Coupling Coordination Between Ecosystem Services and Sustainable Development Goals from a County-Level Perspective in Jiangsu Province, China
Abstract
1. Introduction
2. Materials and Methods
2.1. Overview of the Study Area
2.2. Data Sources
2.3. Research Framework
2.4. Research Methods
2.4.1. Methodology for Accounting for the Value of ESV
2.4.2. SDGs Accounting Methodology
- (1)
- Construction of the Weighted Normalized Decision Matrix
- (2)
- Determination of the Positive Ideal Solution and Negative Ideal Solution.
- (3)
- Calculation of Weighted Euclidean Distances
- (4)
- Calculation of Closeness Coefficient
- (5)
- Calculation of the SDG Index
2.4.3. Methodology for Quantifying Interrelationships Between ESV and Sustainable SDGs
3. Results
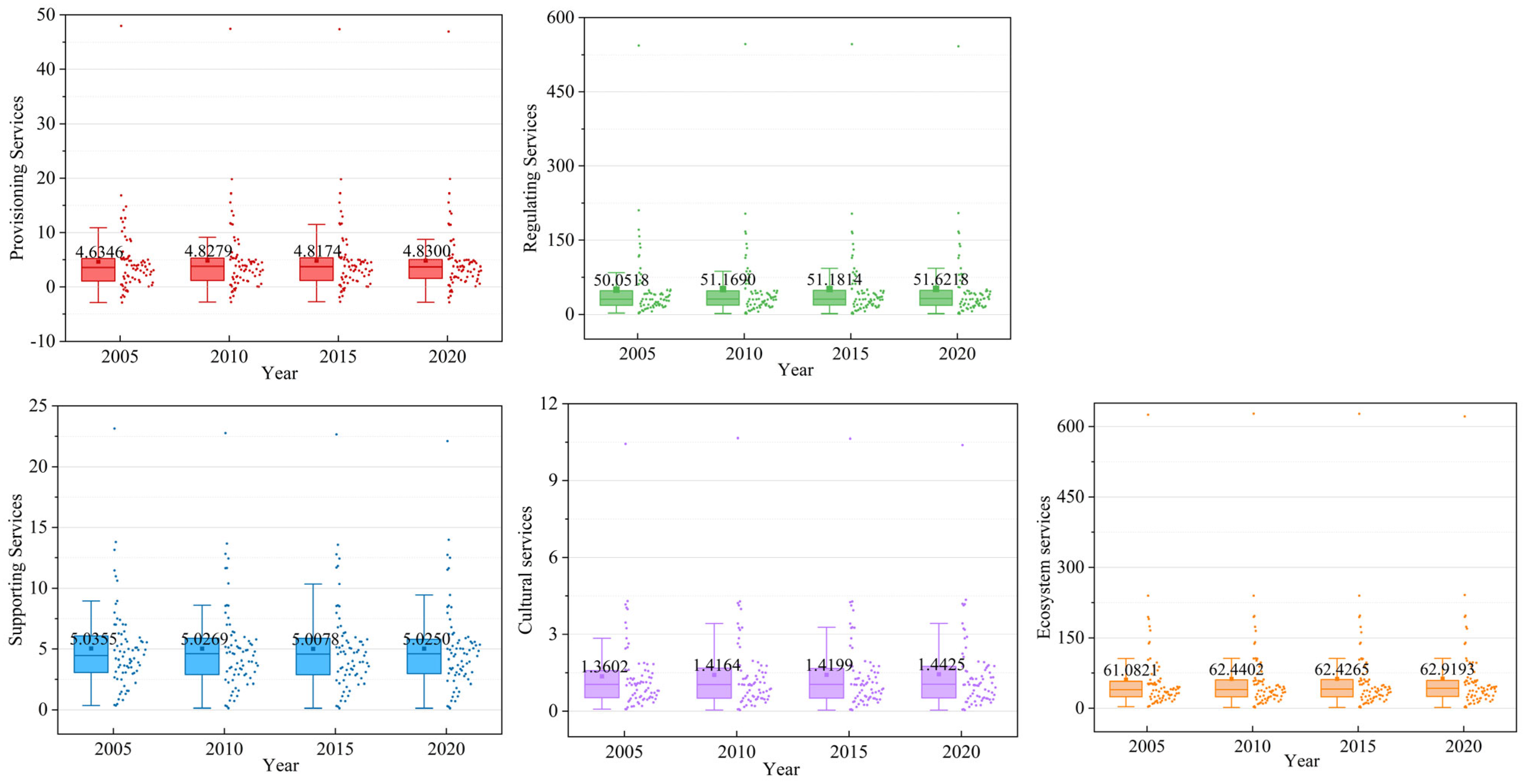
3.1. Spatiotemporal Variation of ESV
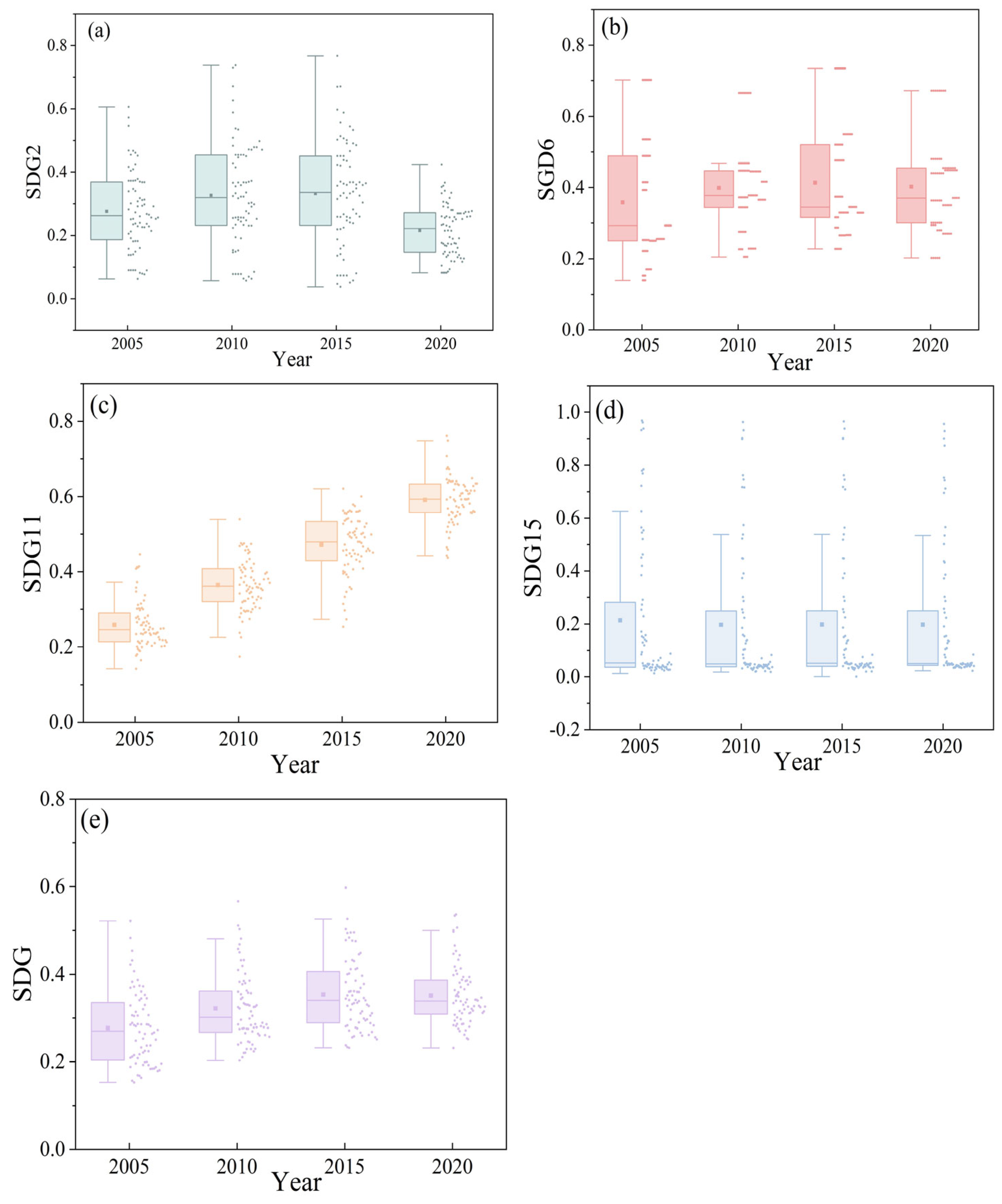
3.2. Spatiotemporal Variation of SDGs Indicators
3.3. Coupling Coordination Between ESV and SDGs
3.4. Impact Analysis of ES Impact on SDGs
4. Discussion
4.1. ES, SDGs, and Their Coupling Coordination Relationship
4.2. Zoning of ES and SDGs
4.3. Policy Recommendations
4.4. Prospects
5. Conclusions
Author Contributions
Funding
Data Availability Statement
Acknowledgments
Conflicts of Interest
References
- Chen, D.; Zhao, Q.; Jiang, P.; Li, M. Incorporating ecosystem services to assess progress towards sustainable development goals: A case study of the Yangtze River Economic Belt, China. Sci. Total Environ. 2022, 806, 151277. [Google Scholar] [CrossRef] [PubMed]
- Ma, Z.; Gong, J.; Hu, C.; Lei, J. An integrated approach to assess spatial and temporal changes in the contribution of the ecosystem to sustainable development goals over 20 years in China. Sci. Total Environ. 2023, 903, 166237. [Google Scholar] [CrossRef]
- Shi, R.; Cheng, J.; Cai, W.; Wang, L.; Huang, C. Linking Relationship of Ecosystem Service Supply and Demand into Sustainable Development Goals (SDGs). Land Degrad. Dev. 2025. Early View. [Google Scholar] [CrossRef]
- Du, J.; Liu, Y.; Xu, Z.; Duan, H.B.; Zhang, M.H.; Hu, L.; Wang, Q.; Dong, J.C.; Wang, Y.F.; Fu, B.J. Global effects of progress towards Sustainable Development Goals on subjective well-being. Nat. Sustain. 2024, 7, 360–367. [Google Scholar] [CrossRef]
- Zhang, S.; Chen, W.; Zhang, Q.; Krey, V.; Byers, E.; Rafaj, P.; Nguyen, B.; Awais, M.; Riahi, K. Targeting net-zero emissions while advancing other sustainable development goals in China. Nat. Sustain. 2024, 7, 1107–1119. [Google Scholar] [CrossRef]
- Ipbes. Decision and Scoping Report for the IPBES Global Assessment on Biodiversity and Ecosystem Services. 2016. Available online: https://ipbes.net/global-assessment (accessed on 2 June 2025).
- Issc, I. Review of the Sustainable Development Goals: The Science Perspective. 2015. Available online: https://council.science/wp-content/uploads/2017/05/SDG-Report.pdf (accessed on 2 June 2025).
- Chen, L.; Yao, Y.; Xiang, K.; Dai, X.; Li, W.; Dai, H.; Lu, K.; Li, W.; Lu, H.; Zhang, Y.; et al. Spatial-temporal pattern of ecosystem services and sustainable development in representative mountainous cities: A case study of Chengdu-Chongqing Urban Agglomeration. J. Environ. Manag. 2024, 368, 122261. [Google Scholar] [CrossRef]
- Swan, T.; McBratney, A.; Field, D. Linkages between Soil Security and One Health: Implications for the 2030 Sustainable Development Goals. Front. Public Health 2024, 12, 1447663. [Google Scholar] [CrossRef]
- De Meester, L.; Vázquez-Domínguez, E.; Kassen, R.; Forest, F.; Bellon, M.R.; Koskella, B.; Scherson, R.A.; Colli, L.; Hendry, A.P.; Crandall, K.A.; et al. A Link between Evolution and Society Fostering the UN Sustainable Development Goals. Evol. Appl. 2024, 17, e13728. [Google Scholar] [CrossRef]
- Duxbury, N.; Kangas, A.; De Beukelaer, C. Cultural Policies for Sustainable Development: Four Strategic Paths. Int. J. Cult. Policy 2017, 23, 214–230. [Google Scholar] [CrossRef]
- Li, J.; Chen, X.; De Maeyer, P.; Van De Voorde, T.; Li, Y. Investigating the supply-demand gap of farmland ecosystem services to advance sustainable development goals (SDGs) in Central Asia. Agric. Water Manag. 2025, 312, 109419. [Google Scholar] [CrossRef]
- Mashizi, A.K.; Sharafatmandrad, M. Dry forests conservation: A comprehensive approach linking ecosystem services to ecological drivers and sustainable management. Glob. Ecol. Conserv. 2023, 47, e02652. [Google Scholar] [CrossRef]
- Zhao, Y.; Zhou, R.; Yu, Q.; Zhao, L. Revealing the contribution of mountain ecosystem services research to sustainable development goals: A systematic and grounded theory driven review. J. Environ. Manag. 2025, 373, 123452. [Google Scholar] [CrossRef] [PubMed]
- Huang, Y.; Kang, A.; Jiang, Z.; Li, J.; Ma, Y.; Gan, X.; Zhou, B. An approach based on ecosystem services for assessing progress towards sustainable development goals at both national and provincial levels in China. Sci. Rep. 2024, 14, 29250. [Google Scholar] [CrossRef] [PubMed]
- Zhu, L.; Wu, Z.; Huang, X. Exploring the relationship between ecosystem services and sustainable development goals in Guangdong province, China. Ecol. Indic. 2024, 169, 112907. [Google Scholar] [CrossRef]
- Phillis, Y.A.; Kouikoglou, V.S.; Verdugo, C. Urban sustainability assessment and ranking of cities. Environ. Urban Syst. 2017, 64, 254–265. [Google Scholar] [CrossRef]
- Ge, D.Z.; Wang, R.M.; Lu, X.X. Study on the Coupling Relationship Between Land Use Transition and Rural Transformation Development: A Case Study of Counties in Jiangsu Province. Resour. Sci. 2025, 47, 196–210. [Google Scholar]
- Zhang, J.; Sun, W.; Pradhan, P.; Gao, S.; Su, C.; Skene, K.R.; Fu, B. Nonlinear and weak interactions among sustainable development goals (SDGs) drive China’s SDGs growth rate below expectations. Environ. Impact Assess. Rev. 2025, 115, 107990. [Google Scholar] [CrossRef]
- Feng, S.Y.; Zhao, W.W.; Hua, T.; Wang, H. Accelerating Global Sustainable Development Goals in the Post-Pandemic Era. Acta Ecol. Sin. 2021, 41, 7955–7964. [Google Scholar]
- Jia, K.; Sheng, Q.Y.; Liu, Y.H.; Yang, Y.Z.; Dong, G.L.; Qiao, Z.; Wang, M.; Sun, C.H.; Han, D.R. A framework for achieving urban sustainable development goals (SDGs): Evaluation and interaction. Sustain. Cities Soc. 2024, 114, 105780. [Google Scholar] [CrossRef]
- Liu, Y.; Du, J.; Wang, Y.; Cui, X.; Dong, J.; Gu, P.; Hao, Y.; Xue, K.; Duan, H.; Xia, A.; et al. Overlooked uneven progress across sustainable development goals at the global scale: Challenges and opportunities. Innovation 2024, 5, 100573. [Google Scholar] [CrossRef]
- Malekpour, S.; Allen, C.; Sagar, A.; Scholz, I.; Persson, Å.; Miranda, J.J.; Bennich, T.; Dube, O.P.; Kanie, N.; Madise, N.; et al. What scientists need to do to accelerate progress on the SDGs(Note). Nature 2023, 621, 250–254. [Google Scholar] [CrossRef] [PubMed]
- Yang, Z.; Zhan, J.; Wang, C.; Twumasi-Ankrah, M.J. Coupling coordination analysis and spatiotemporal heterogeneity between sustainable development and ecosystem services in Shanxi Province, China. Sci. Total Environ. 2022, 836, 155625. [Google Scholar] [CrossRef] [PubMed]
- Zhang, X.L.; Qiu, F.D. Impact of County Economic Spatial Network on Ecological Efficiency from an Externality Perspective: A Case Study of Jiangsu Province. Resour. Environ. Yangtze Basin. 2023, 32, 2492–2503. [Google Scholar]
- Xie, G.D.; Zhang, C.X.; Zhang, L.M.; Chen, W.H.; Li, S.M. Improvements in the Valuation Method of Ecosystem Services Based on Unit Area Value Equivalent Factors. J. Nat. Resour. 2015, 30, 1243–1254. [Google Scholar]
- Li, J.; Qiu, J.; Amani-Beni, M.; Wang, Y.; Yang, M.; Chen, J. A Modified Equivalent Factor Method Evaluation Model Based on Land Use Changes in Tianfu New Area. Land 2023, 12, 1335. [Google Scholar] [CrossRef]
- He, Y.; Zhu, L.; Dou, L.; Wu, M.; Guo, Y. Estimation of ecosystem service value in Huixian Karst National Wetland Park based on equivalent factor method. Int. J. Digit. Earth 2025, 18, 2494073. [Google Scholar] [CrossRef]
- Li, Y.F.; Zhan, J.Y.; Liu, Y.; Zhang, F.; Zhang, M.L. Response of ecosystem services to land use and cover change: A case study in Chengdu City. Resour. Conserv. Recycl. 2018, 132, 291–300. [Google Scholar] [CrossRef]
- Jiang, H.; Wu, Q. Evaluation and spatiotemporal evolution of ecosystem service value in Jiangsu Province based on LUCC. Resour. Environ. Yangtze Basin 2021, 30, 2712–2725. [Google Scholar]
- Zhou, Y.; Wang, Y.X. Spatiotemporal Evolution Characteristics and Driving Mechanisms of Farmland Ecosystem Service Value in Jiangsu Province. Chin. J. Agric. Resour. Reg. Plan. 2024, 45, 95–103. [Google Scholar]
- Zhao, X.Y.; Yu, J.; Liu, Y.Y.; Liu, H.L.; Pang, G.B. Dynamic Evaluation of Water Resources Carrying Capacity in Jiangsu Province Based on Improved PPC Model. Chin. J. Agric. Resour. Reg. Plan. 2024, 7, 1–9+18. [Google Scholar]
- Han, B.; Jin, X.B.; Xiang, X.M.; Zhao, Q.L. Ecological Restoration Pattern Analysis and Strategies Along the Yangtze River in Jiangsu Province Based on the “Element-Landscape-System” Framework. J. Nat. Resour. 2020, 35, 141–161. [Google Scholar]
- Xie, X.; Fang, B.; He, S. Is China’s Urbanization Quality and Ecosystem Health Developing Harmoniously? An Empirical Analysis from Jiangsu, China. Land 2022, 11, 530. [Google Scholar] [CrossRef]
- Wang, J.; Wang, P.; Zhu, C.; Wang, Y.; Zhou, Z. Impact of Different Models of Relocating Coal Mining Villages on the Livelihood Resilience of Rural Households—A Case Study of Huaibei City, Anhui Province. Land 2023, 12, 2169. [Google Scholar] [CrossRef]
- Han, F.; Alkhawaji, R.N.; Shafieezadeh, M.M. Evaluating sustainable water management strategies using TOPSIS and fuzzy TOPSIS methods. Appl. Water Sci. 2024, 15, 4. [Google Scholar] [CrossRef]
- Watrobski, J.; Baczkiewicz, A.; Ziemba, E.; Salabun, W. Sustainable cities and communities assessment using the DARIA-TOPSIS method. Sustain. Cities Soc. 2022, 83, 103926. [Google Scholar] [CrossRef]
- Li, T.; Cai, S.; Singh, R.K.; Cui, L.; Fava, F.; Tang, L.; Xu, Z.; Li, C.; Cui, X.; Du, J.; et al. Livelihood resilience in pastoral communities: Methodological and field insights from Qinghai-Tibetan Plateau. Sci. Total Environ. 2022, 838, 155960. [Google Scholar] [CrossRef] [PubMed]
- Zhu, S.; Huang, J.; Zhao, Y. Coupling coordination analysis of ecosystem services and urban development of resource-based cities: A case study of Tangshan city. Ecol. Indic. 2022, 136, 108706. [Google Scholar] [CrossRef]
- Huang, B.; Wu, B.; Barry, M. Geographically and temporally weighted regression for modeling spatio-temporal variation in house prices. Int. J. Geo. Inf. Sci. 2010, 24, 383–401. [Google Scholar] [CrossRef]
- Wei, Q.; Zhang, L.; Duan, W.; Zhen, Z. Global and Geographically and Temporally Weighted Regression Models for Modeling PM2.5 in Heilongjiang, China from 2015 to 2018. Int. J. Environ. Res. Public Health 2019, 16, 5107. [Google Scholar] [CrossRef]
- Zhang, Z.; Li, J.; Fung, T.; Yu, H.; Mei, C.; Leung, Y.; Zhou, Y. Multiscale Geographically and Temporally Weighted Regression with a Unilateral Temporal Weighting Scheme and Its Application in the Analysis of Spatiotemporal Characteristics of House Prices in Beijing. Int. J. Geogr. Inf. Sci. 2021, 35, 2262–2286. [Google Scholar] [CrossRef]
- Ma, X.W.; Ji, Y.J.; Yuan, Y.F.; Van Oort, N.; Jin, Y.C.; Hoogendoorn, S. A comparison in travel patterns and determinants of user demand between docked and dockless bike-sharing systems using multi-sourced data. Transp. Res. Part A Policy Pract. 2020, 139, 148–173. [Google Scholar] [CrossRef]
- Gao, M.H.; Li, C.; Zhao, H. Spatiotemporal Pattern of Supply-Demand of Ecosystem Services and Influencing Factors in Jiangsu Province. Res. Soil Water Conserv. 2023, 30, 315–324. [Google Scholar]
- Xie, W.Y.; Fu, Y.H.; Yang, D.C.; Liu, J.; Wei, F.; Guo, Y.; Zhao, B. Spatiotemporal Evolution and Simulation Prediction of Ecosystem Service Value in Jiangsu Province Based on Land Use Change. Areal Res. Dev. 2022, 41, 126–132+158. [Google Scholar]
- Ding, M.T.; Pei, F.S.; Hu, Y.C.; Dong, S.; Zhang, N.; Lin, P. Spatial and temporal changes of ecosystem service value in Jiangsu Province based on LUCC. Acta Ecol. Sin. 2020, 40, 6801–6811. [Google Scholar]
- Shi, G.; Wang, Y.T.; Liu, J.H. Spatiotemporal evolution characteristics of terrestrial ecosystem carbon storage in Jiangsu Province based on land use/land cover change. Environ. Sci. 2025, 46, 2953–2962. [Google Scholar]
- Ye, B.; Sui, X.Y.; Wang, X.R.; Yin, Q.Q.; Wang, J.X.; Zhou, S.L. Identification and Delineation of Ecological Protection and Restoration Areas in Jiangsu Province. Resour. Environ. Yangtze Basin. 2023, 32, 250–259. [Google Scholar]
- Cai, W.; Shu, C.; Zhu, Y. Using Ecosystem Services to Inform Sustainable Waterfront Area Management: A Case Study in the Yangtze River Delta Ecological Green Integration Demonstration Zone. Land 2023, 12, 1351. [Google Scholar] [CrossRef]
- Chen, Z.; Li, X.; He, W.; Chen, J.; Ji, H. Study on Coupling and Coordination Relationship between Urbanization and Ecosystem Service Value in Jiangsu Province, China. Land 2024, 13, 204. [Google Scholar] [CrossRef]
- Grilo, C.; Neves, T.; Bates, J.; Le Roux, A.; Medrano-Vizcaíno, P.; Quaranta, M.; Silva, I.; Soanes, K.; Wang, Y. Global Roadkill Data: A dataset on terrestrial vertebrate mortality caused by collision with vehicles. Sci. Data 2025, 12, 1–14. [Google Scholar] [CrossRef]
- Hlatshwayo, T.I.; Zungu, M.M.; Collinson-Jonker, W.J.; Downs, C.T. Mainstreaming ecological connectivity and wildlife needs in green road transport infrastructure planning in South Africa. J. Environ. Manag. 2024, 371, 123062. [Google Scholar] [CrossRef]
- Gurrutxaga, M.; Saura, S. Prioritizing highway defragmentation locations for restoring landscape connectivity. Environ. Conserv. 2014, 41, 157–164. [Google Scholar] [CrossRef]
- Yuan, M.H.; Lo, S.L. Ecosystem services and sustainable development: Perspectives f1 rom the food-energy-water Nexus. Ecosyst. Serv. 2020, 46, 101217. [Google Scholar] [CrossRef]












| Data | Year | Source | Resolution | Format |
|---|---|---|---|---|
| Administrative boundaries | 2015 | Data Center for Resources and Environmental Science, Chinese Academy of Science (https://www.resdc.cn, accessed on 3 June 2023) | / | Vector |
| Land cover | 2005, 2010, 2015, 2020 | Data Center for Resources and Environmental Science, Chinese Academy of Science (https://www.resdc.cn, accessed on 25 August 2024) | 1 km | Raster |
| Precipitation | 2005, 2010, 2015, 2020 | National Tibetan Plateau Data Center (https://data.tpdc.ac.cn/home, accessed on 13 May 2024) | 1 km | Raster |
| Crop yield, price and CPI | 2005, 2010, 2015, 2020 | Compilation of National Agricultural Product Cost (https://www.ndrc.gov.cn/xwdt/ztzl/ncpdc70zn/wap_index.html, accessed on 5 June 2025) | / | / |
| Grain yield | 2005, 2010, 2015, 2020 | Jiangsu Statistical Yearbook (https://tj.jiangsu.gov.cn/col/col91733/index.html, accessed on 2 June 2025) | / | / |
| PM 2.5 | 2005, 2010, 2015, 2020 | NASA M2TMNXAER_5.12.4 (https://developers.google.cn/earth-engine/datasets/catalog/NASA_GSFC_MERRA_aer_2?hl=zh-cn,, accessed on 13 August 2024) | 1 km | Raster |
| Fractional vegetation cover | 2005, 2010, 2015, 2020 | Data Center for Resources and Environmental Science, Chinese Academy of Science (https://www.resdc.cn, accessed on 20 June 2025) | 1 km | Raster |
| Primary Land Use Type | Secondary Land Use Type | Food Production | Raw Material Production | Water Provision | Regulation of Atmospheric Gases | Climate Regulation | Pollution Abatement | Water Flow Regulation | Soil Retention | Nutrient Cycling | Biological Diversity | Cultural and Recreational Services |
|---|---|---|---|---|---|---|---|---|---|---|---|---|
| Cropland | Dryland | 2152.58 | 1012.98 | 50.65 | 1696.74 | 911.68 | 253.24 | 683.76 | 2608.41 | 303.89 | 3241.53 | 10,155.09 |
| Cropland | Paddy field | 3444.12 | 227.92 | −6660.32 | 2811.01 | 1443.49 | 430.52 | 6888.24 | 25.32 | 481.16 | 1038.30 | 9851.20 |
| Woodland | Forested land | 645.77 | 1494.14 | 772.39 | 4900.27 | 14,650.18 | 4330.48 | 10,231.06 | 5963.90 | 455.84 | 11,851.83 | 51,256.62 |
| Woodland | Shrubland | 481.16 | 1088.95 | 557.14 | 3570.74 | 10,712.23 | 3241.53 | 8483.68 | 4355.80 | 329.22 | 8660.95 | 38,543.76 |
| Woodland | Sparse woodland | 516.62 | 1195.31 | 617.92 | 3920.22 | 11,720.14 | 3464.38 | 8184.85 | 4771.12 | 364.67 | 9481.46 | 41,005.30 |
| Woodland | Other woodland | 258.31 | 597.66 | 308.96 | 1960.11 | 5860.07 | 1732.19 | 4092.43 | 2385.56 | 182.34 | 4740.73 | 20,502.65 |
| Grassland | High-cover grassland | 759.73 | 1126.94 | 620.45 | 3937.95 | 10,421.00 | 3444.12 | 7635.31 | 4798.98 | 367.20 | 9534.64 | 39,404.79 |
| Grassland | Medium-cover grassland | 607.79 | 901.55 | 496.36 | 3150.36 | 8336.80 | 2755.30 | 6108.25 | 3839.18 | 293.76 | 7627.71 | 31,523.83 |
| Grassland | Low-cover grassland | 364.67 | 540.93 | 297.82 | 1890.21 | 5002.08 | 1653.18 | 3664.95 | 2303.51 | 176.26 | 4576.63 | 18,914.30 |
| Water bodies | Rivers, canals, and lakes | 2025.95 | 582.46 | 20,993.94 | 1949.98 | 5799.29 | 14,055.05 | 258,916.84 | 2355.17 | 177.27 | 8990.17 | 318,100.00 |
| Water bodies | Tidal flat and beach | 1658.75 | 924.34 | 13,776.48 | 3380.81 | 7458.04 | 11,585.92 | 160,138.95 | 4102.56 | 316.56 | 17,613.13 | 224,918.81 |
| Unused land | Marsh | 1658.75 | 924.34 | 13,776.48 | 3380.81 | 7458.04 | 11,585.92 | 160,138.95 | 4102.56 | 316.56 | 17,613.13 | 224,918.81 |
| Unused land | Saline–alkali land; bare Soil and bare rock | 0.00 | 0.00 | 0.00 | 50.65 | 0.00 | 253.24 | 75.97 | 50.65 | 0.00 | 101.30 | 506.49 |
| Ocean | Ocean | 2025.95 | 582.46 | 20,993.94 | 1949.98 | 5799.29 | 14,055.05 | 258,916.84 | 2355.17 | 177.27 | 8990.17 | 318,100.00 |
| SDGs | Specific Target | Indicator | Data Source | Attribute |
|---|---|---|---|---|
| SDG 2: Zero Hunger | 2.3 Double agricultural productivity and incomes of small-scale food producers | Per capita grain yield (kg per people) | Jiangsu Statistical Yearbook | + |
| Per capita arable land area (hm2 per people) | Jiangsu Statistical Yearbook | + | ||
| SDG 6: Clean Water and Sanitation | 6.3 Improve water quality by reducing pollution, eliminating dumping of waste | Industrial wastewater discharge (100 million tons) | Jiangsu Statistical Yearbook | − |
| 6.4 Ensure sustainable water withdrawal and supply | Precipitation | National Tibetan Plateau Data Center | + | |
| Total water resources | Jiangsu Statistical Yearbook | + | ||
| SDG 11: Sustainable Cities and Communities | 11.6 Reduce per capita environmental impact of cities | Average PM 2.5 concentration (µg/m3) | NASA M2TMNXAER_5.12.4 satellite data processing | − |
| 11.7 Provide safe, inclusive, accessible, and green public spaces | Per capita park green space area (m2) | Jiangsu Statistical Yearbook | + | |
| Green coverage ratio of built-up areas (%) | Jiangsu Statistical Yearbook | + | ||
| Per capita road length (km per 10,000 people) | Jiangsu Statistical Yearbook | + | ||
| SDG 15: Life on Land | 15.1 Protect, restore, and promote sustainable use of terrestrial ecosystems and their services | Proportion of forest area to total land use area (%) | LUCC | + |
| 15.2 Strive to achieve land degradation neutrality | Fertilizer application per unit arable land area (kg/hm2) | Jiangsu Statistical Yearbook | − |
| CCD Value Range (D) | Coordination Level | Coupling Coordination Status | CCD Value Range (D) | Coordination Level | Coupling Coordination Status |
|---|---|---|---|---|---|
| (0.0–0.2) | 1 | Severe imbalance | [0.4–0.5) | 4 | Barely coordinated |
| [0.2–0.3) | 2 | Moderate imbalance | [0.5–0.6) | 5 | Basically coordinated |
| [0.3–0.4) | 3 | Mild imbalance | [0.7–1.0) | 6 | Well coordinated |
| Model Parameters | Bandwidth | Residual Squares | Sigma | AICc | R2 | R2 Adjusted | Spatio-Temporal Distance Ratio |
|---|---|---|---|---|---|---|---|
| value | 0.111949 | 0.242868 | 0.031811 | −744.089 | 0.85838 | 0.85597 | 0.373068 |
Disclaimer/Publisher’s Note: The statements, opinions and data contained in all publications are solely those of the individual author(s) and contributor(s) and not of MDPI and/or the editor(s). MDPI and/or the editor(s) disclaim responsibility for any injury to people or property resulting from any ideas, methods, instructions or products referred to in the content. |
© 2025 by the authors. Licensee MDPI, Basel, Switzerland. This article is an open access article distributed under the terms and conditions of the Creative Commons Attribution (CC BY) license (https://creativecommons.org/licenses/by/4.0/).
Share and Cite
Wang, J.; Hou, H.; Zhang, S.; Zhang, S.; Ji, H.; Chen, Z. Coupling Coordination Between Ecosystem Services and Sustainable Development Goals from a County-Level Perspective in Jiangsu Province, China. Land 2025, 14, 1627. https://doi.org/10.3390/land14081627
Wang J, Hou H, Zhang S, Zhang S, Ji H, Chen Z. Coupling Coordination Between Ecosystem Services and Sustainable Development Goals from a County-Level Perspective in Jiangsu Province, China. Land. 2025; 14(8):1627. https://doi.org/10.3390/land14081627
Chicago/Turabian StyleWang, Jing, Huping Hou, Shaoliang Zhang, Shaoning Zhang, Haoying Ji, and Zanxu Chen. 2025. "Coupling Coordination Between Ecosystem Services and Sustainable Development Goals from a County-Level Perspective in Jiangsu Province, China" Land 14, no. 8: 1627. https://doi.org/10.3390/land14081627
APA StyleWang, J., Hou, H., Zhang, S., Zhang, S., Ji, H., & Chen, Z. (2025). Coupling Coordination Between Ecosystem Services and Sustainable Development Goals from a County-Level Perspective in Jiangsu Province, China. Land, 14(8), 1627. https://doi.org/10.3390/land14081627

