Restoration Potential of Vegetation: Soil Nutrient Responses and Heavy Metal Distribution in Coal Mine Tailings
Abstract
1. Introduction
2. Materials and Methods
2.1. Experimental Site
2.2. Soil Sampling
2.3. Soil Analysis
2.3.1. pH Determination
2.3.2. Determination of Organic Carbon (OC) Content
2.3.3. Determination of Total Potassium KT and Pseudo-Total Metal Content—Aqua Regia Extractable, Microelements (Mn, Zn, Fe, Cu), and Pseudo-Total Heavy Metals (Ni, Pb, Cr)
2.3.4. Determination of Total Phosphorus PT Content
2.3.5. Determination of Available Phosphorus PAL and Available Potassium KAL
2.3.6. Determination of Available Calcium (Caav) and Magnesium (Mgav)
2.4. Statistical Analyses
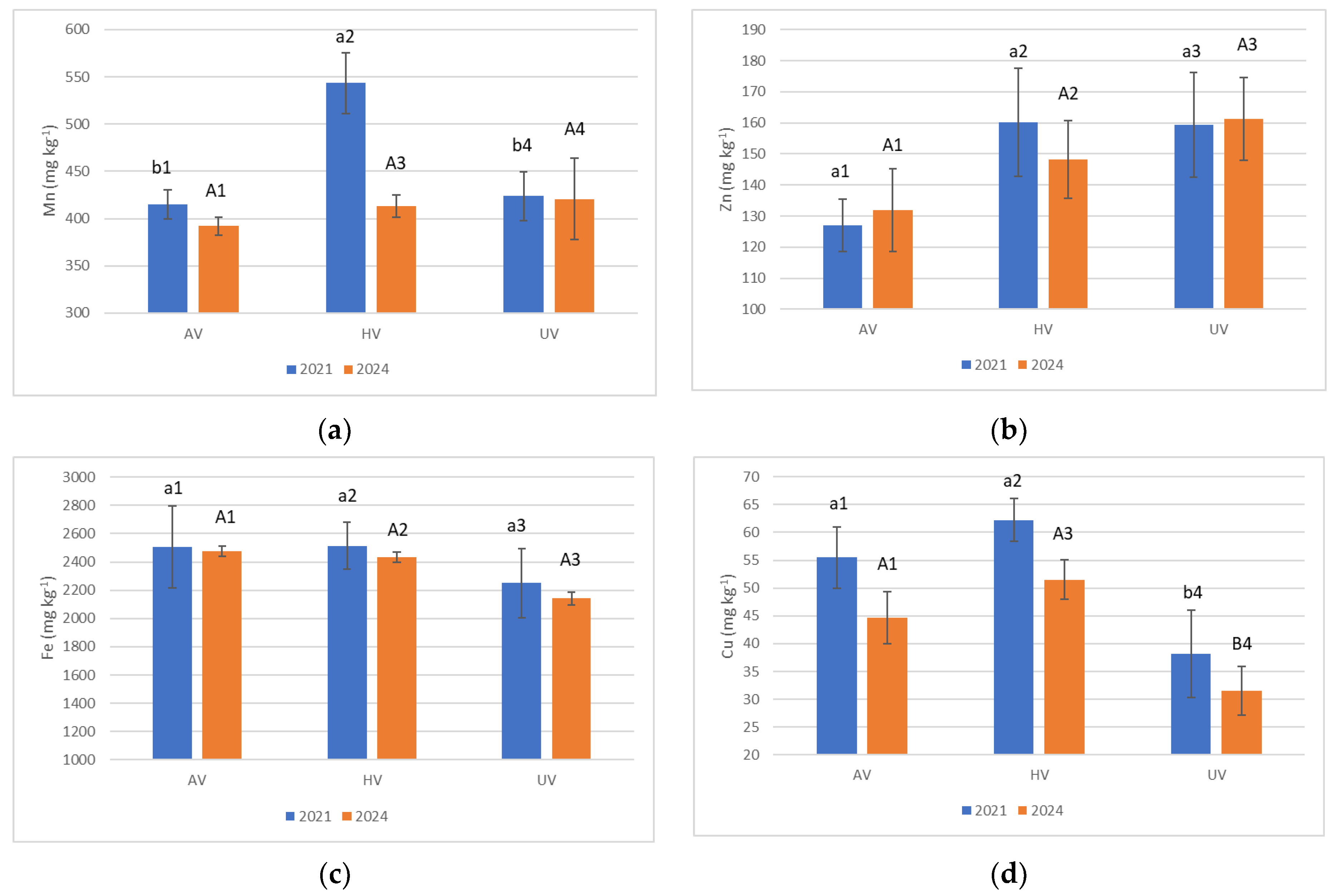
3. Results
4. Discussion
5. Conclusions
Author Contributions
Funding
Data Availability Statement
Conflicts of Interest
References
- Salgado, L.; Aparicio, L.; Afif, E.; Fernández-López, E.; Gallego, J.R.; Forján, R. A Second Life for Mining Waste as an Amendment for Soil Remediation. J. Mater. Cycles Waste Manag. 2024, 26, 2971–2979. [Google Scholar] [CrossRef]
- Ciarkowska, K.; Gargiulo, L.; Mele, G. Natural Restoration of Soils on Mine Heaps with Similar Technogenic Parent Material: A Case Study of Long-Term Soil Evolution in Silesian-Krakow Upland, Poland. Geoderma 2016, 261, 141–150. [Google Scholar] [CrossRef]
- Agenția Națională Pentru Resurse Minerale (ANRM). Raport Statistic. 2021. Available online: https://www.anrm.ro (accessed on 10 September 2025).
- Apostu, I.-M.; Lazăr, M.; Faur, F.; Traistă, E. An Overview of Sustainable Mining Practices for Ecological Rehabilitation of Degraded Lands in the Rovinari Mining Basin (Romania). Case Study: North Peșteana Interior Dump. Inżynieria Miner. 2024, 2, 235–245. [Google Scholar] [CrossRef]
- Popescu, G.; Popescu, C.A.; Dragomir, L.O.; Herbei, M.V.; Horablaga, A.; Țenche-Constantinescu, A.M.; Sălăgean, T.; Bruma, S.; Dinu-Roman (Szabo), M.; Colisar, A.; et al. Utilizing UAV Technology and GIS Analysis for Ecological Restoration: A Case Study on Robinia pseudoacacia L. in a mine waste dump landscape rehabilitation. Not. Bot. Horti Agrobo. 2024, 52, 13937. [Google Scholar] [CrossRef]
- Więckol-Ryk, A.; Pierzchała, Ł.; Bauerek, A.; Krzemień, A. Minimising Coal Mining’s Impact on Biodiversity: Artificial Soils for Post-Mining Land Reclamation. Sustainability 2021, 15, 9707. [Google Scholar] [CrossRef]
- Bradshaw, A. Restoration of mined lands—Using natural processes. Ecol. Eng. 1997, 8, 255–269. [Google Scholar] [CrossRef]
- Zipper, C.E.; Burger, J.A.; Skousen, J.G.; Angel, P.; Barton, C.; Davis, V.; Franklin, J.; Jacobs, D.; Jordan, D.; McGrath, J.; et al. Restoring Forests and Associated Ecosystem Services on Appalachian Coal Surface Mines. Environ. Manag. 2011, 47, 751–765. [Google Scholar] [CrossRef]
- Yuan, Y.; Zhao, Z.; Niu, S.; Li, X.; Wang, Y.; Bai, Z. Reclamation Promotes the Succession of the Soil and Vegetation in Opencast Coal Mine: A Case Study from Robinia pseudoacacia Reclaimed Forests, Pingshuo Mine, China. Catena 2018, 165, 72–79. [Google Scholar] [CrossRef]
- Haering, K.C.; Daniels, W.L.; Galbraith, J.M. Appalachian Mine Soil Morphology and Properties: Effects of Weathering and Mining Method. Soil Sci. Soc. Am. J. 2004, 64, 1011–1021. [Google Scholar] [CrossRef]
- Tordoff, G.M.; Baker, A.J.M.; Willis, A.J. Current Approaches to the Revegetation and Reclamation of Metalliferous Mine Wastes. Chemosphere 2000, 41, 219–228. [Google Scholar] [CrossRef]
- Frouz, J.; Prach, K.; Pižl, V.; Háněl, L.; Starý, J.; Tajovský, K.; Materna, J.; Balík, V.; Kalčík, J.; Řehounková, K. Interactions between Soil Development, Vegetation and Soil Fauna during Spontaneous Succession in Post-Mining Sites. Eur. J. Soil Biol. 2008, 44, 109–121. [Google Scholar] [CrossRef]
- Bardgett, R.D.; van der Putten, W.H. Belowground Biodiversity and Ecosystem Functioning. Nature 2014, 515, 505–511. [Google Scholar] [CrossRef] [PubMed]
- Harris, J. Soil Microbial Communities and Restoration Ecology: Facilitators or Followers? Science 2009, 300, 1077–1078. [Google Scholar] [CrossRef] [PubMed]
- Ciobanu, C.; Mălăescu, M.; Costea, G. Forest Vegetation and Soil Reclamation on Mining Dumps in the Jiu Valley, Romania. Rev. Pădurilor 2016, 131, 25–34. [Google Scholar]
- Zhao, L.; Yang, T.; Zhou, J.; Peng, X. Effects of Arbuscular Mycorrhizal Fungi on Robinia pseudoacacia L. Growing on Soils Contaminated with Heavy Metals. J. Fungi 2023, 9, 684. [Google Scholar] [CrossRef]
- Mantovani, D.; Veste, M.; Boldt-Burisch, K.; Fritsch, S.; Koning, L.A.; Freese, D. Carbon Allocation, Nodulation, and Biological Nitrogen Fixation of Black Locust (Robinia pseudoacacia L.) under Soil Water Limitation. Ann. For. Res. 2015, 58, 259–274. [Google Scholar] [CrossRef]
- Hashar, M.R.; Nasrin, S.; Freese, D.; Veste, M. Study of Phosphorus Status and Sorption Properties in Reclaimed Lignite Mine Soils under Different Age Stands of Robinia pseudoacacia L. in Welzow, Germany. Land Degrad. Dev. 2024, 35, 4189–4200. [Google Scholar] [CrossRef]
- Xanthopoulos, G.; Radoglou, K.; Derrien, D.; Spyroglou, G.; Angeli, N.; Tsioni, G.; Fotelli, M.N. Carbon Sequestration and Soil Nitrogen Enrichment in Robinia pseudoacacia L. Post-Mining Restoration Plantations. Front. For. Glob. Change 2023, 6, 1190026. [Google Scholar] [CrossRef]
- Wali, M.K. Ecological Succession and the Rehabilitation of Disturbed Terrestrial Ecosystems. Plant Soil 1999, 213, 195–220. [Google Scholar] [CrossRef]
- Radu, V.M.; Vîjdea, A.M.; Ivanov, A.A.; Alexe, V.E.; Dincă, G.; Cetean, V.M.; Filiuță, A.E. Research on the Closure and Remediation Processes of Mining Areas in Romania and Approaches to the Strategy for Heavy Metal Pollution Remediation. Sustainability 2023, 15, 15293. [Google Scholar] [CrossRef]
- Buta, M.; Blaga, G.; Paulette, L.; Păcurar, I.; Roșca, S.; Borsai, O.; Grecu, F.; Păcurar, H.; Negrușier, C. Soil Reclamation of Abandoned Mine Lands by Revegetation in Northwestern Part of Transylvania: A 40-Year Retrospective Study. Sustainability 2019, 11, 3393. [Google Scholar] [CrossRef]
- Misebo, A.M.; Szostak, M.; Sierka, E.; Pietrzykowski, M.; Woś, B. The Interactive Effect of Reclamation Scenario and Vegetation Types on Physical Parameters of Soils Developed on Carboniferous Mine Spoil Heap. Land Degrad. Dev. 2021, 34, 3593–3605. [Google Scholar] [CrossRef]
- Hu, Y.; Yu, Z.; Fang, X.; Zhang, W.; Liu, J.; Zhao, F. Influence of Mining and Vegetation Restoration on Soil Properties in the Eastern Margin of the Qinghai–Tibet Plateau. Int. J. Environ. Res. Public Health 2020, 17, 4288. [Google Scholar] [CrossRef]
- Saidy, A.R.; Priatmadi, B.J.; Septiana, M.; Ratna, R.; Fachruzi, I.; Ifansyah, H.; Hayati, A.; Mahbub, M.; Haris, A. Changes in Properties of Reclaimed-Mine Soil, Plant Growth, and Metal Accumulation in Plants with Application of Coal Fly Ash and Empty Fruit Bunches of Oil Palm. J. Degrad. Min. Lands Manag. 2024, 11, 5767–5778. [Google Scholar] [CrossRef]
- Brasovan, A.G. Ambiental Impact and Reclamation of Mining Dump from Western Part of Petrosani Basin; Babes-Bolyai University: Cluj Napoca, Romania, 2012. [Google Scholar]
- Luo, C.; Zhang, B.; Liu, J.; Wang, X.; Han, F.; Zhou, J. Effects of Different Ages of Robinia pseudoacacia Plantations on Soil Physiochemical Properties and Microbial Communities. Sustainability 2020, 12, 9161. [Google Scholar] [CrossRef]
- Vlachodimos, K.; Papatheodorou, E.M.; Diamantopoulos, J.; Monokrousos, N. Assessment of Robinia pseudoacacia Cultivations as a Restora-tion Strategy for Reclaimed Mine Spoil Heaps. Environ. Monit. Assess. 2013, 185, 6921–6932. [Google Scholar] [CrossRef] [PubMed]
- Tóth, G.; Hermann, T.; da Silva, M.R.; Montanarella, L. Heavy Metals in Agricultural Soils of the European Union with Implications for Food Safety. Environ. Int. 2016, 88, 299–309. [Google Scholar] [CrossRef] [PubMed]
- Suhrhoff, T.J. Phytoprevention of Heavy Metal Contamination from Terrestrial Enhanced Weathering: Can Plants Save the Day? Front. Clim. 2022, 3, 820204. [Google Scholar] [CrossRef]
- Vischetti, C.; Marini, E.; Casucci, C.; De Bernardi, A. Nickel in the Environment: Bioremediation Techniques for Soils with Low or Moderate Contamination in European Union. Environments 2022, 9, 133. [Google Scholar] [CrossRef]
- Kumar, U.; Kumar, I.; Singh, P.K.; Dwivedi, A.; Singh, P.; Mishra, S.; Seth, C.S.; Sharma, R.K. Nickel Contamination in Terrestrial Ecosystems: Insights into Impacts, Phytotoxicity Mechanisms, and Remediation Technologies. Rev. Environ. Contam. Toxicol. 2025, 263, 2. [Google Scholar] [CrossRef]
- Lațo, A.; Berbecea, A.; Lațo, I.; Crista, F.; Crista, L.; Sala, F.; Radulov, I. Mitigating Soil Acidity: Impact of Aglime (CaCO3) Particle Size and Application Rate on Exchangeable Aluminium and Base Cations Dynamics. Sustainability 2025, 17, 8135. [Google Scholar] [CrossRef]
- Sun, X.; Li, Z.; Wu, L.; Christie, P.; Luo, Y.; Fornara, D.A. Root-Induced Soil Acidification and Cadmium Mobilization in the Rhizosphere of Sedum Plumbizincicola: Evidence from a High-Resolution Imaging Study. Plant Soil 2019, 436, 267–282. [Google Scholar] [CrossRef]
- Islam, N.; Rabha, S.; Subramanyam, K.S.V.; Saikia, B.K. Geochemistry and Mineralogy of Coal Mine Overburden (Waste): A Study towards Their Environmental Implications. Chemosphere 2021, 274, 129736. [Google Scholar] [CrossRef]
- Zhang, P.; Zhang, Y.; Jia, J.; Cui, Y.; Wang, X.; Zhang, X.; Wang, Y. Revegetation pattern affecting accumulation of organic carbon and total nitrogen in reclaimed mine soils. PeerJ 2020, 8, e8563. [Google Scholar] [CrossRef]
- Tenche-Constantinescu, A.-M.; Lalescu, D.V.; Popescu, S.; Sarac, I.; Petolescu, C.; Camen, D.; Horablaga, A.; Popescu, C.A.; Herbei, M.V.; Dragomir, L.; et al. Juglans regia as Urban Trees: Genetic Diversity and Walnut Kernel Quality Assessment. Horticulturae 2024, 10, 1027. [Google Scholar] [CrossRef]
- Roman, A.; Gafta, D.; Ursu, T.-M.; Cristea, V. Plant Assemblages of Abandoned Ore Mining Heaps: A Case Study from Roșia Montană Mining Area, Romania. In Geographical Changes in Vegetation and Plant Functional Types; Greller, A.M., Fujiwara, K., Pedrotti, F., Eds.; Springer: Cham, Switzerland, 2018; pp. 283–298. [Google Scholar] [CrossRef]
- Cântar, I.-C.; Alexa, E.; Poșta, D.S.; Crişan, V.E.; Cadar, N.; Berbecea, A.; Rózsa, S.; Gocan, T.-M.; Borsai, O. Improving the Content of Chemical Elements from the Soil of Waste Heaps Influenced by Forest Vegetation—A Case Study of Moldova Nouă Waste Heaps, South-West Romania. Appl. Sci. 2024, 14, 5221. [Google Scholar] [CrossRef]
- Vo, T.; Hillier, S.; Rezania, M. The Mineralogical Composition and Mechanical Characteristics of Selected European Coal Mining Waste Samples and Their Experimental Correlation. J. Geotech. Geoenviron. Eng. 2024, 151, 1. [Google Scholar] [CrossRef]
- Baumgartl, T.; Chan, J.; Pihlap, E.; Bucka, F. Soil Organic Carbon in Rehabilitated Coal Mine Soils as an Indicator for Soil Health. In Mine Closure 2014: Proceedings of the Ninth International Conference on Mine Closure; Fourie, A., Tibbett, M., Sharkuu, A., Eds.; Australian Centre for Geomechanics: Perth, Australia, 2014; pp. 121–129. [Google Scholar] [CrossRef]
- Nickels, A.; Prescott, C.E. Soil Carbon Stabilization under Coniferous, Deciduous and Grass Vegetation in Post-Mining Reclaimed Ecosystems. Front. For. Glob. Change 2021, 4, 689594. [Google Scholar] [CrossRef]
- Sun, Y.; Li, J.; Wang, Z.; Zhang, Y.; Liu, X. Vegetation Types Can Affect Soil Organic Carbon and δ13C by Influencing Plant Inputs and Microbial Residue Composition. Sustainability 2024, 16, 4538. [Google Scholar] [CrossRef]
- NSW Environment Protection Authority. Soil Condition 2021. NSW State of the Environment. 2021. Available online: https://www.soe.epa.nsw.gov.au/all-themes/land/soil-condition-2021 (accessed on 20 September 2025).
- Wulandari, D.; Herika, D.; Agus, C.; Cheng, W.; Tawaraya, K. Soil Chemical Properties of Opencast Coal Mining Site in Indonesia and Its Effect on Plant Growth. Ecol. Environ. Conserv. 2020, 26, S277–S286. [Google Scholar]
- Rutkowska, A. Sensitivity of Plant and Soil Indices in Evaluating the Long-Term Consequences of Soil Mining from Reserves of Phosphorus, Potassium, and Magnesium. Commun. Soil Sci. Plant Anal. 2013, 44, 1609–1623. [Google Scholar] [CrossRef]
- Radulov, I.; Goian, M. Potasiul in Agricultură și Nutriție; Mirton Press: Timișoara, Romania, 2004. [Google Scholar]
- Radulov, I.; Berbecea, A. Nutrient Management for Sustainable Soil Fertility. In Sustainable Agroecosystems—Principles and Practices; IntechOpen: London, UK, 2024. [Google Scholar] [CrossRef]
- Tomaszewicz, T.; Chudecka, J.; Stankowski, S.; Bashutska, U.; Gibczyńska, M. The Assessment of Physicochemical Properties and Macronutrient Content of Reclaimed Soil Material and Hard Coal Ash 15 Years after the Experiment Setup. Pol. J. Agron. 2022, 48, 21–27. [Google Scholar] [CrossRef]
- Wulandari, D.; Herika, D.; Agus, C.; Cheng, W.; Tawaraya, K. Soil Biological Processes and Nutrient Cycling in Indonesian Post-Mining Soils. Ecol. Environ. Conserv. 2020, 26, S286–S295. [Google Scholar]
- Mendez, M.O.; Maier, R.M. Phytostabilization of Mine Tailings in Arid and Semiarid Environments—An Emerging Remediation Technology. Environ. Health Perspect. 2007, 115, 278–284. [Google Scholar] [CrossRef] [PubMed]
- Colombo, C.; Palumbo, G.; He, J.-Z.; Pinton, R.; Cesco, S. Review on Iron Availability in Soil: Interaction of Fe Minerals, Plants, and Microbes. J. Soils Sediments 2014, 14, 538–548. [Google Scholar] [CrossRef]
- Aznar-Sánchez, J.A.; García-Gómez, J.J.; Velasco-Muñoz, J.F.; Carretero-Gómez, A. Mining Waste and Its Sustainable Management: Advances in Worldwide Research. Minerals 2018, 8, 284. [Google Scholar] [CrossRef]
- Yan, A.; Wang, Y.; Tan, S.N.; Mohd Yusof, M.L.; Ghosh, S.; Chen, Z. Phytoremediation: A Promising Approach for Revegetation of Heavy Metal-Polluted Land. Front. Plant Sci. 2020, 11, 359. [Google Scholar] [CrossRef]
- Tripathi, D.K.; Arif, N.; Yadav, V.; Singh, S.; Dubey, N.K.; Chauhan, D.K.; Giorgetti, L. Interaction of Copper Oxide Nanoparticles with Plants: Uptake, Accumulation, and Toxicity. In Nanomaterials in Plants, Algae, and Microorganisms; Tripathi, D.K., Ahmad, P., Sharma, S., Chauhan, D.K., Dubey, N.K., Eds.; Academic Press: Cambridge, MA, USA, 2018; pp. 297–310. ISBN 9780128114872. [Google Scholar] [CrossRef]
- Fomina, M.; Gadd, G.M.; Burford, E.P. Fungal Roles and Functions in Rock, Mineral and Soil Transformations. In Micro-Organisms and Earth Systems—Advances in Geomicrobiology; Gadd, G.M., Semple, K.T., Lappin-Scott, H.M., Eds.; Cambridge University Press: Cambridge, UK, 2005; pp. 201–232. [Google Scholar]
- Vink, J.P.M.; Harmsen, J.; Rijnaarts, H. Delayed immobilization of heavy metals in soils and sediments under reducing and anaerobic conditions; consequences for flooding and storage. J. Soils Sediments 2010, 10, 1633–1645. [Google Scholar] [CrossRef]
- McManus, P.; Hortin, J.; Anderson, A.J.; Jacobson, A.R.; Britt, D.W.; Stewart, J.; McLean, J.E. Rhizosphere Interactions between Copper Oxide Nanoparticles and Wheat Root Exudates in a Sand Matrix: Influences on Copper Bioavailability and Uptake. Environ. Toxicol. Chem. 2018, 37, 2619–2632. [Google Scholar] [CrossRef]
- Adriano, D.C. Trace Elements in Terrestrial Environments: Biogeochemistry, Bioavailability, and Risks of Metals; Springer: New York, NY, USA, 2001. [Google Scholar]
- Mukhopadhyay, S.; Masto, R.E.; Yadav, A.; George, J.; Ram, L.C.; Shukla, S.P. Soil quality index for evaluation of reclaimed coal mine spoil. Sci. Total Environ. 2016, 542, 540–550. Available online: https://www.sciencedirect.com/science/article/abs/pii/S0048969715308512?via%3Dihub (accessed on 11 November 2025). [CrossRef]
- Pulford, I.D.; Watson, C. Phytoremediation of Heavy Metal-Contaminated Land by Trees—A Review. Environ. Int. 2003, 29, 529–540. [Google Scholar] [CrossRef]
- Alloway, B.J. Heavy Metals in Soils: Trace Metals and Metalloids in Soils and Their Bioavailability; Springer: Dordrecht, The Netherlands, 2013. [Google Scholar]
- Kabata-Pendias, A.; Mukherjee, A.B. Trace Elements from Soil to Human; Springer: Berlin, Germany, 2007. [Google Scholar]
- McBride, M.B. Environmental Chemistry of Soils; Oxford University Press: New York, NY, USA, 1994. [Google Scholar]
- Kabata-Pendias, A. Soil–Plant Transfer of Trace Elements—An Environmental Risk. Geoderma 2004, 122, 143–149. [Google Scholar] [CrossRef]
- McLaughlin, M.J.; Parker, D.R.; Clarke, J.M. Metals and Micronutrients—Food Safety Issues. Field Crops Res. 2000, 60, 143–163. [Google Scholar] [CrossRef]









| Year | UV | AV | HV | |
|---|---|---|---|---|
| TN (%) | 2021 | 0.163 ± 0.031 b3 | 0.210 ± 0.020 ab1 | 0.250 ± 0.026 a2 |
| 2024 | 0.170 ± 0.025 B3 | 0.230 ± 0.036 AB1 | 0.247 ± 0.050 A2 | |
| OC (g kg−1) | 2021 | 14.51 ± 0.40 b3 | 21.51 ± 0.81 a1 | 20.26 ± 0.71 a2 |
| 2024 | 15.63 ± 0.40 B3 | 22.63 ± 0.25 A1 | 21.13 ± 0.90 A2 | |
| pH | 2021 | 8.57 ± 0.036 a4 | 8.13 ± 0.072 b1 | 8.05 ± 0.062 b2 |
| 2024 | 8.52 ± 0.093 A4 | 8.07 ± 0.0911 B1 | 7.89 ± 0.081 B3 | |
| PT (mg kg−1) | 2021 | 393 ± 26.10 a4 | 448 ± 29.54 a1 | 314 ± 13.32 b2 |
| 2024 | 432 ± 39.61 AB4 | 467 ± 26.35 A1 | 378 ± 10.26 B3 | |
| PAL (mg kg−1) | 2021 | 0.226 ± 0.0235 b3 | 0.024 ± 0.0015 a1 | 0.013 ± 0.0015 a2 |
| 2024 | 0.260 ± 0.0458 B3 | 0.029 ± 0.003 A1 | 0.017 ± 0.0021 A2 | |
| KT (mg kg−1) | 2021 | 1025 ± 71 c3 | 635 ± 14 a1 | 520 ± 10 b2 |
| 2024 | 1127 ± 31 C3 | 670 ± 19 A1 | 515 ± 14 B2 | |
| KAL (mg kg−1) | 2021 | 140 ± 16.24 a3 | 149 ± 13.53 a1 | 137 ± 16.24 a2 |
| 2024 | 144 ± 12.50 A3 | 166 ± 10.97 A1 | 160 ± 20.01 A2 | |
| Caav (mg kg−1) | 2021 | 1298 ± 47 b3 | 2854 ± 80 a1 | 1196 ± 91 b2 |
| 2024 | 1563 ± 140 B4 | 3062 ± 159 A1 | 1347 ± 58 B2 | |
| Mgav (mg kg−1) | 2021 | 323 ± 33 b5 | 758 ± 46 a1 | 682 ± 57 a3 |
| 2024 | 503 ± 37 B6 | 869 ± 52 A2 | 810 ± 21 A4 |
Disclaimer/Publisher’s Note: The statements, opinions and data contained in all publications are solely those of the individual author(s) and contributor(s) and not of MDPI and/or the editor(s). MDPI and/or the editor(s) disclaim responsibility for any injury to people or property resulting from any ideas, methods, instructions or products referred to in the content. |
© 2025 by the authors. Licensee MDPI, Basel, Switzerland. This article is an open access article distributed under the terms and conditions of the Creative Commons Attribution (CC BY) license (https://creativecommons.org/licenses/by/4.0/).
Share and Cite
Popescu, G.; Popescu, C.A.; Horablaga, A.; Crista, F.; Dragomir, L.; Mihut, C.; Berbecea, A.; Radulov, I. Restoration Potential of Vegetation: Soil Nutrient Responses and Heavy Metal Distribution in Coal Mine Tailings. Land 2025, 14, 2274. https://doi.org/10.3390/land14112274
Popescu G, Popescu CA, Horablaga A, Crista F, Dragomir L, Mihut C, Berbecea A, Radulov I. Restoration Potential of Vegetation: Soil Nutrient Responses and Heavy Metal Distribution in Coal Mine Tailings. Land. 2025; 14(11):2274. https://doi.org/10.3390/land14112274
Chicago/Turabian StylePopescu, George, Cosmin Alin Popescu, Adina Horablaga, Florin Crista, Lucian Dragomir, Casiana Mihut, Adina Berbecea, and Isidora Radulov. 2025. "Restoration Potential of Vegetation: Soil Nutrient Responses and Heavy Metal Distribution in Coal Mine Tailings" Land 14, no. 11: 2274. https://doi.org/10.3390/land14112274
APA StylePopescu, G., Popescu, C. A., Horablaga, A., Crista, F., Dragomir, L., Mihut, C., Berbecea, A., & Radulov, I. (2025). Restoration Potential of Vegetation: Soil Nutrient Responses and Heavy Metal Distribution in Coal Mine Tailings. Land, 14(11), 2274. https://doi.org/10.3390/land14112274

