Next Article in Journal
A Spatiotemporal Analysis of the Relationship Between Construction Land Supply and High-Quality Urban Development: Evidence from 285 Chinese Cities
Previous Article in Journal
Analyzing Grassland Reduction and Woody Vegetation Expansion in Protected Sky Island of Northwest Mexico
Previous Article in Special Issue
Benefits and Trade-Offs from Land Use and Land Cover Changes Under Different Scenarios in the Coastal Delta of Vietnam
 
 
Font Type:
Arial Georgia Verdana
Font Size:
Aa Aa Aa
Line Spacing:
Column Width:
Background:
Article

Spatiotemporal Evolution and Scenario Simulation of Landscape Ecological Risk in Hilly–Gully Regions: A Case Study of Zichang City

by
Zhongqian Zhang
1,†,
Huanli Pan
2,†,
Jing Gan
1,
Shuangqing Sheng
3,* and
Guoyang Lu
1,*
1
Department of Architecture and Civil Engineering, City University of Hong Kong, Hong Kong 518057, China
2
School of Civil Engineering and Architecture, Southwest University of Science and Technology, Mianyang 621010, China
3
College of Land Science and Technology, China Agricultural University, Beijing 100193, China
*
Authors to whom correspondence should be addressed.
These authors contributed equally to this work.
Land 2025, 14(12), 2358; https://doi.org/10.3390/land14122358
Submission received: 12 October 2025 / Revised: 28 November 2025 / Accepted: 29 November 2025 / Published: 2 December 2025

Abstract

The evolution of landscape ecological risk in ecologically fragile areas constitutes a critical foundation for optimizing territorial spatial planning and ensuring ecological security. This study takes Zichang City as the research object and integrates the dynamic analysis of land use, landscape ecological risk assessment, and spatial simulation into a single framework. By analyzing the laws of land use change in Zichang City from 1980 to 2020, the CLUE-S model was used to predict land use change and ecological risks under multiple scenarios in 2035. Statistical and spatial analysis methods were comprehensively applied to verify the robustness and spatial differentiation characteristics of the risk assessment. Key findings indicate the following: (1) From 1980 to 2020, forest land, water bodies, and construction land in Zichang City continued to increase, while cultivated land and grassland tended to decrease. Multi-scenario simulations showed that under the business-as-usual scenario, grassland and forest land expanded; under the economic development scenario, urban land increased significantly; under the ecological protection scenario, grassland grew substantially, while cultivated land contracted noticeably. (2) The overall LERI from 1980 to 2020 first declined and then slightly rebounded, reflecting an “initial improvement followed by fluctuation” in ecological security, with a spatial pattern of “high in the central area, low in the periphery.” By 2035, high-risk levels remain predominant across scenarios, although the proportion of high-risk areas is limited. Monte Carlo simulation confirmed the robustness of the assessment (mean CV = 0.038). (3) Spatially, from 2020 to 2035, the clustering characteristics of LERI varied among scenarios; however, high–high and low–low clustering patterns remained predominant, indicating that spatial aggregation of ecological risk is relatively stable across scenarios. This study demonstrates that integrating landscape ecological risk assessment with land use scenario modeling provides robust scientific support for optimizing spatial planning and ecological security in ecologically fragile regions. The proposed framework offers methodological guidance and practical reference for identifying key risk areas and designing differentiated land use and risk management strategies in similar hilly–gully landscapes.

1. Introduction

Ecological security serves as a cornerstone within national security frameworks, acting as a crucial safeguard for the sustainable development of socio-economic systems. Its importance is underscored by its fundamental role in ensuring the continuity of human civilization and societal stability [1]. As global urbanization progresses at an annual rate of 1.8%, approximately 75% of the Earth’s terrestrial ecosystems have undergone significant alterations due to human activities. These profound anthropogenic interventions have not only reshaped landscape configurations but also disturbed the stability of biogeochemical cycles through cascading ecological processes, thereby amplifying ecological security risks [2]. Within this context, Landscape Ecological Risk (LER) has emerged as a pivotal framework for assessing the stability of coupled “pattern-process-service” systems [3]. Quantitative evaluations of LER provide crucial insights into the sensitivity of ecosystems to both human-driven and natural changes, offering essential guidance for the optimization of landscape management strategies. The global community has developed transnational governance mechanisms for ecological risk management, such as the SDG15 target (life on land) under the 2030 Agenda for Sustainable Development and the 30 × 30 target within the Post-2020 Global Biodiversity Framework [4]. However, recent studies highlight a global decline in ecological corridor connectivity at a rate of 0.6% annually, signaling potential systemic failures within traditional risk prevention and control strategies.
Landscape ecological risk arises from the dynamic reconfiguration of landscape patterns. As the most explicit expression of human activities, land use/cover change (LUCC) constitutes a key force restructuring landscape composition, modifying ecological processes, and ultimately triggering ecological risks [5]. In recent years, LUCC has become a central focus within the field of global environmental change research. Processes such as urban expansion, agricultural land conversion, and forest transformation have restructured the physical landscape and altered ecological dynamics, subsequently influencing ecological security [6]. Empirical evidence reveals that the effects of LUCC on ecosystems extend beyond individual dimensions such as carbon sequestration, biodiversity loss, and changes in hydrological processes, accumulating over time to significantly contribute to landscape ecological risks [7,8]. Current research predominantly utilizes remote sensing (RS) and geographic information systems (GIS), in conjunction with modeling and scenario simulation approaches, to explore the driving forces, spatiotemporal patterns, and ecological implications of LUCC. Nevertheless, substantial gaps remain in the quantitative assessment of landscape ecological risks, particularly regarding the effects of multi-scale landscape pattern evolution on ecosystem stability. Issues such as structural fragmentation, ecological function degradation, and resilience depletion driven by LUCC have not been systematically addressed, thereby limiting the effectiveness of existing ecological risk management frameworks.
The LER assessment framework has become a widely applied tool in ecological security research [9]. Typically, landscape ecological risk is quantified using the Landscape Ecological Risk Index (LERI), which captures the spatial heterogeneity of ecological risk. The indicator system commonly incorporates three dimensions: landscape disturbance, ecological vulnerability, and risk exposure or loss [10,11]. Nonetheless, several limitations persist. First, grid-based analyses are frequently conducted at coarse spatial resolutions, constraining the ability to detect fine-scale ecological processes and long-term dynamics. Second, many existing studies rely on short temporal intervals and largely descriptive assessments that lack robust statistical inference, thereby limiting the interpretation of spatiotemporal patterns and differences. Furthermore, although LER assessments have been conducted across global/national, regional, and local scales, systematic examination of composite “natural–anthropogenic” landscape risks within regional–local transition zones—such as Zichang City—remains insufficient [12,13].
To address these methodological gaps, this study adopts Zichang City as a representative case area. It is representative in both natural and socio-economic aspects: geomorphologically dominated by loess hills and ridges (accounting for 94.6%), ecologically facing soil erosion and vegetation degradation, and in a transitional stage where the “Grain for Green Program” and rapid urbanization proceed in parallel. Thus, it serves as an ideal area for exploring ecological risks of the “natural–artificial” composite landscape. Meanwhile, as an overlapping region of an old revolutionary base area, a resource-based city, and a key ecological function area, its development path provides a reference for the Loess Plateau. Against the backdrop of growing economic development and intensified human activities, exploring the impact of landscape pattern changes on ecological risks is crucial for optimizing regional ecological management [14]. By integrating a 40-year (1980–2020) multi-temporal analysis of landscape ecological risk with scenario-based simulations and statistical validation, this study not only clarifies the long-term trajectory of ecological security in Zichang City but also seeks to establish a transferable and verifiable analytical framework to support landscape risk assessment and management across the hilly–gully region of the Loess Plateau.
Accordingly, this study pursues three primary objectives: (1) to examine the long-term trajectory and spatial transformation characteristics of land use and landscape ecological risk in Zichang City from 1980 to 2020; (2) to simulate land use patterns for 2035 under three scenarios—baseline development, economic development, and ecological protection—and to quantify the spatial disparities among these scenarios; (3) to predict the evolution of ecological risk in 2035 across different scenarios and, using spatial autocorrelation and related statistical approaches, to elucidate the underlying spatial clustering patterns.

2. Research Area and Data Source

2.1. Overview of the Study Area

Zichang City is situated in the central region of the Loess Plateau, to the north of the revolutionary historic site of Yan’an. It is bordered by the southern slopes of the Hengshan Mountains to the north and the Yongping Chuan to the south (Figure 1). Geographically, the city spans from 109°11′58″ to 110°01′22″ east longitude and from 36°59′30″ to 37°30′00″ north latitude. The city extends 72 km from east to west and 55.7 km from north to south, with elevations ranging from 930 to 1562 m. Covering a total area of 2405 km2, Zichang accounts for 1.16% of Shaanxi Province’s total land area and 7% of the total area of Yan’an City. The city is characterized by the typical hilly and gully landscape of the Loess Plateau, with the Maoliang landform prevailing, which covers 94.6% of the area. Climatically, the region is characterized by a warm-temperate, semi-arid, continental monsoon climate, with an annual mean temperature of 9.1 °C, average annual precipitation of 514.7 mm, and a frost-free period of 175 days. As of 2023, Zichang governs 8 towns and 3 subdistricts, with a total population of 273,000, of which 135,000 reside in urban areas. In 2023, the city’s Gross Domestic Product (GDP) reached 15.738 billion yuan, reflecting a modest 0.1% growth compared to the previous year. Zichang is endowed with abundant land and human resources, rich mineral deposits, and diverse tourism resources, making it one of the 100 national red tourism classic destinations [15]. Investigating the landscape ecological risk patterns of Zichang holds substantial theoretical and practical importance for strengthening ecological environmental protection, advancing sustainable development, fostering tourism and the preservation of red cultural heritage, and facilitating the harmonious integration of socio-economic and ecological systems.

2.2. Data Sources

The dataset employed in this study includes land use remote sensing monitoring data (CNLUCC) and supplementary geographic datasets (Table 1). CNLUCC is a high-resolution global land cover data product that offers land use information for five distinct time periods: 1980, 1990, 2000, 2010, and 2020, with a spatial resolution of 30 m [16]. In alignment with the classification framework developed by the Chinese Academy of Sciences, the CNLUCC was reclassified into six distinct land use categories: cultivated land, forestland, grassland, water bodies, urban land, and rural settlements. To further investigate the underlying drivers of land use change, this study incorporates both natural geographic and socio-economic datasets. (Appendix A) The natural geographic datasets include the Digital Elevation Model (DEM) and water body data, while the socio-economic datasets encompass railway and road networks, nighttime light data, population density, and GDP. These datasets collectively facilitate the identification of the various driving factors influencing land use changes.
Drawing on previous research, this study selects driving factors that integrate established land use change theories with the regional characteristics of Zichang City [17,18,19,20]. Elevation and water bodies serve as local constraints shaping land use suitability, with topography and slope directly limiting the feasibility of construction and agricultural activities, while the distribution of water bodies constitutes a critical natural element influencing both ecological patterns and human activities. Transportation infrastructure, encompassing railways and highways, forms the regional connectivity framework, directly regulating the flow and agglomeration of production factors and acting as a principal driver of urban land expansion. Moreover, night-time light intensity, population density, and spatial GDP collectively represent the intensity of human activity and the spatial heterogeneity of economic development, providing a robust basis for explaining the underlying mechanisms of urban growth and agricultural intensification.
Table 1. Description of Data Sources and Their Uses.
Table 1. Description of Data Sources and Their Uses.
DataSub-DataYear(s)Data PropertiesSourcesAccess Time
Land use datasetLand use1980, 1990, 2000, 2010, 2020Grids/30 mhttps://www.resdc.cn/DOI/DOI.aspx?DOIID=5 [16]Accessed on 20 November 2024
Natural geography datasetDEM2005Grids/30 mhttps://www.gscloud.cn/sources/accessdata/310?pid=302 [21]Accessed on 21 November 2024
Water area2005Vectorhttps://data.casearth.cn/dataset/66580e10819aec3bf756e167 [22]Accessed on 21 November 2024
Railways2005VectorOpenStreetMap (https://www.openstreetmap.org/) [23]Accessed on 22 October 2024
Highways2005VectorOpenStreetMap (https://www.openstreetmap.org/) [23]Accessed on 21 November 2024
Nighttime light data2005Grids/1000 mhttps://www.resdc.cn/DOI/DOI.aspx?DOIID=105 [24]Accessed on 22 November 2024
Socio-economic datasetPopulation density2005Grids/1000 mWorldPop (https://www.worldpop.org/) [25]Accessed on 22 November 2024
GDP2005Grids/1000 mhttps://www.resdc.cn/DOI/DOI.aspx?DOIID=33 [26]Accessed on 22 November 2024

3. Methods

The assessment of landscape ecological risk in Zichang City encompassed land use change analysis, scenario-based simulation, and ecological risk evaluation (Figure 2). The assessment of landscape ecological risk in Zichang City encompasses land use change analysis, scenario-based simulation, and ecological risk evaluation (Figure 2). Initially, a detailed examination of land use/cover change (LULC) was conducted, providing a foundational basis for subsequent modeling. Thereafter, the Landscape Ecological Risk Index (LERI) was calculated, enabling comparisons with historical periods and facilitating an in-depth analysis of ecological risk dynamics under different scenarios. Finally, the spatial clustering patterns of landscape ecological risk were further examined, forming the basis for proposing targeted strategies for ecological risk prevention.

3.1. Land Use Transition Matrix

The land use transition matrix, derived from the application of the Markov model in land use change analysis, quantitatively captures the shifts between different land use categories. It further elucidates the conversion rates among these land types, providing valuable insights into the dynamics of land use change over time [27].
Based on land use data from two consecutive periods, the land use transfer matrix was calculated using spatial overlay analysis in ArcGIS10.8 software. This matrix was then utilized to analyze the dynamic evolution processes of different land use types.

3.2. Land Use Change Simulation

3.2.1. CLUE-S Model and Accuracy Verification

(1)
CLUE-S Model
The CLUE-S model can simultaneously simulate multiple land use types and incorporates a demand-driven spatial allocation mechanism, making it especially suitable for small-scale policy scenario simulations. Its theoretical framework consists of a non-spatial demand module and a spatial allocation module [28]. The non-spatial demand module calculates the total demand for various land use types. To enhance the accuracy of land use demand forecasting, we integrate the CLUE-S model with the Markov model, optimizing the land demand module. The spatial allocation module, utilizing spatial suitability probability maps, land use type conversion elasticities, and iterative variables, allocates the total land demand across Zichang City’s spatial landscape through successive iterations.
(2)
Accuracy Validation
To ensure the robustness of the CLUE-S model, this study conducted a simulation of Zichang City’s land use pattern for the year 2035, using 2020 land use data as the baseline input. The simulation results were validated by comparing the spatial and temporal consistency between the simulated and actual land use data. A comprehensive assessment of spatial similarity was performed using the Kappa coefficient method, which includes the standard Kappa coefficient, the quantity disagreement index K h i s , and the location disagreement index K L o c . The standard Kappa value is calculated as the product of K H i s and   K L o c . Typically, the Kappa value ranges from 0 to 1; 0 indicates extremely low consistency between the observed and simulated maps, while 1 indicates high consistency between the observed and simulated maps. Conventionally, a Kappa value of 0.41–0.60 is considered indicative of a feasible model simulation with moderate agreement, whereas a Kappa value of 0.61–0.80 denotes a well-performing simulation with a high degree of consistency.

3.2.2. Scenario Design

Considering Zichang City’s location within the hilly and gully region of the Loess Plateau, its transformation as a resource-based city, and its position within the overlapping policy frameworks of former revolutionary areas, this study delineates three distinct development scenarios. These scenarios are crafted in accordance with the strategic directives outlined in the Zichang City Land Spatial Planning (2021–2035), with a focus on a multi-objective collaborative approach [29].
(1)
Baseline Development Scenario
In the baseline scenario, land use evolves solely according to historical patterns, without the influence of future planning or policy interventions. It is assumed that growth trends and policy effects observed between 1980 and 2020 will persist over the coming decades. Accordingly, no additional restrictions or incentives are applied in the simulation.
(2)
Economic Development Scenario
Under the economic development scenario, urban expansion is prioritized to support economic growth. The probabilities of converting cropland, forest, and grassland to urban land are increased by 60%, 50%, and 30% relative to the baseline, respectively, while transfer probabilities among other land types remain largely unchanged.
(3)
Ecological Protection Scenario
To explore future land use changes under ecological protection policies, nature reserves and water body buffer zones in the study area are designated as no-construction zones, strictly restricting construction land expansion from transportation networks and night-time light. Adjust land use transfer probabilities: forest/grassland-to-construction land probabilities decrease by 50%; forest-to-cultivated/grassland probabilities drop sharply by 80%; cultivated land-to-grassland/forest probabilities increase by 60% and 30%, respectively, with its construction land transfer probability down 50%; unused land-to-grassland/cultivated/forest probabilities rise by 50%, 20%, and 20%, respectively; transfer probabilities for other types remain unchanged.

3.3. Landscape Ecological Risk Assessment

3.3.1. Delineation of Ecological Risk Assessment Units

In landscape ecological risk assessment, the definition of assessment units (i.e., spatial grain) is critical for accurately capturing spatial heterogeneity. To identify the most suitable grid size for this study, a systematic Grain Size Analysis was conducted. Guided by the “grain effect” concept in landscape ecology and considering the average area and spatial distribution characteristics of typical landscape patches in Zichang City’s hilly–gully region, four candidate grid sizes—100 m, 300 m, 500 m, and 1000 m—were evaluated [30,31,32]. The 100 m grid, while capturing fine-scale details, produced overly fragmented risk indices, impeding the formation of ecologically meaningful continuous spatial patterns. Conversely, 500 m and 1000 m grids excessively smoothed spatial heterogeneity, resulting in the loss of critical ecological risk gradients. The 300 m × 300 m grid demonstrated the optimal balance, effectively revealing spatial differentiation of landscape ecological risk between gullies and ridges while retaining sufficient information within each unit to compute stable statistical indicators and minimizing noise from overly fine grains. Accordingly, the study area was partitioned into 300 m × 300 m risk assessment units to reliably capture the spatial dynamics of landscape ecological risk.

3.3.2. Landscape Ecological Risk Index

Ecological risk magnitude depends on both the intensity of external disturbances and the intrinsic resistance of the regional ecosystem. Landscape types differ in their roles in species conservation, biodiversity maintenance, structural and functional integrity, and the facilitation of natural landscape succession, as well as in their capacity to withstand external disturbances [33]. In this study, the Landscape Ecological Risk Index (LERI) was employed as a comprehensive and widely recognized assessment framework. LERI integrates three dimensions—landscape disturbance, vulnerability, and potential loss—into a quantitative system that reflects both external pressure and ecosystem resilience [34]. This framework allows for a detailed evaluation of the magnitude, spatial distribution, and temporal evolution of landscape ecological risk in Zichang City.
(1)
Landscape Fragmentation Index [34,35]
C i = n i A i
(2)
Landscape Separation Index [34,35]
N i = A 2 A i n i A
(3)
Landscape Dominance Index [34,35]
D i = Q i + M i 4 + L i 2
(4)
Landscape Disturbance Index [34,35]
E = a C i + b N i + c D i
In the formula, n i represents the number of patches of landscape type i , A i  denotes the total area of landscape type i , A is the total area of the entire landscape;  Q i = Number of quadrats where patch i appears/Total number of quadrats, M i = Number of patches i /Total number of patches, L i = Area of patch i / Total area of quadrats. The weights a , b and c correspond to C i , N i and D i , respectively, with a + b + c = 1 . Based on relevant literature and expert opinions, the weights for a , b and c are assigned as 0.5, 0.3 and 0.2, respectively. In this study, the weighting scheme (a = 0.5, b = 0.3, c = 0.2) was adopted with reference to authoritative peer-reviewed studies in the field of landscape pattern analysis [36,37]. Empirical evidence indicates that among the components of landscape disturbance, fragmentation is typically regarded as the principal indicator and is therefore assigned the highest weight (0.5), followed by landscape separation (0.3), while landscape dominance, contributing comparatively less, is assigned the lowest weight (0.2). This weighting framework has been extensively validated as a reliable representation of landscape disturbance intensity, providing a sound theoretical basis and broad applicability.
(5)
Landscape Vulnerability Index
Landscape vulnerability represents the sensitivity and susceptibility of different landscape types to external disturbances. In consideration of Zichang City’s specific conditions and drawing on prior research, a structured expert elicitation approach (Delphi method) was employed to assess landscape vulnerability [38,39]. Reflecting the region’s pronounced soil erosion and low vegetation coverage, ten experts in ecology, geography, and land use planning participated in three rounds of anonymous, iterative consultation to establish initial vulnerability ratings for each landscape type. The resulting index classified landscape vulnerability into six levels: rural settlements = 1, urban land = 2, forest = 3, grassland = 4, cropland = 5, and water bodies = 6. This ranking captures the expert consensus that aquatic ecosystems are most vulnerable, whereas built-up areas demonstrate the greatest resistance to disturbance, integrating collective expert judgment. The initial scores were then normalized to produce the final landscape vulnerability index (F1) for each landscape type.
(6)
Landscape Loss Index
The landscape loss index combines multiple indicators to assess the extent of natural attribute degradation in ecosystems associated with different landscape types, resulting from both natural and anthropogenic disturbances. This degradation is represented by the landscape loss index R i .
R i = E i × F i
In the formula, E i stands for the landscape disturbance index; F i stands for landscape Vulnerability Index.
(7)
Landscape Ecological Risk Index
The Landscape Ecological Risk Index is derived by combining the area-weighted proportions of landscape components with the Landscape Loss Index.
E R I i = i = 1 N A k i A k R i
In the formula, E R I i represents the ecological risk index of the i risk sub-region, A k i denotes the area of the i landscape type in the k risk sub-region, A k is the total area of the k risk sub-region, R i is the landscape loss index of the i landscape type. The natural breaks method, as an objective data classification approach, maximizes within-group homogeneity while enhancing between-group heterogeneity. By delineating risk levels based on the intrinsic distribution of the data, it mitigates biases associated with subjectively defined thresholds. To visually demonstrate spatial variations in landscape ecological risk across different periods, the natural breaks method was applied to classify E R I i into five hierarchical levels: Low-risk zone ( E R I i < 0.0210), Relatively low-risk zone (0.0210 ≤ E R I i < 0.0248), Moderate-risk zone (0.0248 ≤ E R I i < 0.0281), Relatively high-risk zone (0.0281 ≤ E R I i < 0.0800), High-risk zone ( E R I i ≥ 0.0800). The area proportions of each risk level in Zichang City were subsequently calculated and analyzed.
(8)
Sensitivity Analysis of the Landscape Ecological Risk Index
To quantitatively test the sensitivity of LERI to changes in key weighting parameters and evaluate the robustness of the research conclusions, this study conducted a perturbation analysis targeting the “Landscape Vulnerability Index.” Using Python 3.13.9 (v2025), a sensitivity analysis method based on Monte Carlo simulation was employed [40]. This method involves extensive random sampling to simulate possible values of parameters within their uncertainty ranges and statistically analyzes the response of model outputs, thereby systematically assessing parameter sensitivity. Using the vulnerability index determined via the Delphi method as the baseline scenario, a fluctuation range was set for the baseline vulnerability index ( F i ,0) of each landscape type. The index was defined to follow a uniform distribution within ±10% of the baseline value, i.e., F i ~U(0.90 × F i ,0, 1.15 × F i ,0). This range sufficiently accounts for potential biases in expert judgment. The Latin Hypercube Sampling (LHS) technique was applied to generate N = 10,000 sets of mutually independent vulnerability index combinations. Compared to simple random sampling, the LHS method more efficiently covers the entire parameter space with fewer sampling iterations. Subsequently, each set of sampled vulnerability indices was substituted into the LERI calculation model (Formulas (10) and (11)), and the calculation was repeated 10,000 times. This process yielded 10,000 possible LERI values for each risk assessment unit (300 m × 300 m grid) in Zichang City for the year 2020, forming a probability distribution of risk values.
To measure the fluctuation degree of the LERI calculation results relative to the perturbation of the vulnerability index in each grid unit, the Coefficient of Variation (CV) for each grid was calculated. The formula is as follows:
C V = σ μ
Here, σ represents the standard deviation of the 10,000 simulated LERI values for the grid cell, and μ represents their mean. A lower CV value indicates that the ecological risk estimate for that location is more stable and less sensitive to changes in the vulnerability index; conversely, a higher CV value indicates greater estimation uncertainty and higher sensitivity. This study evaluates the robustness of the results from both global and local perspectives. First, from the global perspective, if the average CV value across all grid cells is below 0.05, and the area proportion of highly sensitive grid cells (with CV > 0.10) is less than 5%, then the LERI assessment results for the entire study area are considered insensitive to the vulnerability index, and the conclusions are deemed robust. Second, from the local perspective, by comparing the spatial distribution of CV values with the spatial pattern of the baseline LERI, we analyze whether highly sensitive areas are concentrated in the high-risk or low-risk zones that are the focus of the main conclusions. If the CV values in high-risk areas are generally low, it demonstrates that the core conclusions are not affected by parameter uncertainty.

3.4. One-Way Analysis of Variance (ANOVA) and Tukey HSD Post Hoc Test

One-way Analysis of Variance (ANOVA) is used to determine whether a single categorical independent variable (factor) with multiple levels has a significant effect on the mean of a continuous dependent variable [41]. This statistical analysis was performed using SPSS 27.0 (v2020) software. A one-way ANOVA was employed to compare the differences in LERI among the three scenarios (Baseline Development, Economic Development, and Ecological Protection). The calculation formula is as follows:
S S T = i = 1 k j = 1 n i x i j x i ¯ 2
S S B = i = 1 k n i x i ¯ x ¯ 2
S S E = i = 1 k j = 1 n i x i j x i ¯ 2
M S B = S S B k 1
M S E = S S E N k
F = M S B M S E
Here, k is the number of groups, n i is the sample size of the i -th group, x i j is the j -th observation in the i -th group, x ¯ is the grand mean of all observations, x i ¯ is the sample mean of the i -th group, and N is the total sample size. When the null hypothesis holds (i.e., all group population means are equal), the F -statistic follows an F -distribution with degrees of freedom ( k 1 , N k ). If the calculated F -value is greater than the critical value of the F -distribution at the corresponding significance level (or if the p-value is less than 0.01), the null hypothesis is rejected, indicating that there is a significant difference between the means of at least two groups. When the overall test is significant, the Tukey HSD post hoc test is used for pairwise comparisons, with the significance level set at p < 0.05.

3.5. Spatial Autocorrelation Analysis

In this study, GeoDa 1.18.0 (v2025) software was utilized to explore the spatial differentiation characteristics of ecological risk assessments in Zichang City for the years 2020 and 2035, across three different development scenarios. Global spatial autocorrelation (global Moran’s I) was applied to examine the overall spatial correlation of ecological risk, while local spatial autocorrelation (local Moran’s I) was used to capture spatial clustering patterns. Five distinct clustering types were identified: High–High, which denotes regions with high ecological risk values and surrounding areas exhibiting similarly high values; Low–Low, indicating areas with low ecological risk values and adjacent regions displaying similarly low values; High–Low, where the region itself has high ecological risk, but the surrounding areas are low; Low–High, representing regions with low ecological risk, surrounded by areas with high ecological risk; and Not Significant, where no notable clustering of risk values is observed in either the region or its surrounding areas [42,43].

4. Results

4.1. Land Use Change in Zichang City

From 1980 to 2020, grassland has consistently represented one of the dominant land use types in Zichang City, comprising an average of 43.80% of the total area (Figure 3). This was followed by cultivated land (42.76%) and forestland (13.15%), while the proportions of water bodies, rural settlements, and urban land remained relatively small, at 0.12%, 0.09%, and 0.07%, respectively. Regarding grassland conversion, between 1980 and 1990, grassland was predominantly transformed into water bodies, covering an area of 29.79 ha; between 1990 and 2000, it was largely converted into forestland, occupying 3631.95 ha; from 2000 to 2010, grassland was primarily shifted to both forestland and cultivated land, covering areas of 5237.82 ha and 4723.29 ha, respectively; and between 2010 and 2020, grassland was converted into cultivated land and forestland, with areas of 5377.5 ha and 1264.5 ha, respectively.
Over the past four decades, the area of urban land has expanded from 104.76 ha (0.04% of the total area) in 1980 to 201.78 ha (0.08% of the total area) in 2020. In terms of land use conversion, cultivated land has been the primary source of urban land expansion. Between 1980 and 2010, the area of cultivated land converted to urban land accounted for 0.33% of the total area of land converted out of cultivated land, a proportion which increased to 0.43% between 2010 and 2020. Additionally, the changes in rural settlement area mirrored the trend observed in urban land. The area of water bodies has exhibited an increasing trend, primarily due to the conversion of grassland and forestland, with a minor contribution from cultivated land. Over the past 40 years, the expansion of water bodies has been modest.

4.2. Land Use Dynamics Under Alternative Development Scenarios

4.2.1. Baseline Development Scenario

Under the baseline development scenario, the projected land use distribution in Zichang City by 2035 indicates that forestland, grassland, urban land, and rural settlements will occupy 46,779.21 ha, 109,189.98 ha, 505.80 ha, and 297.99 ha, respectively (Figure 4a). Compared to 2020, this scenario reflects an expansion of 1222.92 ha in forestland, 4898.43 ha in grassland, 304.02 ha in urban land, and 55.44 ha in rural settlements. In contrast, the areas of cultivated land and water bodies are expected to decline by 6325.74 ha and 1.26 ha, respectively. Overall, this scenario is characterized by a gradual conversion of cultivated land into grassland, with grassland exhibiting an average annual growth rate of 4.70%, highlighting a trend towards extensive land use practices.

4.2.2. Economic Development Scenario

Under the economic development scenario, the areas of grassland and urban land in Zichang City are projected to increase to 109,002.4 ha and 576.18 ha, respectively, by 2035 (Figure 4b). Compared with 2020, grassland and urban land expand by 4730.85 ha and 662.49 ha, respectively, while the area of cultivated land decreases to 82,191.33 ha, a reduction of 6513.12 ha. In this scenario, the spatial distribution of forest land remains generally consistent with that under the baseline development scenario. However, compared with the baseline, land use changes under the economic development scenario are mainly characterized by the conversion of cultivated land into urban land, with urban expansion being particularly prominent, showing an average annual growth rate of 12.37%.

4.2.3. Ecological Protection Scenario

Under the ecological protection scenario, Zichang City’s land use structure by 2035 is projected to comprise 47,591.82 ha of forestland, 115,515.00 ha of grassland, 349.11 ha of urban land, and 294.21 ha of rural settlements (Figure 4c). Relative to 2020, forestland and grassland experience substantial increases of 2035.53 ha and 11,223.40 ha, respectively, while cultivated land decreases significantly to 75,400.38 ha. Water bodies remain relatively stable, with minimal fluctuations. This scenario is primarily characterized by the large-scale conversion of cultivated land into ecological land uses, particularly forestland and grassland, with average annual growth rates of 4.47% and 10.76%, respectively.

4.3. Spatiotemporal Dynamics of Landscape Ecological Risk

4.3.1. Temporal Evolution of Landscape Ecological Risk

The mean values of Landscape Ecological Risk (LER) in Zichang City were recorded as 0.0279, 0.0272, 0.0268, 0.0249, and 0.0250 for the years 1980, 1990, 2000, 2010, and 2020, respectively (Figure 5). These values indicate a general downward trend in ecological risk from 1980 to 2010, followed by a modest rebound between 2010 and 2020. This trajectory reflects a gradual enhancement of ecological security over the first three decades, with signs of slight ecological degradation in the most recent decade. An in-depth analysis of the risk level composition reveals that in 1980, 1990, 2000, and 2020, the landscape was predominantly characterized by moderate- and relatively high-risk zones, together accounting for 85.00%, 77.08%, 73.25%, and 57.26% of the total land area, respectively. In contrast, by 2010, low- and moderate-risk zones had become dominant, comprising 66.97% of the landscape. From 1980 to 2020, the extent of low-risk zones exhibited continuous growth, expanding by a total of 39,727.38 ha. The areas classified as relatively low-risk and moderate-risk demonstrated an initial increase followed by a subsequent decline, peaking in 2010. Over the study period, relatively low-risk zones increased by 26,886.16 ha (11.23%), whereas moderate-risk zones declined by 21,173.65 ha (8.84%). Simultaneously, the area under relatively high-risk conditions experienced a substantial increase—from 114,587.14 ha in 1980 to 69,335.79 ha in 2020—reflecting a net rise of 45,251.35 ha. This trend indicates an intensification of ecological risk in certain localized regions. Although the proportion of high-risk zones remained relatively low, it exhibited a slight downward trajectory, decreasing from 0.30% of the total area in 1980 to 0.23% in 2020.

4.3.2. Spatial Differentiation of Landscape Ecological Risk

Between 1980 and 2020, the spatial distribution of landscape ecological risk (LER) in Zichang City exhibited notable variation. From 1980 to 2000, the spatial pattern was characterized by a “high-in-the-center and low-on-the-periphery” configuration. However, during the period from 2000 to 2020, the distribution shifted to a pattern of “higher in the north, lower in the south, stronger in the west, and weaker in the east” (Figure 6). In 1980, high-risk zones were primarily concentrated in the western part of ADZ and both the western and eastern sections of YJYZZ. Relatively high-risk areas appeared in a patchy distribution, predominantly located at the junction of LJPJD, XYJD, and WYBJD, as well as within MJBZ. Moderate-risk areas were widely distributed, particularly in LJCZ, western ADZ and YJPZ, and parts of YJYZZ and MJBZ. Relatively low-risk zones were mainly concentrated in YJYZZ and MJBZ, while low-risk zones were sporadically distributed in areas such as the border of LJCZ and ADZ, northeastern LJPJD, southern XYJD, southwestern YJYZZ, and sections of MJBZ. By 1990, the eastern region, including YJYZZ and MJBZ, showed a marked transition from relatively high-risk to lower-risk zones. Moderate-risk areas expanded across other parts of the city, accompanied by a substantial reduction in relatively high-risk zones, while high-risk zones remained largely unchanged. In 2000, both low-risk and relatively low-risk areas continued to expand, especially in the northern part of JYCZ and western LJCZ, while the spatial configuration of other risk categories remained relatively stable. Between 2000 and 2010, the expansion of low- and relatively low-risk zones became increasingly prominent. Several moderate-risk zones in LJCZ, western ADZ, and central YJYZZ transitioned into low-risk areas, while moderate-risk zones in MJBZ were transformed into relatively low-risk zones. These shifts were mainly concentrated along the peripheral regions of the study area, including XYJD, YJYZZ, LJCZ, and NGCZ. The extent of relatively high-risk zones decreased significantly, particularly in the southern regions of LJPJD and WYBJD, whereas the distribution of moderate- and high-risk zones remained relatively stable. By 2020, several moderate-risk zones located in central and peripheral parts of Zichang had transitioned into relatively high-risk zones, leading to a slight expansion in the latter. The high-risk zone in western YJYZZ declined and shifted into a relatively high-risk classification. Meanwhile, moderate-risk areas in northern YJYZZ were converted into low-risk zones, contributing to an overall increase in the area of low-risk zones. Notably, by the end of the study period, the low-risk areas in LJCZ, WYBJD, XYJD, YJYZZ, MJBZ, and NGCZ had expanded significantly, indicating a marked improvement in the region’s ecological security status.

4.3.3. Spatiotemporal Distribution of Landscape Ecological Risk Under Different Scenarios

By 2035, the area and spatial distribution of ecological risk across different land use types in Zichang City vary substantially under the baseline development, economic development, and ecological protection scenarios (Figure 7 and Figure 8). One-way ANOVA indicates that the ecological risk index differs significantly among the three scenarios (F = 37.698, p < 0.001). Tukey HSD post hoc analysis further demonstrates that the baseline development scenario exhibits the highest ecological risk, followed by the ecological protection scenario, with the economic development scenario presenting the lowest risk. Specifically, the ecological risk indices under the baseline and ecological protection scenarios are significantly greater than those under the economic development scenario, with mean differences of 6.81 × 10−4 and 7.41 × 10−4, respectively, both statistically significant at p < 0.05.
In the baseline development scenario, the proportions of the landscape categorized as low, relatively low, moderate, relatively high, and high risk are 21.25%, 18.92%, 20.83%, 38.60%, and 0.41%, respectively. Low-risk zones appear as large contiguous patches primarily located in LJCZ, XYJD, YJYZZ, and NGCZ. Relatively low-risk areas are concentrated in YJYZZ and MJBZ, with scattered distributions in LJCZ and JYCZ. Compared to 2020, relatively high-risk zones show outward expansion, resulting in a contraction of adjacent moderate-risk areas. Notably, the area of high-risk zones increased by 435.58 ha, representing a growth of 80.65%, and these are primarily distributed in ADZ, WYBJD, and YJYZZ.
Under the economic development scenario, the combined share of low- and relatively low-risk zones reaches 43.89%, representing an increase relative to the baseline scenario. While the spatial configuration remains broadly similar, there is a marked expansion in the extent of these lower-risk zones. The moderate- and relatively high-risk zones together account for 55.71% of the area, with moderate-risk areas occupying a larger proportion. Of particular concern is the spatial coincidence between high-risk zones and areas of concentrated construction land, suggesting that urban expansion may be a major driver of elevated ecological risk.
In the ecological protection scenario, the area covered by each risk category follows the descending order: relatively high-risk (84,502.51 ha) > relatively low-risk (56,471.23 ha) > moderate-risk (53,624.07 ha) > low-risk (43,939.44 ha) > high-risk (810.26 ha). Compared to the baseline scenario, the shares of low- and high-risk zones are reduced, while the proportions of relatively low-, moderate-, and relatively high-risk zones are increased. These results suggest that while ecological protection policies can effectively reduce the extent of extreme ecological risks, a substantial proportion of the landscape continues to fall within the intermediate risk categories.

4.3.4. Sensitivity Analysis of the Landscape Ecological Risk Index

To assess the robustness of the LERI evaluation, a Monte Carlo-based sensitivity analysis was conducted on the key parameter, the Landscape Vulnerability Index. The results, evaluated from both overall statistical and spatial robustness perspectives, collectively confirm the high reliability of the LERI assessment framework. At the overall statistical level, the mean total LERI across 10,000 simulations was 660.279, closely aligning with the original total under the baseline scenario (660.285), yielding a mean percentage deviation of only 2.02%. The standard deviation of all simulations was 16.48, corresponding to a coefficient of variation (CV) of 0.025. This indicates that even with ±10% fluctuations in the vulnerability index, both the overall magnitude of LERI and the evaluation conclusions remain stable. From the spatial robustness perspective, all key indicators met the predefined robustness criteria. The mean CV across all assessment units (grid cells) in the study area was 0.038, below the 0.05 threshold. Notably, no high-sensitivity grids (CV > 0.10) were observed within the study area, resulting in a high-sensitivity grid proportion of 0.00%, thus satisfying the strict requirement of maintaining less than 5% of such grids. Overall, the spatial distribution and temporal evolution of LERI across the study area are insensitive to variations in the vulnerability index, demonstrating the high robustness of the assessment results. This ensures the reliability of the previously identified spatiotemporal patterns of landscape ecological risk, multi-scenario comparisons, and spatial clustering characteristics, providing a solid scientific foundation for subsequent policy recommendations and planning applications.

4.4. Spatial Autocorrelation Analysis of Landscape Ecological Risk

4.4.1. Global Spatial Autocorrelation

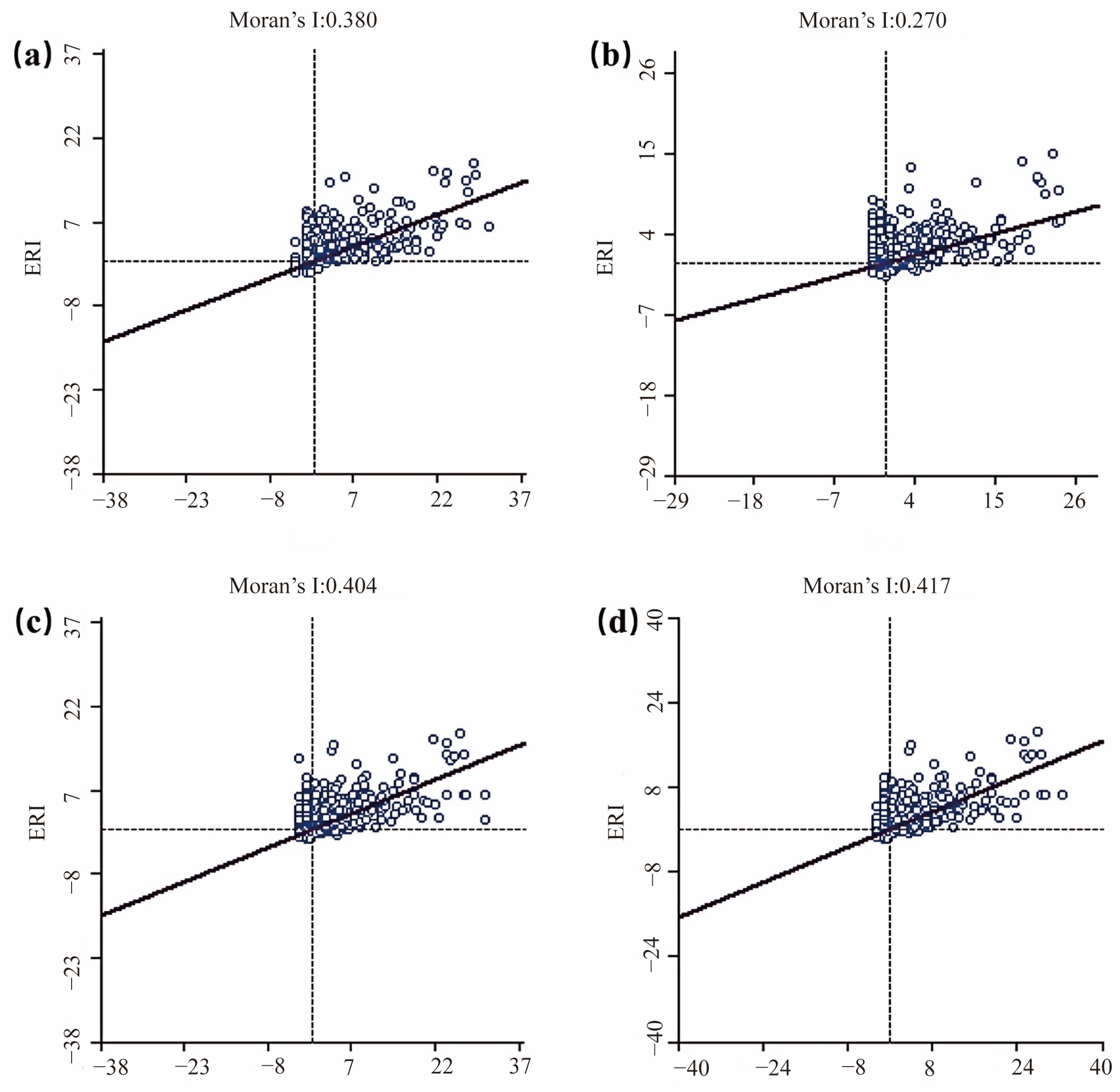
In both 2020 and 2035, the spatial distribution of landscape ecological risk in Zichang City exhibited pronounced clustering patterns (Figure 9). In 2020, Moran’s I was 0.380 (p < 0.01) with a 99% confidence interval, indicating significant spatial autocorrelation. Under the 2035 baseline development, economic development, and ecological protection scenarios, Moran’s I values were 0.270 (p < 0.05), 0.404 (p < 0.05), and 0.417 (p < 0.05), respectively, demonstrating that the spatial clustering of ecological risk remains pronounced. Further analysis showed Z-scores exceeding 1.96, with scatter points tightly aligned along the regression line, confirming that the spatial distribution of ecological risk in Zichang City conforms to a clustered pattern. Notably, the Moran’s I values display a progressive increase across the three scenarios (0.270 < 0.404 < 0.417), signifying varying intensities of spatial aggregation under different developmental trajectories. The ecological protection scenario, in particular, exhibits the highest Moran’s I value, reflecting the most pronounced spatial homogeneity of ecological risk. This suggests that ecological risk levels are more strongly influenced by neighboring areas in this scenario, thereby highlighting an enhanced spatial dependency within Zichang’s landscape ecological risk pattern under ecological conservation policies.

4.4.2. Local Spatial Autocorrelation Analysis

The spatial clustering patterns of landscape ecological risk (LER) in 2020, as well as under the baseline development, economic development, and ecological protection scenarios, were predominantly characterized by high–high and low–low types. In all cases, the proportion of high–high clusters exceeded 4.13%, and low–low clusters accounted for more than 9.79%, while high–low and low–high clusters each covered less than 3.5%. This indicates that non-significant clustering patterns dominated the spatial distribution, with non-significant patterns constituting more than 72.59% of the total area (Figure 10). Spatially, in 2020, high–high ecological risk clusters were primarily concentrated in the southeastern regions of Zichang City (including the northern parts of MJBZ, central areas of YJYZZ, XYJD, LJPJD, YJWZ, and YJPZ), exhibiting a relatively concentrated distribution. In contrast, low–low clusters were mainly located around the periphery of Zichang City, with sporadic occurrences in the central areas.
When compared to 2020, the low–low risk clustering pattern increased in all three development scenarios. Under the baseline development scenario, areas such as JYCZ, ADZ, and YJPZ transitioned from a non-significant distribution pattern to a high–high clustering pattern. The high–high clusters were mainly concentrated in JYCZ, YJWZ, LJPJD, WYBJD, YJPZ, and their surrounding areas, while the low–low clusters were predominantly observed in LJCZ, XYJD, and YZYZZ, forming large patches. In the economic development scenario, the high–high clustering pattern exhibited a decreasing trend, with the clusters primarily found in LJPJD, WYBJD, XYJD, and YJYZZ. Conversely, LJCZ, NGCZ, and parts of XYJD and YJYZZ transitioned from non-significant and high–high patterns to low–low clusters, which expanded considerably in spatial extent. Under the ecological protection scenario, the spatial distribution of low–low clusters closely resembled that in the economic development scenario. The high–high clusters, however, were concentrated in the southern regions of LJPJD, WYBJD, YJPZ, and JYCZ.

5. Discussion

5.1. Drivers of Landscape Ecological Risk Changes

The dynamic fluctuations in landscape ecological risk (LER) in Zichang City are indicative of the intricate interactions between natural systems and anthropogenic influences, shaped by both policy interventions and socio-economic development. These changes manifest distinct temporal and spatial variations, reflecting the complex relationship between ecological processes and human activities.
Between 1980 and 2020, Zichang City’s landscape ecological risk exhibited a distinct “decline followed by an increase” trend, closely linked to adjustments in land use patterns, which were driven by multi-scale policy initiatives. From 1980 to 2010, a general decline in ecological risk was observed, with a notable enhancement in ecological security, largely attributed to the sustained implementation of national ecological protection policies. The initiation of the Three-North Shelterbelt Program in 1978 marked a critical juncture, with Yan’an, including Zichang, identified as a key region for afforestation and mountain closure. This initiative significantly ameliorated the regional ecological environment [44]. The nationwide Grain-to-Green Program, launched in 1999, played a pivotal role in Zichang, where 30% of the total cultivated land was converted to ecological land by 2010, leading to substantial increases in vegetation cover and a marked reduction in landscape fragmentation [45]. Furthermore, the Western Development Strategy, initiated in 2000, accelerated the expansion of ecological land, enhanced forest cover, and effectively mitigated soil erosion, contributing to the sustained decline in overall landscape ecological risk [46]. Zichang’s response to national reforestation and soil conservation programs further contributed to ecological improvements. By 1990, soil conservation efforts had covered 1453.87 square kilometers, or 60.70% of the area eligible for treatment. Entering the 21st century, Zichang was designated as a national pilot area for the Grain-to-Green Program, which involved the phased withdrawal of slope farmland from cultivation. The implementation of ecological forest and grass restoration projects substantially reduced soil erosion, alleviating ecosystem vulnerability. Concurrently, Yan’an City delineated an ecological security control zone spanning 167,655 hectares, prohibiting development activities unrelated to ecological preservation, thus providing an institutional safeguard for regional ecological security. However, from 2010 to 2020, a slight increase in landscape ecological risk was observed, coinciding with a more complex ecological security landscape. The National New-type Urbanization Plan, implemented in 2014, spurred rapid urban expansion, resulting in the encroachment of cultivated and forest lands by built-up areas, which led to a reduction in landscape connectivity and the compression of ecological spaces [47]. Simultaneously, the “Energy and Chemical Industry Base” strategy in Shaanxi Province accelerated the development of coal and oil resources, leading to the expansion of industrial land and transport infrastructure, particularly in coal chemical parks and oil extraction zones in the mineral-rich areas of Zichang. This development further fragmented the natural landscape, escalating regional ecological risk. Additionally, the compensation mechanisms associated with the Grain-to-Green Program, which were not dynamically adjusted post-2014, led some farmers to resume cultivation or shift to economically lucrative crops, such as apple orchards. This shift resulted in monoculture forests and diminished ecosystem diversity. Under the context of precision poverty alleviation, the rapid growth of facility agriculture and rural tourism further contributed to the reclamation of slope lands for infrastructure projects (e.g., rural roads, homestay developments), exacerbating landscape fragmentation and introducing new disturbances to ecosystems.
Socio-economic development, as a principal driver, has significantly impacted landscape stability and ecosystem vulnerability, with land use structure changes, population concentration, and urban expansion playing key roles in these shifts [48]. On one hand, the continued economic growth in Zichang has intensified human activities, causing significant ecological disturbances. Data indicates that Zichang’s Gross Domestic Product (GDP) was 806 million yuan in 2000, 11.107 billion yuan in 2019, and 10.001 billion yuan in 2020, showing a steady upward trend despite a slight dip in 2020, indicating the widespread and enduring nature of economic activities. As urbanization advanced, the demand for built-up land expanded, resulting in extensive land transformation and an increase in landscape fragmentation, thereby raising regional ecological risk levels [49]. On the other hand, economic development has also indirectly moderated ecological risk through policy guidance and engineering interventions. For instance, in 2005, the introduction of fiscal subsidies and project guidance mechanisms to facilitate farmland infrastructure construction significantly boosted farmers’ engagement in land restoration. In that year, 560 households restored 295.63 hectares of farmland, and in 2000, 495 households contributed 1.6 million yuan in self-financed funds to construct 288 hectares of terraced fields, improving land quality and soil conservation capabilities and halting ecological degradation at its source. Population dynamics and rural settlement restructuring have also had profound impacts on landscape ecological risk. Following the land use master plan, Zichang gradually implemented policies for village consolidation and relocation, strengthening the development functions of central villages and key towns, which resulted in the concentration of populations in areas with improved infrastructure and transport accessibility. While this spatial reorganization enhanced land use efficiency, it also altered the original landscape structure, challenging ecological connectivity and buffer zones.

5.2. Policy Implications

Based on the landscape ecological risk assessment in Zichang City and the characteristics of risk sources across different risk-grade zones, this study provides a scientific foundation for formulating differentiated ecological risk mitigation strategies and optimizing regional territorial spatial planning through multi-scenario simulations. The results indicate that the Ecological Protection scenario effectively suppresses extreme risks, the Economic Development scenario optimizes the overall landscape pattern, whereas the Baseline Development scenario represents a high-risk and undesirable trajectory. Accordingly, we propose the following targeted actions, forming a “spatially precise and temporally sequenced roadmap for ecological risk management” (Figure 11).
First, establish a strategic framework of “ecological priority and smart growth” to avoid the high-risk trajectory under the Baseline Development scenario. Under this scenario, high-risk zones in areas such as ADZ, WYBJD, and YJYZZ expand by 80.65% relative to 2020, delineating clear “no-go” areas for future urban expansion. Key measures include the following: (i) strictly implementing the Zichang City Territorial Spatial Plan (2021–2035), clearly defining waterbody ecological redlines and protection boundaries, and prohibiting large-scale development in their vicinity; establishing ecological buffer zones along water bodies, restoring riverbanks, and constructing water-conserving forests to enhance ecological protection; (ii) optimizing urban land planning in high-density areas by creating ecological corridors to mitigate ecological pressure, establishing “green wedges” or buffer zones around new residential and industrial developments, and integrating green infrastructure with urban stormwater management and ecological restoration; (iii) promoting ecological transformation of rural settlements to reduce impacts on natural ecosystems, encouraging village consolidation, ecological relocation, and the development of “green villages” in alignment with rural residential improvement projects, thereby guiding rural development toward ecologically sustainable patterns. Rigorous enforcement of spatial planning is essential to prevent future high-risk expansion, particularly by limiting development intensity in these zones [50].
Second, implement scenario-specific resource allocation and project deployment. In the Ecological Protection scenario, the “intermediate risk belt” in central townships such as LJPJD and YJWZ should receive priority ecological restoration resources, including “Ecological Transformation Demonstration Projects” in cropland-intensive areas and “Comprehensive Grassland Management Projects” in ADZ and JYCZ to enhance ecosystem stability [51,52]. In the Economic Development scenario, where urban expansion generates high-risk zones such as WYBJD and XYJD, urban development quotas should be preferentially allocated to low-risk aggregation areas like LJCZ and NGCZ to encourage infill development, while high-risk zones implement mandatory “urban redevelopment with green infrastructure” to mitigate risk at its source [53]. Additionally, in the Ecological Protection scenario, significant “high–high” clustering occurs in LJPJD, WYBJD, YJPZ, and southern JYCZ, highlighting strong cross-administrative risk propagation. Establishing a “Central Township Ecological Governance Fund” to support ecological corridor construction, integrated watershed management, and other regional projects targeting these high–high clusters is recommended.
Third, develop a dynamic and adaptive planning mechanism. Using the 2035 risk maps generated in this study as a baseline, key change areas such as LJCZ, ADZ, and YJYZZ should be evaluated every five years, with adjustments to land supply and ecological compensation policies. Furthermore, incorporating the ecological risk index into governmental performance assessments is recommended, emphasizing the reduction of high-risk zones (e.g., ADZ, WYBJD) and the retention of low-risk zones (e.g., LJCZ, NGCZ), thereby incentivizing local governments to implement precise risk prevention measures.
In summary, by optimizing toward the low-risk pattern in LJCZ and NGCZ under the Economic Development scenario, adopting strategies from the Ecological Protection scenario to control extreme risks in central townships, and strictly avoiding blind expansion in high-risk zones such as ADZ and WYBJD under the Baseline Development scenario, these spatially precise and targeted measures translate scientific simulation results into actionable strategies for safeguarding regional ecological security.

5.3. Limitations of the Study

Several limitations remain. The assignment of weights in the LERI framework involves some subjectivity, and although Monte Carlo simulations validated the robustness of the results, future studies could adopt more objective methods, such as principal component analysis or machine learning, to further refine model parameters. The CLUE-S model assumes stability in the relationships between land use and driving factors, yet actual socio-economic dynamics may affect predictive accuracy; incorporating dynamic updating mechanisms for drivers is recommended. Differences in spatial resolution among multi-source driving factors may also influence simulation precision; higher-resolution, harmonized datasets and advanced data fusion techniques are suggested. Moreover, as this study focuses on the county-level context of Zichang City, the generalizability of results across the heterogeneous Loess Plateau remains to be verified. Future research could extend this framework to the regional scale, systematically comparing multiple cases to develop a more broadly applicable ecological risk theory. Finally, while the ecological protection scenario effectively reduces ecological risk, it poses challenges in balancing land use trade-offs and implementation feasibility. Conversion of cropland—particularly sloped cropland—to ecological land may impact regional food security, and strict controls on urban land expansion may constrain economic development. Future assessments should incorporate socio-economic costs and explore differentiated ecological compensation schemes and market-based mechanisms for realizing ecological value.

6. Conclusions

This study investigated Zichang City using an integrated framework of “pattern evolution—scenario simulation—statistical validation” to systematically examine the spatiotemporal dynamics of land use and landscape ecological risk from 1980 to 2020, and to project risk trends under three development scenarios for 2035. The results provide scientific guidance for land use planning and ecological security management in ecologically fragile regions. The main conclusions are as follows. First, from 1980 to 2020, land use in Zichang City was dominated by grassland, cultivated land, and forest land. Core conversions were driven by the Grain for Green Program and urbanization, mainly manifested as the transformation of cultivated land to ecological land and development into urban land. Multi-scenario simulations showed that the ecological protection scenario promotes ecological restoration, the economic development scenario intensifies urban expansion, and the business-as-usual scenario leads to risk accumulation. Second, landscape ecological risk exhibited a phased pattern, declining from 1980 to 2010 and slightly increasing from 2010 to 2020. Spatially, risk shifted from a “central high–peripheral low” pattern to a “north high–south low, west strong–east weak” configuration, with high-risk areas concentrated in regions of intense human activity. By 2035, the economic development scenario had the lowest overall risk, the baseline development scenario experienced a surge in high-risk areas, and the ecological protection scenario effectively constrained extreme risks while maintaining a relatively high proportion of moderate-risk zones. Third, spatial agglomeration of risks was significant, with the ecological protection scenario showing the strongest agglomeration effect (Moran’s I = 0.417). Monte Carlo simulation confirmed the robustness of the results. The constructed methodological system provides a replicable analytical paradigm and planning basis for risk management in ecologically fragile areas. Fourth, the study highlights “ecology-first, smart growth” as the optimal development pathway. By precisely identifying high-risk avoidance zones, low-risk suitable areas, and cross-regional collaborative governance zones, these findings provide direct scientific support for spatial planning in core ecological function areas.

Author Contributions

Conceptualization, S.S. and G.L.; methodology, Z.Z. and H.P.; software, Z.Z. and H.P.; validation, Z.Z. and H.P.; formal analysis, Z.Z. and H.P.; investigation, Z.Z., H.P. and J.G.; resources, S.S. and G.L.; data curation, Z.Z. and H.P.; writing—original draft preparation, Z.Z. and H.P.; writing—review and editing, all authors; visualization, J.G.; supervision, S.S. and G.L.; project administration, S.S. and G.L.; funding acquisition, S.S. and G.L. All authors have read and agreed to the published version of the manuscript.

Funding

This research received no external funding.

Data Availability Statement

The majority of the datasets used in this study are publicly available and can be accessed through public repositories. All used data repositories are cited either in the main text. Land use dataset comes from the Resource and Environment Science and Data Platform (https://www.resdc.cn/DOI/DOI.aspx?DOIID=5) (accessed on 20 November 2024). The DEM comes from the geospatial data cloud platform (https://www.gscloud.cn/) (accessed on 21 November 2024). The river system comes from Data Sharing and Service Portal (https://data.casearth.cn/dataset/66580e10819aec3bf756e167) (accessed on 22 October 2024). The railways and highways come from The Open Street Map, OSM (https://www.openstreetmap.org/) (accessed on 21 November 2024). The population density data is sourced from WorldPop (https://www.worldpop.org/) (accessed on 22 November 2024). The GDP Data is sourced from the Resource and Environmental Science Data Platform (https://www.resdc.cn/DOI/DOI.aspx?DOIID=33) (accessed on 22 November 2024). These websites allow open access.

Conflicts of Interest

The authors declare no conflicts of interest.

Abbreviations

The following abbreviations are used in this manuscript:
LERLandscape ecological risk
LERILandscape Ecological Risk Index
ERIEcological Risk Index
LUCCLand use/cover change
RSremote sensing
GISgeographic information systems
ABMmulti-agent modeling
CAcellular automata
DLSdynamic light scattering
GDPGross Domestic Product
LISALocal indicators of spatial association

Appendix A

Figure A1. Analysis of Driving Factors for the Evolution of the Urban Spatial Pattern in Zichang City in 2005.
Figure A1. Analysis of Driving Factors for the Evolution of the Urban Spatial Pattern in Zichang City in 2005.
Land 14 02358 g0a1

References

  1. Airiken, M.; Li, S. The Dynamic Monitoring and Driving Forces Analysis of Ecological Environment Quality in the Tibetan Plateau Based on the Google Earth Engine. Remote Sens. 2024, 16, 682. [Google Scholar] [CrossRef]
  2. Ghosh, S.; Chatterjee, N.D.; Dinda, S. Urban ecological security assessment and forecasting using integrated DEMATEL-ANP and CA-Markov models: A case study on Kolkata Metropolitan Area, India. Sustain. Cities Soc. 2021, 68, 102773. [Google Scholar] [CrossRef]
  3. Qing, X.; Li, Y.; Li, W.; Lu, Z.; Yue, R. To refine differential land use strategies by developing landscape risk assessment for urban agglomerations in the Yellow River Basin of China. Environ. Impact Assess. Rev. 2025, 117, 108162. [Google Scholar] [CrossRef]
  4. Zhu, J.; Xu, W.; Xiao, Y.; Shi, J.; Hu, X.; Yan, B. Temporal and spatial patterns of traditional village distribution evolution in Xiangxi, China: Identifying multidimensional influential factors and conservation significance. Herit. Sci. 2023, 11, 261. [Google Scholar] [CrossRef]
  5. Masalvad, S.K.; Patil, C.; Vardhan, A.R.; Yadav, A.; Lavanya, B.; Sakare, P.K. Predicting land use changes and ecosystem service impacts with CA-Markov and machine learning techniques. Environ. Dev. Sustain. 2025. [Google Scholar] [CrossRef]
  6. Sheng, S.; Song, W. Preferential encroachment of high-quality cropland by urban expansion across China: Past trends and future projections. Habitat Int. 2026, 167, 103655. [Google Scholar] [CrossRef]
  7. Al-Hameedi, W.M.M.; Chen, J.; Faichia, C.; Al-Shaibah, B.; Nath, B.; Kafy, A.-A.; Hu, G.; Al-Aizari, A. Remote Sensing-Based Urban Sprawl Modeling Using Multilayer Perceptron Neural Network Markov Chain in Baghdad, Iraq. Remote Sens. 2021, 13, 4034. [Google Scholar] [CrossRef]
  8. Huang, X.; Wang, C.; Lu, J. Understanding Spatiotemporal Development of Human Settlement in Hurricane-prone Areas on U.S. Atlantic and Gulf Coasts using Nighttime Remote Sensing. Nat. Hazards Earth Syst. Sci. 2019, 19, 2141–2155. [Google Scholar] [CrossRef]
  9. Kayumba, P.M.; Chen, Y.; Mind’jE, R.; Mindje, M.; Li, X.; Maniraho, A.P.; Umugwaneza, A.; Uwamahoro, S. Geospatial land surface-based thermal scenarios for wetland ecological risk assessment and its landscape dynamics simulation in Bayanbulak Wetland, Northwestern China. Landsc. Ecol. 2021, 36, 1699–1723. [Google Scholar] [CrossRef]
  10. Yang, Y.; Song, G. Human disturbance changes based on spatiotemporal heterogeneity of regional ecological vulnerability: A case study of Qiqihaer city, northwestern Songnen Plain, China. J. Clean. Prod. 2021, 291, 125262. [Google Scholar] [CrossRef]
  11. Wang, Q.; Zhang, P.; Zhang, J.; Tian, L.; Liu, Z.; Chen, Z. Ecological risk assessment and uncertainty analysis of the Yellow River basin based on probability-loss. Environ. Dev. Sustain. 2025. [Google Scholar] [CrossRef]
  12. Karimian, H.; Zou, W.; Chen, Y.; Xia, J.; Wang, Z. Landscape ecological risk assessment and driving factor analysis in Dongjiang river watershed. Chemosphere 2024, 346, 140599. [Google Scholar] [CrossRef] [PubMed]
  13. Ma, J.; Khromykh, V.; Wang, J.; Zhang, J.; Li, W.; Zhong, X. A landscape-based ecological hazard evaluation and characterization of influencing factors in Laos. Front. Ecol. Evol. 2023, 11, 1276239. [Google Scholar] [CrossRef]
  14. Yuan, Z.; Xu, J.; Wang, Y.; Yan, B. Analyzing the influence of land use/land cover change on landscape pattern and ecosystem services in the Poyang Lake Region, China. Environ. Sci. Pollut. Res. 2021, 28, 27193–27206. [Google Scholar] [CrossRef]
  15. Tuitjer, G.; Steinführer, A. The scientific construction of the village. Framing and practicing rural research in a trend study in Germany, 1952–2015. J. Rural Stud. 2021, 82, 489–499. [Google Scholar] [CrossRef]
  16. Sardaro, R.; La Sala, P.; De Pascale, G.; Faccilongo, N. The conservation of cultural heritage in rural areas: Stakeholder preferences regarding historical rural buildings in Apulia, southern Italy. Land Use Policy 2021, 109, 105662. [Google Scholar] [CrossRef]
  17. Fang, L.; Liu, Y.; Li, C.; Cai, J. Spatiotemporal Characteristics and Future Scenario Simulation of the Trade-offs and Synergies of Mountain Ecosystem Services: A Case Study of the Dabie Mountains Area, China. Chin. Geogr. Sci. 2023, 33, 144–160. [Google Scholar] [CrossRef]
  18. Kulaixi, Z.; Chen, Y.; Li, Y.; Wang, C. Dynamic Evolution and Scenario Simulation of Ecosystem Services under the Impact of Land-Use Change in an Arid Inland River Basin in Xinjiang, China. Remote Sens. 2023, 15, 2476. [Google Scholar] [CrossRef]
  19. Zeng, J.; Wu, J.; Chen, W. Coupling analysis of land use change with landscape ecological risk in China: A multi-scenario simulation perspective. J. Clean. Prod. 2024, 435, 140518. [Google Scholar] [CrossRef]
  20. Siyuan, L.I.; Huan, N.I.; Xiaonan, N.; Mengfan, F.; Yu, W.U.; Huan, F. Spatio-temporal Evolution and Future Multi-scenario Simulation of Land Use and Ecosystem Service Value in Fujian Delta Urban Agglomeration. Geogr. Geogr. Inf. Sci. 2024, 40. [Google Scholar] [CrossRef]
  21. Agnoletti, M. Rural landscape, nature conservation and culture: Some notes on research trends and management approaches from a (southern) European perspective. Landsc. Urban Plan. 2014, 126, 66–73. [Google Scholar] [CrossRef]
  22. Wai-Yin, C.; Shu-Yun, M. Heritage preservation and sustainability of China’s development. Sustain. Dev. 2004, 12, 15–31. [Google Scholar] [CrossRef]
  23. Yachen, C.; Jinye, L. Thinking on the evolution path of the intangible cultural heritage protection system around the world. Econ. Geogr. 2022, 42, 225–230. [Google Scholar]
  24. Liu, W.; Xue, Y.; Shang, C. Spatial distribution analysis and driving factors of traditional villages in Henan province: A comprehensive approach via geospatial techniques and statistical models. Herit. Sci. 2023, 11, 185. [Google Scholar] [CrossRef]
  25. Ma, Y.; Zhang, Q.; Huang, L. Spatial distribution characteristics and influencing factors of traditional villages in Fujian Province, China. Humanit. Soc. Sci. Commun. 2023, 10, 883. [Google Scholar] [CrossRef]
  26. Jiang, H.; Qin, M.; Wu, X.; Luo, D.; Ouyang, H.; Liu, Y. Spatiotemporal evolution and driving factors of ecosystem service bundle based on multi-scenario simulation in Beibu Gulf ur-ban agglomeration, China. Environ. Monit. Assess. 2024, 196, 542. [Google Scholar] [CrossRef]
  27. Xie, S.; Zhang, W.; Wu, B.; Lu, S.; Gu, G.; Liu, Y. Evaluating the migration of boundary river shorelines and coastal land cover changes for the Beilun River between China and Vietnam. J. Hydrol. Reg. Stud. 2025, 57, 102167. [Google Scholar] [CrossRef]
  28. Artikanur, S.D.; Widiatmaka, W.; Setiawan, Y.; Marimin, M. Predicting Sugar Balance as the Impact of Land-Use/Land-Cover Change Dynamics in a Sugarcane Producing Regency in East Java, Indonesia. Front. Environ. Sci. 2022, 10, 787207. [Google Scholar] [CrossRef]
  29. Wang, X.; Zhang, T.; Duan, L.; Liritzis, I.; Li, J. Spatial distribution characteristics and influencing factors of intangible cultural heritage in the Yellow River Basin. J. Cult. Herit. 2024, 66, 254–264. [Google Scholar] [CrossRef]
  30. Hua, L.; Huang, Z.; Liang, M.A.; Huang, J.; Zhou, G. Suitable granularity and response of multi-scale landscape in low mountain and hilly area of the Three Gorges Reservoir. Acta Ecol. Sin. 2022, 42, 4703–4717. [Google Scholar] [CrossRef]
  31. Wang, Y.; Yan, X.; Fang, Q.; Wang, L.; Chen, D.; Yu, Z. Spatiotemporal variation of alpine gorge watershed landscape patterns via multiscale metrics and optimal granularity analysis: A case study of Lushui City in Yunnan Province, China. Front. Ecol. Evol. 2024, 12, 1448426. [Google Scholar] [CrossRef]
  32. Li, S.; Tu, B.; Zhang, Z.; Wang, L.; Zhang, Z.; Che, X.; Wang, Z. Exploring new methods for assessing landscape ecological risk in key basin. J. Clean. Prod. 2024, 461, 142633. [Google Scholar] [CrossRef]
  33. Xu, W.; Wang, J.; Zhang, M.; Li, S. Construction of landscape ecological network based on landscape ecological risk assessment in a large-scale opencast coal mine area. J. Clean. Prod. 2021, 286, 125523. [Google Scholar] [CrossRef]
  34. Wang, W.; Wang, H.; Zhou, X. Ecological risk assessment of watershed economic zones on the landscape scale: A case study of the Yangtze River Economic Belt in China. Reg. Environ. Change 2023, 23, 105. [Google Scholar] [CrossRef]
  35. Li, W.; Kang, J.; Wang, Y. Integrating ecosystem services supply-demand balance into landscape ecological risk and its driving forces assessment in Southwest China. J. Clean. Prod. 2024, 475, 143671. [Google Scholar] [CrossRef]
  36. Wang, J.; Wang, J.; Zhang, J. Optimization of landscape ecological risk assessment method and ecological management zoning considering resilience. J. Environ. Manag. 2025, 376, 124586. [Google Scholar] [CrossRef]
  37. Xiang, Y.; Meng, J.; You, N.; Chen, P.; Yang, H. Spatio-temporal Analysis of Anthropogenic Disturbances on Landscape Pattern of Tourist Destinations: A case study in the Li River Basin, China. Sci. Rep. 2019, 9, 19285. [Google Scholar] [CrossRef]
  38. Zhang, Z.; Gong, J.; Plaza, A.; Yang, J.; Li, J.; Tao, X.; Wu, Z.; Li, S. Long-term assessment of ecological risk dynamics in Wuhan, China: Multi-perspective spatiotemporal variation analysis. Environ. Impact Assess. Rev. 2024, 105, 107372. [Google Scholar] [CrossRef]
  39. Nadeau, C.P.; Fuller, A.K. Combining landscape variables and species traits can improve the utility of climate change vulnerability assessments. Biol. Conserv. 2016, 202, 30–38. [Google Scholar] [CrossRef]
  40. Morris, J.; Sokolov, A.; Reilly, J.; Libardoni, A.; Forest, C.; Paltsev, S.; Schlosser, C.A.; Prinn, R.; Jacoby, H. Quantifying both socioeconomic and climate uncertainty in coupled human–Earth systems analysis. Nat. Commun. 2025, 16, 2703. [Google Scholar] [CrossRef]
  41. Macfarland, T.W. Oneway Analysis of Variance (ANOVA); Springer International Publishing: Berlin/Heidelberg, Germany, 2014. [Google Scholar]
  42. Senay, D.; Nurlu, E. Spatio-temporal assessment of landscape ecological risk using spatial statistical analysis in a basin of Turkiye. Environ. Monit. Assess. 2024, 196, 899. [Google Scholar] [CrossRef]
  43. Yoo, C.; Im, J.; Park, S.; Cho, D. Thermal Characteristics of Daegu using Land Cover Data and Satellite-derived Surface Temperature Downscaled Based on Machine Learning. Korean J. Remote Sens. 2017, 33, 1101–1118. [Google Scholar]
  44. Gao, H.H. Yimei Impacts of the Three-North shelter forest program on the main soil nutrients in Northern Shaanxi China: A meta-analysis. For. Ecol. Manag. 2020, 458, 117808. [Google Scholar] [CrossRef]
  45. Hongjian, Z.; Shuling, H.; Yuanyuan, W.; Jing’Ai, W.; Huicong, J. Multi-scales Analysis of Driving Forces on Land Use/Cover Change in China: Taking Farmland Returning to Forest or Grassland as a Case. Chin. J. Popul. Resour. Environ. 2006, 4, 21–27. [Google Scholar] [CrossRef]
  46. The State Council the People’s Republic of China. China’s Western Development Strategy to Gain New Momentum. Available online: https://english.www.gov.cn/policies/policywatch/202005/28/content_WS5ecf2018c6d0b3f0e9498d45.html (accessed on 20 May 2025).
  47. Yang, C.; Zhan, Q.; Gao, S.; Liu, H. Characterizing the spatial and temporal variation of the land surface temperature hotspots in Wuhan from a local scale. Geo-Spat. Inf. Sci. 2020, 23, 327–340. [Google Scholar] [CrossRef]
  48. Xu, X.; Peng, Y.; Qin, W. Simulation, prediction and driving factor analysis of ecological risk in Savan District, Laos. Front. Environ. Sci. 2023, 10, 1058792. [Google Scholar] [CrossRef]
  49. Piech, I.; Dacko, A. Landscape unit as an element of digital cultural heritage: Theory and concepts on the example of Czuów. Geomat. Landmanag. Landsc. 2025, 77–92. [Google Scholar] [CrossRef]
  50. Zhang, J.; Wang, Y. The Construction of the Landscape and Village-Integrated Green Governance System Based on the Entropy Method: A Study from China. Agriculture 2023, 13, 1821. [Google Scholar] [CrossRef]
  51. Li, M.; Liu, S.; Wang, F.; Liu, H.; Liu, Y.; Wang, Q. Cost-benefit analysis of ecological restoration based on land use scenario simulation and ecosystem service on the Qinghai-Tibet Plateau. Glob. Ecol. Conserv. 2022, 34, e02006. [Google Scholar] [CrossRef]
  52. Liu, X.; Ding, J.; Zhao, W. Divergent responses of ecosystem services to afforestation and grassland restoration in the Tibetan Plateau. J. Environ. Manag. 2023, 344, 118471. [Google Scholar] [CrossRef]
  53. Zhu, Z.; Wang, L.; Wang, D.; Yang, J.; Xie, F. The impact of ecological protection policies evolution on spatial-temporal changes: Evidence from Qiantang River Basin, China. Environ. Dev. Sustain. 2025. [Google Scholar] [CrossRef]
Figure 1. Zichang City, Shaanxi Province, China.
Figure 1. Zichang City, Shaanxi Province, China.
Land 14 02358 g001
Figure 2. Technical Route.
Figure 2. Technical Route.
Land 14 02358 g002
Figure 3. Land Use Transition Matrix of Zichang City from 1980 to 2020.
Figure 3. Land Use Transition Matrix of Zichang City from 1980 to 2020.
Land 14 02358 g003
Figure 4. Land Use Transition Map of Zichang City under Future Scenarios in 2035.
Figure 4. Land Use Transition Map of Zichang City under Future Scenarios in 2035.
Land 14 02358 g004
Figure 5. Statistical Proportion of Landscape Ecological Risk Levels in Zichang City from 1980 to 2020.
Figure 5. Statistical Proportion of Landscape Ecological Risk Levels in Zichang City from 1980 to 2020.
Land 14 02358 g005
Figure 6. Distribution of Landscape Ecological Risk Levels in Zichang City from 1980 to 2020.
Figure 6. Distribution of Landscape Ecological Risk Levels in Zichang City from 1980 to 2020.
Land 14 02358 g006
Figure 7. Statistical Proportion of Landscape Ecological Risk Levels in Zichang City under Different Scenarios for 2035.
Figure 7. Statistical Proportion of Landscape Ecological Risk Levels in Zichang City under Different Scenarios for 2035.
Land 14 02358 g007
Figure 8. Distribution of Landscape Ecological Risk Levels in Zichang City under Different Scenarios for 2035.
Figure 8. Distribution of Landscape Ecological Risk Levels in Zichang City under Different Scenarios for 2035.
Land 14 02358 g008
Figure 9. Moran Scatter Plots of Landscape Ecological Risk in Zichang City for 2020 and 2035 under Different Scenarios. Note: (a) Moran scatter plot of landscape ecological risk in Zichang City for 2020; (bd) represent the Moran scatter plots of landscape ecological risk in Zichang City for 2035 under the baseline development, economic development, and ecological protection scenarios, respectively.
Figure 9. Moran Scatter Plots of Landscape Ecological Risk in Zichang City for 2020 and 2035 under Different Scenarios. Note: (a) Moran scatter plot of landscape ecological risk in Zichang City for 2020; (bd) represent the Moran scatter plots of landscape ecological risk in Zichang City for 2035 under the baseline development, economic development, and ecological protection scenarios, respectively.
Land 14 02358 g009
Figure 10. LISA Clustering Maps of Landscape Ecological Risk in Zichang City for 2020 and 2035 under Different Scenarios. Note: (a) LISA clustering map of landscape ecological risk in Zichang City for 2020; (bd) represent the LISA clustering maps of landscape ecological risk in Zichang City for 2035 under the baseline development, economic development, and ecological protection scenarios, respectively.
Figure 10. LISA Clustering Maps of Landscape Ecological Risk in Zichang City for 2020 and 2035 under Different Scenarios. Note: (a) LISA clustering map of landscape ecological risk in Zichang City for 2020; (bd) represent the LISA clustering maps of landscape ecological risk in Zichang City for 2035 under the baseline development, economic development, and ecological protection scenarios, respectively.
Land 14 02358 g010
Figure 11. Implementation Roadmap for Landscape Ecological Risk Prevention and Control in Zichang City.
Figure 11. Implementation Roadmap for Landscape Ecological Risk Prevention and Control in Zichang City.
Land 14 02358 g011
Disclaimer/Publisher’s Note: The statements, opinions and data contained in all publications are solely those of the individual author(s) and contributor(s) and not of MDPI and/or the editor(s). MDPI and/or the editor(s) disclaim responsibility for any injury to people or property resulting from any ideas, methods, instructions or products referred to in the content.

Share and Cite

MDPI and ACS Style

Zhang, Z.; Pan, H.; Gan, J.; Sheng, S.; Lu, G. Spatiotemporal Evolution and Scenario Simulation of Landscape Ecological Risk in Hilly–Gully Regions: A Case Study of Zichang City. Land 2025, 14, 2358. https://doi.org/10.3390/land14122358

AMA Style

Zhang Z, Pan H, Gan J, Sheng S, Lu G. Spatiotemporal Evolution and Scenario Simulation of Landscape Ecological Risk in Hilly–Gully Regions: A Case Study of Zichang City. Land. 2025; 14(12):2358. https://doi.org/10.3390/land14122358

Chicago/Turabian Style

Zhang, Zhongqian, Huanli Pan, Jing Gan, Shuangqing Sheng, and Guoyang Lu. 2025. "Spatiotemporal Evolution and Scenario Simulation of Landscape Ecological Risk in Hilly–Gully Regions: A Case Study of Zichang City" Land 14, no. 12: 2358. https://doi.org/10.3390/land14122358

APA Style

Zhang, Z., Pan, H., Gan, J., Sheng, S., & Lu, G. (2025). Spatiotemporal Evolution and Scenario Simulation of Landscape Ecological Risk in Hilly–Gully Regions: A Case Study of Zichang City. Land, 14(12), 2358. https://doi.org/10.3390/land14122358

Note that from the first issue of 2016, this journal uses article numbers instead of page numbers. See further details here.

Article Metrics

Back to TopTop