Peristaltic Blood Flow of Couple Stress Fluid Suspended with Nanoparticles under the Influence of Chemical Reaction and Activation Energy
Abstract
:1. Introduction
2. Formulism
3. Results
4. Discussion
4.1. Axial Velocity
4.2. Thermal Distribution
4.3. Nanoparticle Concentration Profile
4.4. Trapping Phenomenon/ Streamline Configuration
5. Conclusions
- Strong buoyant force results in retarded axial velocity for the thermophoresis parameter.
- Peristaltic movement of the outer tube enhances the Brownian motion and raises the temperature of the nanofluid.
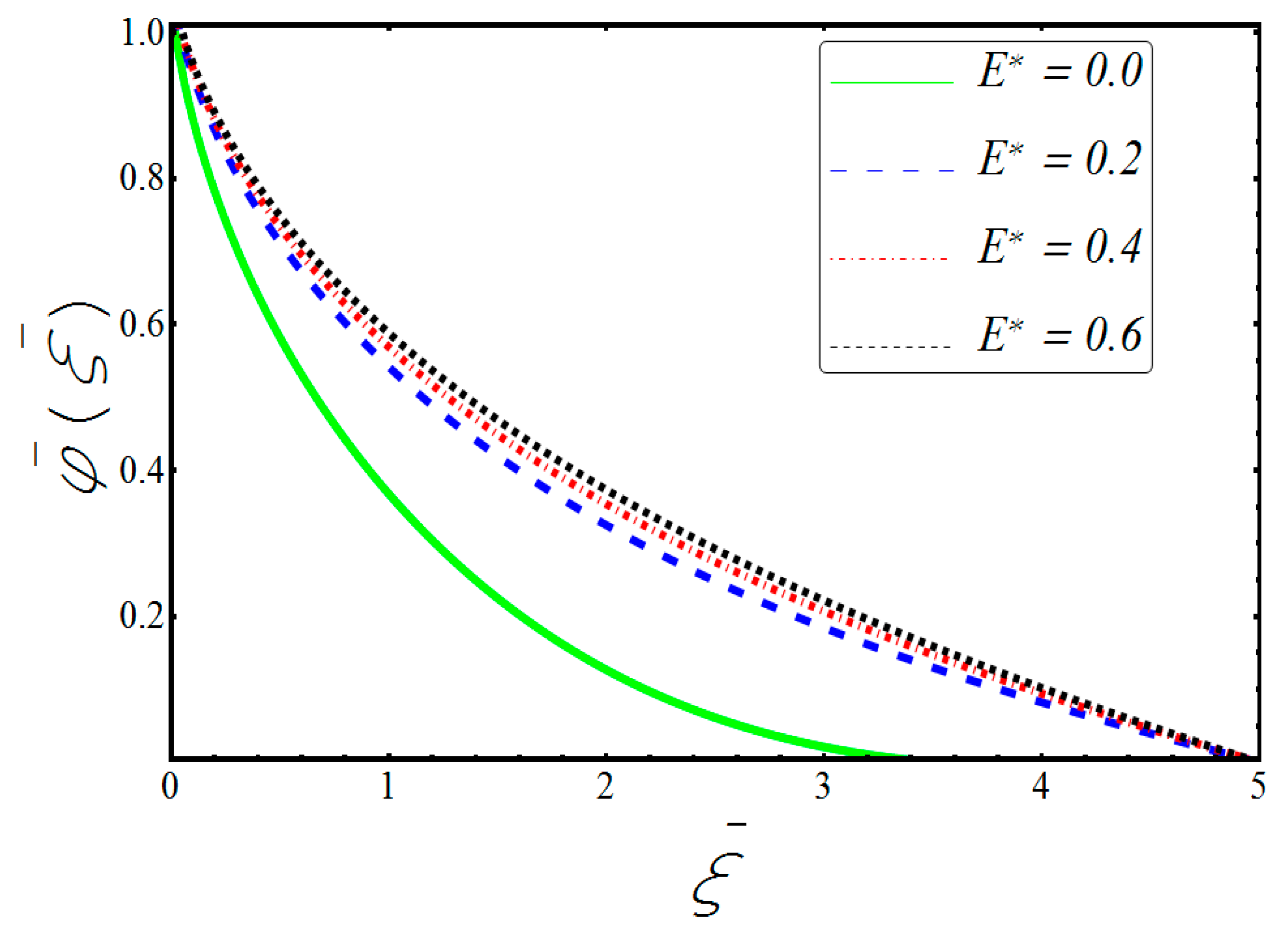
- Activation energy entering the process maximizes the concentration boundary layer thickness.
- The reaction rate constant increases concentration at the catheter, which decreases the concentration of nanoparticles.
- The thermophoresis parameter shrinks the size of the bolus by strengthening isotherms and closed paths of concentration lines.
- The couple stress parameter and reaction rate constant give freedom to the bolus to swell by binding the stream lines closer to each another.
Author Contributions
Funding
Acknowledgments
Conflicts of Interest
Nomenclature
| Nanofluid velocity | |
| G | Gravitational acceleration |
| Radial velocity Component (fixed frame) | |
| Axial velocity component (Fixed frame) | |
| Radial velocity component (wave frame) | |
| Axial velocity component (Wave frame) | |
| Dimensionless radial velocity component | |
| Dimensionless lateral velocity component | |
| Amplitude of peristaltic wave | |
| Time | |
| Rate of reaction | |
| Propagating velocity of wave | |
| Thermophoresis parameter | |
| Thermal conductivity | |
| Brownian motion parameter | |
| Grashof number | |
| Thermophoretic diffusion coefficient | |
| Brownian motion coefficient | |
| Amplitude of peristaltic wave | |
| Time | |
| Dimensionless radius of outer tube | |
| Dimensionless radius of inner tube | |
| Dimensional pressure | |
| Brownian diffusion constant | |
| Reaction rate constant | |
| Activation energy (Dimensionless) | |
| Activation energy (Dimensional) | |
| n | Fitted rate constant |
| Greek Symbols | |
| Radial direction of the flow (Fixed frame) | |
| Axial direction of the flow (Fixed frame) | |
| Radial direction of the flow (Wave frame) | |
| Axial direction of the flow (Wave frame) | |
| Radial direction of the flow (Dimensionless) | |
| Axial direction of the flow (Dimensionless) | |
| Radius of inner tube (Dimensional) | |
| Radius of outer tube (Dimensional) | |
| Nanoparticle concentration (Fixed frame) | |
| Nanofluid temperature (Fixed frame) | |
| Nanoparticle concentration (Wave frame) | |
| Nanofluid temperature (Wave frame) | |
| Nanoparticle concentration (Dimensionless) | |
| Nanofluid temperature (Dimensionless) | |
| Couple stress fluid’s constant | |
| Couple stress parameter | |
| A ratio defined as | |
| Temperature ratio | |
| Density of nanoparticle at reference temperature | |
| Density of nanofluid at reference temperature | |
| Heat capacity of base fluid | |
| Heat capacity of particle | |
| Dynamic Viscosity | |
| Kinematic viscosity | |
| Wavelength | |
| Ratio defined as | |
| A constant ratio | |
| Volumetric coefficient of expansion | |
| Reference concentration | |
| Reference temperature | |
| Mass concentration | |
| Fluid temperature | |
| Subscripts | |
| Base fluid | |
| Particle | |
References
- Karimipour, A.; Orazio, A.D.; Shadloo, M.S. The effects of different nano particles of Al2O3 and Ag on the MHD nano fluid flow and heat transfer in a microchannel including slip velocity and temperature jump. Physica E 2017, 86, 146–153. [Google Scholar] [CrossRef]
- Tripathi, D.; Beg, O.A. A study on peristaltic flow of nanofluids: Application in drug delivery systems. Int. J. Heat Mass Transf. 2014, 70, 61–70. [Google Scholar] [CrossRef]
- Nabil, T.M.; El-dabe, N.T.M.; Moatimid, G.M.; Hassan, M.A.; Godh, W.A. Wall properties of peristaltic MHD Nanofluid flow through porous channel. Fluid Mech. Res. Int. 2018, 2, 19. [Google Scholar] [CrossRef]
- Swarnalathamma, B.V.; Krishna, M.V. Peristaltic hemodynamic flow of couple stress fluid through a porous medium under the influence of magnetic field with slip effect. AIP Conf. Proc. 2016, 1728, 020603. [Google Scholar] [CrossRef]
- Shit, G.C.; Roy, M. Hydromagnetic effect on inclined peristaltic flow of a couple stress fluid, Hydromagnetic effect on inclined peristaltic flow of a couple stress fluid. Alex. Eng. J. 2014, 53, 949–958. [Google Scholar] [CrossRef]
- Jamalabadi, M.Y.A.; Daqiqshirazi, M.; Nasiri, H.; Safaei, M.R.; Nguyen, T.K. Modeling and analysis of biomagnetic blood Carreau fluid flow through a stenosis artery with magnetic heat transfer: A transient study. PLoS ONE 2018, 13, e0192138. [Google Scholar] [CrossRef]
- Hosseini, S.M.; Safaei, M.R.; Goodarzi, M.; Alrashed, A.A.A.A.; Nguyen, T.K. New temperature, interfacial shell dependent dimensionless model for thermal conductivity of nanofluids. Int. J. Heat Mass Transf. 2017, 114, 207–210. [Google Scholar] [CrossRef]
- Mekheimer, K.; Hasona, W.; Abo-Elkhair, R.E.; Zaher, A. Peristaltic blood flow with gold nanoparticles as a third grade nanofluid in catheter. Appl. Cancer Ther. Phys. Lett. A 2018, 382, 85–93. [Google Scholar]
- Nasiri, H.; Jamalabadi, M.Y.A.; Sadeghi, R.; Safaei, M.R.; Nguyen, T.K.; Shadloo, M.S. A smoothed particle hydrodynamics approach for numerical simulation of nano-fluid flows. J. Anal. Calorim. 2018, 1–9. [Google Scholar] [CrossRef]
- Shadloo, M.S.; Kimiaeifar, A. Application of homotopy perturbation method to find an analytical solution for magnetohydrodynamic flows of viscoelastic fluids in converging/diverging channels. Proc. Mech. Eng. Part C J. Mech. Eng. 2011, 225, 347–353. [Google Scholar] [CrossRef]
- Safaei, M.R.; Ahmadi, G.; Goodarzi, M.S.; Shadloo, M.S.; Goshayeshi, H.R.; Dahari, M. Heat transfer and pressure drop in fully developed turbulent flows of graphene nanoplatelets–silver/water nanofluids. Fluids 2016, 1, 20. [Google Scholar] [CrossRef]
- Mohyud-Din, S.T.; Khan, U.; Ahmed, N.; Hassan, S.M. Magnetohydrodynamic flow and heat transfer of nanofluids in stretchable convergent/divergent channels. Appl. Sci. 2015, 5, 1639–1664. [Google Scholar] [CrossRef]
- Chamkha, A.J.; Selimefendigil, F. Forced convection of pulsating nanofluid flow over a backward facing step with various particle shapes. Energies 2018, 11, 3068. [Google Scholar] [CrossRef]
- Xu, Z.; Kleinstreuer, C. Direct nano-drug delivery for tumor targeting subject to shear-augmented diffusion in blood flow. Med. Biol. Eng. Comput. 2018, 56, 1949–1958. [Google Scholar] [CrossRef] [PubMed]
- Rashidi, M.M.; Nasiri, M.; Shadloo, M.S.; Yang, Z. Entropy generation in a circular tube heat exchanger using nanofluids: Effects of different modeling approaches. Heat Transf. Eng. 2017, 38, 853–866. [Google Scholar] [CrossRef]
- Jamalabadi, M.Y.A.; Safaei, M.R.; Alrashed, A.A.A.A.; Nguyen, T.K.; Filho, E.P.B. Entropy generation in thermal radiative loading of structures with distinct heaters. Entropy 2017, 19, 506. [Google Scholar] [CrossRef]
- Sadiq, M.A. MHD stagnation point flow of nanofluid on a plate with anisotropic slip. Symmetry 2019, 11, 132. [Google Scholar] [CrossRef]
- Jawad, M.; Shah, Z.; Islam, S.; Majdoubi, J.; Tlili, I.; Khan, W.; Khan, I. Impact of nonlinear thermal radiation and the viscous dissipation effect on the unsteady three-dimensional rotating flow of single-wall carbon nanotubes with aqueous suspensions. Symmetry 2019, 11, 207. [Google Scholar] [CrossRef]
- Akbarzadeh, O.; Zabidi, N.A.M.; Wahab, Y.A.; Hamizi, N.A.; Chowdhury, Z.Z.; Merican, Z.M.A.; Rahman, M.A.; Akhter, S.; Rasouli, E.; Johan, M.R. Effect of cobalt catalyst confinement in carbon nanotubes support on fischer-tropsch synthesis performance. Symmetry 2018, 10, 572. [Google Scholar] [CrossRef]
- Mustafa, M.; Khan, J.A.; Hayat, T.; Alsaedi, A. Buoyancy effects on the MHD nanofluid flow past a vertical surface with chemical reaction and activation energy. Int. J. Heat Mass Transf. 2017, 108, 1340–1346. [Google Scholar] [CrossRef]
- Xu, H.; Fan, T.; Pop, I. Analysis of mixed convection flow of a nanofluid in a vertical channel with the Buongiorno mathematical model. Int. Commun. Heat Mass Transf. 2013, 44, 15–22. [Google Scholar] [CrossRef]
- Sheikholeslami, M.; Bhatti, M.M. Active method for nanofluid heat transfer enhancement by means of EHD. Int. J. Heat Mass Transf. 2017, 109, 115–122. [Google Scholar] [CrossRef]
- Bhatti, M.M.; Rashidi, M.M. Effects of thermo-diffusion and thermal radiation on Williamson nanofluid over a porous shrinking/stretching sheet. J. Mol. Liq. 2016, 221, 567–573. [Google Scholar] [CrossRef]
- Marin, M. An approach of a heat-flux dependent theory for micropolar porous media. Meccanica 2016, 51, 127–1133. [Google Scholar] [CrossRef]
- Rashidi, S.; Esfahani, J.A.; Ellahi, R. Convective heat transfer and particle motion in an obstructed duct with two side by side obstacles by means of DPM model. Appl. Sci. 2017, 7, 431. [Google Scholar] [CrossRef]
- Zeeshan, A.; Ijaz, N.; Abbas, T.; Ellahi, R. The sustainable characteristic of Bio-bi-phase flow of peristaltic transport of MHD Jeffery fluid in human body. Sustainability 2018, 10, 2671. [Google Scholar] [CrossRef]
- Hussain, F.; Ellahi, R.; Zeeshan, A. Mathematical models of electro magnetohydrodynamic multiphase flows synthesis with nanosized hafnium particles. Appl. Sci. 2018, 8, 275. [Google Scholar] [CrossRef]
- Haq, R.U.; Soomro, F.A.; Hammouch, Z.; Rehman, S. Heat exchange within the partially heated C-shape cavity filled with the water based SWCNTs. Int. J. Heat Mass Transf. 2018, 127, 506–514. [Google Scholar] [CrossRef]
- Kumar, R.V.M.S.S.K.; Kumar, G.V.; Raju, C.S.K.; Shehzad, S.A.; Varma, S.V.K. Analysis of Arrhenius activation energy in magnetohydrodynamic Carreau fluid flow through improved theory of heat diffusion and binary chemical reaction. J. Phys. Commun. 2018, 2, 35–49. [Google Scholar] [CrossRef]
- Anuradha, S.; Yegammai, M. MHD radiative boundary layer flow of nanofluid past a vertical plate with effects of binary chemical reaction and activation energy. J. Pure Appl. Math. 2017, 13, 6377–6392. [Google Scholar]
- Pal, D.; Talukdar, B. Perturbation analysis of unsteady magnetohydrodynamic convective heat and mass transfer in a boundary layer slip flow past a vertical permeable plate with thermal radiation and chemical reaction. Commun. Nonlinear Sci. Numer. Simul. 2010, 15, 1813–1830. [Google Scholar] [CrossRef]
- Hossain, A., Md.; Subba, R.; Gorla, R. Natural convection flow of non-Newtonian power-law fluid from a slotted vertical isothermal surface. Int. J. Numer. Methods Heat Fluid Flow 2009, 19, 835–846. [Google Scholar] [CrossRef]



















© 2019 by the authors. Licensee MDPI, Basel, Switzerland. This article is an open access article distributed under the terms and conditions of the Creative Commons Attribution (CC BY) license (http://creativecommons.org/licenses/by/4.0/).
Share and Cite
Ellahi, R.; Zeeshan, A.; Hussain, F.; Asadollahi, A. Peristaltic Blood Flow of Couple Stress Fluid Suspended with Nanoparticles under the Influence of Chemical Reaction and Activation Energy. Symmetry 2019, 11, 276. https://doi.org/10.3390/sym11020276
Ellahi R, Zeeshan A, Hussain F, Asadollahi A. Peristaltic Blood Flow of Couple Stress Fluid Suspended with Nanoparticles under the Influence of Chemical Reaction and Activation Energy. Symmetry. 2019; 11(2):276. https://doi.org/10.3390/sym11020276
Chicago/Turabian StyleEllahi, Rahmat, Ahmed Zeeshan, Farooq Hussain, and A. Asadollahi. 2019. "Peristaltic Blood Flow of Couple Stress Fluid Suspended with Nanoparticles under the Influence of Chemical Reaction and Activation Energy" Symmetry 11, no. 2: 276. https://doi.org/10.3390/sym11020276
APA StyleEllahi, R., Zeeshan, A., Hussain, F., & Asadollahi, A. (2019). Peristaltic Blood Flow of Couple Stress Fluid Suspended with Nanoparticles under the Influence of Chemical Reaction and Activation Energy. Symmetry, 11(2), 276. https://doi.org/10.3390/sym11020276

