Linearly Polarized UV Light-Induced Optical Anisotropy of PVA Films and Flexible Macrocycle Schiff Base Ni(II), Cu(II), Zn(II) Dinuclear Complexes
Abstract
1. Introduction
2. Materials and Methods
2.1. Preparations of the Complexes
2.2. Preparation of the PVA Hybrid Cast Films
2.3. Physical Measurements
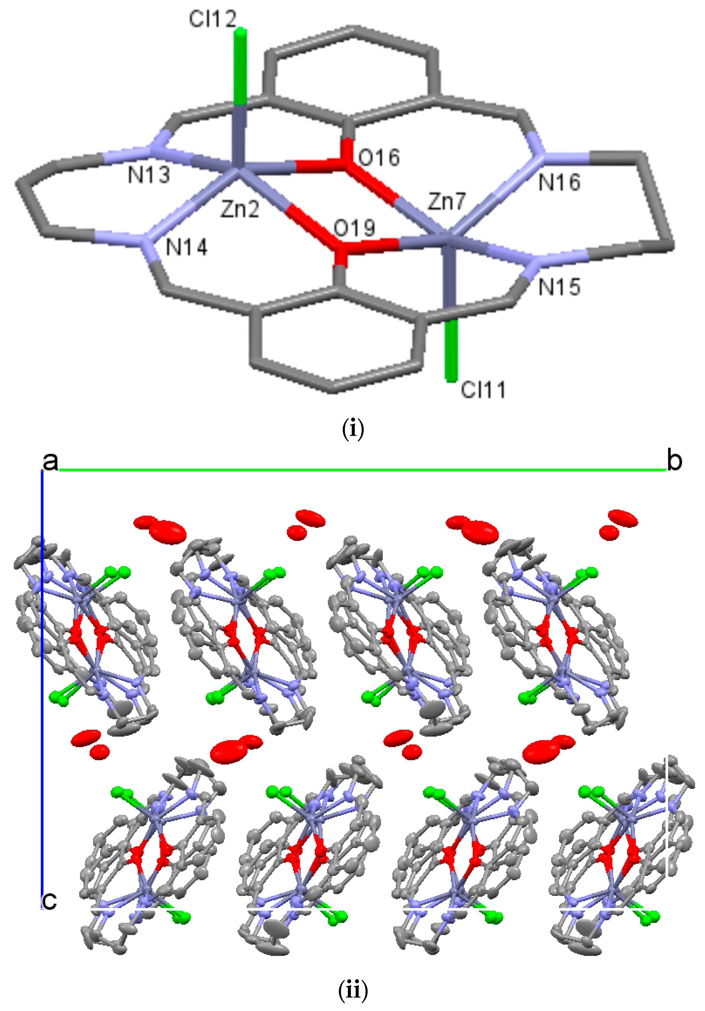
2.4. X-ray Crystallography
3. Results and Discussion
3.1. Structural Characterization
3.2. Spectral Characterization
3.3. Polarized Light Induced-Anisotropic Molecular Orientation
3.4. Making Pseudo-Crystallographic Symmetry
4. Conclusions
Supplementary Materials
Author Contributions
Conflicts of Interest
References
- Natansohn, A.; Rochon, P. Photoinduced Motions in Azo-Containing Polymers. Chem. Rev. 2002, 102, 4139–4175. [Google Scholar] [CrossRef] [PubMed]
- Ichimura, K. Photoalignment of Liquid-Crystal Systems. Chem. Rev. 2000, 100, 1847–1874. [Google Scholar] [CrossRef] [PubMed]
- Norden, B.; Rodger, A.; Dafforn, R. Linear Dichorism and Circular Dichroism A Textbook on Polarized-Light Spectroscopy; RSC Publishing: Cambridge, UK, 2010. [Google Scholar]
- Ivanova, B.; Kolev, T. Linearly Polarized IR Spectroscopy Theory and Applications for Structural Analysis; CRC Press: Boca Raton, FL, USA, 2012. [Google Scholar]
- Xu, Z.; Shi, L.; Jiang, D.; Cheng, J.; Shao, X.; Li, Z. Azobenzene Modified Imidacloprid Derivatives as Photoswitchable Insecticides: Steering Molecular Activity in a Controllable Manner. Sci. Rep. 2015, 5, 13962. [Google Scholar] [CrossRef] [PubMed]
- Wang, L.; Li, Q. Photochromism into nanosystems: Towards lighting up the future nanoworld. Chem. Soc. Rev. 2018, 47, 1044–1097. [Google Scholar] [CrossRef] [PubMed]
- Delaire, J.A.; Nakatani, K. Linear and Nonlinear Optical Properties of Photochromic Molecules and Materials. Chem. Rev. 2000, 100, 1817–1845. [Google Scholar] [CrossRef] [PubMed]
- Grebenkin, S.; Meshalkin, A.B. Wavelength Dependence of the Reorientation Efficiency of Azo Dyes in polymer Matrixes. J. Phys. Chem. B 2017, 121, 8377–8384. [Google Scholar] [CrossRef] [PubMed]
- Statman, D.; Janossy, I. Study of photoisomerization of azo dyes in liquid crystals. J. Chem. Phys. 2003, 118, 3222. [Google Scholar] [CrossRef]
- Aritake, Y.; Akitsu, T. The role of chiral dopants in organic/inorganic hybrid materials containing chiral Schiff base Ni(II), Cu(II), and Zn(II) complexes. Polyhedron 2012, 31, 278–284. [Google Scholar] [CrossRef]
- Akitsu, T.; Itoh, T. Polarized spectroscopy of hybrid materials of chiral Schiff base cobalt(II), nickel(II), copper(II), and zinc(II) complexes and photochromic azobenzenes in PMMA films. Polyhedron 2010, 29, 477–487. [Google Scholar] [CrossRef]
- Akitsu, T.; Ishioka, C.; Itoh, T. Polarized Spectroscopy of Hybrid Materials of Mn12 Single-Molecule Magnet and Azobenzene or Disperse Red 1 in PMMA Films. Cent. Eur. J. Chem. 2009, 7, 690–696. [Google Scholar]
- Akitsu, T.; Tanaka, R. Polarized Electronic and IR Spectroscopy of Hybrid Materials of Chiral Cu(II) and Mn12 Complexes and Some Photochromic Compounds in PMMA Films. Asian Chem. Lett. 2010, 14, 235–254. [Google Scholar]
- Akitsu, T.; Tanaka, R. Polarized Electronic and IR Spectra of Hybrid Materials of Chiral Mn(II) Complexes and Different Types of Photochromic Dyes Showing Photoisomerization or Weigert Effect. Curr. Phys. Chem. 2011, 1, 82–89. [Google Scholar] [CrossRef]
- Akitsu, T.; Tanaka, R.; Yamazaki, A. Separate observation with polarized electronic and IR spectra of hybrid materials of chiral Mn(II) complexes and azobenzene. J. Mater. Sci. Eng. A 2011, 1, 518–525. [Google Scholar]
- Akitsu, T.; Miura, Y. Polarized electronic spectra of organic/inorganic hybrid materials of chiral Schiff base Ni(II) or Cu(II) complexes and disperse red 1 or azobenzene in PMMA films. J. Chem. Chem. Eng. 2011, 5, 443–450. [Google Scholar]
- Ito, M.; Akitsu, T. Polarized UV light induced molecular arrangement depending on flexibility of chiral Schiff base Ni(II), Cu(II), and Zn(II) complexes by azobenzene in PMMA matrix. Comtemp. Eng. Sci. 2014, 7, 869–877. [Google Scholar] [CrossRef]
- Hariu, N.; Ito, M.; Akitsu, T. Linearly, Circularly, or Non-polarized Light Induced Supramolecular Arrangement of Diastereomer Schiff Base Ni(II), Cu(II), and Zn(II) Complexes by Azobenzene in PMMA Matrix. Comtemp. Eng. Sci. 2015, 8, 57–70. [Google Scholar] [CrossRef]
- Aritake, Y.; Takanashi, T.; Yamazaki, A.; Akitsu, T. Polarized spectroscopy and hybrid materials of chiral Schiff base Ni(II), Cu(II), Zn(II) complexes with included or separated azo-groups. Polyhedron 2011, 30, 886–894. [Google Scholar] [CrossRef]
- Kominato, C.; Akitsu, T. Photoinduced molecular orientation of catalytic-like chiral azo-Schiff base complexes in PMMA or laccase matrices. Lett. Appl. NanoBioSci. 2015, 2, 264–270. [Google Scholar]
- Mitsumoto, Y.; Sunaga, N.; Akitsu, T. Polarized light induced molecular orientation in laccase for chiral azosalenMn(II), Co(II), Ni(II), Cu(II), Zn(II) mediators toward application for biofuel cell. SciFed J. Chem. Res. 2017, 1, 1. [Google Scholar]
- Tsuda, E.; Mitsumoto, Y.; Takakura, K.; Sunaga, N.; Akitsu, T.; Konomi, T.; Katoh, M. Electrochemical tuning by polarized UV light induced molecular orientation of chiral salen-type Mn(II) and Co(II) complexes in an albumin matrix. J. Chem. Chem. Eng. 2016, 53–59. [Google Scholar] [CrossRef]
- Takase, M.; Akitsu, T. Linearly polarized light-induced anisotropic orientation of binuclear Ni(II), Cu(II), and Zn(II) Schiff base complexes including or without methyl orange in PVA. In Polymer Science Book Series—Volume # 1: “Polymer Science: Research Advances, Practical Applications and Educational Aspects”; Formatex Research Centre: Badajoz, Spain, 2016; pp. 301–308. [Google Scholar]
- Takano, H.; Takase, M.; Sunaga, N.; Ito, M.; Akitsu, T. Viscosity and intermolecular interaction of organic/inorganic hybrid systems composed of chiral Schiff base Ni(II), Cu(II), Zn(II) complexes having long ligands, azobenzene and PMMA. Inorganics 2016, 4, 20. [Google Scholar] [CrossRef]
- Nakatori, H.; Haraguchi, T.; Akitsu, T. Polarized light induced molecular orientation control of rigid Schiff base Ni(II), Cu(II), Zn(II) binuclear complexes as polymer composites. Symmetry 2018, 10, 147. [Google Scholar] [CrossRef]
- Sheldrick, G.M. A short history of SHELX. Acta Crystallogr. Sect. A 2008, 64, 112–122. [Google Scholar] [CrossRef] [PubMed]
- Ito, M.; Akitsu, T.; Palafox, M.A. Theoretical interpretation of polarized light-induced supramolecular orientation on the basis of normal mode analysis of azobenzene as hybrid materials in PMMA with chiral Schiff base Ni(II), Cu(II), and Zn(II) complexes. J. Appl. Solut. Chem. Model. 2016, 5, 30–47. [Google Scholar]
- Sekkat, Z.; Dumont, M. Photoinduced orientation of azo dyes in polymeric films. Characterization of molecular angular mobility. Synth. Metals 1993, 54, 373–381. [Google Scholar] [CrossRef]
- Moletti, A.; Coluccini, C.; Pasini, D.; Taglietti, A. A chiral probe for the detection of Cu(II) by UV, CD and emission spectroscopies. Dalton Trans. 2007, 1588–1592. [Google Scholar] [CrossRef] [PubMed]
- Yamazaki, A.; Akitsu, T. Polarized spectroscopy and polarized UV light-induced molecular orientation of chiral diphenyl Schiff base Ni(II) and Cu(II) complexes and azobenzene in a PMMA film. RSC Adv. 2012, 2, 2975–2980. [Google Scholar] [CrossRef]
- Beaudoin, E.; Abecassis, B.; Constantin, D.; Degrouard, J.; Davidson, P. Strain-controlled fluorescence polarization in a CdSenanoplatelet–block copolymer composite. Chem. Commun. 2015, 51, 4051–4054. [Google Scholar] [CrossRef]
- Ma, H.; Zhu, M.; Luo, W.; Li, W.; Fang, K.; Mou, F.; Guan, J. Free-standing, flexible thermochromic films based on one-dimensional magnetic photonic crystals. J. Mater. Chem. C 2015, 3, 2848–2855. [Google Scholar] [CrossRef]
- Schellman, J.; Jensen, H.P. Optical spectroscopy of oriented molecules. Chem. Rev. 1987, 87, 1359–1399. [Google Scholar] [CrossRef]
- Sakai, H. Controlling the alignment of neutral molecules by a strong laser field. Friedrich, B.; Herschbach, D. Enhanced orientation of polar molecules by combined electrostatic and nonresonant induced dipole forces. J. Chem. Phys. 1999, 111, 6157. [Google Scholar]
- Akitsu, T.; Yamazaki, A.; Kobayashi, K.; Haraguchi, T.; Endo, K. Computational Treatments of Hybrid Dye Materials of Azobenzene and Chiral Schiff Base Metal Complexes. Inorganics 2018, 6, 37. [Google Scholar] [CrossRef]
- Van der Asdonk, P.; Kouwer, P.H.J. Liquid crystal templating as an approach to spatially and temporally organise soft matter. Chem. Soc. Rev. 2017, 46, 5935–5949. [Google Scholar] [CrossRef] [PubMed]











| t/min | R (π − π*) | S (π − π*) | R (CT) | S (CT) | |
|---|---|---|---|---|---|
| nNi2L + PVA | 0 | 0.9940 | −0.0020 | 0.998 | −0.0015 |
| 5 | 0.9929 | −0.0024 | 1.005 | 0.0016 | |
| 10 | 0.9951 | −0.0016 | 1.013 | 0.0042 | |
| nCu2L + PVA | 0 | 0.9845 | −0.00518 | 0.9855 | −0.0049 |
| 5 | 0.9870 | −0.00435 | 0.9990 | −0.00032 | |
| 10 | 0.9876 | −0.00414 | 1.001 | 0.00032 | |
| nZn2L + PVA | 0 | 1.007 | 0.0023 | 1.010 | 0.0033 |
| 0.5 | 1.003 | 0.0011 | 1.108 | 0.0346 | |
| 1 | 0.9247 | −0.0258 | 1.018 | 0.0061 | |
| 3 | 0.9135 | −0.0297 | 1.008 | 0.0026 | |
| 5 | 0.9209 | −0.0271 | 0.9935 | −0.0022 | |
| 10 | 0.9826 | −0.0058 | 1.060 | 0.0196 |
© 2018 by the authors. Licensee MDPI, Basel, Switzerland. This article is an open access article distributed under the terms and conditions of the Creative Commons Attribution (CC BY) license (http://creativecommons.org/licenses/by/4.0/).
Share and Cite
Takase, M.; Yagi, S.; Haraguchi, T.; Noor, S.; Akitsu, T. Linearly Polarized UV Light-Induced Optical Anisotropy of PVA Films and Flexible Macrocycle Schiff Base Ni(II), Cu(II), Zn(II) Dinuclear Complexes. Symmetry 2018, 10, 760. https://doi.org/10.3390/sym10120760
Takase M, Yagi S, Haraguchi T, Noor S, Akitsu T. Linearly Polarized UV Light-Induced Optical Anisotropy of PVA Films and Flexible Macrocycle Schiff Base Ni(II), Cu(II), Zn(II) Dinuclear Complexes. Symmetry. 2018; 10(12):760. https://doi.org/10.3390/sym10120760
Chicago/Turabian StyleTakase, Masahiro, Shiomi Yagi, Tomoyuki Haraguchi, Shabana Noor, and Takashiro Akitsu. 2018. "Linearly Polarized UV Light-Induced Optical Anisotropy of PVA Films and Flexible Macrocycle Schiff Base Ni(II), Cu(II), Zn(II) Dinuclear Complexes" Symmetry 10, no. 12: 760. https://doi.org/10.3390/sym10120760
APA StyleTakase, M., Yagi, S., Haraguchi, T., Noor, S., & Akitsu, T. (2018). Linearly Polarized UV Light-Induced Optical Anisotropy of PVA Films and Flexible Macrocycle Schiff Base Ni(II), Cu(II), Zn(II) Dinuclear Complexes. Symmetry, 10(12), 760. https://doi.org/10.3390/sym10120760
