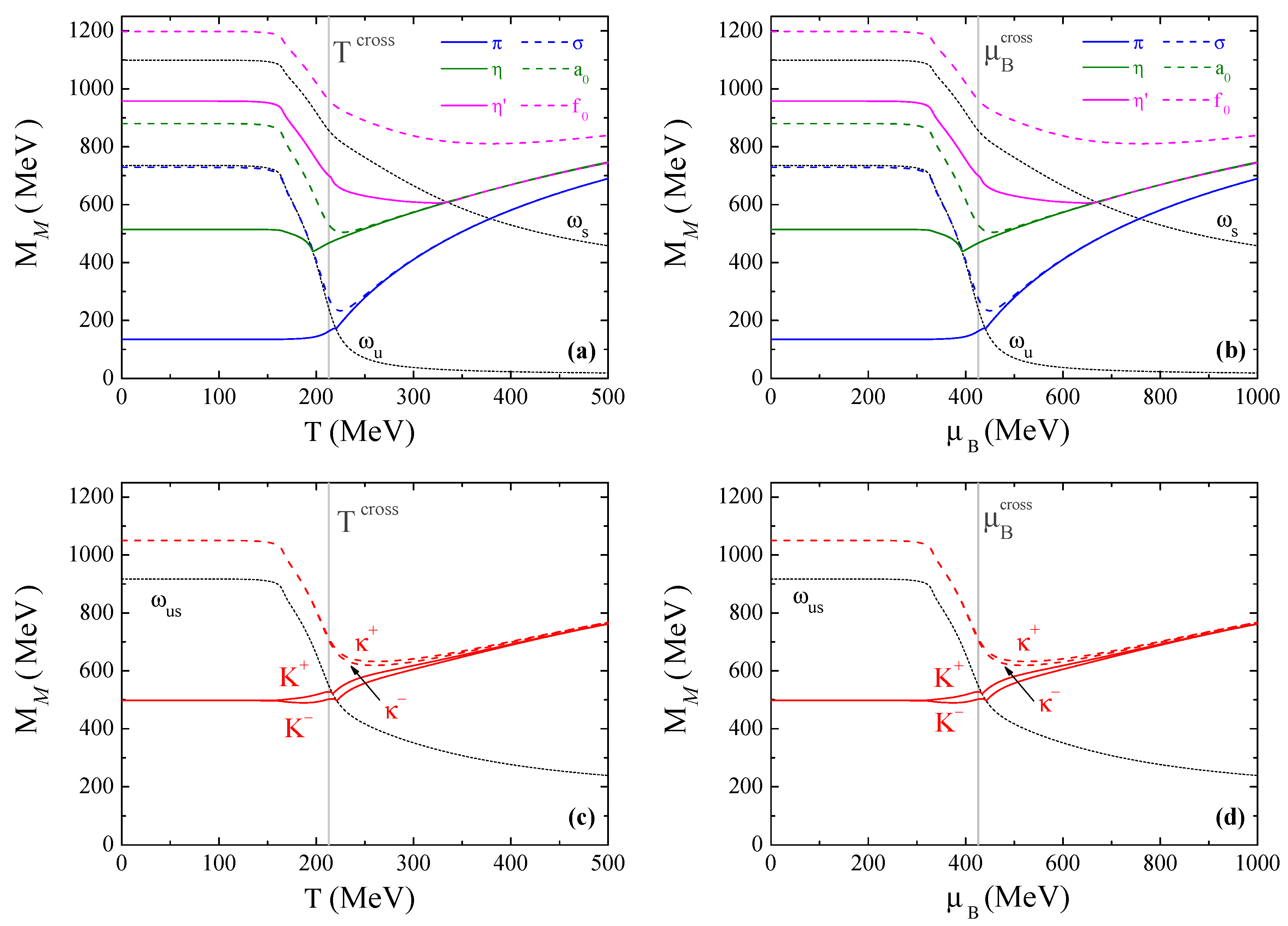
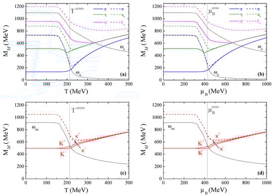
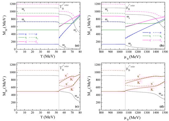
4.3.1. Meson Masses in the Crossover Region
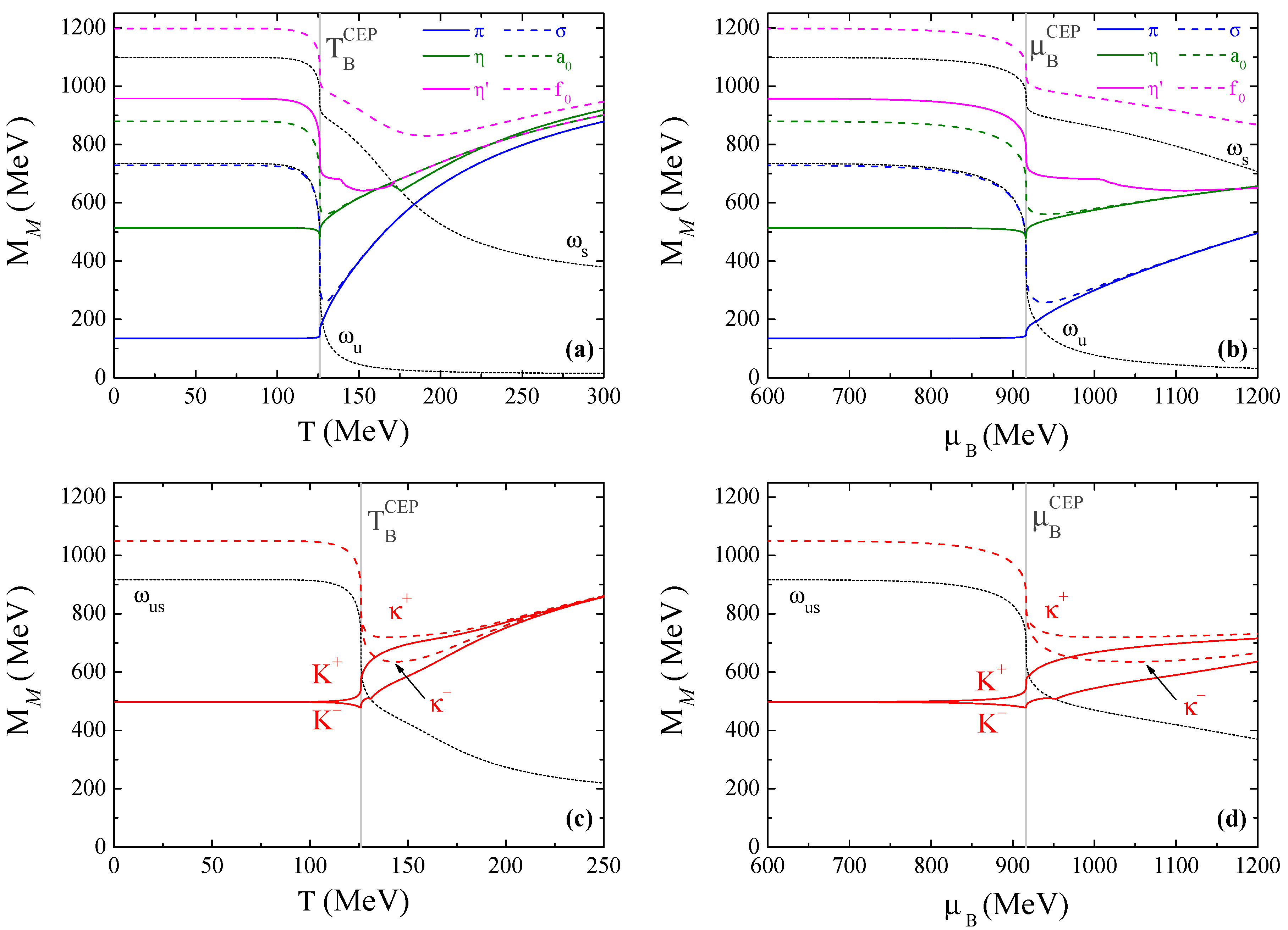
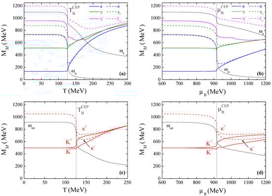
4.3.2. Mesons through the CEP
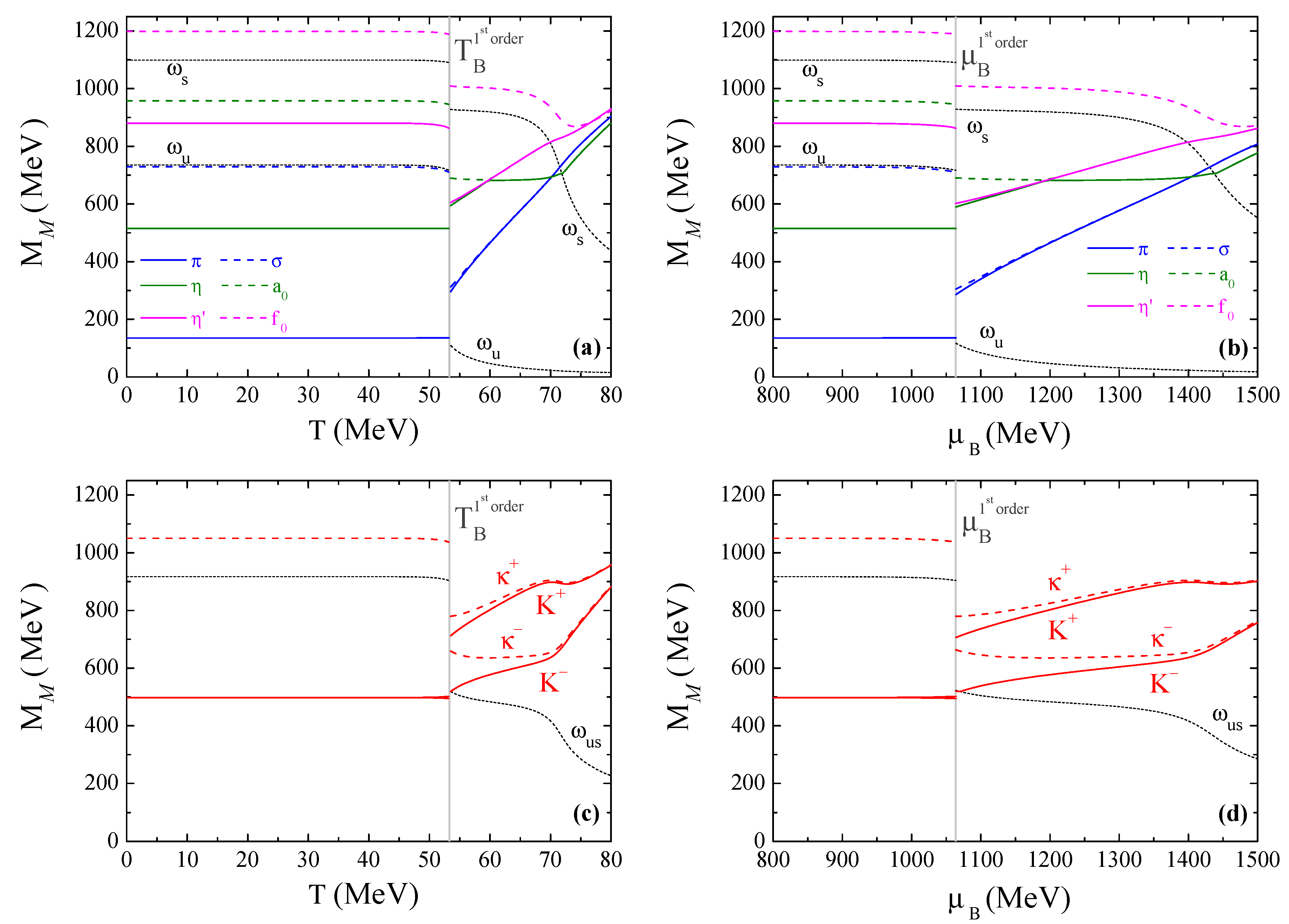
4.3.3. Mesons through the First-Order Transition
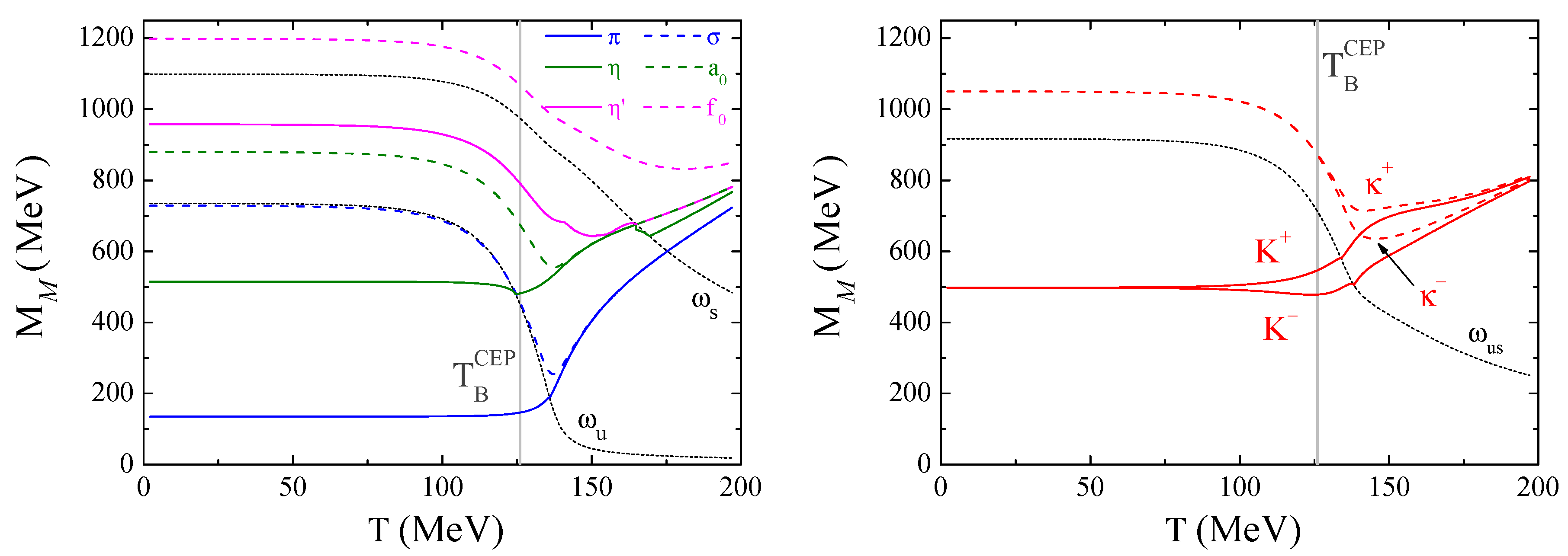
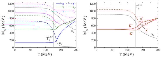
4.3.4. Mesons along the Isentropic Trajectory That Passes over the CEP
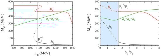
4.4. Effective Restoration of Chiral Symmetry and Mott Dissociation of and along the Phase Diagram
5. Conclusions
- (i)
- the survivability of some meson modes, especially the pion, as a bound state after the transition to the QGP (this tendency to a slightly longer survival as bound state is also shown by the behavior of meson-quark coupling constants for , and mesons);
- (ii)
- the change of identity between and at finite density for scenarios at lower temperatures;
- (iii)
- the meson masses change abruptly when choosing a path that passes through the CEP (this can be very important for the signatures of the CEP);
- (iv)
- in relation to kaons, with the exception of the limiting cases for and , a kaon charge splitting before critical temperature/baryonic chemical potential occurs. At CEP and first-order cases, kaons first degenerate with the respective chiral partners and only then with charge multiplet, contrary to the crossover scenario where charge multiplets degenerate first. At the CEP, there is a accentuated splitting for kaons, with sharply increasing, a splitting that is still pronounced just after the CEP;
- (v)
- above certain critical values of temperature and chemical potentials (, ) the masses of the chiral partners [,] will degenerate, meaning that chiral symmetry is effectively restored. All quantities that violate chiral symmetry are guaranteed to be already sufficiently small.
Author Contributions
Funding
Acknowledgments
Conflicts of Interest
Appendix A
Appendix B
References
- Nambu, Y.; Jona-Lasinio, G. Dynamical Model of Elementary Particles Based on an Analogy with Superconductivity. I. Phys. Rev. 1961, 122, 345–358. [Google Scholar] [CrossRef]
- Nambu, Y.; Jona-Lasinio, G. Dynamical Model of Elementary Particles Based on an Analogy with Superconductivity. II. Phys. Rev. 1961, 124, 246–254. [Google Scholar] [CrossRef]
- Vaks, V.G.; Larkin, A.I. On the application of the methods of superconductivity theory to the problem of the masses of elementary particles. Sov. Phys. JETP 1961, 13, 192–193. [Google Scholar]
- Eguchi, T. A new approach to collective phenomena in superconductivity models. Phys. Rev. 1976, D14, 2755. [Google Scholar] [CrossRef]
- Kikkawa, K. Quantum corrections in superconductor models. Prog. Theor. Phys. 1976, 56, 947. [Google Scholar] [CrossRef]
- Volkov, M.K.; Ebert, D. Four-quark interactions as a common source of the vector meson dominance and Sigma model. Yad. Fiz. 1982, 36, 1265–1277. (In Russian) [Google Scholar]
- Ebert, D.; Volkov, M.K. Composite Meson Model with Vector Dominance Based on U(2) Invariant Four Quark Interactions. Z. Phys. 1983, C16, 205. [Google Scholar] [CrossRef]
- Volkov, M.K. Meson Lagrangians in a Superconductor Quark Model. Ann. Phys. 1984, 157, 282–303. [Google Scholar] [CrossRef]
- Vogl, U.; Weise, W. The Nambu and Jona Lasinio model: Its implications for hadrons and nuclei. Prog. Part. Nucl. Phys. 1991, 27, 195–272. [Google Scholar] [CrossRef]
- Kunihiro, T.; Hatsuda, T. Effects of Flavor Mixing Induced by Axial Anomaly on the Quark Condensates and Meson Spectra. Phys. Lett. 1988, B206, 385–390. [Google Scholar] [CrossRef]
- Bernard, V.; Jaffe, R.L.; Meissner, U.G. Strangeness Mixing and Quenching in the Nambu-Jona-Lasinio Model. Nucl. Phys. 1988, B308, 753–790. [Google Scholar] [CrossRef]
- Reinhardt, H.; Alkofer, R. Instanton Induced Flavor Mixing in Mesons. Phys. Lett. 1988, B207, 482–488. [Google Scholar] [CrossRef]
- Kobayashi, M.; Maskawa, T. Chiral symmetry and eta-x mixing. Prog. Theor. Phys. 1970, 44, 1422–1424. [Google Scholar] [CrossRef]
- Kobayashi, M.; Kondo, H.; Maskawa, T. Symmetry breaking of the chiral u(3) × u(3) and the quark model. Prog. Theor. Phys. 1971, 45, 1955–1959. [Google Scholar] [CrossRef]
- Hooft, G.T. Computation of the Quantum Effects Due to a Four-Dimensional Pseudoparticle. Phys. Rev. 1976, D14, 3432–3450. [Google Scholar] [CrossRef]
- Hooft, G.T. How Instantons Solve the U(1) Problem. Phys. Rep. 1986, 142, 357–387. [Google Scholar] [CrossRef]
- Adler, S.L. Axial vector vertex in spinor electrodynamics. Phys. Rev. 1969, 177, 2426–2438. [Google Scholar] [CrossRef]
- Bell, J.S.; Jackiw, R. A PCAC puzzle: π0→γγ in the σ model. Nuovo Cim. 1969, A60, 47–61. [Google Scholar] [CrossRef]
- Klevansky, S.P. The Nambu-Jona-Lasinio model of quantum chromodynamics. Rev. Mod. Phys. 1992, 64, 649–708. [Google Scholar] [CrossRef]
- Hatsuda, T.; Kunihiro, T. QCD phenomenology based on a chiral effective Lagrangian. Phys. Rept. 1994, 247, 221–367. [Google Scholar] [CrossRef]
- Buballa, M. NJL model analysis of quark matter at large density. Phys. Rept. 2005, 407, 205–376. [Google Scholar] [CrossRef]
- Osipov, A.A.; Hiller, B.; da Providencia, J. Multi-quark interactions with a globally stable vacuum. Phys. Lett. 2006, B634, 48–54. [Google Scholar] [CrossRef]
- Osipov, A.A.; Hiller, B.; Blin, A.H.; da Providencia, J. Effects of eight-quark interactions on the hadronic vacuum and mass spectra of light mesons. Ann. Phys. 2007, 322, 2021–2054. [Google Scholar] [CrossRef]
- Osipov, A.A.; Hiller, B.; Moreira, J.; Blin, A.H. OZI violating eight-quark interactions as a thermometer for chiral transitions. Phys. Lett. 2008, B659, 270–274. [Google Scholar] [CrossRef][Green Version]
- Fukushima, K. Chiral effective model with the Polyakov loop. Phys. Lett. 2004, B591, 277–284. [Google Scholar] [CrossRef]
- Ratti, C.; Thaler, M.A.; Weise, W. Phases of QCD: Lattice thermodynamics and a field theoretical model. Phys. Rev. 2006, D73, 014019. [Google Scholar] [CrossRef]
- Hansen, H.; Alberico, W.; Beraudo, A.; Molinari, A.; Nardi, M.; Ratti, C. Mesonic correlation functions at finite temperature and density in the Nambu-Jona-Lasinio model with a Polyakov loop. Phys. Rev. 2007, D75, 065004. [Google Scholar] [CrossRef]
- Meisinger, P.N.; Ogilvie, M.C. Chiral symmetry restoration and ZN symmetry. Phys. Lett. 1996, B379, 163–168. [Google Scholar] [CrossRef]
- Pisarski, R.D. Quark-gluon plasma as a condensate of SU(3) Wilson lines. Phys. Rev. 2000, D62, 111501. [Google Scholar] [CrossRef]
- Pisarski, R.D. Notes on the Deconfining Phase Transition. arXiv, 2002; arXiv:hep-ph/0203271. [Google Scholar]
- Meisinger, P.N.; Miller, T.R.; Ogilvie, M.C. Phenomenological equations of state for the quark-gluon plasma. Phys. Rev. 2002, D65, 034009. [Google Scholar] [CrossRef]
- Mocsy, A.; Sannino, F.; Tuominen, K. Confinement versus Chiral Symmetry. Phys. Rev. Lett. 2004, 92, 182302. [Google Scholar] [CrossRef]
- Hatsuda, T.; Kunihiro, T. Character Changes of Pion and Sigma Meson at Finite Temperature. Phys. Lett. 1987, B185, 304. [Google Scholar] [CrossRef]
- Bernard, V.; Meissner, U.G.; Zahed, I. Properties of the Scalar σ Meson at Finite Density. Phys. Rev. Lett. 1987, 59, 966. [Google Scholar] [CrossRef]
- Bernard, V.; Meissner, U.G.; Zahed, I. Decoupling of the Pion at Finite Temperature and Density. Phys. Rev. 1987, D36, 819. [Google Scholar] [CrossRef]
- Bernard, V.; Meissner, U.G. Properties of Vector and Axial Vector Mesons from a Generalized Nambu-Jona-Lasinio Model. Nucl. Phys. 1988, A489, 647–670. [Google Scholar] [CrossRef]
- Klimt, S.; Lutz, M.F.M.; Vogl, U.; Weise, W. Generalized SU(3) Nambu-Jona-Lasinio Model. Part 1. Mesonic Modes. Nucl. Phys. 1990, A516, 429–468. [Google Scholar] [CrossRef]
- Vogl, U.; Lutz, M.F.M.; Klimt, S.; Weise, W. Generalized SU(3) Nambu-Jona-Lasinio Model. Part 2. From Current to Constituent Quarks. Nucl. Phys. 1990, A516, 469–495. [Google Scholar] [CrossRef]
- Lutz, M.F.M.; Klimt, S.; Weise, W. Meson properties at finite temperature and baryon density. Nucl. Phys. 1992, A542, 521–558. [Google Scholar] [CrossRef]
- Ruivo, M.C.; de Sousa, C.A.; Hiller, B.; Blin, A.H. Medium effects on meson properties. Nucl. Phys. 1994, A575, 460–476. [Google Scholar] [CrossRef]
- Ruivo, M.C.; de Sousa, C.A. Kaon properties at finite baryonic density: A nonperturbative approach. Phys. Lett. 1996, B385, 39–44. [Google Scholar] [CrossRef]
- De Sousa, C.A.; Ruivo, M.C. Fermi sea effects on pion and kaon properties in the Nambu-Jona-Lasinio model. Nucl. Phys. 1997, A625, 713–728. [Google Scholar] [CrossRef]
- Ruivo, M.C.; de Sousa, C.A.; Providencia, C. Kaons in a hot and flavor-asymmetric medium. Nucl. Phys. 1999, A651, 59–70. [Google Scholar] [CrossRef]
- Bhattacharyya, A.; Ghosh, S.K.; Raha, S. Pion and kaon dissociation in hot quark medium. Mod. Phys. Lett. 1999, A14, 621–630. [Google Scholar] [CrossRef]
- Rehberg, P.; Klevansky, S.; Hufner, J. Hadronization in the SU(3) Nambu-Jona-Lasinio model. Phys. Rev. 1996, C53, 410–429. [Google Scholar] [CrossRef]
- Costa, P.; Ruivo, M.C.; de Sousa, C.A.; Kalinovsky, Yu.L. Effective restoration of the UA(1) symmetry with temperature and density. Phys. Rev. 2004, D70, 116013. [Google Scholar] [CrossRef]
- Costa, P.; Ruivo, M.C.; de Sousa, C.A.; Kalinovsky, Yu.L. Analysis of the UA(1) symmetry-breaking and restoration effects on scalar-pseudoscalar spectrum. Phys. Rev. 2005, D71, 116002. [Google Scholar] [CrossRef]
- Blanquier, E. Standard particles in the SU(3) Nambu-Jona-Lasinio model and the Polyakov-NJL model. J. Phys. 2011, G38, 105003. [Google Scholar] [CrossRef]
- Blanquier, E. Hadronization within a Nambu–Jona-Lasinio model with a Polyakov loop. Phys. Rev. 2014, C89, 065204. [Google Scholar] [CrossRef]
- Blaschke, D.; Dubinin, A.; Radzhabov, A.; Wergieluk, A. Mott dissociation of pions and kaons in hot, dense quark matter. Phys. Rev. 2017, D96, 094008. [Google Scholar] [CrossRef]
- Costa, P.; Ruivo, M.C.; de Sousa, C.A.; Hansen, H.; Alberico, W.M. Scalar-pseudoscalar meson behavior and restoration of symmetries in SU(3) PNJL model. Phys. Rev. 2009, D79, 116003. [Google Scholar] [CrossRef]
- Blanquier, E. Cross sections in the Polyakov-Nambu-Jona-Lasinio model: Study of reactions involving quarks, antiquarks, mesons, diquarks and baryons. J. Phys. 2012, G39, 105003. [Google Scholar] [CrossRef]
- Dubinin, A.; Blaschke, D.; Kalinovsky, Yu.L. Pion and sigma meson dissociation in a modified NJL model at finite temperature. Acta Phys. Polon. Supp. 2014, 7, 215–223. [Google Scholar] [CrossRef]
- Gottfried, F.O.; Klevansky, S.P. Thermodynamics of open and hidden charmed mesons within the NJL model. Phys. Lett. 1992, B286, 221–224. [Google Scholar] [CrossRef]
- Blaschke, D.; Burau, G.; Kalinovsky, Yu.L.; Yudichev, V.L. Chiral symmetry restoration and anomalous J/psi suppression. Prog. Theor. Phys. Suppl. 2003, 149, 182–189. [Google Scholar] [CrossRef]
- Guo, X.Y.; Chen, X.L.; Deng, W.Z. The Heavy mesons in Nambu-Jona-Lasinio model. Chin. Phys. 2013, C37, 033102. [Google Scholar] [CrossRef][Green Version]
- Caramés, T.; Fontoura, C.; Krein, G.; Tsushima, K.; Vijande, J.; Valcarce, A. Hadronic molecules with a D¯ meson in a medium. Phys. Rev. 2016, D94, 034009. [Google Scholar] [CrossRef]
- Blaschke, D.; Costa, P.; Kalinovsky, Yu.L. D mesons at finite temperature and density in the PNJL model. Phys. Rev. 2012, D85, 034005. [Google Scholar] [CrossRef]
- Cabibbo, N.; Parisi, G. Exponential Hadronic Spectrum and Quark Liberation. Phys. Lett. 1975, 59B, 67–69. [Google Scholar] [CrossRef]
- Brambilla, N.; Eidelman, S.; Foka, P.; Gardner, S.; Kronfeld, A.S.; Alford, M.G.; Alkofer, R.; Butenschoen, M.; Cohen, T.D.; Erdmenger, J.; et al. QCD and Strongly Coupled Gauge Theories: Challenges and Perspectives. Eur. Phys. J. 2014, C74, 2981. [Google Scholar] [CrossRef]
- Halasz, A.M.; Jackson, A.D.; Shrock, R.E.; Stephanov, M.A.; Verbaarschot, J.J.M. On the phase diagram of QCD. Phys. Rev. 1998, D58, 096007. [Google Scholar] [CrossRef]
- Gupta, S.; Luo, X.; Mohanty, B.; Ritter, H.G.; Xu, N. Scale for the Phase Diagram of Quantum Chromodynamics. Science 2011, 332, 1525–1528. [Google Scholar] [CrossRef]
- Schmidt, C.; Sharma, S. The phase structure of QCD. J. Phys. 2017, G44, 104002. [Google Scholar] [CrossRef]
- Seiler, E. Status of Complex Langevin. EPJ Web Conf. 2018, 175, 01019. [Google Scholar] [CrossRef]
- Roberts, C.D.; Williams, A.G. Dyson-Schwinger equations and their application to hadronic physics. Prog. Part. Nucl. Phys. 1994, 33, 477–575. [Google Scholar] [CrossRef]
- Roberts, C.D. Strong QCD and Dyson-Schwinger Equations. IRMA Lect. Math. Theor. Phys. 2015, 21, 355–458. [Google Scholar]
- Fischer, C.S. QCD at finite temperature and chemical potential from Dyson—Schwinger equations. Prog. Part. Nucl. Phys. 2019, 105, 1–60. [Google Scholar] [CrossRef]
- Borsanyi, S.; Fodor, Z.; Hoelbling, C.; Katz, S.D.; Krieg, S.; Ratti, C.; Szabo, K.K. Is there still any Tc mystery in lattice QCD? Results with physical masses in the continuum limit III. JHEP 2010, 9, 073. [Google Scholar] [CrossRef]
- Bazavov, A.; Bhattacharya, T.; DeTar, C.; Ding, H.-T.; Gottlieb, S.; Gupta, R.; Hegde, P.; Heller, U.M.; Karsch, F.; Laermann, E.; et al. Equation of state in ( 2 + 1 )-flavor QCD. Phys. Rev. 2014, D90, 094503. [Google Scholar] [CrossRef]
- Fodor, Z.; Katz, S. Critical point of QCD at finite T and mu, lattice results for physical quark masses. JHEP 2004, 0404, 050. [Google Scholar] [CrossRef]
- Fischer, C.S.; Fister, L.; Luecker, J.; Pawlowski, J.M. Polyakov loop potential at finite density. Phys. Lett. 2014, B732, 273–277. [Google Scholar] [CrossRef]
- Fischer, C.S.; Luecker, J.; Welzbacher, C.A. Phase structure of three and four flavor QCD. Phys. Rev. 2014, D90, 034022. [Google Scholar] [CrossRef]
- Adamczyk, L.; Adkins, J.K.; Agakishiev, G.; Aggarwal, M.M.; Ahammed, Z.; Alekseev, I.; Alford, J.; Anson, C.D.; Aparin, A.; Arkhipkin, D.; et al. Beam energy dependence of moments of the net-charge multiplicity distributions in Au + Au collisions at RHIC. Phys. Rev. Lett. 2014, 113, 092301. [Google Scholar] [CrossRef]
- Adamczyk, L.; Adams, J.R.; Adkins, J.K.; Agakishiev, G.; Aggarwal, M.M.; Ahammed, Z.; Ajitanand, N.N.; Alekseev, I.; Anderson, D.M.; Aoyama, R.; et al. Collision Energy Dependence of Moments of Net-Kaon Multiplicity Distributions at RHIC. Phys. Lett. 2018, B785, 551–560. [Google Scholar] [CrossRef]
- Adamczyk, L.; Adkins, J.K.; Agakishiev, G.; Aggarwal, M.M.; Ahammed, Z.; Ajitanand, N.N.; Alekseev, I.; Anderson, D.M.; Aoyama, R.; Aparin, A.; et al. Bulk Properties of the Medium Produced in Relativistic Heavy-Ion Collisions from the Beam Energy Scan Program. Phys. Rev. 2017, C96, 044904. [Google Scholar] [CrossRef]
- Aduszkiewicz, A.; Ali, Y.; Andronov, E.; Antićić, T.; Antoniou, N.; Baatar, B.; Bay, F.; Blondel, A.; BlŘmer, J.; Bogomilov, M.; et al. Multiplicity and transverse momentum fluctuations in inelastic proton—Proton interactions at the CERN Super Proton Synchrotron. Eur. Phys. J. 2016, C76, 635. [Google Scholar] [CrossRef]
- Grebieszkow, K. New results on fluctuations and correlations from the NA61/SHINE experiment at the CERN SPS. PoS 2017, EPS-HEP2017, 167. [Google Scholar] [CrossRef][Green Version]
- Sako, H.; Chujo, T.; Gunji, T.; Harada, H.; Imai, K.; Kaneta, M.; Kinsho, M.; Liu, Y.; Nagamiya, S.; Nishio, K.; et al. Towards the heavy-ion program at J-PARC. Nucl. Phys. A 2014, 931, 1158–1162. [Google Scholar] [CrossRef]
- Ablyazimov, T.; Abuhoza, A.; Adak, R.P.; Adamczyk, M.; Agarwal, K.; Aggarwal, M.M.; Ahammed, Z.; Ahmad, F.; Ahmad, N.; Ahmad, S.; et al. Challenges in QCD matter physics—The scientific programme of the Compressed Baryonic Matter experiment at FAIR. Eur. Phys. J. 2017, A53, 60. [Google Scholar] [CrossRef]
- Blaschke, D.; Aichelin, J.; Bratkovskaya, E.; Friese, V.; Gazdzicki, M.; Randrup, J.; Rogachevsky, O.; Teryaev, O.; Toneev, V. Topical issue on Exploring Strongly Interacting Matter at High Densities—NICA White Paper. Eur. Phys. J. A 2016, 52, 267. [Google Scholar] [CrossRef]
- Akiba, Y.; Angerami, A.; Caines, H.; Frawley, A.; Heinz, U.; Jacak, B.; Jia, J.; Lappi, T.; Li, W.; Majumder, A.; et al. The Hot QCD White Paper: Exploring the Phases of QCD at RHIC and the LHC. arXiv, 2015; arXiv:1502.02730. [Google Scholar]
- Asakawa, M.; Yazaki, K. Chiral Restoration at Finite Density and Temperature. Nucl. Phys. 1989, A504, 668–684. [Google Scholar] [CrossRef]
- Schwarz, T.M.; Klevansky, S.P.; Papp, G. The Phase diagram and bulk thermodynamical quantities in the NJL model at finite temperature and density. Phys. Rev. 1999, C60, 055205. [Google Scholar] [CrossRef]
- Zhuang, P.; Huang, M.; Yang, Z. Density effect on hadronization of a quark plasma. Phys. Rev. 2000, C62, 054901. [Google Scholar] [CrossRef]
- Scavenius, O.; Mocsy, A.; Mishustin, I.N.; Rischke, D.H. Chiral phase transition within effective models with constituent quarks. Phys. Rev. 2001, C64, 045202. [Google Scholar] [CrossRef]
- Fujii, H. Scalar density fluctuation at critical end point in NJL model. Phys. Rev. 2003, D67, 094018. [Google Scholar] [CrossRef]
- Biguet, A.; Hansen, H.; Brugière, T.; Costa, P.; Borgnat, P. Sensitivity of predictions in an effective model—Application to the chiral critical end point position in the Nambu–Jona-Lasinio model. Eur. Phys. J. 2015, A51, 121. [Google Scholar] [CrossRef]
- Mishustin, I.N.; Satarov, L.M.; Stoecker, H.; Greiner, W. Unusual bound states of quark matter within the NJL model. Phys. Rev. 2000, C62, 034901. [Google Scholar] [CrossRef]
- Costa, P.; de Sousa, C.A.; Ruivo, M.C.; Kalinovsky, Y.L. The QCD critical end point in the SU(3) Nambu-Jona-Lasinio model. Phys. Lett. 2007, B647, 431–435. [Google Scholar] [CrossRef]
- Costa, P.; Ruivo, M.C.; de Sousa, C.A. Thermodynamics and critical behavior in the Nambu-Jona-Lasinio model of QCD. Phys. Rev. 2008, D77, 096001. [Google Scholar] [CrossRef]
- Fu, W.J.; Zhang, Z.; Liu, Y.X. 2 + 1 Flavor Polyakov–Nambu–Jona-Lasinio Model at Finite Temperature and Nonzero Chemical Potential. Phys. Rev. 2008, D77, 014006. [Google Scholar] [CrossRef]
- Costa, P.; de Sousa, C.A.; Ruivo, M.C.; Hansen, H. The QCD critical end point in the PNJL model. EPL 2009, 86, 31001. [Google Scholar] [CrossRef]
- Costa, P.; Ruivo, M.C.; de Sousa, C.A.; Hansen, H. Phase diagram and critical properties within an effective model of QCD: the Nambu-Jona-Lasinio model coupled to the Polyakov loop. Symmetry 2010, 2, 1338–1374. [Google Scholar] [CrossRef]
- Friesen, A.V.; Kalinovsky, Yu.L.; Toneev, V.D. Vector interaction effect on thermodynamics and phase structure of QCD matter. Int. J. Mod. Phys. 2015, A30, 1550089. [Google Scholar] [CrossRef]
- Torres-Rincon, J.M.; Aichelin, J. Equation of state of a quark-meson mixture in the improved Polyakov-Nambu-Jona-Lasinio model at finite chemical potential. Phys. Rev. 2017, C96, 045205. [Google Scholar] [CrossRef]
- Schertler, K.; Leupold, S.; Schaffner-Bielich, J. Neutron stars and quark phases in the NJL model. Phys. Rev. 1999, C60, 025801. [Google Scholar] [CrossRef]
- Hanauske, M.; Satarov, L.M.; Mishustin, I.N.; Stoecker, H.; Greiner, W. Strange quark stars within the Nambu-Jona-Lasinio model. Phys. Rev. 2001, D64, 043005. [Google Scholar] [CrossRef]
- Buballa, M.; Neumann, F.; Oertel, M.; Shovkovy, I. Quark mass effects on the stability of hybrid stars. Phys. Lett. 2004, B595, 36–43. [Google Scholar] [CrossRef]
- Menezes, D.P.; Providencia, C. Warm stellar matter with deconfinement: Application to compact stars. Phys. Rev. 2003, C68, 035804. [Google Scholar] [CrossRef]
- Lenzi, C.H.; Schneider, A.S.; Providencia, C.; Marinho, R.M. Compact stars with a quark core within NJL model. Phys. Rev. 2010, C82, 015809. [Google Scholar] [CrossRef]
- Bonanno, L.; Sedrakian, A. Composition and stability of hybrid stars with hyperons and quark color-superconductivity. Astron. Astrophys. 2012, 539, A16. [Google Scholar] [CrossRef]
- Pereira, R.C.; Costa, P.; Providência, C. Two-solar-mass hybrid stars: A two model description with the Nambu-Jona-Lasinio quark model. Phys. Rev. 2016, D94, 094001. [Google Scholar] [CrossRef]
- Menezes, D.P.; Benghi Pinto, M.; Avancini, S.S.; Perez Martinez, A.; Providencia, C. Quark matter under strong magnetic fields in the Nambu-Jona-Lasinio Model. Phys. Rev. 2009, C79, 035807. [Google Scholar] [CrossRef]
- Ferreira, M.; Costa, P.; Menezes, D.P.; Providência, C.; Scoccola, N. Deconfinement and chiral restoration within the SU(3) Polyakov-Nambu-Jona-Lasinio and entangled Polyakov-Nambu-Jona-Lasinio models in an external magnetic field. Phys. Rev. 2014, D89, 016002. [Google Scholar] [CrossRef]
- Costa, P.; Ferreira, M.; Hansen, H.; Menezes, D.P.; Providência, C. Phase transition and critical end point driven by an external magnetic field in asymmetric quark matter. Phys. Rev. 2014, D89, 056013. [Google Scholar] [CrossRef]
- Ferreira, M.; Costa, P.; Lourenço, O.; Frederico, T.; Providência, C. Inverse magnetic catalysis in the (2 + 1)-flavor Nambu-Jona-Lasinio and Polyakov-Nambu-Jona-Lasinio models. Phys. Rev. 2014, D89, 116011. [Google Scholar] [CrossRef]
- Costa, P.; Ferreira, M.; Menezes, D.P.; Moreira, J.; Providência, C. Influence of the inverse magnetic catalysis and the vector interaction in the location of the critical end point. Phys. Rev. 2015, D92, 036012. [Google Scholar] [CrossRef]
- Ferreira, M.; Costa, P.; Providência, C. Multiple critical endpoints in magnetized three flavor quark matter. Phys. Rev. 2018, D97, 014014. [Google Scholar] [CrossRef]
- Ferreira, M.; Costa, P.; Providência, C. Presence of a critical endpoint in the QCD phase diagram from the net-baryon number fluctuations. Phys. Rev. 2018, D98, 034006. [Google Scholar] [CrossRef]
- Roessner, S.; Ratti, C.; Weise, W. Polyakov loop, diquarks and the two-flavour phase diagram. Phys. Rev. 2007, D75, 034007. [Google Scholar] [CrossRef]
- Fukushima, K. Phase diagrams in the three-flavor Nambu-Jona-Lasinio model with the Polyakov loop. Phys. Rev. 2008, D77, 114028. [Google Scholar] [CrossRef]
- Ejiri, S.; Iwasaki, Y.; Kanaya, K. Nonperturbative determination of anisotropy coefficients in lattice gauge theories. Phys. Rev. 1998, D58, 094505. [Google Scholar] [CrossRef]
- Boyd, G.; Engels, J.; Karsch, F.; Laermann, E.; Legeland, C.; Lutgemeier, M.; Petersson, B. Thermodynamics of SU(3) lattice gauge theory. Nucl. Phys. 1996, B469, 419–444. [Google Scholar] [CrossRef]
- Kaczmarek, O.; Karsch, F.; Petreczky, P.; Zantow, F. Heavy quark anti-quark free energy and the renormalized Polyakov loop. Phys. Lett. 2002, B543, 41–47. [Google Scholar] [CrossRef]
- Ruivo, M.C.; Costa, P.; de Sousa, C.A.; Kalinovsky, Yu.L. Effective restoration of chiral and axial symmetries at finite temperature and density. J. Phys. 2005, G31, S1183–S1186. [Google Scholar] [CrossRef][Green Version]
- Costa, P.; Ruivo, M.C.; Kalinovsky, Yu.L.; de Sousa, C.A. Pseudoscalar mesons in hot, dense matter. Phys. Rev. 2004, C70, 025204. [Google Scholar] [CrossRef]
- Bazavov, A.; Ding, H.T.; Hegde, P.; Kaczmarek, O.; Karsch, F.; Laermann, E.; Mukherjee, S.; Petreczky, P.; Schmidt, C.; Smith, D.; et al. Freeze-out Conditions in Heavy Ion Collisions from QCD Thermodynamics. Phys. Rev. Lett. 2012, 109, 192302. [Google Scholar] [CrossRef]
- Kapusta, J.I.; Gale, C. Finite-Temperature Field Theory: Principles and Applications; Cambridge Monographs on Mathematical Physics; Cambridge University Press: Cambridge, UK, 2011. [Google Scholar]
- Van den Bossche, B. The Three Flavor A Scaled Nambu-Jona-Lasinio Model. Ph.D. Thesis, Université de Liège, Liège, Belgium, 1996. [Google Scholar]
- Pauli, W.; Villars, F. On the Invariant regularization in relativistic quantum theory. Rev. Mod. Phys. 1949, 21, 434–444. [Google Scholar] [CrossRef]
- Schuren, C.; Doring, F.; Ruiz Arriola, E.; Goeke, K. Vector mesons in the Nambu-Jona-Lasinio model. Nucl. Phys. 1993, A565, 687–739. [Google Scholar] [CrossRef]
- Dmitrasinovic, V.; Schulze, H.J.; Tegen, R.; Lemmer, R.H. Chirally symmetric O (1/N(c corrections to the Nambu-Jona-Lasinio model. Ann. Phys. 1995, 238, 332–369. [Google Scholar] [CrossRef]
- Schwinger, J.S. On gauge invariance and vacuum polarization. Phys. Rev. 1951, 82, 664–679. [Google Scholar] [CrossRef]
- Ripka, G. Quarks Bound by Chiral Fields: The Quark-Structure of the Vacuum and of Light Mesons and Baryons; Oxford Studies in Nuclear Physics; Clarendon Press: Oxford, UK, 1997. [Google Scholar]
- Van den Bossche, B. The Three flavor A scaled Nambu-Jona-Lasinio model. In Proceedings of the Research Workshop on Deconfinement at Finite Temperature and Density, Dubna, Russia, 1–25 October 1997. [Google Scholar]
- Costa, P.; Ruivo, M.C.; de Sousa, C.A. Effects of the regularization on the restoration of chiral and axial symmetries. Phys. Rev. 2008, D77, 096009. [Google Scholar] [CrossRef]
- Costa, P.; Hansen, H.; Ruivo, M.C.; de Sousa, C.A. How parameters and regularization affect the PNJL model phase diagram and thermodynamic quantities. Phys. Rev. 2010, D81, 016007. [Google Scholar] [CrossRef]
- Bratovic, N.M.; Hatsuda, T.; Weise, W. Role of Vector Interaction and Axial Anomaly in the PNJL Modeling of the QCD Phase Diagram. Phys. Lett. 2013, B719, 131–135. [Google Scholar] [CrossRef]
- Moreira, J.; Hiller, B.; Osipov, A.A.; Blin, A.H. Thermodynamic potential with correct asymptotics for PNJL model. Int. J. Mod. Phys. 2012, A27, 1250060. [Google Scholar] [CrossRef]
- Karsch, F. Lattice QCD at high temperature and density. Lect. Notes Phys. 2002, 583, 209–249. [Google Scholar] [CrossRef]
- Borsanyi, S.; Endrodi, G.; Fodor, Z.; Katz, S.D.; Szabo, K.K. Precision SU(3) lattice thermodynamics for a large temperature range. JHEP 2012, 07, 056. [Google Scholar] [CrossRef]
- Schaefer, B.J.; Pawlowski, J.M.; Wambach, J. The Phase Structure of the Polyakov-Quark-Meson Model. Phys. Rev. 2007, D76, 074023. [Google Scholar] [CrossRef]
- Kaczmarek, O. Screening at finite temperature and density. PoS 2007, CPOD07, 043. [Google Scholar]
- Aoki, Y.; Borsanyi, S.; Durr, S.; Fodor, Z.; Katz, S.D.; Krieg, S.; Szabo, K.K. The QCD transition temperature: results with physical masses in the continuum limit II. JHEP 2009, 6, 88. [Google Scholar] [CrossRef]
- Bluhm, M.; Kampfer, B.; Schulze, R.; Seipt, D.; Heinz, U. A family of equations of state based on lattice QCD: Impact on flow in ultrarelativistic heavy-ion collisions. Phys. Rev. 2007, C76, 034901. [Google Scholar] [CrossRef]
- Costa, P. Influence of the vector interaction and an external magnetic field on the isentropes near the chiral critical end point. Phys. Rev. 2016, D93, 114035. [Google Scholar] [CrossRef]
- Ejiri, S.; Karsch, F.; Laermann, E.; Schmidt, C. The isentropic equation of state of 2-flavor QCD. Phys. Rev. 2006, D73, 054506. [Google Scholar] [CrossRef]
- Borsanyi, S.; Endrodi, G.; Fodor, Z.; Katz, S.D.; Krieg, S.; Ratti, C.; Szabo, K.K. QCD equation of state at nonzero chemical potential: continuum results with physical quark masses at order mu2. JHEP 2012, 8, 053. [Google Scholar] [CrossRef]
- Nonaka, C.; Asakawa, M. Hydrodynamical evolution near the QCD critical end point. Phys. Rev. 2005, C71, 044904. [Google Scholar] [CrossRef]
- Fukushima, K. Isentropic thermodynamics in the PNJL model. Phys. Rev. 2009, D79, 074015. [Google Scholar] [CrossRef]
- Kahara, T.; Tuominen, K. Degrees of freedom and the phase transitions of two flavor QCD. Phys. Rev. 2008, D78, 034015. [Google Scholar] [CrossRef]
- Nakano, E.; Schaefer, B.J.; Stokic, B.; Friman, B.; Redlich, K. Fluctuations and isentropes near the chiral critical endpoint. Phys. Lett. 2010, B682, 401–407. [Google Scholar] [CrossRef]
- Costa, P.; Ruivo, M.C.; Kalinovsky, Yu.L. Pseudoscalar neutral mesons in hot and dense matter. Phys. Lett. 2003, B560, 171–177. [Google Scholar] [CrossRef]
- Schaefer, B.J.; Wagner, M. The three-flavor chiral phase structure in hot and dense QCD matter. Phys. Rev. 2009, D79, 014018. [Google Scholar] [CrossRef]
- Horvatic, D.; Klabucar, D.; Radzhabov, A.E. η and η′ mesons in the Dyson-Schwinger approach at finite temperature. Phys. Rev. 2007, D76, 096009. [Google Scholar] [CrossRef]
- Lenaghan, J.T.; Rischke, D.H.; Schaffner-Bielich, J. Chiral symmetry restoration at nonzero temperature in the SU(3)r× SU(3)l linear sigma model. Phys. Rev. 2000, D62, 085008. [Google Scholar] [CrossRef]
- Schaffner-Bielich, J. Effective restoration of the UA(1) symmetry in the SU(3) linear sigma model. Phys. Rev. Lett. 2000, 84, 3261. [Google Scholar] [CrossRef]
- Costa, P.; Ruivo, M.C. Kaons and pions in strange matter. Europhys. Lett. 2002, 60, 356–362. [Google Scholar] [CrossRef][Green Version]
- Anticic, T.; Baatar, B.; Barna, D.; Bartke, J.; Betev, L.; Białkowska, H.; Blume, C.; Boimska, B.; Botje, M.; Bracinik, J.; et al. Search for the QCD critical point in nuclear collisions at the CERN SPS. Phys. Rev. 2010, C81, 064907. [Google Scholar] [CrossRef]
- Hatsuda, T.; Kunihiro, T.; Shimizu, H. Precursor of chiral symmetry restoration in the nuclear medium. Phys. Rev. Lett. 1999, 82, 2840–2843. [Google Scholar] [CrossRef]
- Cleymans, J.; Oeschler, H.; Redlich, K.; Wheaton, S. Transition from baryonic to mesonic freeze-out. Phys. Lett. 2005, B615, 50–54. [Google Scholar] [CrossRef]
- Friesen, A.V.; Kalinovsky, Yu.L.; Toneev, V.D. Strange Matter and Kaon to Pion Ratio in SU(3) PNJL Model. arXiv, 2018; arXiv:1808.04179. [Google Scholar]
- Moreira, J.; Morais, J.; Hiller, B.; Osipov, A.A.; Blin, A.H. Thermodynamical properties of strongly interacting matter in a model with explicit chiral symmetry breaking interactions. Phys. Rev. 2018, D98, 074010. [Google Scholar] [CrossRef]
- Morais, J.; Hiller, B.; Osipov, A.A. A general framework to diagonalize vector-scalar and axial-vector-pseudoscalar transitions in the effective meson Lagrangian. Phys. Lett. 2017, B773, 277–282. [Google Scholar] [CrossRef]











| Physical Quantities | Parameter Set and Constituent Quark Masses |
|---|---|
| MeV | MeV |
| MeV | MeV |
| MeV | MeV |
| MeV | |
| MeV | |
| MeV | MeV |
| MeV | MeV |
| MeV | |
| MeV | |
| MeV | |
| ; |
| [MeV] | [MeV] | [MeV] | [MeV] | [MeV] | [MeV] | [MeV] |
|---|---|---|---|---|---|---|
| 231 | 170 | 280 | 239 | 211 | 243 | 197 |
© 2019 by the authors. Licensee MDPI, Basel, Switzerland. This article is an open access article distributed under the terms and conditions of the Creative Commons Attribution (CC BY) license (http://creativecommons.org/licenses/by/4.0/).
Share and Cite
Costa, P.; Pereira, R. Phase Diagram, Scalar-Pseudoscalar Meson Behavior and Restoration of Symmetries in (2 + 1) Polyakov-Nambu-Jona-Lasinio Model. Symmetry 2019, 11, 507. https://doi.org/10.3390/sym11040507
Costa P, Pereira R. Phase Diagram, Scalar-Pseudoscalar Meson Behavior and Restoration of Symmetries in (2 + 1) Polyakov-Nambu-Jona-Lasinio Model. Symmetry. 2019; 11(4):507. https://doi.org/10.3390/sym11040507
Chicago/Turabian StyleCosta, Pedro, and Renan Pereira. 2019. "Phase Diagram, Scalar-Pseudoscalar Meson Behavior and Restoration of Symmetries in (2 + 1) Polyakov-Nambu-Jona-Lasinio Model" Symmetry 11, no. 4: 507. https://doi.org/10.3390/sym11040507
APA StyleCosta, P., & Pereira, R. (2019). Phase Diagram, Scalar-Pseudoscalar Meson Behavior and Restoration of Symmetries in (2 + 1) Polyakov-Nambu-Jona-Lasinio Model. Symmetry, 11(4), 507. https://doi.org/10.3390/sym11040507

